ÂM HỌC - XÁC ĐỊNH MỨC TIẾP XÚC TIẾNG ỒN NGHỀ NGHIỆP - PHƯƠNG PHÁP KỸ THUẬT
Acoustics - Determination of occupational noise exposure - Engineering method
Lời nói đầu
TCVN 9799:2013 hoàn toàn tương đương với ISO 9612:2009
TCVN 9799:2013 do Ban kỹ thuật Tiêu chuẩn quốc gia TCVN/TC 43 Âm học biên soạn trên cơ sở dự thảo đề nghị của Viện Nghiên cứu Khoa học Kỹ thuật Bảo hộ Lao động - Tổng liên đoàn Lao động Việt Nam, Tổng cục Tiêu chuẩn Đo lường Chất lượng đề nghị, Bộ Khoa học và Công nghệ công bố.
Lời giới thiệu
Tiêu chuẩn này cung cấp bước tiếp cận với việc xác định mức tiếp xúc tiếng ồn nghề nghiệp từ các phép đo mức tiếng ồn. Quy trình này bao gồm các bước chính sau: phân tích công việc, chọn phương thức đo, phép đo, xử lý sai số và đánh giá độ không đảm bảo, tính toán và trình bày kết quả đo. Tiêu chuẩn này quy định ba phương thức đo chính: phép đo theo nguyên công, phép đo theo nghề và phép đo theo ngày. Tiêu chuẩn này đưa ra hướng dẫn cho việc chọn lựa phương thức đo phù hợp cho các công việc mang tính đặc thù và công tác điều tra. Tiêu chuẩn này cũng cung cấp thông tin để tính kết quả đo và độ không đảm bảo đo.
Tiêu chuẩn này thừa nhận việc sử dụng máy đo mức âm loại cầm tay cũng như máy đo cá nhân đo mức tiếp xúc âm. Các phương pháp được quy định này sẽ tối ưu hóa các nỗ lực cần thiết để thu được độ chính xác đã định.
ÂM HỌC - XÁC ĐỊNH MỨC TIẾP XÚC TIẾNG ỒN NGHỀ NGHIỆP - PHƯƠNG PHÁP KỸ THUẬT
Acoustics - Determination of occupational noise exposure - Engineering method
Tiêu chuẩn này quy định phương pháp kỹ thuật đo đối với sự tiếp xúc với tiếng ồn của người lao động trong môi trường làm việc và tính mức tiếp xúc tiếng ồn. Tiêu chuẩn này đề cập đến các mức âm trọng số A nhưng cũng có thể áp dụng được cho các mức âm trọng số C. Tiêu chuẩn này quy định ba phương thức đo khác nhau. Phương pháp này hữu ích trong trường hợp yêu cầu cần xác định mức tiếp xúc tiếng ồn đến cấp độ kỹ thuật, ví dụ các nghiên cứu chi tiết sự tiếp xúc với tiếng ồn, hoặc các nghiên cứu dịch tễ học về sự tổn thương thính lực hoặc các ảnh hưởng có hại khác.
Quá trình tiến hành đo đòi hỏi sự quan sát và phân tích các điều kiện tiếp xúc tiếng ồn do đó chất lượng của phép đo có thể kiểm soát được. Tiêu chuẩn này cung cấp phương pháp ước tính độ không đảm bảo của các kết quả đo.
Tiêu chuẩn này không nhằm để đánh giá lấp âm của lời nói hoặc để đánh giá siêu âm, hạ âm và các hiệu ứng phi âm thanh của tiếng ồn. Tiêu chuẩn này không áp dụng cho các phép đo mức tiếp xúc tiếng ồn của tai khi đeo thiết bị bảo vệ thính giác.
Kết quả của các phép đo thực hiện theo tiêu chuẩn này có thể cung cấp thông tin hữu ích khi xác định các biện pháp ưu tiên kiểm soát tiếng ồn.
Các tài liệu viện dẫn sau là cần thiết cho việc áp dụng tiêu chuẩn này. Đối với các tài liệu viện dẫn ghi năm công bố thì áp dụng phiên bản được nêu. Đối với các tài liệu viện dẫn không ghi năm công bố thì áp dụng phiên bản mới nhất, bao gồm cả các sửa đổi (nếu có).
TCVN 9595-3 (ISO/IEC Guide 98-3), Độ không đảm bảo đo - Phần 3: Hướng dẫn trình bày độ không đảm bảo đo (GUM:1995).
ISO 1999, Acoustics - Determination of occupational noise exposure and estimation of noise-induced hearing impairment (Âm học - Xác định mức tiếp xúc tiếng ồn nghề nghiệp và xác định sự suy giảm thính lực do tiếng ồn).
IEC 60942: 2003, Electroacoustics - Sound calibrators (Điện thanh - Bộ hiệu chuẩn âm thanh).
IEC 61252, Electroacoustics - Specifications for personal sound exposure meters (Điện thanh - Yêu cầu kỹ thuật đối với máy đo cá nhân đo mức tiếp xúc âm).
IEC 61672-1:2002, Electroacoustics - Sound level meters - Part 1: Specifications (Điện thanh - Máy đo mức âm - Phần 1: Yêu cầu kỹ thuật).
Trong tiêu chuẩn này sử dụng các thuật ngữ, định nghĩa sau:
3.1
Mức áp suất âm theo thời gian trung bình trọng số A (A-weighted time-averaged sound pressure level)
Lp,A,T
Mức áp suất âm liên tục tương đương trọng số A (A-weighted equivalent continuous sound pressure level)
Lp,A,eqT
Mức áp suất âm theo thời gian trung bình trọng số A Lp,A,T là mười lần logarit cơ số 10 của bình phương mức áp suất âm theo trọng số A, pA, trong khoảng thời gian T (bắt đầu từ thời điểm t1 và kết thúc tại thời điểm t2), chia cho bình phương giá trị mức áp suất âm chuẩn, p0, tính theo dexiben.
(1)
Trong đó, p0 = 20 mPa
CHÚ THÍCH: Theo ISO/TR 25417:2007 [9].
3.2
Mức tiếp xúc tiếng ồn trọng số A chuẩn hóa theo mức tiếp xúc tiếng ồn hàng ngày của ngày làm việc 8 h (A-weighted noise exposure level normalized to an 8 h working day)
Mức tiếp xúc tiếng ồn hàng ngày (daily noise exposure level)
LEX,8h
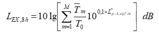
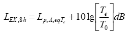
Mức (tiếng ồn nghề nghiệp), tính theo dexiben, được xác định theo công thức:
(2)
Trong đó:
là mức áp suất âm liên tục tương đương trọng số A đối với Te;
Te là khoảng thời gian làm việc thực trong ngày, tính theo giờ;
T0 là khoảng thời gian chuẩn, T0 = 8 h.
CHÚ THÍCH 1: Nếu khoảng thời gian làm việc thực trong ngày Te là 8 h, thì
.
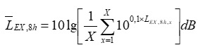
CHÚ THÍCH 2: Nếu sự tiếp xúc trung bình hoặc tiếp xúc đã chuẩn hóa vượt quá số ngày yêu cầu, thì sử dụng Công thức (3):
(3)
Giá trị X được chọn theo mục đích của quy trình lấy trung bình. Ví dụ, X = 5 dẫn đến mức tiếp xúc tiếng ồn được chuẩn hóa theo một tuần danh định có năm ngày làm việc 8 h.
CHÚ THÍCH 3: Định nghĩa này khác với các định nghĩa nêu tại ISO/TR 25417:2007 [9].
3.3
Ngày danh định (nominal day)
Ngày làm việc được chọn để xác định mức tiếp xúc tiếng ồn.
CHÚ THÍCH 1: Ngày danh định được xác định từ việc phân tích công việc phụ thuộc vào mục đích của phép đo
Ví dụ, có thể là ngày điển hình đại diện công việc được làm trong vài ngày hoặc ngày có tiếp xúc tiếng ồn cao nhất. Xem thêm 7.3.
CHÚ THÍCH 2: Mức tiếp xúc tiếng ồn thường được tính trên cơ sở ngày, nhưng có các trường hợp trong đó sử dụng mức tiếp xúc tiếng ồn theo các chu kỳ tuần hoặc dài hơn tiếp xúc tiếng ồn được coi là phù hợp.
3.4
Mức áp suất âm đỉnh trọng số C (C-weighted peak sound pressure level)
Lp,Cpeak
Mười lần logarit cơ số 10 của tỷ số của bình phương mức áp suất âm đỉnh trọng số C, pCpeak, chia cho bình phương giá trị mức áp suất âm chuẩn, p0, tính theo dexiben.
(4)
Trong đó, p0 = 20 mPa
3.5
Nguyên công (task)
(tiếng ồn nghề nghiệp) từng phần việc riêng biệt trong hoạt động nghề nghiệp của người lao động.
Hình 1 mô phỏng sự phân cấp của nghề và nguyên công.
3.6
Nghề (job)
(tiếng ồn nghề nghiệp) toàn bộ hoạt động nghề nghiệp do người lao động thực hiện, bao gồm tất cả các nguyên công mà họ thực hiện trong cả ngày làm việc hoặc ca làm việc.
CHÚ THÍCH: Người lao động thường có một chức danh nghề, thể hiện nghề nghiệp của họ, đôi khi được bổ sung để đảm bảo sự nhận diện rõ ràng, ví dụ “thợ hàn - dây chuyền sản xuất A”.
Hình 1 mô phỏng sự phân cấp của nghề và nguyên công.

CHÚ DẪN:
Nghề 1: thợ làm giàn giáo Nguyên công 1: lập kế hoạch
Nghề 2: thợ hàn Nguyên công 2: mài
Nghề 3: thợ sơn Nguyên công 1: hàn
Nghề 4: thủ kho
Hình 1 - Ví dụ minh họa sự phân cấp nghề và nguyên công
|
ci |
Hệ số độ nhạy theo từng khối lượng đầu vào |
- |
|
c1 |
Hệ số độ nhạy gắn với lấy mẫu mức ồn nghề |
- |
|
c1a,m |
Hệ số độ nhạy gắn với lấy mẫu mức ồn nghề của nguyên công m |
- |
|
c1b,m |
Hệ số độ nhạy gắn với sự ước tính khoảng thời gian của nguyên công m |
dB h-1 |
|
c2 |
Hệ số độ nhạy theo thiết bị đo |
- |
|
c3 |
Hệ số độ nhạy theo vị trí micro |
- |
|
i |
Số lượng mẫu nguyên công |
- |
|
I |
Tổng số lượng mẫu nguyên công |
- |
|
j |
Số mẫu quan sát trong khoảng thời gian thực hiện nguyên công |
- |
|
J |
Tổng số mẫu quan sát khoảng thời gian của nguyên công |
- |
|
k |
Hệ số phủ theo khoảng tin cậy |
- |
|
KN |
Mẫu số cho trong công thức nêu tại C.3.3, Chú thích 2 |
- |
|
LEX,8h |
Mức tiếp xúc tiếng ồn trọng số A chuẩn hóa theo mức tiếp xúc tiếng ồn hàng ngày của ngày làm việc 8 h |
dB |
|
|
Mức tiếp xúc tiếng ồn trọng số A chuẩn hóa theo mức tiếp xúc tiếng ồn hàng ngày của ngày làm việc 8 h trên nhiều ngày |
dB |
|
LEX,8h,m |
Mức tiếp xúc tiếng ồn trọng số A của nguyên công m góp vào mức tiếp xúc tiếng ồn hàng ngày |
dB |
|
|
Mức áp suất âm thực liên tục tương đương trọng số A ước tính đối với nguyên công m |
dB |
|
Lp,A,T = Lp,A,eqT |
Mức áp suất âm liên tục tương đương trọng số A trong cả chu kỳ T |
dB |
|
Lp,A,eqT,m |
Mức áp suất âm liên tục tương đương trọng số A đối với nguyên công m |
dB |
|
|
Trung bình cộng của các mẫu đo mức áp suất âm liên tục tương đương trọng số A đối với nguyên công m |
dB |
|
Lp,A,eqT,n |
Mức áp suất âm liên tục tương đương trọng số A đối với mẫu nghề n |
dB |
|
|
Mức áp suất âm liên tục tương đương trọng số A đối với khoảng thời gian làm việc thực trong ngày |
dB |
|
Lp,Cpeak |
Mức áp suất âm đỉnh trọng số C |
dB |
|
m |
Số nguyên công |
- |
|
M |
Tổng số các nguyên công |
- |
|
n |
Số mẫu nghề |
- |
|
N |
Tổng số các mẫu nghề |
- |
|
nG |
Số lượng người lao động trong nhóm tiếp xúc đồng đều |
- |
|
p0 |
Giá trị chuẩn p0 = 2 x 10-5 Pa |
Pa |
|
p A |
Áp suất âm trọng số A |
Pa |
|
pCpeak |
Áp suất âm đỉnh trọng số C |
Pa |
|
Q2 |
Hiệu chính đối với thiết bị đo |
dB |
|
Q3 |
Hiệu chính đối với vị trí của micro |
dB |
|
t |
Khoảng thời gian của phép đo như mô tả trong Hình 2 |
h |
|
T |
Chu kỳ thời gian lấy trung bình |
h |
|
T0 |
Khoảng thời gian chuẩn T0 = 8h |
h |
|
Te |
Khoảng thời gian làm việc thực trong ngày |
h |
|
Tm |
Khoảng thời gian của nguyên công m |
h |
|
Tm,j |
Khoảng thời gian của mẫu j của nguyên công m |
h |
|
Tn |
Khoảng thời gian của mẫu nghề n |
h |
|
U |
Độ không đảm bảo mở rộng |
dB |
|
u |
Độ không đảm bảo chuẩn kết hợp |
dB |
|
ui |
Độ không đảm bảo chuẩn của từng lượng đầu vào |
dB |
|
u1 |
Độ không đảm bảo chuẩn của năng lượng trung bình của số lượng phép đo mức áp suất âm liên tục tương đương trọng số |
A |
|
|
Độ không đảm bảo chuẩn ước lượng của một số phép đo mức áp suất âm liên tục tương đương trọng số A |
dB |
|
u1a,m |
Độ không đảm bảo chuẩn do việc lấy mẫu mức ồn của nguyên công m |
dB |
|
u1b,m |
Độ không đảm bảo chuẩn do việc ước tính khoảng thời gian của nguyên công m |
h |
|
u2 |
Độ không đảm bảo chuẩn do thiết bị đo |
dB |
|
u2,m |
Độ không đảm bảo chuẩn do thiết bị đo trong phương pháp đo theo |
dB |
|
u3 |
Độ không đảm bảo chuẩn do vị trí micro |
dB |
|
x |
Số ngày |
- |
|
X |
Tổng số ngày |
- |
5.1. Máy đo mức âm và máy đo cá nhân đo mức tiếp xúc âm
Có thể thực hiện các phép đo bằng máy đo mức âm tương đương hoặc bằng máy đo cá nhân đo mức tiếp xúc âm.
Máy đo mức âm bao gồm micro và các dây dẫn đi kèm, phải phù hợp các yêu cầu của IEC 61672-1:2002, loại 1 hoặc loại 2. Máy đo loại 1 được dùng khi đo ở nhiệt độ rất thấp hoặc khi tiếng ồn vượt trội ở vùng tần số cao (xem Chú thích 3).
Máy đo cá nhân đo mức tiếp xúc âm, bao gồm micro và các dây dẫn đi kèm, phải phù hợp các yêu cầu trong IEC 61252. Máy đo cá nhân đo mức tiếp xúc âm phù hợp yêu cầu IEC 61672-1: 2002, loại 1, và được khuyến nghị sử dụng khi đo tại nhiệt độ rất thấp hoặc khi tiếng ồn vượt trội ở vùng tần số cao (xem Chú thích 2 và Chú thích 4).
CHÚ THÍCH 1: Đa số máy đo mức âm phù hợp IEC 60651:2001[10] và IEC 60804:2000[11] thì cũng phù hợp với các yêu cầu âm học của IEC 61672-1:2002.
CHÚ THÍCH 2: Máy đo cá nhân đo mức tiếp xúc âm thường được coi như “máy đo lượng ồn”.
CHÚ THÍCH 3: Đối với các thiết bị loại 1 theo IEC 61672-1:2002, các giới hạn dung sai được quy định áp dụng trong dải nhiệt độ từ -10 °C đến +50 °C. Đối với các thiết bị loại 2 theo IEC 61672-1:2002 và các máy đo cá nhân đo mức tiếp xúc âm theo IEC 61252, các ảnh hưởng đo thay đổi nhiệt độ không khí lên mức tín hiệu đo được, được quy định trong dải từ 0 °C đến +40 °C. Để duy trì độ chính xác khi thực hiện các phép đo ngoài dải nhiệt độ trên, cần sử dụng thiết bị được nhà sản xuất ghi rõ tương thích với dải nhiệt độ rộng hơn. Cách khác là có thể chọn máy đo mức âm đáp ứng IEC 61672-1:2002, loại 1. Trong điều kiện khí hậu lạnh, cần giữ ấm thiết bị, ví dụ, thiết bị bọc trong túi vải, chỉ có micro là tiếp xúc với nhiệt độ thấp.
CHÚ THÍCH 4: Việc chọn lựa thiết bị sẽ ảnh hưởng đến độ không đảm bảo đo.
CHÚ THÍCH 5: Đối với máy đo cá nhân đo mức tiếp xúc âm, IEC 61252 cho phép dung sai rộng trong khoảng đặc tính tần số trên 4000 Hz, điều này có thể dẫn đến sai lệch phép đo tiếng ồn ở dải tần số cao ví dụ như tiếng vòi phun khí. Để giảm độ không đảm bảo khi đo tiếng ồn trội ở các tần số cao, có thể sử dụng loại thiết bị đo mà nhà sản xuất ghi rõ đặc tính tần số cao trong dải dung sai hẹp hơn. Cách khác là có thể chọn máy đo mức âm ghi rõ đáp ứng yêu cầu của IEC 61672-1:2002, loại 1.
Máy đo cá nhân đo mức tiếp xúc âm có thể có ngưỡng giới hạn mức ở khoảng 70 dB. Có thể kiểm tra xem liệu điều đó có ảnh hưởng đến kết quả phép đo.
5.2 Thiết bị hiệu chuẩn
Thiết bị hiệu chuẩn phải phù hợp với yêu cầu quy định tại IEC 60942:2003, loại 1
5.3 Chu kỳ kiểm định
Việc kiểm định thiết bị hiệu chuẩn âm và sự phù hợp của hệ thống thiết bị theo các yêu cầu của IEC 61672-1, IEC 61252 và các tiêu chuẩn liên quan khác phải được tiến hành định kỳ trong phòng thí nghiệm thực hiện các phép hiệu chuẩn theo các tiêu chuẩn thích hợp.
Nếu các quy định quốc gia không có chỉ định khác, thiết bị hiệu chuẩn và tính phù hợp của hệ thiết bị theo yêu cầu của IEC 61672-1 được kiểm định với các khoảng thời gian không quá 2 năm.
Ngày kiểm định cuối cùng và tên phòng thí nghiệm thực hiện hiệu chuẩn phải được ghi lại và nêu trong báo cáo của phép đo.
6. Phương pháp luận - Các bước thực hiện
6.1. Bước 1: Phân tích công việc
Việc phân tích cần cung cấp đầy đủ thông tin về công việc và những người lao động đang quan tâm để có thể chọn phương thức đo phù hợp và lập kế hoạch các phép đo. Phân tích công việc được thực hiện phù hợp với Điều 7.
6.2. Bước 2: Chọn phương thức đo
Phương thức đo được chọn từ các phép đo theo nguyên công, phép đo theo nghề hoặc phép đo theo ngày như quy định tại Điều 8. Có thể sử dụng nhiều phương thức đo nếu phù hợp (xem Điều 8).
6.3. Bước 3: Phép đo
Đại lượng đo cơ bản là Lp,A,eqT. Ngoài ra phải đo Lp,Cpeak, nếu phù hợp. Phép đo cần tuân theo phương thức đo đã chọn theo như quy định tại một trong các Điều 9, 10, 11 và phù hợp với yêu cầu của Điều 12.
6.4. Bước 4: Xử lý sai số và độ không đảm bảo
Nguyên nhân của sai số và độ không đảm bảo mà có thể ảnh hưởng kết quả đo phải được đánh giá phù hợp với Điều 13 và Điều 14.
6.5. Bước 5: Tính toán và trình bày kết quả và độ không đảm bảo
Tính LEX,8h theo quy định đối với phương thức đo đã chọn (xem Điều 9, Điều 10, Điều 11) và độ không đảm bảo theo quy định tại Phụ lục C. Kết quả và độ không đảm bảo có thể tính bằng cách sử dụng bảng tính có trong tiêu chuẩn này.
Kết quả được trình bày như quy định tại Điều 15. Phụ lục D, E, F cung cấp các ví dụ thực tế về các phép đo theo nguyên công, phép đo theo nghề và phép đo theo ngày.
7.1. Giới thiệu
Phân tích công việc là yêu cầu đối với tất cả các tình huống. Phân tích này cung cấp tất cả thông tin cần thiết để:
a) Mô tả các hoạt động của doanh nghiệp và công việc của người lao động đang được xem xét;
b) Xác định các nhóm tiếp xúc đồng đều với tiếng ồn (xem 7.2), nếu phù hợp;
e) Xác định ngày danh định hoặc những ngày đối với từng người lao động hoặc nhóm;
f) Xác định những nguyên công để thực hiện nghề, nếu phù hợp;
e) Xác định những tiếng ồn có khả năng xảy ra;
f) Chọn phương thức đo;
g) Lập kế hoạch đo.
Việc phân tích công việc cần chú ý tới sản xuất, quy trình, tổ chức, người lao động và các hoạt động.
Phép đo có thể được thực hiện bằng cách sử dụng phương thức đo theo nguyên công, theo nghề và theo ngày. Khi sử dụng phương thức đo nào, thì điều quan trọng là nhận dạng được tất cả các trường hợp đáng kể gây ra tiếng ồn và đảm bảo rằng trong kế hoạch đo có tính đến các trường hợp này. Xem Phụ lục A về ví dụ danh mục kiểm tra.
CHÚ THÍCH: Thứ tự thực hiện các hạng mục trên phụ thuộc vào sự phức tạp của tình huống đo tại hiện trường. Các hạng mục này liên kết rất chặt chẽ với nhau, và vì thế quy trình có thể lặp đi lặp lại trong các tình huống phức tạp, tức là, sự nhận biết về một trong các hạng mục tăng lên thì có thể dẫn đến sự mô tả mới hoặc định nghĩa lại các hạng mục khác.
7.2. Xác định nhóm tiếp xúc đồng đều với tiếng ồn
Phép đo sẽ giảm bớt bằng việc xác định nhóm tiếp xúc đồng đều với tiếng ồn. Các nhóm người lao động này cùng thực hiện một nghề và dự kiến cùng được coi là tiếp xúc với tiếng ồn tương tự nhau trong ngày làm việc. Nếu sử dụng, nhóm tiếp xúc đồng đều với tiếng ồn cần xác định một cách rõ ràng và bao gồm một hoặc nhiều người lao động.
CHÚ THÍCH: Nhóm tiếp xúc đồng đều với tiếng ồn còn được gọi là nhóm tiếp xúc tiếng ồn như nhau.
Nhóm tiếp xúc đồng đều với tiếng ồn có thể xác định theo nhiều cách. Ví dụ, có thể xác định các nhóm như vậy theo loại nghề, chức năng, khu vực làm việc hoặc khu vực chuyên biệt. Cách khác, các nhóm có thể xác định dựa trên việc phân tích công việc theo sản xuất, quy trình hoặc các tiêu chí hoạt động.
Dù được xác định theo cách nào, những nhóm đã được xác định cũng cần được xác minh lại từ người lao động và người phụ trách và cuối cùng được đánh giá bằng các kết quả đo, xem 10.4.
7.3. Xác định ngày danh định
Ngày danh định bao gồm thời gian lao động và nghỉ ngơi, được xác định với sự tham vấn của người lao động và người quản lý. Cần nghiên cứu công việc để có thể nắm được tổng thể và hiểu rõ tất cả các yếu tố có thể ảnh hưởng đến tiếp xúc tiếng ồn. Xem Phụ lục A để biết thêm thông tin.
Các vấn đề cần đề cập đến là:
a) Các nguyên công (khối lượng và thời gian) và sự thay đổi trong các nguyên công;
b) Các nguồn gây ồn chính và khu vực có công việc gây ồn;
c) Mô hình công việc và các trường hợp gây ồn đáng kể làm thay đổi mức ồn;
d) Số lượng và thời gian nghỉ giải lao, họp, v.v. và liệu chúng có được coi là một phần của ngày danh định.
Cần hoạch định phép đo để bao gồm được tất cả các trường hợp gây ồn chính. Đối với mỗi trường hợp, cần ghi lại thời gian xảy ra, bản chất hiện tượng, khoảng thời gian và tần suất hàng ngày. Ví dụ, danh mục các trường hợp gây ồn đáng kể được phát hiện trong quá trình phân tích công việc được nêu tại Phụ lục A.
Trong một số trường hợp, công việc và do tiếp xúc tiếng ồn thay đổi hàng ngày nên không có sự tiếp xúc hàng ngày mang tính đặc trưng, ví dụ, đối với người lao động làm việc trong các vị trí hoặc nghề khác nhau mỗi ngày. Trong trường hợp đó, ngày danh định có thể xác định từ các trạng thái công việc trong vài ngày, ví dụ 1 tuần. Xem thêm Chú thích tại 3.2 và 3.3.
Bất kỳ các chỉ số đặc trưng cho công việc liên quan đến tiếng ồn cần phải xác định, lượng hóa và báo cáo. Ví dụ về các chỉ số như vậy là: loại hình sản xuất trong quy trình, vật liệu, số lượng, độ dày bán thành phẩm, sự điều chỉnh, vận tốc và số người lao động liên quan.
Nếu mục đích của phép đo là để dự báo sự rủi ro mang tính lâu dài về sự suy giảm thính lực đối với người lao động, thì ngày danh định được chọn sẽ phải đại diện sự tiếp xúc trung bình trong cả một chu kỳ đang xem xét, phù hợp theo ISO 1999.
8.1. Quy định chung
Việc lựa chọn phương thức đo phù hợp chịu ảnh hưởng bởi một số yếu tố như mục đích phép đo, sự phức tạp của trạng thái công việc, số lượng người lao động liên quan, khoảng thời gian làm việc thực trong ngày, thời gian có sẵn dùng cho phép đo và phân tích, và lượng các thông tin chi tiết cần thiết.
8.2. Phương thức đo
Tiêu chuẩn này đưa ra 3 phương thức đo dùng để xác định sự tiếp xúc tiếng ồn tại nơi làm việc, đó là:
a) Phép đo theo nguyên công: phân tích công việc thực hiện trong ngày và chia thành số lượng các nguyên công đại diện, và đối với từng nguyên công tách riêng các phép đo mức áp suất âm (xem Điều 9);
b) Phép đo theo nghề: lấy một số mẫu ngẫu nhiên của mức áp suất âm trong quá trình thực hiện các công việc riêng biệt (xem Điều 10);
c) Phép đo theo ngày: đo liên tục mức áp suất âm trong các ngày làm việc trọn vẹn (xem Điều 11); Các hướng dẫn chi tiết về việc chọn lựa phương thức đo được nêu tại Phụ lục B.
9. Phương thức 1 - Phép đo theo nguyên công
9.1. Chia ngày danh định thành nhóm các nguyên công
Đối với người lao động hoặc nhóm người lao động tiếp xúc đồng đều với tiếng ồn đang xem xét, thì ngày danh định sẽ được chia thành các nguyên công. Mỗi một nguyên công được xác định như Lp,A,eqT có thể lặp đi lặp lại. Cần chú ý đảm bảo rằng phải bao gồm tất cả tiếng ồn liên quan. Những thông tin chi tiết liên quan khoảng thời gian của nguyên công là đặc biệt quan trọng đối với các nguồn gây ồn có mức ồn cao.
Việc xác định các nguồn gây ồn và các nguyên công có mức áp suất âm đỉnh lớn nhất là rất quan trọng để xác định chính xác Lp,A,eqT và Lp,Cpeak.
9.2. Khoảng thời gian của các nguyên công
Khoảng thời gian của nguyên công, Tm, được xác định bằng cách:
a) Phỏng vấn người lao động và người phụ trách;
b) Quan sát và đo các khoảng thời gian trong quá trình thực hiện các phép đo tiếng ồn;
c) Thu thập thông tin liên quan đến các hoạt động của các nguồn gây ồn đặc trưng (ví dụ: các quy trình làm việc, máy móc, các hoạt động tại chỗ làm việc và môi trường xung quanh).
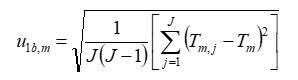
Khoảng thời gian của nguyên công có thể thay đổi một cách tùy chọn. Để xác định sự biến đổi có thể trong khoảng thời gian đo, nguyên công có thể là quan sát và ghi chép, ví dụ 3 lần. Cách khác là có thể hỏi nhiều người lao động hoặc người phụ trách để xác định khoảng thời gian hợp lý.
Nếu trong khoảng thời gian thực hiện nguyên công Tm,j có J lần quan sát được thực hiện, thì giá trị trung bình cộng của khoảng thời gian của nguyên công
m được xác định theo Công thức (5):
(5)
Tổng các khoảng thời gian của nguyên công riêng lẻ Tm, tạo thành ngày danh định, sẽ tương ứng với khoảng thời gian làm việc thực trong ngày. Khoảng thời gian làm việc thực trong ngày, Te, tính bằng:
(6)
Trong đó:
là trung bình cộng khoảng thời gian của nguyên công m;
m là số lượng nguyên công;
M là tổng số các nguyên công.
CHÚ THÍCH: Ví dụ các phép đo theo nguyên công có thể kết hợp với các phép đo theo ngày để xác minh rằng đã bao gồm tất cả các nguồn ồn liên quan.
9.3. Phép đo Lp,A,eqT,m cho các nguyên công
Đối với mỗi nguyên công, cần đo đại lượng Lp,A,eqT,m đặc trưng cho tiếp xúc tiếng ồn với người lao động phù hợp theo Điều 12. Phép đo cần bao gồm mọi sự thay đổi của mức ồn ở ngay từng nguyên công trong không gian, thời gian và các điều kiện làm việc. Người kỹ thuật viên thực hiện phép đo cần bảo đảm rằng vị trí làm việc là có tính đại diện. Người lao động đang quan tâm phải được quan sát trong suốt quá trình đo. Nếu thao tác và điều kiện làm việc bị lệch so với trạng thái bình thường, thì cần ghi chép và báo cáo lại.
Trong trường hợp khi có khó khăn đối với kỹ thuật viên để theo dõi các hoạt động của người lao động mà không gây phiền cho họ thì các hoạt động trong suốt quá trình đo cần ghi lại theo cách khác, ví dụ bằng cách phỏng vấn hoặc xem xét lại ghi chép công việc, và báo cáo lại.
Thời gian đối với mỗi phép đo cần đủ dài để tương ứng với mức áp suất âm trung bình liên tục tương đương đối với nguyên công thực tế. Nếu khoảng thời gian thuộc nguyên công ngắn hơn 5 min, thì thời gian của mỗi phép đo sẽ bằng khoảng thời gian của nguyên công. Đối với nguyên công dài hơn, thời gian của mỗi phép đo cần ít nhất 5 min. Tuy vậy, thời gian của mỗi phép đo sẽ giảm nếu mức tiếng ồn không đổi hoặc lặp lại, hoặc nếu tiếng ồn thuộc nguyên công được cho là nhỏ so với tổng số tiếp xúc tiếng ồn, xem Hình 2, Nguyên công 1.
Nếu tiếng ồn thuộc nguyên công có tính chất chu kỳ, thì phép đo cần bao gồm khoảng thời gian ít nhất ba chu kỳ. Nếu thời gian của ba chu kỳ nhỏ hơn 5 min, mỗi phép đo cần ít nhất 5 min. Thời gian của mỗi phép do cần luôn tương ứng với khoảng thời gian của số chu kỳ đầy đủ, xem Hình 2, Nguyên công 2.
Nếu tiếng ồn trong nguyên công luôn dao động ngẫu nhiên, thì thời gian của mỗi phép đo cần đủ dài để đảm bảo rằng đại lượng Lp,A,eqT,m đo được là đại diện cho tiếng ồn trong suốt nguyên công, xem Hình 2, Nguyên công 3.
Đối với mỗi nguyên công, cần thực hiện ít nhất 3 phép đo. Để có thể bao gồm sự thay đổi thực tế trong mức tiếng ồn, khuyến cáo nên đo tại các thời điểm khác nhau khi thực hiện nguyên công hoặc ở các nhóm người lao động khác nhau trong một nhóm.
Nếu kết quả của ba phép đo của một nguyên công khác nhau 3 dB hoặc nhiều hơn:
a) Thực hiện ba hoặc nhiều hơn các phép đo bổ sung theo nguyên công; hoặc
b) Chia nguyên công thành các nguyên công nhỏ hơn và thực hiện lại các bước 9.2 và 9.3; hoặc
c) Thực hiện lại điều này với thời gian dài hơn cho mỗi phép đo.
CHÚ THÍCH: Phép đo bổ sung không giảm phạm vi các giá trị đo được mà có thể làm giảm độ không đảm bảo thành phần.

CHÚ DẪN:
|
L |
Mức tiếng ồn là hàm số của thời gian |
t |
Thời gian |
|
T1 |
Khoảng thời gian nguyên công 1 |
t1 |
Thời gian phép đo 1: tiếng ồn gần như không đổi |
|
T2 |
Khoảng thời gian nguyên công 2 |
t2 |
Thời gian phép đo 2: tiếng ồn dao động theo chu kỳ |
|
T3 |
Khoảng thời gian nguyên công 3 |
t3 |
Thời gian phép đo 3: tiếng ồn dao động ngẫu nhiên |
Hình 2 - Ví dụ về ba chu kỳ với các trạng thái tiếng ồn khác nhau và khoảng thời gian thực của mỗi phép đo
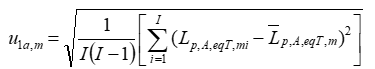
Tính mức áp suất âm liên tục tương đương trọng số A đối với nguyên công m từ các phép đo riêng lẻ I, Lp,A,eqT,mi như sau:
(7)
Trong đó:
Lp,A,eqT,mi là mức áp suất âm liên tục tương đương trọng số A thuộc nguyên công với khoảng thời gian Tm;
i là số mẫu thuộc nguyên công m;
I là tổng số mẫu thuộc nguyên công m.
Tính toán độ không đảm bảo theo Điều C.2.
9.4. Tính toán sự đóng góp từng nguyên công vào mức tiếp xúc tiếng ồn hàng ngày
Việc tính toán trong điều này không bắt buộc và có thể thực hiện khi cần xác định giá trị đóng góp tương đối của từng nguyên công vào mức tiếp xúc tiếng ồn hàng ngày. Nếu không thực hiện luôn theo 9.5.
Tiếng ồn mà nguyên công m đóng góp vào mức tiếp xúc tiếng ồn hàng ngày trọng số A, LEX,8h,m, có thể tính từ công thức:
(8)
Trong đó
Lp,A,eqT,m là mức áp suất âm liên tục tương đương trọng số A thuộc nguyên công m, đã cho theo Công thức (7);
là trung bình cộng khoảng thời gian thuộc nguyên công m, đã cho theo Công thức (5);
T0 là khoảng thời gian chuẩn, T0 = 8 h.
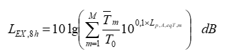
9.5. Xác định mức tiếp xúc tiếng ồn hàng ngày
Tính mức tiếp xúc tiếng ồn trọng số A hàng ngày LEX,8h, từ Công thức (9) hoặc Công thức (10).
Công thức (9) cho phép tính mức tiếp xúc tiếng ồn trọng số A hàng ngày từ Lp,A,eqT,m và thời gian thuộc từng nguyên công. Công thức này sử dụng mức tính từ Công thức (7) và khoảng thời gian theo 9.2.
(9)
Trong đó:
Lp,A,eqT,m là mức áp suất âm liên tục tương đương trọng số A thuộc nguyên công m đã cho theo Công thức (7);
là trung bình cộng khoảng thời gian thuộc nguyên công m, đã cho theo Công thức (5);
T0 là khoảng thời gian chuẩn, T0 = 8 h;
m là số nguyên công;
M là tổng số nguyên công thuộc nguyên công m đóng góp vào mức tiếp xúc tiếng ồn.
Công thức (10) cho phép tính mức tiếp xúc tiếng ồn trọng số A từ tiếng ồn đóng góp từ mỗi nguyên công. Nó có thể sử dụng nếu sự đóng góp tương đối từ mỗi nguyên công m được tính theo 9.4 sử dụng Công thức (8):
(10)
Trong đó:
LEX,8h,m là mức tiếp xúc tiếng ồn trọng số A thuộc nguyên công m đóng góp vào mức tiếp xúc tiếng ồn hàng ngày;
m là số nguyên công;
M là tổng số nguyên công thuộc nguyên công m đóng góp vào mức tiếp xúc tiếng ồn hàng ngày.
10. Phương thức 2 - Phép đo theo nghề
10.1. Quy định chung
Nguyên tắc của phương thức đo này là bằng phép đo Lp,A,eqT để đo các mẫu ngẫu nhiên của tiếp xúc tiếng ồn trong quá trình thực hiện công việc xác định trong quá trình phân tích.
10.2. Kế hoạch đo - Số lượng, thời gian và phân bố phép đo
Kế hoạch đo cần thiết lập như sau. Từ các nghề xác định, sẽ thiết lập các nhóm tiếp xúc tiếng ồn đồng đều (xem thêm 7.2). Đối với mỗi nhóm tiếp xúc tiếng ồn đồng đều cần:
a) Xác định từ Bảng 1 khoảng thời gian tích lũy nhỏ nhất của phép đo đối với số lượng người lao động, nG, của nhóm tiếp xúc tiếng ồn đồng đều;
b) Chọn khoảng thời gian mẫu và số lượng mẫu, ít nhất là 5, như vậy thời gian tích lũy sẽ phù hợp hoặc vượt thời gian xác định nhỏ nhất ở bước trên;
c) Lập kế hoạch lấy mẫu, các mẫu này được phân bố ngẫu nhiên trong các thành viên của nhóm theo thời gian làm việc;
CHÚ THÍCH: Các kết quả phân tích công việc, đánh giá nghề nghiệp và tính khả thi có thể hướng dẫn chọn lựa một số mẫu để đảm bảo rằng đã bao gồm các trường hợp gây ồn riêng biệt. Việc tăng số lượng mẫu đo làm giảm độ không đảm bảo.
Bảng 1 - Đặc điểm kỹ thuật đối với tổng thời gian đo nhỏ nhất áp dụng cho nhóm số người tiếp xúc tiếng ồn đồng đều nG
|
Số lượng người lao động trong nhóm tiếp xúc đồng đều |
Khoảng thời gian đo tích lũy nhỏ nhất để phân bố trên toàn nhóm tiếp xúc đồng đều |
|
nG |
|
|
nG £ 5 |
5 h |
|
5 < nG £ 15 |
5 h + (nG - 5) x 0,5 h |
|
15 < nG £ 40 |
10h + (nG - 15) x 0,25 h |
|
nG > 40 |
17 h hoặc chia nhóm |
VÍ DỤ: Thiết lập kế hoạch đo đối với nhóm tiếp xúc đồng đều gồm sáu người lao động. Kế hoạch đo như sau:
1) Khoảng thời gian đo tích lũy nhỏ nhất đối với các mẫu được xác định là 5,5 h (theo Bảng 1);
2) Số lượng mẫu đã chọn là 10, mỗi mẫu lấy kết quả trong 33 min;
3) Ba người lao động được chọn ngẫu nhiên trong số sáu người;
4) Mẫu đầu tiên được chọn bắt đầu ngay khi bắt đầu ngày làm việc và mẫu cuối cùng lúc kết thúc ngày làm việc vì việc phân tích công việc cho thấy các chu kỳ này góp phần quan trọng vào sự tiếp xúc tiếng ồn;
5) Tám mẫu khác phân bố ngẫu nhiên cả vào thời gian nghỉ ngơi của ngày làm việc.
10.3. Phép đo
Thực hiện các phép đo theo Điều 12.
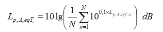
10.4. Xác định mức tiếp xúc tiếng ồn hàng ngày đối với người lao động trong nhóm tiếp xúc đồng đều
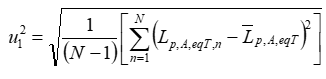
Tính mức áp suất âm liên tục tương đương trọng số A,
đối với khoảng thời gian làm việc thực trong ngày, Te, từ Công thức (11):
(11)
Trong đó:
Lp,A,eqT,n là mức áp suất âm liên tục tương đương trọng số A đối với mẫu n;
n là số mẫu nghề;
N là tổng số mẫu nghề.
Tính mức tiếp xúc tiếng ồn trọng số A hàng ngày LEX,8h đối với người lao động trong nhóm tiếp xúc đồng đều từ Công thức (12)
(12)
Trong đó:
là mức áp suất âm liên tục tương đương trọng số A đối với khoảng thời gian làm việc thực trong ngày;
Te là khoảng thời gian làm việc thực trong ngày;
T0 là khoảng thời gian chuẩn, T0 = 8 h.
Tính toán độ không đảm bảo theo Điều C.3.
Nếu độ không đảm bảo góp thêm c1u1 do việc lấy mẫu (theo Bảng C.4) lớn hơn 3,5 dB, thì cần giảm bớt nhóm tiếp xúc đồng đều hoặc tăng số lượng phép đo để giảm độ không đảm bảo.
11. Phương thức 3 - Phép đo theo ngày
11.1. Quy định chung
Phép đo theo ngày cần đo được hết mọi nguồn ồn liên quan đến công việc và cả thời gian yên tĩnh trong ngày làm việc. Thực tế là thực hiện các phép đo này trên cả khoảng thời gian dài bằng cách sử dụng các máy đo cá nhân đo mức tiếp xúc âm hoặc thiết bị tương tự.
Khi sử dụng phương thức đo này, cần đảm bảo rằng những ngày được chọn là đại diện cho trạng thái được xác định là trạng thái công việc liên quan.
Vì các nguyên nhân thực tế, có thể không đo cả ngày làm việc. Trong các trường hợp đó, phép đo cần thực hiện tối đa thời gian làm việc trong ngày có thể, bao gồm tất cả các chu kỳ đáng kể tiếp xúc với tiếng ồn.
CHÚ THÍCH: Khi phương thức đo cả ngày thu thập mọi tiếng ồn, nó cũng có rủi ro cao nhất do gồm cả những tiếng ồn nhiễu (xem Điều 13). Rủi ro này có thể giảm bằng việc quan sát cẩn thận người lao động trong quá trình đo, thực hiện những phép đo điểm và/hoặc bằng cách phỏng vấn người lao động tại cuối ca làm việc về nguyên công mà họ thực hiện hoặc phỏng vấn về các vị trí mà họ đã làm việc tại đó.
11.2. Quan sát các hoạt động và quan trắc các phép đo
Cần quan sát người lao động trong suốt quá trình đo. Nếu không thể, cần kiểm tra hiệu lực phép đo bằng một trong các cách sau:
a) Phỏng vấn các người phụ trách hoặc người lao động;
b) Thực hiện phép đo điểm để kiểm tra các mức đo được bằng máy đo cá nhân đo mức tiếp xúc âm;
c) Đánh giá sự tiếp xúc của số người lao động đã chọn sử dụng phép đo theo nguyên công như quy định tại Điều 9;
d) Người lao động và kỹ thuật viên kiểm tra dữ liệu đo lưu lại của máy đo cá nhân đo mức tiếp xúc âm vào cuối ca làm việc để xác định những nguyên công và sự việc khác nhau. Vì lý do đó, khuyến cáo nên sử dụng máy đo cá nhân đo mức tiếp xúc âm ghi lại được.
11.3. Phép đo
Thực hiện các phép đo theo Điều 12. Đầu tiên, cần tiến hành ba phép đo theo ngày Lp,A,eqT đại diện cho mức tiếp xúc tiếng ồn của người lao động.
Nếu kết quả của ba phép đo này khác nhau ít hơn 3 dB, thì tính áp suất âm liên tục tương đương trọng số A trong ngày danh định như năng lượng trung bình của ba phép đo. Xem Công thức (11).
Nếu kết quả của ba phép đo này khác nhau từ 3 dB trở lên, thì thực hiện ít nhất thêm hai phép đo theo ngày và tính mức áp suất âm liên tục tương đương trọng số A trong ngày danh định như năng lượng trung bình của tất cả các phép đo.
11.4. Xác định mức tiếp xúc tiếng ồn hàng ngày
Tính mức tiếp xúc tiếng ồn trọng số A hàng ngày, LEX,8h từ Công thức (13)
(13)
Trong đó:
là mức áp suất âm liên tục tương đương trọng số A lấy từ 11.3;
Te là khoảng thời gian làm việc thực trong ngày;
T0 là khoảng thời gian chuẩn, T0 = 8 h.
Tính toán độ không đảm bảo theo Điều C.4 .
12.1. Lựa chọn thiết bị
Phép đo cần sử dụng các loại thiết bị sau (xem thêm 5.1):
a) Đeo máy đo cá nhân đo mức tiếp xúc âm cho người lao động cần xác định mức tiếp xúc tiếng ồn;
b) Đặt máy đo mức âm tương đương ở vị trí riêng rẽ hoặc cầm trên tay theo người lao động làm việc
Máy đo cá nhân đo mức tiếp xúc âm có thể sử dụng để đo trong mọi tình huống công việc. Đó là cách tốt nhất khi đo trong khoảng thời gian dài cho những người lao động làm việc di chuyển, thực hiện những nguyên công phức tạp hoặc không dự đoán được trước hoặc thực hiện một số lượng lớn các nguyên công riêng rẽ.
Để đo những nguyên công đơn lẻ hoặc đa dạng tại các vị trí cố định, có thể sử dụng máy đo mức âm cầm tay hoặc cố định.
12.2. Hiệu chuẩn tại hiện trường
Việc hiệu chuẩn tại hiện trường bao gồm kiểm tra hiệu chuẩn âm cho toàn bộ hệ thống đo, bao gồm micro và là một thủ tục điều tra riêng, tách biệt với phòng hiệu chuẩn. Hiệu chuẩn tại hiện trường phải sử dụng bộ hiệu chỉnh âm phù hợp các yêu cầu của IEC 60942:2003, loại 1, cho mỗi mioro và phải ghi lại mức âm đo được tại một hoặc nhiều tần số trong dải tần số quan tâm. Hiệu chuẩn tại hiện trường cần tiến hành tại nơi yên tĩnh.
Trước mỗi đợt đo và tại thời điểm bắt đầu từng đợt đo hàng ngày, cần thực hiện phép hiệu chuẩn tại hiện trường với sự hiệu chỉnh phù hợp. Cuối mỗi đợt đo và sau khi kết thúc ngày đo sẽ tiến hành hiệu chuẩn tại hiện trường nhưng không hiệu chỉnh. Nếu giá trị đo được ở mỗi tần số trong quá trình hiệu chỉnh sau khi đo và trước khi đo lệch nhau hơn 0,5 dB, thì cần loại bỏ kết quả của đợt đo này.
12.3. Thiết bị đeo vào người lao động
Micro được gắn trên đỉnh vai, cách vai khoảng 0,04 m và cách tai với hướng tiếp xúc nhiều nhất với tiếng ồn ít nhất là 0,1 m. Micro và dây dẫn cần buộc chặt để các ảnh hưởng cơ học hoặc quần áo không làm sai lệch kết quả đo.
Chú ý không làm ảnh hưởng đến công việc và đặc biệt không gây mất an toàn lao động. Tương tự, cần tránh những đóng góp làm sai lệch khác. Xem thêm 13.2.
CHÚ THÍCH 1: Khi sử dụng thiết bị đo đeo trên người lao động hoặc trong các trường hợp khác khi micro đeo rất gần người họ, kết quả đo bị ảnh hưởng bởi hiệu ứng màn chắn và phản xạ của cơ thể. Đặc biệt ở tần số cao và nguồn ồn nhỏ ở khoảng cách gần tai. Trong các trường hợp đó, khi thực hiện các phép đo, cần đặt micro ở hai bên đầu để tạo sự tiếp xúc cho tai được tiếp xúc nhiều nhất.
CHÚ THÍCH 2: Sự thuận lợi của việc sử dụng máy đo cá nhân đo mức tiếp xúc âm là không cần theo sát người lao động và có thể thử nghiệm đồng thời một lúc với nhiều người lao động.
Cần cho người lao động biết mục đích của phép đo. Người lao động cần biết là không được tháo bỏ thiết bị trong quá trình đo và thực hiện công việc bình thường.
Máy đo cá nhân đo mức tiếp xúc âm cần được khởi động lại và hoạt động theo đúng hướng dẫn của nhà sản xuất. Điều này được thực hiện sau khi hiệu chuẩn máy, thiết bị đo cần được gắn vào và micro được đặt vào vị trí để đảm bảo rằng không để lọt vào tiếng ồn khác, cần ghi chép thời gian bắt đầu đo. Khi phép đo kết thúc, tắt thiết bị đo theo hướng dẫn của nhà sản xuất trước khi bỏ thiết bị và micro ra. Cần ghi lại thời gian kết thúc đo.
Bất kỳ các mức âm đỉnh nào cao được thiết bị ghi lại mà quan sát thấy không hợp lệ, cần được điều tra và chú thích trong báo cáo.
12.4. Máy đo mức âm tương đương
Các mức tiếng ồn đo được là đại diện cho mức tiếng ồn tại tai người lao động. Nếu trường âm là đồng nhất, thì vị trí đo chính xác là không quan trọng.
Các phép đo cần được tiến hành với micro đặt ở các vị trí đầu người lao động khi đang thực hiện nghề hoặc nguyên công. Tốt nhất micro cần đặt ở mặt phẳng trung tâm đầu người lao động, trên đường thẳng với mắt, trục của nó song song với tầm nhìn của họ, và không có sự hiện diện của họ. Cần chú ý tính đến các vị trí không gian tương ứng khác nhau của đầu người lao động. Xác định mức áp suất âm trung bình tại khu vực làm việc bằng cách di chuyển máy đo mức âm xung quanh khu vực đo. Có thể thực hiện việc dò tìm này bằng cách di chuyển micro với vận tốc không đổi theo một đường có dạng: ¥.
Trong trường hợp, người lao động phải có mặt tại vị trí làm việc của họ, micro được đặt hoặc giữ khoảng cách xa tai từ 0,1 m đến 0,4 m theo hướng âm đến và tại bên tai chịu tiếp xúc tiếng ồn nhiều nhất.
Nếu hoạt động của người lao động hoặc tại vị trí làm việc không thể giữ khoảng cách trong khoảng 0,4 m, thì khuyến cáo nên đeo thiết bị vào người họ.
Nếu vị trí của người lao động rất gần với nguồn gây ồn, cần nghiên cứu trường âm cẩn thận và vị trí cũng như hướng của micro đã chọn phải được nêu chính xác trong báo cáo thử nghiệm. Nếu vị trí đầu người lao động tại chỗ làm việc không xác định được đúng, thì có thể sử dụng các chiều cao đặt micro như sau (xem ISO 111200[2], ISO 11201[3], ISO 11202[4], ISO 11203[5] và ISO 11205[6]):
a) Đối với người lao động đứng làm việc: cách mặt đất 1,55 m ± 0,075 m nơi người lao động đứng;
b) Đối với người lao động ngồi làm việc: cách tâm mặt phẳng ngồi 0,8 m ± 0,05 m, chỗ ngồi được bố trí tại hoặc càng gần tâm điểm có điều chỉnh ngang và dọc càng tốt.
Thậm chí, nếu người lao động làm việc ở vị trí cố định, các phép đo với micro đặt ở vị trí cố định thì có thể đưa ra giá trị đo cao hơn hoặc thấp hơn mức tiếp xúc thật trong trường hợp khi họ di chuyển xung quanh máy. Trong những trường hợp đó, cần sử dụng máy đo cá nhân đo mức tiếp xúc âm.
Nếu gần nguồn âm, thì chỉ cần sự thay đổi không đáng kể vị trí micro có thể làm thay đổi đáng kể kết quả mức áp suất âm. Nếu tại nơi làm việc âm sắc rất rõ, có thể xuất hiện sóng đứng. Để xác định sự thay đổi cục bộ của mức áp suất âm, micro cần di chuyển qua khu vực làm việc tương ứng gần nguồn gây ồn. Những biến đổi của mức áp suất âm quan sát được khi di chuyển micro sẽ được xử lý theo như mức biến đổi theo thời gian và lấy trung bình một cách thích hợp. Nếu sử dụng phương pháp quét để nghiên cứu sự thay đổi trong khu vực, thì mức tiếng ồn là một hàm số của thời gian, L(t), cần được đo với sự phân giải thời gian thích hợp. Các dữ liệu về tiếng ồn để đánh giá độ không đảm bảo có thể thu được bằng cách chia tách phép đo toàn bộ thành ba hoặc tốt nhất là sáu chu kỳ với cùng khoảng thời gian, và sử dụng cùng mức cho từng chu kỳ trong các phép tính toán. Phép đo bổ sung với thiết bị lắp cố định vào người lao động được tuân theo 12.3 sẽ làm giảm độ không đảm bảo của mức tiếp xúc tiếng ồn từ nguồn ồn.
Yêu cầu có các quy trình đo đặc biệt khi đo mức tiếp xúc tiếng ồn dưới ống nghe (ví dụ: dùng cho thư ký, nhân viên trực điện thoại, phi công, nhân viên kiểm soát không lưu) hoặc dưới mũ (ví dụ: mũ phi công, mũ bảo hiểm xe máy). Đối với nguồn gây ồn gần tai, thực hiện các phép đo trong ống tai theo ISO 11904-1[7]) hoặc ISO 11904-2[8].
13. Nguyên nhân gây độ không đảm bảo
13.1. Quy định chung
Cần cân nhắc một số nguyên nhân gây ra độ không đảm bảo để giảm thiểu tối đa có thể ảnh hưởng của chúng. Độ không đảm bảo có thể do sai số và do sự thay đổi tự nhiên ở chỗ làm việc.
Nguyên nhân chính của độ không đảm bảo của kết quả là:
a) Các thay đổi trong ngày làm việc, điều kiện thao tác, độ không đảm bảo trong lấy mẫu, v.v.;
b) Thiết bị và hiệu chuẩn;
c) Vị trí micro;
d) Các sự đóng góp sai do một số nguyên nhân, ví dụ: gió, dòng khí, hoặc sự tác động lên micro và sự cọ sát micro lên quần áo;
e) Sự phân tích công việc thiếu và sai;
f) Sự góp phần do các nguồn âm không điển hình như: nói chuyện, nhạc (từ radio), tín hiệu âm thanh cảnh báo và các trạng thái không bình thường.
Điều khoản a) phụ thuộc vào độ phức tạp của trạng thái làm việc. Các thay đổi được cho là lớn nhất đối với người lao động làm việc di chuyển giữa các nguồn ồn không ổn định. Điều khoản b) phụ thuộc vị trí micro đặt cố định ở đâu, sử dụng cấp loại nào của thiết bị đo và thiết bị hiệu chuẩn micro. Các điều khoản c), d), e) sẽ giảm do thực hành tốt các quy định trong tiêu chuẩn này. Đối với điều khoản f) các nguyên nhân gây độ không đảm bảo sẽ được xác định khi phân tích công việc sẽ quyết định liệu các nguyên nhân đó có bao gồm hay không. Các nguồn ồn góp thêm vào sẽ được xác định khi phân tích công việc và các phép đo. Nếu phát hiện có sự đóng góp đáng kể từ các nguồn sai lỗi, thì các phép đo bị loại bỏ hoặc hiệu chỉnh.
Mức tiếp xúc tiếng ồn đo được và độ không đảm bảo của kết quả phụ thuộc vào phương pháp đo được sử dụng. Máy đo cá nhân đo mức tiếp xúc âm có thể đo cả tiếng ồn từ tiếng nói, radio..., làm tăng thêm mức tiếp xúc tiếng ồn đo được. Việc sử dụng máy đo mức âm cầm tay có thể loại bỏ các nguồn này, ví dụ bằng cách tạm dừng phép đo. Các phép đo tại các vị trí cố định có thể dẫn đến sự đánh giá thấp hơn sự tiếp xúc tiếng ồn của người lao động do có khó khăn trong việc xử lý các đóng góp của tiếng ồn từ các nguồn âm gần sát với tai, ví dụ các dụng cụ cầm tay.
13.2. Tác động cơ học lên micro
Có thể tránh các sai số phép đo các tác động cơ học lên micro, bằng cách không chạm hoặc tác động vào micro hoặc cái chắn gió. Ảnh hưởng này rất khó quan sát khi dùng máy đo cá nhân đo mức tiếp xúc âm. Nhiều thiết bị đo ghi các mức âm cao nếu micro và/hoặc các thiết bị nối bị chạm vào, bị chà xát, hoặc bị tiếp xúc với các vật khác.
Các phép đo cần được kiểm tra độ không đảm bảo này bằng cách so sánh kết quả đo chi tiết (lưu lại) khi có sẵn và sự quan sát trong quá trình đo (ví dụ ghi chép trong sổ tay). Nếu xuất hiện các giá trị đỉnh không rõ, thì cần điều tra tìm hiểu sự ảnh hưởng lên kết quả đo và cần đo lại nếu sự ảnh hưởng là đáng kể. Trong trường hợp khi sử dụng thiết bị không có chức năng ghi và không thể giải thích được giá trị đỉnh cao, cần tiến hành đo lại.
13.3. Gió và dòng khí
Cần tránh đo tại nơi dòng khí có vận tốc thổi cao. Nếu không thể, cần tránh để giảm tiếng ồn tới mức thấp nhất. Nếu có thể, cần kiểm tra ảnh hưởng của dòng khí bằng cách đo tại nơi có công việc tương tự nhưng không có dòng khí. Nếu không thể, có thể đánh giá tiếng ồn này tại nơi có lượng gió tương tự nhưng không có tiếng ồn nghề nghiệp.
Có thể giảm tiếng ồn dòng khí bằng việc sử dụng micro có chụp chắn gió. Đối với máy đo cá nhân đo mức tiếp xúc âm, kích thước của chụp chắn gió thường bị hạn chế. Khi sử dụng máy đo mức âm cầm tay với chụp chắn gió lớn hơn, có thể kiểm soát được đáng kể ảnh hưởng tiềm ẩn của tiếng ồn do dòng khí.
Cần trang bị chụp chắn gió với kích thước đường kính nhỏ nhất là 60 mm cho máy đo mức âm cầm tay để giảm ảnh hưởng của tiếng ồn do dòng khí hoặc gió.
CHÚ THÍCH: Sự đóng góp của gió và dòng khí phụ thuộc vào vận tốc gió và kích thước chụp gió. Với chụp gió có đường kính 60 mm hoặc lớn hơn thì mức áp suất âm trọng số A khoảng 80 dB thướng không bị ảnh hưởng nhiều bởi vận tốc gió trên 10 m/s.
13.4. Những âm thanh góp thêm vào
Cần chú ý khi xác định các âm thanh liên quan đến mức tiếp xúc tiếng ồn. Các tiếng ồn như radio, tiếng nói, tín hiệu báo sẽ phải coi là các tiếng ồn liên quan nếu việc phân tích công việc cho thấy rằng chúng là một phần của trạng thái công việc bình thường. Tuy nhiên, nếu người thực hiện phép do có đủ các lý do hợp lý để coi những tiếng ồn này là không liên quan thì có thể loại bỏ chúng từ các số liệu đo được, với điều kiện là điều này được báo cáo.
Nếu tại nơi làm việc quan sát thấy có hiện tượng không bình thường trong quá trình đo, thì cần đánh giá các ảnh hưởng có thể có đối với kết quả của phép đo. Nếu ảnh hưởng này là đáng kể thì phải tiến hành các phép đo mới.
14. Tính độ không đảm bảo đo và trình bày kết quả cuối cùng
Xác định độ không đảm bảo khi đo mức tiếp xúc tiếng ồn nghề nghiệp theo Phụ lục C.
Kết quả cuối cùng gồm có giá trị đo được và giá trị độ không đảm bảo.
Độ không đảm bảo mở rộng, cùng với hệ số phủ tương ứng, được công bố trong khoảng tin cậy một phía bằng 95 %.
15. Các thông tin trong báo cáo
Báo cáo về phép đo mức tiếp xúc tiếng ồn thực hiện theo tiêu chuẩn này cần có những thông tin sau:
a) Thông tin chung:
1) Tên đơn vị khảo sát (công ty, phòng....),
2) Nhận dạng người lao động hoặc nhóm người lao động (tên và số người lao động) tiếp xúc với tiếng ồn,
3) Tên người và đơn vị thực hiện các phép đo và tính toán,
4) Mục đính của việc xác định,
5) Viện dẫn tiêu chuẩn này và phương thức áp dụng;
b) Phân tích công việc:
1) Mô tả hoạt động của các công việc cần điều tra.
2) Cỡ (số người) và thành phần của nhóm tiếp xúc đồng đều với tiếng ồn, nếu có thể,
3) Mô tả ngày điều tra, bao gồm các nguyên công trong ngày danh định khi thực hiện các phép đo theo nguyên công,
4) Phương thức đo/các phương thức áp dụng và viện dẫn phương pháp thống kê.
c) Thiết bị:
1) Nhận dạng và cấp của thiết bị (nhà sản xuất, loại, số loạt),
2) Cấu hình hệ thống, ví dụ chụp chắn gió, cáp nối...,
3) Hiệu chuẩn truy tìm nguồn gốc (ngày và kết quả của hầu hết các kiểm định gần nhất của các bộ phận của hệ thống đo),
4) Các văn bản chứng minh các lần kiểm tra hiệu chuẩn trước và sau mỗi phép đo,
d) Các phép đo:
1) Nhận dạng (các) người lao động tiếp xúc với tiếng ồn được đo,
2) Ngày, giờ thực hiện các phép đo
3) Thiết bị sử dụng trong mỗi phép đo (nếu sử dụng các thiết bị khác nhau),
4) Mô tả công việc của người lao động trong quá trình thực hiện các phép đo, bao gồm khoảng thời gian của các hoạt động, và nếu có thể, kể cả khoảng thời gian của các sự kiện có chu kỳ trong phạm vi hoạt động công việc,
5) Báo cáo bất kỳ sự thay đổi nào so với các điều kiện bình thường hoặc trạng thái công việc thường trong quá trình thực hiện các phép đo,
6) Các chỉ số của quá trình sản xuất liên quan đến công việc đang tiến hành,
7) Mô tả các nguồn ồn gây ra tiếng ồn góp phần vào sự tiếp xúc với tiếng ồn.
8) Mô tả các âm thanh liên quan gồm có hoặc đã được xóa bỏ đi từ kết quả đo,
9) Mô tả các trường hợp quan sát được có thể ảnh hưởng tới các phép đo (ví dụ: dòng khí, các tác động lên micro, tiếng ồn xung),
10) Các thông tin liên quan về điều kiện khí hậu (ví dụ: gió, mưa, nhiệt độ),
11) Vị trí và hướng của (các) micro,
12) Số lượng phép đo tại mỗi vị trí
13) Thời gian của từng phép đo,
14) Thời gian của mỗi nguyên công trong ngày danh định và độ không đảm bảo kèm theo khi sử dụng phép đo theo nguyên công.
15) Kết quả của mỗi phép đo, ít nhất gồm Lp,A,eqT, và tùy chọn, có thể các giá trị Lp,Cpeak cao nhất;
e) Kết quả và kết luận:
1) Mức áp suất âm liên tục tương đương trọng số A Lp,A,eqT, và tùy chọn, có thể mức áp suất âm đỉnh trọng số C Lp,Cpeak cho từng nguyên công/nghề.
2) Khi sử dụng phép đo theo nguyên công, giá trị LEX,8h,m cho từng nguyên công, nếu liên quan,
3) Mức tiếp xúc tiếng ồn trọng số A LEX,8h đối với (các) ngày danh định, và mức áp suất âm đỉnh trọng số C Lp,Cpeak cao nhất nếu đo được trong toàn bộ nguyên công, làm tròn đến 1 chữ số thập phân,
4) Độ không đảm bảo liên quan đến LEX,8h và Lp,Cpeak, nếu có sẵn, đối với (các) ngày danh định, làm tròn đến 1 chữ số thập phân (báo cáo mức tiếp xúc tiếng ồn và độ không đảm bảo đo theo các giá trị riêng biệt).
(tham khảo)
|
Có các công việc sau không? |
Có |
Không |
|
● Sử dụng vòi phun khí nén |
□ |
□ |
|
● Sự xả khí nén |
□ |
□ |
|
● Đập búa |
□ |
□ |
|
● Va đập mạnh |
□ |
□ |
|
● Thỉnh thoảng sử dụng thiết bị và máy móc ồn |
□ |
□ |
|
● Phương tiện vận tải gây ồn đi qua |
□ |
□ |
|
Có các thao tác rất ồn trong các giai đoạn riêng biệt không? |
|
|
|
● Bắt đầu ca làm việc |
□ |
□ |
|
● Kết thúc ca làm việc |
□ |
□ |
|
● Trong quá trình điều chỉnh, các giai đoạn cung cấp |
□ |
□ |
|
● Trong lúc khởi động và ngắt các hoạt động hoặc sản xuất |
□ |
□ |
|
● Trong lúc làm vệ sinh |
□ |
□ |
|
● Khác |
□ |
□ |
|
Có các hoạt động rất ồn ở các vị trí làm việc bên cạnh không? |
|
|
|
● Loại: ______________________________________________________ |
□ |
□ |
|
● Vị trí lao động chịu tiếp xúc: __________________________________ |
□ |
□ |
Xem thêm 7.3
(tham khảo)
B.1 Quy định chung
Phụ lục này cung cấp các chi tiết về cơ sở phương thức đo và hướng dẫn việc lựa chọn phương thức phù hợp nhất (xem Điều 8).
B.2 Phương thức 1 - Phép đo theo nguyên công
Phương thức này tập trung vào những nguyên công sản xuất có tiếp xúc tiếng ồn lớn và việc giảm thiểu thời gian đo cần thiết đối với độ không đảm bảo quy định. Phép đo theo nguyên công rất có lợi khi công việc có thể chia thành từng nguyên công xác định với điều kiện tiếng ồn rõ ràng trong suốt thời gian đo. Tuy nhiên, cần chú ý mọi tiếng ồn liên quan góp phần đã bao gồm trong quá trình đo, nó đòi hỏi sự hiểu biết về các trường hợp tiếp xúc âm thanh cao với khoảng thời gian ngắn trong ngày làm việc.
Phương thức đo này trên cơ sở phân tích công việc chi tiết nhằm hiểu rõ mọi nguyên công. Hơn nữa, nó yêu cầu sự đánh giá liên tục các phép đo. Phương thức này cho phép chỉ cần thực hiện số lượng nhỏ các phép đo đối với các nguyên công có sự thay đổi mức tiếng ồn ít.
Phép đo theo nguyên công cung cấp thông tin về các đóng góp từ các nguyên công khác nhau vào sự tiếp xúc với tiếng ồn hàng ngày. Rất thuận lợi nếu mục đích phép đo nhằm phục vụ chương trình kiểm soát tiếng ồn. Nó cũng mở ra khả năng tính mức tiếp xúc tiếng ồn cho những ngày làm việc khác nhau từ ngày thực hiện phép đo liên quan đến sự xếp đặt và thời gian của các nguyên công. Phương pháp đo này cần đo ít hơn so với các phương pháp khác. Áp dụng phương thức này tiết kiệm được thời gian đáng kể cho phép đo khi những nhóm có nhiều người lao động làm các công việc như nhau trong cùng một môi trường âm như nhau. Các phép đo này cũng có thể dễ dàng kiểm soát hơn.
Nếu công việc phức tạp, thì phân tích công việc có thể tốn thời gian.
B.3 Phương thức 2 - Phép đo theo nghề
Phép đo theo nghề rất có lợi khi các mô hình công việc và nguyên công có tính đặc thù, khó mô tả và khó phân tích chi tiết. Không khuyến khích sử dụng phương pháp này khi nghề bao gồm ít nguyên công có tiếng ồn lớn.
Các phép đo theo nghề có thể làm cho đỡ tốn công sức để phân tích công việc, cần chú ý xác định nghề để đảm bảo rằng sự tiếp xúc tiếng ồn của từng người lao động trong nghề mang tính đại diện. Phương thức này có thể mất nhiều thời gian đo, nhưng kết quả đo có độ không đảm bảo nhỏ hơn.
Như phép đo theo nguyên công, cần chú ý để đảm bảo rằng phép đo đã chứa đựng những đóng góp của tiếng ồn lớn trong thời gian đo. Phép đo theo nghề không cần cung cấp thông tin về các nguyên công khác không có nghề tiếp xúc với tiếng ồn, khi chúng không liên quan. Nếu trạng thái công việc đơn giản, phương thức này yêu cầu thời gian đo dài hơn phương thức đo theo nguyên công.
B.4 Sự khác nhau và giống nhau giữa các phép đo theo nguyên công và phép đo theo nghề
B.4.1 Quy định chung
Hai phương thức đo này không loại trừ lẫn nhau. Các phép đo theo nghề và phép đo theo nguyên công cùng dựa trên cơ sở lấy mẫu các mức tiếng ồn. Trong nhiều trường hợp, trạng thái công việc đã cho có thể xử lý bằng cách sử dụng một trong hai phương thức vẫn cho kết quả có cùng chất lượng.
Sự khác nhau chính giữa các phương thức đo này được mô tả trong B.4.2 đến B.4.4.
B.4.2 Các nhóm khác nhau tiếp xúc đồng đều với tiếng ồn
Đối với phép đo theo nghề và phép đo theo nguyên công, các nhóm tiếp xúc đồng đều với tiếng ồn có thể có nội dung khác nhau. Như công việc của nhóm nguyên công hình thành bởi một người lao động, phép đo theo nghề không yêu cầu phân nhỏ chi tiết các công việc thành các nguyên công. Nhóm tiếp xúc đồng đều với tiếng ồn vì thế mất ít thời gian hơn trong trường hợp phép đo theo nguyên công. Các phép đo theo nguyên công cũng yêu cầu hiểu biết rõ hơn về trạng thái công việc so với các phương thức khác, do đó mọi nguyên công góp phần vào mức tiếng ồn được làm rõ với thời gian tương ứng của chúng.
B.4.3 Các kế hoạch đo khác nhau
Với phép đo theo nghề, kế hoạch đo là bình thường, dễ thực hiện hơn phép đo theo nguyên công vì không cần cách ly mỗi nguyên công cần đo trong ngày làm việc.
B.4.4 Khoảng thời gian đo khác nhau
Phép đo theo nghề yêu cầu thời gian đo dài hơn phép đo theo nguyên công.
B.5 Phương thức 3 - Phép đo theo ngày
Phép đo theo ngày giống như phép đo theo nghề, có lợi nhất khi mô hình công việc đặc trưng và khó mô tả các nguyên công. Tuy nhiên, nó yêu cầu ít sự cố gắng khi phân tích công việc. Mặt khác, nếu công việc đơn giản, phương thức này yêu cầu thời gian đo dài hơn các các phương thức khác.
Khuyến cáo thực hiện phép đo theo ngày khi không rõ mô hình tiếp xúc tiếng ồn của người lao động, không đoán trước được hoặc phức tạp. Cũng có khả năng sử dụng phương thức này đối với bất cứ mô hình tiếp xúc tiếng ồn nào, đặc biệt khi không cần thiết hoặc không mong muốn thực hiện việc phân tích công việc chi tiết.
Phép đo theo ngày có ích khi xác minh rằng đã bao gồm tất cả các đóng góp lớn. Để kiểm tra, mức tiếp xúc tiếng ồn hàng ngày có thể xác định trực tiếp không cần các phép tính phụ.
Bằng cách sử dụng thiết bị ghi, có thể thu được các dao động về mức tiếng ồn trong ngày làm việc và có thể xác định các mức đóng góp tiếng ồn từ các nguyên công khác nhau. Nó cũng đưa ra khả năng loại bỏ các đóng góp tiếng ồn không liên quan từ các kết quả đo. Khuyến cáo sử dụng thiết bị ghi là tốt nhất nếu thực hiện các phép đo theo ngày.
Các phép đo thực hiện bằng máy đo cá nhân đo mức tiếp xúc âm hoặc các thiết bị tương tự do người lao động đeo dùng khi tiếp xúc tiếng ồn. Trong các trường hợp đó, có nhiều khả năng giá trị đo bao gồm cả mức giả không liên quan đến sự tiếp xúc đặc trưng tiếng ồn của người lao động, ví dụ sự tác động lên micro (tình cờ hoặc chủ ý), sự nhiễu chủ ý (như tiếng hét của đồng nghiệp hoặc việc cố gắng làm việc chủ ý gây ồn). Với các nguyên nhân đó, khuyến cáo các phép đo phải được các kỹ thuật viên trực tiếp quan sát đo đạc, hoặc áp dụng cách hiệu quả khác để nhận dạng và tính được các mức âm giả. Các phép đo không được quan sát dễ là phép đo giả, trong trường hợp đó, cách xử lý tốt nhất là thực hiện các phép đo trong nhiều ngày để giảm bớt “sự khác thường” trong quá trình đo.
B.6 Áp dụng nhiều phương thức đo
Có các trường hợp cần áp dụng nhiều phương thức đo. Ví dụ, nếu ngày danh định có khuynh hướng phức tạp, việc tính mức tiếp xúc tiếng ồn từ phép đo theo nguyên công có thể kiểm tra bằng cách thực hiện các phép đo theo ngày trên số người lao động đã được chọn lựa.
Có những trường hợp, trong các phép đo theo ngày hoặc phép đo theo nguyên công trong đó một vài nguyên công không được thực hiện, mặc dù chúng là một phần của ngày danh định. Trong các trường hợp đó, cần thực hiện các phép đo bổ sung đối với những nguyên công đó.
Như ví dụ dưới đây, một vài người lao động có thể làm các công việc khác nhau trong ngày. Điều này yêu cầu sử dụng phép đo theo nghề đối với công việc buổi sáng, và phép đo theo nguyên công với công việc buổi chiều.
B.7 Lựa chọn phương thức đo với các mô hình công việc khác nhau
Bảng B.1 đưa ra hướng dẫn để lựa chọn phương thức đo cơ sở phụ thuộc vào mô hình công việc.
Bảng B.1 - Lựa chọn phương thức đo cơ sở
|
Loại mô hình công việc |
Phương thức đo |
||
|
Phương thức 1 |
Phương thức 2 |
Phương thức 3 |
|
|
Phép đo theo nguyên công |
Phép đo theo nghề |
Phép đo theo ngày |
|
|
Vị trí lao động cố định - Nguyên công đơn giản hoặc đơn lẻ |
Ö* |
- |
- |
|
Vị trí lao động cố định - Nguyên công phức tạp hoặc đa dạng |
Ö* |
Ö |
Ö |
|
Người lao động làm việc di động - Mô hình có thể dự đoán - Số lượng nguyên công nhỏ |
Ö* |
Ö |
Ö |
|
Người lao động làm việc di động - Công việc có thể dự đoán - số lượng nguyên công lớn hoặc mô hình công việc phức tạp |
Ö |
Ö |
Ö* |
|
Người lao động làm việc di động - Mô hình khó dự đoán |
- |
Ö |
Ö* |
|
Người lao động làm việc di động hoặc cố định - nguyên công đa dạng với thời gian của nguyên công không xác định |
- |
Ö* |
Ö |
|
Người lao động làm việc di động hoặc cố định - Không có nguyên công định sẵn |
- |
Ö* |
Ö |
|
Ö Phương thức có thể sử dụng * Phương thức được khuyến cáo |
|||
(quy định)
C.1 Quy định chung
Phụ lục này quy định quy trình xác định độ không đảm bảo mở rộng của mức tiếp xúc tiếng ồn trọng số A chuẩn hóa theo mức tiếp xúc tiếng ồn hàng ngày của ngày làm việc 8 h, LEX,8h hoặc cách khác là giá trị đo được của mức áp suất âm liên tục tương đương trọng số A, Lp,A,eqT.
Quy trình này phù hợp với TCVN 9595-3 (ISO/IEC 98-3). Độ không đảm bảo có thể tính bằng cách sử dụng bảng tính cho trong tiêu chuẩn này.
Sự tuân thủ chặt chẽ các yêu cầu của tiêu chuẩn này nhằm tránh các đóng góp sai vào mức tiếp xúc tiếng ồn đo được (xem Điều 13), đảm bảo rằng không có sai số hệ thống do các sự đóng góp sai này hiện hữu trong báo cáo cuối cùng.
Các nguyên nhân gây độ không đảm bảo được xem xét trong Phụ lục này được chỉ ra trong Bảng C.1.
Độ không đảm bảo do sự chọn lựa (các) ngày đo không có trong Bảng C.1, vì trong nhiều trường hợp điều này chỉ có thể xác định bằng các phép đo tăng cường trong khoảng thời gian dài hơn. Tuy nhiên, sự tuân thủ chặt chẽ các yêu cầu của tiêu chuẩn này, đặc biệt liên quan đến phân tích công việc, sẽ kiểm soát được độ không đảm bảo này.
Bảng C.1 - Các nguyên nhân gây độ không đảm bảo được xem xét khi xác định độ không đảm bảo mở rộng của các mức áp suất âm liên tục tương đương trọng số A hoặc các mức tiếp xúc tiếng ồn được chuẩn hóa theo ngày làm việc 8 h
|
Nguyên nhân gây độ không đảm bảo |
Áp dụng |
Chỉ số dưới a |
Điều |
|
Lấy mẫu các mức tiếng ồn nguyên công |
Phép đo theo nguyên công |
1a |
C.2 |
|
Dự đoán các khoảng thời gian của nguyên công |
Phép đo theo nguyên công |
1b |
C.2 |
|
Lấy mẫu các mức tiếng ồn nghề |
Phép đo theo công việc |
1 |
C.3 |
|
Thiết bị |
Tất cả các phương thức |
2 |
C.5 |
|
Vị trí micro |
Tất cả các phương thức |
3 |
C.6 |
|
CHÚ THÍCH: Bảng C.1 bao gồm độ không đảm bảo được liệt kê theo các mục a), b), và c) trong 13.1. Khi phép đo được thực hiện phù hợp với tiêu chuẩn này, thì thừa nhận rằng độ không đảm bảo do các sai lỗi được liệt kê trong 13.1 d). e), và f) sẽ giảm đáng kể và/hoặc đã bao gồm trong việc lấy mẫu mức tiếng ồn. |
|||
|
a Được sử dụng trong các ký hiệu đối với độ không đảm bảo thành phần và các hệ số độ nhạy |
|||
Trong trường hợp có bằng chứng rằng có nguyên nhân gây độ không đảm bảo không được xem xét trong Phụ lục này lại đóng một vai trò lớn, thì sự đóng góp của nó có thể gộp vào phép tính toán độ không đảm bảo chuẩn kết hợp bằng cách thêm dòng vào Bảng C.2 hoặc Bảng C.3.
CHÚ THÍCH 1: Độ không đảm bảo đối với các mức áp suất âm đỉnh trọng số C không đưa vào do số liệu nền không đủ. Trong hầu hết các trường hợp, độ không đảm bảo đối với mức áp suất âm đỉnh có thể cao hơn độ không đảm bảo của mức áp suất âm liên tục tương đương trọng số A.
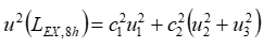
Sự góp thêm vào độ không đảm bảo chuẩn kết hợp, u, kèm với giá trị mức tiếp xúc tiếng ồn phụ thuộc vào độ không đảm bảo chuẩn ui, của từng giá trị đầu vào và các hệ số độ nhạy liên quan ci.
Hệ số độ nhạy là thước đo về mức tiếp xúc tiếng ồn bị tác động thế nào bởi sự thay đổi các giá trị của các đại lượng đầu vào tương ứng. Về mặt toán học, chúng bằng đạo hàm riêng phần của hàm tương quan [xem Công thức (C.2) hoặc (C.8) và TCVN 9595-3 (ISO/IEC 98-3)] với đại lượng đầu vào liên quan. Sự góp thêm vào đại lượng đầu vào tương ứng đã cho bằng tích của độ không đảm bảo chuẩn và hệ số độ nhạy kèm theo. Độ không đảm bảo chuẩn kết hợp, u, thu được từ độ không đảm bảo thành phần, ciui, sử dụng Công thức (C.1).
(C.1)
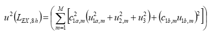
Độ không đảm bảo mở rộng, U = ku, trong đó k là hệ số phủ, là hàm số trong khoảng tin cậy. Đối với tiêu chuẩn này, khoảng tin cậy một phía là 95 %, điều này dẫn đến k = 1,65. Nghĩa là 95 % các giá trị nằm dưới giới hạn trên, [LEX,8h + U].
Tiêu chuẩn này cho phép sử dụng các phương pháp tiếp cận thống kê để tính độ không đảm bảo khác với các phương pháp đã quy định trong phụ lục này, ví dụ các phương pháp dựa trên đánh giá khoa học (kiến thức chuyên môn về độ không đảm bảo) hoặc theo mô hình Monte Carlo. Nếu sử dụng phương pháp này, chúng hoàn toàn phù hợp với TCVN 9595-3 (ISO/IEC 98-3). Điều này cũng chứng minh rằng, các phương pháp đã không đánh giá thấp độ không đảm bảo. Phương pháp áp dụng được nêu rõ trong báo cáo thử nghiệm.
CHÚ THÍCH 2: Cơ sở tính toán thống kê của các phương pháp nêu trong Phụ lục này được nêu trong Thư mục tài liệu tham khảo [14].
C.2 Xác định độ không đảm bảo mở rộng đối với phép đo theo nguyên công
C.2.1 Mối liên hệ hàm số đối với phép đo theo nguyên công
Biểu thức chung xác định mức tiếp xúc tiếng ồn trọng số A, LEX,8h, sử dụng phép đo theo nguyên công là:
(C.2)
Trong đó:
|
|
là trung bình cộng khoảng thời gian của nguyên công m; |
|
T0 |
là khoảng thời gian chuẩn, T0 = 8 h; |
|
m |
là số lượng nguyên công; |
|
M |
là tổng số nguyên công; |
|
|
là mức áp suất âm thực liên tục tương đương trọng số A ước tính đối với nguyên công m, Lp,A,eqT,m [xem Công thức (7)]; |

Trong đó:
|
Q2 |
là hiệu chính đối với thiết bị đo được sử dụng để xác định mức áp suất âm liên tục trọng số A, |
|
Q3 |
là hiệu chính đối với vị trí micro được sử dụng để xác định mức áp suất âm liên tục tương đương trọng số A, |
CHÚ THÍCH: Như ước tính, khi Q2 và Q3 xấp xỉ bằng 0, thì
với các điều kiện đó, Công thức (C.2) bằng Công thức (9).
C.2.2 Tính độ không đảm bảo chuẩn kết hợp, u, và độ không đảm bảo mở rộng, U
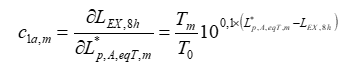
Coi như các đại lượng tham gia là không tương quan, độ không đảm bảo chuẩn kết hợp đối với mức tiếp xúc tiếng ồn trọng số A, LEX,8h, u(LEX,8h) phù hợp với TCVN 9595-3 (ISO/IEC 98-3), sẽ được tính từ giá trị của các đóng góp vào độ không đảm bảo thành phần, cjuj, như sau:
(C.3)
|
u1a,m |
là độ không đảm bảo chuẩn do việc lấy mẫu mức tiếng ồn đối với nguyên công m, xem C.2.3; |
|
u1b,m |
là độ không đảm bảo chuẩn do dự báo thời gian đối với nguyên công m, xem C.2.3; |
|
u2,m |
là độ không đảm bảo chuẩn do thiết bị sử dụng đối với nguyên công m; |
|
u3 |
là độ không đảm bảo chuẩn do vị trí micro; |
|
c1a,m và c1b,m |
là các hệ số độ nhạy tương ứng đối với nguyên công m; |
|
m |
là số nguyên công; |
|
M |
là tổng số nguyên công; |
Độ không đảm bảo mở rộng U = 1,65 x u.
CHÚ THÍCH 1: Do tương quan tuyến tính giữa mức ồn đo được và mức ồn dự đoán, hệ số độ nhạy của thiết bị, c2,m vị trí micro c3,m và việc lấy mẫu mức tiếng ồn c1a,m, có các giá trị như nhau, nghĩa là c2,m = c3,m = c1a,m.
Các hệ số c2,m và c3,m do đó được thay thế bởi c1a,m trong Công thức (C.3).
CHÚ THÍCH 2: Công thức (C.3) đúng trong các trường hợp khi xác định các mức tiếng ồn liên tục tương đương trọng số A của M bằng các thiết bị khác nhau cho mỗi phép đo. Tuy nhiên, vì các đóng góp chính của độ không đảm bảo do thiết bị, như ảnh hưởng của mức tuyến tính, đáp ứng tần số của micro, góc sóng âm tới và trọng phổ, là khác nhau trong các vị trí trường âm khác nhau đối với cùng một thiết bị, nên thừa nhận Công thức (C.3) là đúng.
Bảng thành phần độ không đảm bảo tương ứng cho trong Bảng C.2.
Bảng C.2 - Thành phần độ không đảm bảo để xác định các mức tiếp xúc tiếng ồn đối với phép đo theo nguyên công
|
Đại lượng |
Ước tính |
Độ không đảm bảo chuẩn |
Phân bố xác suất |
Hệ số độ nhạy |
Độ không đảm bảo thành phần |
|
ui |
|
ci |
ciui dB |
||
|
Lp,A,eqT,m |
Giá trị trung bình đo được Lp,A,eqT,m đối với nguyên công m |
u1a,m cho từng nguyên công, xác định bởi Công thức (C.6) |
Chuẩn |
c1a,m cho từng nguyên công, xác định bởi Công thức (C.4) |
c1a,m u1a,m mỗi nguyên công có một giá trị |
|
Tm |
Giá trị ước tính trong khoảng thời gian Tm đối với nguyên công m |
u1b,m cho từng nguyên công, xác định bởi Công thức (C.7) |
Chuẩn |
c1b,m đối với từng nguyên công, xác định bởi Công thức (C.5) |
c1b,m u1b,m mỗi nguyên công có một giá trị |
|
Q2 |
0 |
u2,m như trong Bảng C.5 |
Chuẩn |
c2,m = c1a,m |
c1a,m u2,m |
|
Q3a |
0 |
u3 như trong Bảng C.6 |
Chuẩn |
c3,m = c1a,m |
c1a,m u3 |
|
a Dự kiến Q3 trong khoảng -1,0 dB đến 0,5 dB. Để đơn giản, ước tính giá trị trung bình cộng của Q3 bằng không. Độ không đảm bảo chuẩn liên quan đến vị trí micro, u3, cho là đã bao gồm độ không đảm bảo dư này. |
|||||
C.2.3 Sự góp thêm vào độ không đảm bảo đo và bảng thành phần độ không đảm bảo
Đối với phép đo theo nguyên công, các hệ số độ nhạy như sau:
(C.4)
(C.5)
Độ không đảm bảo chuẩn, u1a,m, do lấy mẫu đo mức tiếng ồn đối với nguyên công m, như sau:
(C.6)
Trong đó:
|
|
là giá trị trung bình cộng của phép đo mức áp suất âm liên tục tương đương trọng số A đo được I cho nguyên công m, nghĩa là |
|
i |
là số mẫu của nguyên công; |
|
I |
là tổng số mẫu của nguyên công; |
|
M |
là tổng số nguyên công; |
Độ không đảm bảo chuẩn, u1b,m, do thời gian đo mức tiếng ồn với nguyên công m, có thể tính từ các khoảng thời gian đo được từ các phép đo độc lập:
(C.7)
Trong đó: J là tổng số thời gian mẫu đo quan sát được.
CHÚ THÍCH: Nếu khoảng thời gian nằm ngoài phân tích công việc, thì dự tính u1b,m = 0,5 x (Tmax - Tmin).
C.3 Xác định độ không đảm bảo mở rộng đối với phép đo theo nghề
C.3.1 Mối liên hệ hàm số đối với phép đo theo nghề
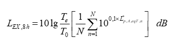
Biểu thức chung xác định mức tiếp xúc tiếng ồn trọng số A, LEX,8h, sử dụng phép đo theo nghề là:
(C.8)
Trong đó:
|
Te |
là khoảng thời gian làm việc thực trong ngày; |
|
T0 |
là khoảng thời gian chuẩn, T0 = 8h; |
|
n |
là số mẫu của nghề; |
|
N |
là tổng số mẫu nghề; |
|
|
là mức áp suất âm thực liên tục tương đương trọng số A ước tính đối với mẫu nghề n, Lp,A,eqT,n; |

Trong đó:
|
Q2 |
là hiệu chính đối với thiết bị đo khi xác định mức áp suất âm liên tục tương đương trọng số A, |
|
Q3 |
là hiệu chính đối với vị trí micro khi xác định mức áp suất âm liên tục tương đương trọng số A. |
CHÚ THÍCH: Như ước tính, khi Q2 và Q3 xấp xỉ bằng 0, thì
Với các điều kiện đó, Công thức (C.8) cho các kết quả bằng Công thức (11) và Công thức (12).
C.3.2 Tính độ không đảm bảo chuẩn kết hợp, u, và độ không đảm bảo mở rộng, U
Độ không đảm bảo chuẩn kết hợp cho mức tiếp xúc tiếng ồn trọng số A, LEX,8h, u(LEX,8h), phù hợp với TCVN 9595-3 (ISO/IEC 98-3), được tính từ các giá trị số của tất cả độ không đảm bảo thành phần, ciui, lấy từ Bảng C.3, như sau:
(C.9)
Độ không đảm bảo mở rộng U = 1,65 x u.
CHÚ THÍCH: Công thức (C.9) đúng trong các trường hợp khi các mức tiếng ồn liên tục tương đương trọng số A
N được xác định bằng các thiết bị khác nhau cho từng phép đo. Tuy nhiên, vì các đóng góp chính của độ không đảm bảo do thiết bị, như ảnh hưởng của mức tuyến tính, đáp ứng tần số của micro, góc sóng âm tới và trọng phổ, là khác nhau trong các vị trí trường âm khác nhau đối với cùng một thiết bị, nên thừa nhận Công thức (C.3) là đúng.
C.3.3 Sự góp thêm vào độ không đảm bảo đo và bảng thành phần độ không đảm bảo
Đối với phép đo theo nghề:
- Độ không đảm bảo thành phần, c1u1, của việc lấy mẫu mức tiếng ồn nghề được cho trong Bảng C.4 như hàm của số N của các mẫu mức tiếng ồn nghề và độ không đảm bảo chuẩn, u1, của các giá trị đo được Lp,A,eqT,n;
- Hệ số độ nhạy, c2 và c3 đối với độ không đảm bảo do thiết bị và do sự chọn lựa vị trí đo, tương ứng như sau:
c2 = 1 (C.10)
c3 = 1 (C.11)
Bảng C.3 - Thành phần độ không đảm bảo để xác định các mức tiếp xúc tiếng ồn đối với phép đo theo nghề
|
Đại lượng |
Ước tính |
Độ không đảm bảo chuẩn |
Phân bố xác suất |
Hệ số độ nhạy |
Độ không đảm bảo thành phần |
|
ui |
|
ci |
ciui dB |
||
|
Lp,A,eqT |
Lp,A,eqT |
u1 |
Chuẩn |
c1 |
c1u1 |
|
Q2 |
0 |
u2 |
Chuẩn |
c2 = 1 |
u2 |
|
Q3 a |
0 |
u3 |
Chuẩn |
c3 = 1 |
u2 |
|
a Dự kiến Q3 trong khoảng -1,0 dB đến 0,5 dB. Để đơn giản, ước tính giá trị trung bình cộng của Q3, bằng không. Độ không đảm bảo chuẩn liên quan đến vị trí micro, u3, cho là đã bao gồm độ không đảm bảo dư này. |
|||||
Độ không đảm bảo thành phần, c1u1, do lấy mẫu mức tiếng ồn nghề thu được trực tiếp từ các giá trị trung bình cộng đo được Lp,A,eqT,n, và độ không đảm bảo chuẩn, u1, của các giá trị này lấy từ Bảng C.4.
Độ không đảm bảo chuẩn, u1, xác định theo Công thức (C.12):
(C.12)
Trong đó:
|
Lp,A,eqT,n |
là giá trị mức áp suất âm liên tục tương đương trọng số A của mẫu mức tiếng ồn nghề n; |
|
|
là giá trị trung bình cộng của các mẫu nghề N của mức áp suất âm liên tục tương đương trọng số A, tức là |
|
N |
là tổng số mẫu nghề; |
CHÚ THÍCH: Nhập giá trị trong Bảng C.4 sử dụng Công thức (C.12) để tính u1,. Kết quả u1, ở đây là độ không đảm bảo chuẩn dùng cho mọi thuật ngữ tương tự cho tất cả các số hạng u1, tuy nhiên thông thường được biểu thị là độ lệch chuẩn.
Bảng C.4 - Độ không đảm bảo thành phần c1u1, của lấy mẫu mức tiếng ồn nghề và lấy mẫu mức tiếng ồn theo ngày, tính theo dB, áp dụng cho bộ các giá trị N đo được, Lp,A,eqT,n, của độ không đảm bảo chuẩn u1
|
N |
Độ không đảm bảo thành phần c1u1 của các giá trị đo được Lp,A,eqT,n, dB |
|||||||||||
|
0,5 |
1 |
1,5 |
2 |
2,5 |
3 |
3,5 |
4 |
4,5 |
5 |
5,5 |
6 |
|
|
3 |
0,6 |
1,6 |
3,1 |
5,2 |
8,0 |
11,5 |
15,7 |
20,6 |
26,1 |
32,2 |
39,0 |
46,5 |
|
4 |
0,4 |
0,9 |
1,6 |
2,5 |
3,6 |
5,0 |
6,7 |
8,6 |
10,9 |
13,4 |
16,1 |
19,2 |
|
5 |
0,3 |
0,7 |
1,2 |
1,7 |
2,4 |
3,3 |
4,4 |
5,6 |
6,9 |
8,5 |
10,2 |
12,1 |
|
6 |
0,3 |
0,6 |
0,9 |
1,4 |
1,9 |
2,6 |
3,3 |
4,2 |
5,2 |
6,3 |
7,6 |
8,9 |
|
7 |
0,2 |
0,5 |
0,8 |
1,2 |
1,6 |
2,2 |
2,8 |
3,5 |
4,3 |
5,1 |
6,1 |
7,2 |
|
8 |
0,2 |
0,5 |
0,7 |
1,1 |
1,4 |
1,9 |
2,4 |
3,0 |
3,6 |
4,4 |
5,2 |
6,1 |
|
9 |
0,2 |
0,4 |
0,7 |
1,0 |
1,3 |
1,7 |
2,1 |
2,6 |
3,2 |
3,9 |
4,6 |
5,4 |
|
10 |
0,2 |
0,4 |
0,6 |
0,9 |
1,2 |
1,5 |
1,9 |
2,4 |
2,9 |
3,5 |
4,1 |
4,8 |
|
12 |
0,2 |
0,3 |
0,5 |
0,8 |
1,0 |
1,3 |
1,7 |
2,0 |
2,5 |
2,9 |
3,5 |
4,0 |
|
14 |
0,1 |
0,3 |
0,5 |
0,7 |
0,9 |
1,2 |
1,5 |
1,8 |
2,2 |
2,6 |
3,0 |
3,5 |
|
16 |
0,1 |
0,3 |
0,5 |
0,6 |
0,8 |
1,1 |
1,3 |
1,6 |
2,0 |
2,3 |
2,7 |
3,2 |
|
18 |
0,1 |
0,3 |
0,4 |
0,6 |
0,8 |
1,0 |
1,2 |
1,5 |
1,8 |
2,1 |
2,5 |
2,9 |
|
20 |
0,1 |
0,3 |
0,4 |
0,5 |
0,7 |
0,9 |
1,1 |
1,4 |
1,7 |
2,0 |
2,3 |
2,6 |
|
25 |
0,1 |
0,2 |
0,3 |
0,5 |
0,6 |
0,8 |
1,0 |
1,2 |
1,4 |
1,7 |
2,0 |
2,3 |
|
30 |
0,1 |
0,2 |
0,3 |
0,4 |
0,6 |
0,7 |
0,9 |
1,1 |
1,3 |
1,5 |
1,7 |
2,0 |
Khi c1u1 lấy từ Bảng C.4 lớn hơn 3,5 dB (các giá trị in đậm trong Bảng C.4), thì khuyến cáo xem xét lại kế hoạch đo hoặc thay đổi để giảm u1 (xem 10.4).
CHÚ THÍCH 1: Các giá trị đối với N = 3 và N = 4 chỉ sử dụng cho các phép đo theo ngày (xem Điều C.4).
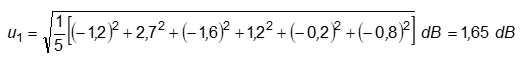
CHÚ THÍCH 2: Trong trường hợp thực địa cần xác định xem có cần thực hiện thêm các phép đo hay không, có thể dự đoán đơn giản u1. Độ không đảm bảo chuẩn dự đoán
có thể tính như sau:

Trong đó:
KN = 2,2 nếu N < 6
KN = 2,5 nếu N Î [6.15]
KN = 3,0 nếu N Î [16,30]
C.4 Tính độ không đảm bảo đối với phép đo theo ngày
Quy trình tính độ không đảm bảo cho phép đo theo ngày tương tự như đối với phép đo theo nghề. Vì vậy, độ không đảm bảo cho phép đo theo ngày có trong bảng thành phần độ không đảm bảo nêu tại Bảng C.3 và bằng cách sử dụng Công thức (C.9) với c1u1, lấy từ Bảng C.4 và u2 và u3 từ Điều C.5 và Điều C.6.
C.5 Độ không đảm bảo chuẩn, u2, do thiết bị sử dụng
Độ không đảm bảo chuẩn, u2 (hoặc u2,m cho nguyên công m) do thiết bị cho trong Bảng C.5.
Bảng C.5 - Độ không đảm bảo chuẩn u2, do thiết bị
|
Loại thiết bị |
Độ không đảm bảo chuẩn u2 (hoặc u2,m) |
|
Máy đo mức âm quy định trong IEC 61672-1: 2002, loại 1 |
0,7 |
|
Máy đo cá nhân đo mức tiếp xúc âm quy định trong IEC 61252 |
1,5 |
|
Máy đo mức âm quy định trong IEC 61672-1: 2002, loại 2 |
1,5 |
CHÚ THÍCH 1: Độ không đảm bảo chuẩn liệt kê trong Bảng C.5 chỉ có giá trị đối với Lp,A,eqT. Độ không đảm bảo của Lp,Cpeak có thể lớn hơn đáng kể.
CHÚ THÍCH 2: Độ không đảm bảo chuẩn u2 (hoặc u2,m), nêu trong Bảng C.5 là trên cơ sở số liệu kinh nghiệm.
Kinh nghiệm chỉ ra rằng, các giá trị độ không đảm bảo chuẩn do thiết bị là đặc trưng cho các tình trạng liên quan.
Độ không đảm bảo do thiết bị phụ thuộc vào tính chất của tiếp xúc tiếng ồn và điều kiện môi trường. Các giá trị này không thể dẫn xuất trực tiếp từ giới hạn dung sai cho trong các tiêu chuẩn thiết bị IEC 61672-1 và IEC 61252, trong đó bao gồm độ không đảm bảo mở rộng đối với phòng thí nghiệm. Nếu độ không đảm bảo của thiết bị trên cơ sở giới hạn dung sai có trong các tiêu chuẩn thiết bị, thì cần tính độ không đảm bảo kết hợp rộng hơn.
C.6 Độ không đảm bảo chuẩn, u3, do vị trí đo
Độ không đảm bảo chuẩn, u3, do vị trí đo là 1 dB.
CHÚ THÍCH: Các giá trị của độ không đảm bảo chuẩn là trên cơ sở số liệu kinh nghiệm. Trong các trường hợp, khi người lao động đeo micro hoặc khi micro đặt gần cơ thể họ, độ không đảm bảo là do ảnh hưởng màn chắn và phản xạ từ cơ thể. Đối với các trường hợp khi thực hiện phép đo không có sự hiện diện của người lao động, độ không đảm bảo do (các) vị trí của micro không đại diện đúng toàn bộ cho vị trí đầu họ. Xem 12.3 và 12.4 để cập đến vị trí micro.
(tham khảo)
Ví dụ tính mức tiếp xúc tiếng ồn hàng ngày sử dụng phép đo theo nguyên công
D.1 Bước 1: Phân tích công việc
Trong ví dụ này, mức tiếp xúc tiếng ồn của thợ hàn làm việc trong xưởng cơ khí được xác định bằng các phép đo theo nguyên công. Ngày làm việc bao gồm các nguyên công sau:
a) Lập kế hoạch làm việc (yên tĩnh);
b) Hai công đoạn cắt, mài và hàn các tấm thép;
c) Nghỉ ăn trưa (trong trường hợp này bữa trưa là một phần của ngày làm việc);
d) Lập kế hoạch làm việc (yên tĩnh);
e) Hai công đoạn cắt, mài và hàn các tấm thép;
Tất cả thợ hàn thực hiện công việc tương tự và do đó họ có thể xem như một nhóm tiếp xúc tiếng ồn đồng đều.
Theo thông tin từ người phụ trách, công việc có thể chia thành ba nguyên công riêng biệt: hàn, cắt và mài, và các hoạt động tĩnh (nghỉ trưa và lên kế hoạch).
Thợ hàn nói rằng họ đã cắt và mài mất từ 1 h đến 2 h trong một ngày và hàn mất từ 4 h đến 6 h trong một ngày. Thời gian còn lại là lập kế hoạch và nghỉ. Độ không đảm bảo dự kiến là 0,5 h cho cắt và mài và 1 h cho hàn.
Trên cơ sở các thông tin trên, ngày danh định được xác định trong Bảng D.1.
Bảng D.1 - Ngày danh định của thợ hàn
|
Nguyên công |
Thời gian h |
|
Lập kế hoạch, nghỉ ngơi (yên tĩnh) |
1,5 |
|
Cắt và mài |
1,5 |
|
Hàn |
5,0 |
|
Tổng số thời gian |
8,0 |
|
CHÚ THÍCH: Tính thời gian của mỗi nguyên công bằng cách lấy trung bình cộng trong khoảng giá trị thời gian mà người thợ hàn và người quản lý thực hiện |
|
D.2 Bước 2: Chọn phương thức đo
Vì số lượng nguyên công có giới hạn và được xác định rõ, tình huống này là phù hợp để thực hiện các phép đo theo nguyên công.
D.3 Bước 3: Phép đo
Sự góp phần của tiếng ồn trong thời gian lập kế hoạch và nghỉ ngơi là không ảnh hưởng tới toàn bộ mức tiếp xúc tiếng ồn. Do đó, thực hiện các phép đo tiếng ồn đơn giản với máy đo tiếng ồn là đủ, chỉ cần đảm bảo rằng mức áp suất âm trong các khoảng thời gian làm việc này (nguyên công) chịu ảnh hưởng không đáng kể. Trong ví dụ này, Lp,A,eqT = 70 dB được thiết lập là mức ước tính cố định cho các công đoạn này, với điều kiện là các giá trị kiểm tra cho thấy các mức đo được là bằng hoặc thấp hơn mức giá trị này.
Sự góp phần của tiếng ồn do các công việc mài và hàn phụ thuộc nhiều vào vị trí giữa tai người lao động với dụng cụ gây ồn, do đó sử dụng máy đo cá nhân đo mức tiếp xúc âm là phù hợp. Chu kỳ đo phải bao gồm ít nhất ba chu kỳ làm việc. Các quan sát chỉ ra rằng khoảng thời gian đo tiếng ồn của máy mài là ít nhất là 7 min. Tương tự, khoảng thời gian đo đối với máy hàn cần ít nhất là 4 min. Tuy nhiên, theo 9.3, khoảng thời gian đo ít nhất là 5 min. Do đó, khoảng thời gian đo máy hàn cần là 5 min.
Khi các giá trị đo được trong khoảng đo vượt quá 3 dB, mỗi nguyên công cần thực hiện 3 phép đo bổ sung. Tuy vậy, do bỏ qua mức tiếng ồn của các hoạt động yên tĩnh, chỉ cần thực hiện vài mẫu chính của mức tiếng ồn trong quá trình thực hiện nguyên công.
Kết quả phép đo đầu tiên cho các giá trị sau:
Mức tiếng ồn khi lập kế hoạch và nghỉ ngơi: Lp,A,eqT,11 < 70 dB
|
Mức tiếng ồn do hàn: Lp,A,eqT,21 = 80,1 dB; |
Lp,A,eqT,22 = 82,2 dB; |
Lp,A,eqT,23 = 79,6 dB |
|
Mức tiếng ồn do cắt và mài: Lp,A,eqT,31 = 86,5 dB; |
Lp,A,eqT,32 = 92,4 dB; |
Lp,A,eqT,33 = 89,3 dB |
Khi sự chênh lệch giữa các mức tiếng ồn đo được do cắt và mài vượt quá 3 dB, cần thực hiện ít nhất 3 phép đo bổ sung và cho các giá trị sau:
|
Mức tiếng ồn do cắt và mài: Lp,A,eqT,34 = 93,2 dB; |
Lp,A,eqT,35 = 87,8 dB; |
Lp,A,eqT,36 = 86,2 dB |
D.4 Bước 4: Xử lý sai số
Trong ví dụ này, các quan sát trong các phép đo chỉ ra rằng không có rủi ro đáng kể nào để tạo ra các sai số cho phép đo.
D.5 Bước 5: Tính toán và trình bày kết quả đo bao gồm cả độ không đảm bảo
D.5.1 Tính mức tiếp xúc tiếng ồn trọng số A hàng ngày
Sử dụng Công thức (7) để tính mức tiếng ồn của từng nguyên công. Múc tiếng ồn do hàn tính như sau:

Tương tự, mức tiếng ồn do cắt và mài là 90,1 dB.
Mức tiếng ồn khi lập kế hoạch và nghỉ ngơi được xác định từ đầu là 70 dB.
Sự đóng góp vào mức tiếp xúc tiếng ồn trọng số A hàng ngày được tính cho từng hoạt động theo Công thức (8). Vậy các đóng góp từ các nguyên công vào mức tiếp xúc tiếng ồn hàng ngày là:
a) Lập kế hoạch và nghỉ ngơi:

b) Hàn:

c) Cắt và mài

Sử dụng Công thức (10) để tính mức tiếp xúc tiếng ồn trọng số A hàng ngày:
LEX,8h = 10 lg(100,1x62,7 + 100,1x78,8 + 100,1x82,8) dB = 84,3 dB
D.5.2 Tính độ không đảm bảo
Sử dụng Công thức (C.6) để tính độ không đảm bảo chuẩn u1a,2, do lấy mẫu tiếng ồn khi hàn:

Tương tự, độ không đảm bảo chuẩn do lấy mẫu tiếng ồn khi cắt và mài là u1a,3 = 1,2 dB. Độ không đảm bảo chuẩn do lập kế hoạch và nghỉ ngơi là 0 dB vì các nguyên công này không đóng góp vào độ không đảm bảo chuẩn, u.
Sử dụng máy đo cá nhân đo mức tiếp xúc âm như quy định trong IEC 61252. Do đó, theo Bảng C.5, độ không đảm bảo chuẩn do thiết bị là u2,m = 1,5 dB.
Theo Điều C.6, độ không đảm bảo chuẩn do vị trí micro là u3 = 1,0 dB.
Hệ số độ nhạy đối với độ không đảm bảo do lấy mẫu tiếng ồn, thiết bị và vị trí đo được tính theo Công thức (C.4).
Đối với việc lập kế hoạch và nghỉ ngơi với Lp,A,eqT,11 £ 70 dB, hệ số độ nhạy là:

Đối với việc hàn, hệ số độ nhạy là:

Đối với việc cắt và mài, hệ số độ nhạy là:
c1a,3 = 0,71 dB
a) Khi độ không đảm bảo trong khoảng thời gian được loại bỏ, độ không đảm bảo chuẩn kết hợp được xác định theo Công thức (C.3) là:
u2(LEX,8h) = 0,282x (0,82 + 1,52 + 1,02) + 0,712 x (1,22 + 1,52 + 1,02) = 2,67
Theo C.2.2, độ không đảm bảo mở rộng, U(LEX,8h), là:

b) Khi tính cả độ không đảm bảo trong khoảng thời gian, độ không đảm bảo chuẩn u1b,2, do khoảng thời gian của nguyên công đã cho trong Công thức (C.7). Với công việc hàn, độ không đảm bảo chuẩn, tính theo giờ, là:

Hệ số độ nhạy liên quan đến độ không đảm bảo do thời gian tính theo Công thức (C.5). Với công việc hàn, hệ số độ nhạy, tính bằng dexiben trên giờ, là:

Độ không đảm bảo chuẩn do thời gian cắt và mài là: u1b,3 = 0,5 h.
Hệ số độ nhạy, cho công việc cắt và mài là: c1b,3 = 2,1.
Độ không đảm bảo chuẩn kết hợp, u(LEX,8h), có thể tính theo Công thức (C.3):
u2(LEX,8h) = 0.282 x (0,82 + 1,52 + 1,02) + 0,712 x (1,22 + 1,52 + 1,02) + (0,24 x 1,0)2 + (2,1 x 0,5)2 = 3,83
Theo C.2.2, độ không đảm bảo mở rộng, U(LEX,8h) là:
U(LEX,8h) = 1,65 x u = 1,65 x
= 3,2 dB
D.5.3 Kết luận
Người thợ hàn là đối tượng với mức tiếp xúc tiếng ồn trọng số A là 84,3 dB, kèm với độ không đảm bảo mở rộng đối với xác suất một chiều 95 % (k = 1,65) là 2,7 dB nếu loại bỏ độ không đảm bảo do thời gian, hoặc bằng 3,2 dB nếu bao gồm cả độ không đảm bảo do thời gian.
(tham khảo)
Ví dụ tính mức tiếp xúc tiếng ồn hàng ngày sử dụng các phép đo theo nghề
E.1 Quy định chung
Trong ví dụ này, mức tiếp xúc tiếng ồn của người lao động trong các dây chuyền sản xuất được xác định từ các phép đo theo nghề. Một vài dây chuyền sản xuất tự động không có sự khác biệt lớn về kỹ thuật thao tác trong nhà máy.
E.2 Bước 1: Phân tích công việc
Người lao động trong dây chuyền sản xuất thực hiện cùng một loại công việc: đi lại, kiểm soát dây chuyền sản xuất và can thiệp trong trường hợp xảy ra sự cố sản xuất. Công việc của họ bao gồm rất nhiều nguyên công (cung cấp vật tư, kiểm soát sản xuất, loại bỏ sản phẩm và thực hiện các điều chỉnh). Tuy nhiên, không có sự phân biệt giữa các nguyên công khi phân tích công việc vì các nguyên nhân sau: điều kiện tiếp xúc tiếng ồn của người lao động là như nhau và không thể xác định khoảng thời gian của mỗi nguyên công trong các bản mô tả công việc, số người lao động hình thành nhóm tiếp xúc với tiếng ồn là 18. Khoảng thời gian làm việc thực trong ngày cho nhóm tiếp xúc này là 7,5 h.
E.3 Bước 2: Chọn phương thức đo
Từ việc phân tích công việc đối với nhóm tiếp xúc 18 người, điều này không thực tế và cũng không cần thực hiện các phân tích chi tiết nguyên công. Do đó các phép đo theo nghề được lựa chọn.
E.4 Bước 3: Các phép đo
Sự chọn lựa kế hoạch đo được hướng dẫn theo các đặc tính kỹ thuật sau:
- Tổng thời gian nhỏ nhất của phép đo trong Bảng 1: với nhóm 18 người, tổng thời gian là 10,75 h;
Cần tối thiểu năm mẫu mức tiếng ồn của cùng khoảng thời gian. Từ đó, cần thực hiện sáu phép đo và đặt khoảng thời gian đo là 2 h.
Thực hiện phân bố sáu phép đo trong nhóm người lao động tiếp xúc đồng đều với tiếng ồn và trên thời gian làm việc, biết rằng:
a) Có sẵn hai máy đo cá nhân đo mức tiếp xúc âm.
b) Thời gian làm việc với các nhóm là: từ 5:00 đến 13:00 và từ 13:00 đến 21:00.
Chọn ngẫu nhiên 6 người từ 18 người lao động trong nhóm tiếp xúc đồng đều với tiếng ồn. Chọn sự phân bố phép đo như sau:
Ngày 1: Đội buổi sáng, 2 người lao động; chu kỳ đo: từ 10:00 đến 12:00 và từ 10:30 đến 12:30;
Ngày 2: Đội buổi sáng, 2 người lao động khác; chu kỳ đo: từ 8:00 đến 10:00 và từ 8:30 đến 10:30;
Ngày 2: Đội buổi chiều, 2 người lao động khác; chu kỳ đo: từ 14:00 đến 16:00 và từ 18:00 đến 20:00;
Kết quả 6 phép đo Lp,A,eqT,n như sau:
|
|
88,1 dB |
86,1 dB |
89,7 dB |
86,5 dB |
91,1 dB |
86,7 dB. |
|
Mức áp suất âm đỉnh trọng số C cao nhất đo được là 137 dB.
E.5 Bước 4: Xử lý sai số
Không có nguồn sai số tiềm ẩn.
E.6 Bước 5: Tính toán và trình bày kết quả và độ không đảm bảo
E.6.1 Tính mức tiếp xúc tiếng ồn hàng ngày trọng số A và độ không đảm bảo
Tính trung bình cộng của các giá trị đo được
từ Công thức (11):

Độ không đảm bảo chuẩn của các giá trị đo được là:
u = 2,0 dB. Xem Công thức (C.12)
Độ không đảm bảo chuẩn do lấy mẫu mức tiếng ồn nghề (giá trị lấy từ Bảng C.4 với N = 6 và u1 = 2,0 dB):
c1u1 =1,4 dB.
Hệ số độ nhạy:
c2 = c3 = 1
Độ không đảm bảo chuẩn, u2, do thiết bị lấy từ Bảng C.5 (thiết bị sử dụng là máy đo cá nhân đo mức tiếp xúc âm):
u2 = 1,5 dB.
Độ không đảm bảo chuẩn do vị trí micro (lấy từ Điều C.6):
u3 = 1,0 dB.
Độ không đảm bảo chuẩn kết hợp, u, với kết quả dẫn xuất từ Công thức (C.9):
u2(LEX,8h) = 1,42 + 1,52 + 1,02 = 5,21.
u(LEX,8h) = 2,3 dB
Độ không đảm bảo mở rộng U(LEX,8h) (xem C.3.2):
U(LEX,8h) = 1,65 x u = 3,8 dB
E.6.2 Kết quả cuối cùng
Với khoảng thời gian làm việc thực trong ngày, Te = 7,5 h và mức tiếng ồn trung bình Lp,A,eqT = 88,4 dB, mức tiếp xúc tiếng ồn hàng ngày trọng số A của nhóm tiếp xúc đồng đều tính từ Công thức (13) là:

Độ không đảm bảo mở rộng U(LEX,8h) là:
U(LEX,8h)= 3,8 dB
E.6.3 Kết luận
18 người lao động của nhóm tiếp xúc đồng đều nhận mức tiếp xúc tiếng ồn hàng ngày trọng số A là 88,1 dB với độ không đảm bảo mở rộng với xác suất một chiều bằng 95 % (k = 1,65) là 3,8 dB.
(tham khảo)
Ví dụ tính mức tiếp xúc tiếng ồn hàng ngày sử dụng phép đo theo ngày
F.1 Quy định chung
Phụ lục này đưa ra ví dụ về việc sử dụng phương thức đo theo ngày để xác định mức tiếp xúc tiếng ồn hàng ngày được quy định trong Điều 11.
Ví dụ này chỉ ra việc áp dụng phương thức đối với nguyên công xác định mức tiếp xúc tiếng ồn của công nhân điều khiển xe nâng hàng trong trong công ty sản xuất và lưu trữ dây cáp
F.2 Bước 1: Phân tích công việc
Công việc của công nhân điều khiển xe nâng hàng liên quan đến sự chuyên chở vận liệu thô và thành phẩm trong và giữa các khu vực sản xuất, kho và khu vực xuất hàng đi. Công việc của người lái xe có thể khác nhau, phụ thuộc vào sự chỉ dẫn của người phụ trách. Các xe có thể đi trên các bề mặt khác nhau khi dỡ hàng, chất tải một phần hay chất tải đầy. Các lái xe mất một phần lớn thời gian của ngày làm việc trong cabin xe, nhưng định kỳ cũng được yêu cầu rời khỏi xe để giúp chất hàng hoặc dỡ hàng, trao đổi công việc với đồng nghiệp và người phụ trách. Các xe được lắp ráp các bộ cảnh báo âm thanh đảo chiều và việc sử dụng thiết bị là bắt buộc.
Có ba lái xe nâng hàng. Họ làm ca 10 h, nghỉ ba lần là 20 min, 45 min và 20 min. Hai đợt nghỉ ngắn hơn này ở những vị trí thuận tiện tại chỗ làm việc để phù hợp với lái xe. Thời gian nghỉ dài hơn được bố trí vào thời điểm cố định tại nhà ăn của công ty. Thời gian làm việc thực là 9,25 h.
Bản mô tả các hoạt động của công việc đã được biên tập theo các quan sát và chốt lại bằng cách phỏng vấn các lái xe này và người phụ trách của họ. Ba lái xe được xem xét để hình thành một nhóm tiếp xúc đồng đều (xem 7.2).
F.3 Bước 2: Chọn phương thức đo
Vì khung công việc phức tạp và khó dự báo, chọn phương thức đo theo ngày là phù hợp nhất.
F.4 Bước 3: Các phép đo
F.4.1 Kế hoạch đo
Đầu tiên thực hiện phép đo theo ngày đối với từng lái xe.
Máy đo cá nhân đo mức tiếp xúc âm đã được hiệu chuẩn chính xác và được gắn vào từng lái xe vào lúc bắt đầu ca làm việc. Các lái xe được thông báo về hoạt động của máy đo và yêu cầu làm việc bình thường, hạn chế sự động chạm hoặc làm nhiễu micro hoặc thiết bị đo, cố gắng tránh vô tình tiếp xúc với micro, và cố gắng tránh nói chuyện khi không cần hoặc hét to trong ca làm việc.
Trong thời gian của hai lần nghỉ ngắn, bỏ máy đo cá nhân đo mức tiếp xúc âm ra. Trong trường hợp đó, mức tiếp xúc tiếng ồn trong thời gian ăn trưa cũng cho là không phù hợp và nhân viên kỹ thuật thực hiện phép đo đặt máy đo cá nhân đo mức tiếp xúc âm ở trạng thái “tạm dừng”.
Vào cuối ca làm việc, bỏ Máy đo cá nhân đo mức tiếp xúc âm ra khỏi người, và thực hiện quy trình hiệu chỉnh thích hợp.
Do cần thời gian tại thời điểm bắt đầu và kết thúc ca làm việc để cài đặt và tháo thiết bị ra và hướng dẫn các lái xe, khoảng thời gian đo sẽ ít hơn một chút so với khoảng thời gian của cả một ca làm việc. Tuy nhiên, các phép đo đã đạt thời gian đủ để bao gồm tất cả các chu kỳ đáng kể tiếp xúc tiếng ồn.
Sau khi thực hiện ba phép đo theo ngày đầu tiên, cho thấy rằng ba kết quả chênh nhau hơn 3 dB. Do đó cần tiến hành 3 phép đo bổ sung, sử dụng kỹ thuật đo tương tự. Tổng số có sáu phép đo theo ngày.
F.4.2 Quan sát các hoạt động của công việc và quan trắc phép đo
Để đánh giá nguyên nhân gây độ không đảm bảo ảnh hưởng đến phép đo, kỹ thuật viên quan sát theo chu kỳ mỗi lái xe trong quá trình thực hiện các phép đo và ghi chú các hoạt động tương ứng của họ.
Ngoài ra, vào cuối ca làm việc, sau khi tháo bỏ máy đo cá nhân đo mức tiếp xúc âm, kỹ thuật viên phỏng vấn từng lái xe để xác minh xem liệu ngày làm việc đó có đại diện không và phát hiện xem liệu có nguyên công nào đặc trưng đã được thực hiện hoặc có việc nào bất ngờ xảy ra ảnh hưởng tới phép đo không.
F.5 Bước 4: Xử lý sai số
Không có nguồn sai số tiềm ẩn nào.
F.6 Bước 5: Tính toán và trình bày kết quả và độ không đảm bảo
F.6.1 Kết quả đo
Kết quả sáu phép đo trình bày trong Bảng F.1.
Bảng F.1 - Kết quả đo
|
Lái xe/Ngày |
Mức áp suất âm liên tục tương đương Lp,A,eqT,n dB |
Thời gian đo t |
|
1/1 |
88,0 |
8h 15 min |
|
2/1 |
91,9 |
8h 10 min |
|
3/1 |
87,6 |
8h 15 min |
|
1/2 |
90,4 |
8h 00 min |
|
2/2 |
89,0 |
8h 05 min |
|
3/2 |
88,4 |
8h 10 min |
F.6.2 Tính mức tiếp xúc tiếng ồn hàng ngày trọng số A
Mức tiếp xúc tiếng ồn hàng ngày trọng số A của nhóm lái xe nâng hàng tiếp xúc tiếng ồn đồng đều được tính từ sáu giá trị đo được Lp,A,eqT,n sử dụng Công thức (11).
Sử dụng các giá trị từ Bảng F.1, kết quả là Lp,A,eqT,n = 89,5 dB.
Mức tiếp xúc tiếng ồn hàng ngày trọng số A, LEX,8h , lấy từ Công thức (13). Khoảng thời gian làm việc thực trong ngày, Te = 9,25 h và khoảng thời gian chuẩn là 8 h.
Từ đó:

F.6.3 Tính độ không đảm bảo
Với phương thức đo theo ngày, độ không đảm bảo mở rộng, U, xác định theo quy trình trong Điều C.3.
Độ không đảm bảo chuẩn trung bình của Lp,A,eqT, u1, lấy từ Công thức (C.12), tức là:

Độ không đảm bảo thành phần, c1u1, từ Bảng C.4 với N = 6 và u1 = 1,65 dB là: c1u1 = 1,0 dB.
Độ không đảm bảo chuẩn do thiết bị, u2,m, lấy từ Bảng C.5, trong đó, do thiết bị sử dụng là máy đo cá nhân đo mức tiếp xúc âm:
u2 = 1,5 dB
Độ không đảm bảo chuẩn do vị trí micro, u3, lấy từ Bảng C.6:
u3 = 1,0 dB
Hệ số độ nhạy, c2, và c3, lấy từ Bảng C.3:
c2 = c3 = 1 dB
Độ không đảm bảo chuẩn kết hợp, u(LEX,8h), kết quả lấy từ Công thức (C.9):
u2(LEX,8h) = (1,02 + 1,52 + 1,02) = 4,25
Từ đó, độ không đảm bảo chuẩn kết hợp, U(LEX,8h) là:
U(LEX,8h) = 1,65 x u = 3,4 dB
F.6.4 Kết luận
Ba công nhân lái xe nâng hàng là đối tượng của mức tiếp xúc tiếng ồn hàng ngày trọng số A bằng 90,1dB, kèm độ không đảm bảo mở rộng với xác suất một chiều 95 % (k =1,65) là 3,4 dB.
THƯ MỤC TÀI LIỆU THAM KHẢO
[1] TCVN 9800-2 (ISO 4869-2), Âm học - Phương tiện bảo vệ thính giác - Phần 2: Ước tính mức áp suất âm trọng số A hữu hiệu khi đeo phương tiện bảo vệ thính giác
[2] ISO 11200, Acoustics - Noise emitted by machinery and equipment - Guidelines for the use of basic standards for the determination of emission sound pressure levels at a work station and at other specified positions
[3] ISO 11201, Acoustics - Noise emitted by machinery and equipment - Measurement of emission sound pressure levels at a work station and at other specified positions in an essentially free field over a reflection plane with negligible environmental corrections
[4] ISO 11202, Acoustics - Noise emitted by machinery and equipment - Measurement of emission sound pressure levels at a work station and at other specified positions applying approximate environmental corrections
[5] ISO 11203, Acoustics - Noise emitted by machinery and equipment - Determination of emission sound pressure levels at a work station and at other specified positions from the sound power level
[6] ISO 11205, Acoustics - Noise emitted by machinery and equipment - Engineering method for the determination of emission sound pressure levels in situ at the work station and at other specified positions using sound intensity
[7] ISO 11904-1, Acoustics - Determination of sound immission from sound sources placed close to the ear - Part 1: Technique using microphone in a real ear (MIRE technique)
[8] ISO 11904-2, Acoustics - Determination of sound immission from sound sources placed close to the ear - Part 2: Technique using a manikin
[9] ISO/TR 25417:2007, Acoustics - Definitions of basic quantities and terms
[10] IEC 60651:2001 * (trọn bộ), Sound level meters
[11] IEC 60804:2000 (trọn bộ), Integrating-averaging sound level meters
[12] EN 458:2004, Hearing protectors - Recommendations for selection, use, care and maintenance - Guidance document
[13] GRZEBYK, M., THIÉRY, L. Confidence intervals for the mean of sound exposure levels. Am. Indust. Hyg. Assoc. J. 2003, 64, pp 640-645
[14] THIÉRY, L., OGNEDAL, T. Note about the statistical background of the methods used in ISO/DIS 9612 to estimate the uncertainty of occupational noise exposure measurements. Acta Acust. Acust. 2008, 94, pp 331-334
MỤC LỤC
Lời nói đầu
Lời giới thiệu
1. Phạm vi áp dụng
2. Tài liệu viện dẫn
3. Thuật ngữ và định nghĩa
4. Ký hiệu
5. Thiết bị đo
6. Phương pháp luận - Các bước thực hiện
7. Phân tích công việc
8. Lựa chọn phương thức đo
9. Phương thức 1 - Phép đo theo nguyên công
10. Phương thức 2 - Phép đo theo nghề
11. Phương thức 3 - Phép đo theo ngày
12. Phép đo
13. Nguyên nhân gây độ không đảm bảo
14. Tính độ không đảm bảo đo và trình bày kết quả cuối cùng
15. Các thông tin trong báo cáo
Phụ lục A (tham khảo) Ví dụ về danh mục kiểm tra để đảm bảo rằng các trường hợp gây ồn đã được phát hiện trong khi phân tích công việc
Phụ lục B (tham khảo) Hướng dẫn chọn phương thức đo
Phụ lục C (quy định) Đánh giá độ không đảm bảo đo
Phụ lục D (tham khảo) Ví dụ tính mức tiếp xúc tiếng ồn hàng ngày sử dụng phép đo theo nguyên công.
Phụ lục E (tham khảo) Ví dụ tính mức tiếp xúc tiếng ồn hàng ngày sử dụng phép đo theo nghề
Phụ lục F (tham khảo) Ví dụ tính mức tiếp xúc tiếng ồn hàng ngày sử dụng phép đo theo ngày
Thư mục tài liệu tham khảo
* Đã có TCVN 6775:2000 (IEC 651:1979/Amd.1:1993), Âm học - Máy đo mức âm