Respiratory protective devices - Full face masks - Technical requirements and test methods
MỤC LỤC
Lời nói đầu
1. Phạm vi áp dụng
2. Tài liệu viện dẫn
3. Định nghĩa
4. Mô tả
5. Phân loại
6. Chỉ định
7. Yêu cầu kỹ thuật
7.1 Yêu cầu chung
7.2 Giá trị danh nghĩa và dung sai
7.3 Kiểm tra bằng mắt thường
7.4. Vật liệu
7.5 Khả năng chịu nhiệt
7.6 Tính bắt cháy
7.8 Vệ sinh và khử trùng
7.9 Các bộ phận hoàn thiện
7.10 Bộ phận có thể thay thế
7.11 Dây đeo đầu
7.12 Mối nối
7.16 Độ rò rỉ
7.17 Khả năng tương thích với da
7.18 Hàm lượng Cacbon dioxit trong khí thở vào
7.19 Trở lực hô hấp
7.20 Rò rỉ bên trong
7.21 Trường nhìn
7.22 Tính năng thực tế
8. Phương pháp thử
8.1 Yêu cầu chung
8.2 Điều kiện thử nghiệm
8.3 Kiểm tra trực quan
8.4 Khả năng chịu nhiệt
8.5 Tính dễ cháy
8.6 Khả năng chịu bức xạ nhiệt
8.7 Vệ sinh và khử trùng
8.8 Dây đeo đầu.
8.9 Mối nối
8.10 Màng loa
8.11 Kính che
8.12 Van thở vào và van thở ra
8.13 Độ rò rỉ
8.14 Hàm lượng Cacbon dioxit (CO2) trong khí thở vào
8.15 Trở lực đường thở
8.16 Rò rỉ bên trong
8.17 Trường nhìn
8.18 Tính năng thực tế
9 Ghi nhãn
10 Thông tin được cung cấp bởi nhà sản xuất
Phụ lục 1 - Mô tả mặt trùm toàn bộ khuôn mặt
Thư mục tài liệu tham khảo
Lời nói đầu
Tiêu chuẩn TCVN 13332:2021 được xây dựng trên cơ sở tham khảo Tiêu chuẩn châu Âu EN 136:1998, Respiratory protective devices - Full face masks - Technical requirements and test methods.
TCVN 13332:2021 do Cục cảnh sát Phòng cháy, chữa cháy và cứu nạn, cứu hộ biên soạn, Bộ Công an đề nghị, Tổng cục Tiêu chuẩn Đo lường Chất lượng thẩm định, Bộ Khoa học và Công nghệ công bố.
Respiratory protective devices - Full face masks - Technical requirements and test methods
Tiêu chuẩn này quy định yêu cầu kỹ thuật và phương pháp thử cho các loại mặt nạ trùm toàn bộ khuôn mặt.
Tiêu chuẩn này không áp dụng cho mặt trùm trong bộ thiết bị lặn, mặt trùm trong trang phục xử lý phóng xạ.
Các tài liệu viện dẫn sau rất cần thiết cho việc áp dụng tiêu chuẩn này. Đối với các tài liệu viện dẫn ghi năm công bố thì áp dụng phiên bản được nêu. Đối với các tài liệu viện dẫn không ghi năm công bố thì áp dụng phiên bản mới nhất, bao gồm cả các sửa đổi, bổ sung (nếu có):
EN 132:1990, Respiratory protective devices - Definitions (Phương tiện bảo vệ cơ quan hô hấp - Các định nghĩa);
EN 134:1990, Respiratory protective devices - Nomenclature of components (Phương tiện bảo vệ cơ quan hô hấp - Danh mục các thành phần);
EN 148 -1:1987, Respiratory protective devices - Threads for facepieces - Standard thread connection (Phương tiện bảo vệ cơ quan hô hấp - Ren của tấm che mặt - Mối nối ren tiêu chuẩn);
EN 148 - 2:1987, Respiratory protective devices - Threads for facepieces - Centre thread connection (Phương tiện bảo vệ cơ quan hô hấp - Ren của tấm che mặt - Mối nối ren tiêu chuẩn); EN 148 - 3:1992, Respiratory protective devices - Threads for facepieces - Thread connection M 45 x 3 (Phương tiện bảo vệ cơ quan hô hấp - Ren của tấm che mặt - Mối nối ren M45 x 3); ISO 6941:1984/AMD 1:1992, Vải dệt - Đặc tính cháy - Xác định đặc tính lan truyền lửa trong các vật mẫu đặt theo phương thẳng đứng;
ISO 6942:1993, Quần áo bảo hộ chống nhiệt và lửa - Đánh giá đặc tính nhiệt của vật liệu và tổ hợp vật liệu khi tiếp xúc với một nguồn nhiệt bức xạ;
TCVN 6875:2010 - ISO 11612:2008, Quần áo bảo vệ - Quần áo bảo vệ chống nhiệt và lửa;
TCVN 6876-1:2010 - ISO 12127-1:2007, Quần áo bảo vệ chống nhiệt và lửa - Xác định sự truyền nhiệt tiếp xúc qua quần áo bảo vệ hoặc vật liệu cấu thành - Phần 1: Phương pháp thử sử dụng nhiệt tiếp xúc tạo ra bởi ống trụ gia nhiệt;
TCVN 6877:2001 - ISO 9151:1995, Quần áo bảo vệ chống nhiệt và lửa - Xác định độ truyền nhiệt khi tiếp xúc với lửa;
TCVN 6878:2001, Quần áo bảo vệ chống nóng và cháy - Đánh giá đặc tính nhiệt của vật liệu và cụm vật liệu khi tiếp xúc với nguồn nhiệt bức xạ.
Tiêu chuẩn này sử dụng các thuật ngữ và định nghĩa sau:
3.1. Mặt nạ trùm toàn bộ khuôn mặt (Full face masks) (sau đây viết tắt là mặt trùm)
Một tấm che dùng để che mắt mũi, miệng, cằm và đảm bảo độ kín vừa khuôn mặt người đeo nhằm bảo vệ cơ quan hô hấp chống lại sự xâm nhập không khí bên ngoài, khi da khô hoặc ẩm và ngay cả khi đầu cử động hoặc khi người đeo đang nói.
Không khí đi vào mặt trùm thông qua (các) đầu nối và đi trực tiếp vào vùng mũi và miệng hoặc qua vùng mắt của mặt trùm.
Không khí thở ra, được qua đầu nối của thiết bị thở (thiết bị thở chu trình kín, thở kiểu lưu lại) hoặc trực tiếp vào không khí xung quanh, thông qua (các) van thở ra hoặc bằng các phương pháp thích hợp khác đối với từng loại thiết bị bảo vệ cơ quan hô hấp khác.
Có thể sử dụng một mặt trùm bên trong để tách mũi và miệng với vùng mắt của mặt trùm.
Mặt trùm có thể được mô tả như Phụ lục 1.
Có ba loại mặt trùm được mô tả, mỗi loại đều có cùng mức độ bảo vệ cơ quan hô hấp nhưng có một số khác biệt, thể hiện các mục đích sử dụng khác nhau.
Mặt trùm loại 1: Mặt trùm cho mục đích sử dụng nhẹ.
Mặt trùm loại 2: Mặt trùm cho mục đích sử dụng chung.
Mặt trùm loại 3: Mặt trùm cho mục đích sử dụng đặc biệt.
Chỉ định mặt nạ trùm toàn bộ khuôn mặt đáp ứng các yêu cầu của tiêu chuẩn này:
Mặt nạ toàn mặt EN 136 (Tùy chọn).
Trong tất cả các phép thử, tất cả các mẫu thử nghiệm phải đạt yêu cầu.
7.2 Giá trị danh nghĩa và dung sai
Trừ khi có quy định khác, các giá trị nêu trong tiêu chuẩn này được thể hiện bằng giá trị danh nghĩa. Ngoại trừ các giới hạn nhiệt độ, các giá trị không được xác định là cực đại hay cực tiểu phải có dung sai là +5%. Trừ khi có quy định khác, nhiệt độ môi trường trong thử nghiệm phải là (24 ± 8)°C, các giới hạn nhiệt độ phải có độ chính xác là ±1°C và độ ẩm tương đối phải là (50 ± 30)%.
Việc kiểm tra bằng mắt thường phải bao gồm kiểm tra nhãn và tất cả các thông tin được nhà sản xuất cung cấp.
Thử nghiệm phải thực hiện theo 8.3.
Đối với các bộ phận lộ ra ngoài của mặt trùm loại 2 và loại 3 có thể bị va chạm trong quá trình sử dụng, không được sản xuất từ nhôm, magiê, titan hoặc hợp kim có chứa các kim loại mà khi va chạm, ma sát phát sinh tia lửa gây ra khả năng bắt lửa các hỗn hợp khí dễ cháy.
Thử nghiệm phải thực hiện theo 8.3.
Trước và sau thử nghiệm này mặt trùm phải đáp ứng yêu cầu tại 7.16.
Sau khi điều hòa theo 8.2 và đưa trở về nhiệt độ môi trường, mặt trùm phải không có biến dạng rõ rệt và các đầu nối có ren theo EN 148-1, EN 148-2 hoặc EN 148-3 cũng phải được đo đạc và phải tuân thủ các tiêu chuẩn thích hợp.
Ngoài ra, đối với mặt trùm loại 3, các mối ren theo EN 148-1, EN 148-2 hoặc EN 148-3 quy định là thích hợp cũng phải chính xác theo phép đo tại cuối giai đoạn chuẩn bị điều kiện thử nghiệm quy định theo 8.2b.
Thực hiện thử nghiệm theo 8.3, 8.4, 8.13 và 8.16.
7.6.1 Yêu cầu chung
Trước và sau khi kiểm tra mặt trùm phải đạt các yêu cầu theo 7.16.
7.6.2 Mặt trùm loại 1
Các bộ phận của mặt trùm có thể tiếp xúc với ngọn lửa trong khi sử dụng sẽ không bị cháy hoặc có thể bị cháy nhưng trong thời gian không quá 5 s sau khi lấy ra khỏi ngọn lửa.
Thực hiện thử nghiệm theo 8.3 và 8.5.1.
7.6.3 Mặt trùm loại 2 và loại 3
Các bộ phận của mặt trùm có thể tiếp xúc với ngọn lửa trong khi sử dụng sẽ không bị cháy hoặc có thể bị cháy nhưng trong thời gian không quá 5 s sau khi lấy ra khỏi ngọn lửa.
Thực hiện thử nghiệm theo 8.3 và 8.5.2.
7.7 Khả năng chịu bức xạ nhiệt
Mặt trùm loại 3 phải chịu được bức xạ nhiệt. Có thể đạt được điều này bằng một trong hai cách, cụ thể là:
Mặt trùm được xem là có khả năng chịu được bức xạ nhiệt theo tiêu chuẩn này nếu vẫn giữ nguyên độ kín sau thời gian thử nghiệm kéo dài 20 min mặc dù nó có thể bị biến dạng.
Ngoài ra, mặt trùm có thể được xem là có khả năng chịu được bức xạ nhiệt nếu trường nhìn bị suy giảm sau thời gian thử nghiệm kéo dài ≥ 4 min và tấm che mặt vẫn giữ nguyên độ kín sau 01 min nữa.
Trước và sau khi thử nghiệm bức xạ nhiệt, mặt trùm phải đáp ứng yêu cầu quy định tại 7.16.
Thực hiện thử nghiệm theo 8.6.
Các vật liệu được sử dụng phải chịu được các chất theo quy trình vệ sinh và khử trùng theo khuyến nghị của nhà sản xuất.
Thực hiện thử nghiệm theo 8.7.
Các bộ phận hoàn thiện của mặt trùm có khả năng tiếp xúc với người đeo không được có các cạnh và gờ sắc, làm bằng vật liệu mềm.
Thực hiện thử nghiệm theo 8.3 và 8.18.
Yêu cầu này chỉ áp dụng cho mặt trùm loại 3.
Tất cả các bộ phận gắn liền với mặt trùm (khi được trang bị) có thể thay thế được gồm: Mặt trùm bên trong, dây đeo đầu, kính che, đầu nối, van thở vào và van thở ra, van kiểm tra, màng chắn âm, bộ phận lau tròng kính.
Thực hiện thử nghiệm theo 8.3.
7.11.1 Dây đeo phải được thiết kế sao cho có thể đeo và tháo mặt trùm dễ dàng, làm bằng vật liệu bền.
Thực hiện thử nghiệm theo 8.3 và 8.18.
7.11.2 Dây đeo phải điều chỉnh được hoặc tự điều chỉnh và phải giữ mặt trùm chắc chắn và thoải mái đúng vị trí, có độ dài phù hợp, dễ thay thế nếu hư hỏng.
Thực hiện thử nghiệm theo 8.3 và 8.18.
7.11.3 Độ bền
7.11.3.1 Đối với mặt trùm loại 1, mỗi dây đeo đầu phải chịu được lực kéo 100 N trong 10 s theo hướng kéo khi đeo mặt trùm.
Thực hiện thử nghiệm theo 8.3 và 8.8.1.
7.11.3.2 Đối với mặt trùm loại 2 và loại 3, mỗi dây đeo đầu phải chịu được lực kéo 150 N trong 10 s theo hướng kéo khi đeo mặt trùm.
Khóa và chốt gài (nếu có) phải chịu được lực kéo tương đương.
Thực hiện thử nghiệm theo 8.3 và 8.8.1.
7.11.4 Mỗi dây đeo không được biến dạng thẳng vĩnh viễn hơn 5% sau khi được thử nghiệm với lực kéo 50 N trong 10 s.
Thực hiện thử nghiệm theo 8.3 và 8.8.2.
7.11.5 Đối với mặt trùm loại 3 khi được trang bị, người đeo phải dễ dàng điều chỉnh được dây đeo đầu hoặc dây đeo tự điều chỉnh.
Thực hiện thử nghiệm theo 8.3 và 8.18.
7.12.1 Yêu cầu chung
Có thể thực hiện nối mặt trùm với thiết bị bằng một loại mối nối cố định hoặc bằng một mối nối ren.
Nếu mặt trùm có thiết kế nhiều hơn một đầu nối, thiết kế của tấm che mặt hoặc phần còn lại của thiết bị phải đảm bảo việc sử dụng các loại hoặc kết hợp các phương tiện bảo vệ cơ quan hô hấp khác nhau sẽ không xuất hiện rủi ro nào.
Mọi mối nối phải được tháo lắp bằng tay dễ dàng và an toàn. Bất kỳ phương tiện bịt kín nào được sử dụng phải được giữ đúng vị trí khi tháo lắp trong quá trình bảo trì định kỳ.
Phải đảm bảo mối nối chính xác và chắc chắn giữa mặt trùm và các bộ phận khác của thiết bị.
Thực hiện thử nghiệm theo 8.3, 8.16 và 8.18.
7.12.2 Mặt trùm loại 1
Mặt trùm loại 1 không có các đầu nối có ren được quy định trong EN 148-1, EN 148-2 và EN 148-3.
Thực hiện thử nghiệm theo 8.3.
7.12.3 Mặt trùm loại 2 và loại 3
Mặt trùm chỉ được có một đầu nối có ren được quy định theo EN 148-1, EN 148-2 hoặc EN 148-3.
Nếu sử dụng bất kỳ đầu nối nào khác thì sẽ không thể nối với các ren được quy định theo EN 148-1, EN 148-2 hoặc EN 148-3.
Thực hiện thử nghiệm theo 8.3.
7.12.4 Độ bền mối nối
7.12.4.1 Trước và sau thử nghiệm này, mặt trùm phải đáp ứng yêu cầu theo 7.16.
7.12.4.2 Đối với mặt trùm loại 1, mối nối giữa mặt trùm và đầu nối phải đủ chắc để chịu được lực kéo dọc trục 250 N.
Thực hiện thử nghiệm theo 8.9 và 8.13.
7.12.4.3 Đối với mặt trùm loại 2 và loại 3, mối nối giữa mặt trùm và đầu nối phải đủ chắc để chịu được lực kéo dọc trục 500 N.
Thực hiện thử nghiệm theo 8.9 và 8.13.
7.13.1 Nếu mặt trùm bao gồm màng loa thì phải được bảo vệ chống lại hư hỏng cơ học thông qua đánh giá bằng mắt thường theo 8.3.
Màng loa phải chịu được áp suất chênh lệch 80 mbar (áp suất tĩnh) so với áp suất dương ở bên ngoài (không khí xung quanh).
Thực hiện thử nghiệm theo 8.3 và 8.10.1.
7.13.2 Khi một bộ phận màng loa chịu tác động của ngoại lực, bộ phận này phải chịu được lực kéo dọc trục 150 N trong 10 s. Thử nghiệm phải được lặp lại chín lần, mỗi lần 10 s.
Thực hiện thử nghiệm theo 8.3 và 8.10.2.
7.13.3 Sau khi một mặt trùm bại 3 đã qua thử nghiệm bức xạ nhiệt theo quy định tại 8.6 và đưa trở về nhiệt độ môi trường thì phải đáp ứng theo 7.13.1 và 7.13.2.
7.14.1 Kính che và chống hơi nước của mặt trùm được thiết kế lắp đặt một cách chắc chắn và kín khí vào mặt trùm.
Thực hiện thử nghiệm theo 8.3.
7.14.2 Kính che không được làm thay đổi trường nhìn như đã được xác định trong các thử nghiệm tính năng thực tế.
Thực hiện thử nghiệm theo 8.18.
7.14.3 Nhà sản xuất phải có các giải pháp để hạn chế tích tụ hơi nước trên kính mắt hoặc kính che, để trường nhìn không bị cần trở khi thiết bị được thử nghiệm tính năng thực tế.
Trong trường hợp các hợp chất chống tích tụ hơi nước được sử dụng theo chủ đích hoặc chỉ định của nhà sản xuất, các hợp chất này không ảnh hưởng có hại cho sức khỏe.
Thực hiện thử nghiệm theo 8.3 và 8.18.
7.14.4 Sau khi thử nghiệm độ bền cơ học của kính che, mặt trùm không được có bất kỳ hư hại nào có thể làm cho mặt trùm mất hiệu quả hoặc gây thương tích cho người đeo. Tính hiệu quả sẽ được thử nghiệm bằng cách so sánh độ kín của mặt trùm trước và sau thử nghiệm. Mặt trùm phải đáp ứng các yêu cầu quy định tại 7.16 cả trước và sau khi thử nghiệm độ bền cơ học của kính mắt hoặc kính che.
Thực hiện thử nghiệm theo 8.3, 8.11 và 8.13.
7.15 Van thở vào và van thở ra
7.15.1 Yêu cầu chung
Các bộ phận van phải được bảo trì dễ dàng và phải thay thế được khi cần thiết.
Không thể lắp bộ phận van thở ra với đường thở vào hoặc bộ phận van thở vào với đường thở ra.
Các bộ phận van thở vào và van thở ra, bộ phận phụ trợ được nhà sản xuất thiết kế giống nhau đều được chấp nhận.
Các bộ phận van thở vào và thở ra, bộ phận phụ trợ và bộ phận được thiết kế khác nhau đều được chấp nhận nếu có đưa ra mô tả chính xác và dễ hiểu trong thông tin do nhà sản xuất cung cấp. Thông tin này cần được mô tả bằng hình ảnh minh họa (hình ảnh, hình vẽ) về cách lắp ráp thiết bị một cách chính xác.
Để có thể lắp ráp chính xác, các bộ phận phải được mô tả hoặc ghi nhãn rõ ràng.
Các phương pháp để kiểm tra việc lắp ráp chính xác phải được mô tả (kiểm tra bằng mắt thường, kiểm tra đơn giản bởi người đeo, thử nghiệm bởi nhân viên bảo trì - bất cứ phương thức nào phù hợp).
Thực hiện thử nghiệm theo 8.3.
7.15.2 Van thở vào
7.15.2.1 Van thở vào phải hoạt động chính xác theo mọi hướng và đáp ứng các yêu cầu theo 7.19.
7.15.2.2 Mặt trùm với một mối nối ren theo quy định tại tiêu chuẩn EN 148-2 không có van thở vào.
Nếu sử dụng một đầu nối có ren theo quy định theo EN 148-1 thì phải kết hợp van thở vào với mặt trùm.
Nếu mặt trùm được sử dụng cùng các phin lọc, mặt trùm phải được cung cấp một van thở vào nếu không có sẵn van trong phin lọc.
Thực hiện thử nghiệm theo 8.3.
7.15.3 Van thở ra
7.15.3.1 Mặt trùm với một mối nối ren theo quy định theo EN 148-2 không có van thở ra.
Thực hiện thử nghiệm theo 8.3.
7.15.3.2 Van thở ra phải hoạt động chính xác theo mọi hướng và đáp ứng các yêu cầu theo 7.19.
Thực hiện thử nghiệm theo 8.3 và 8.15.1.
7.15.3.3 Mặt trùm có trang bị một mối nối ren theo quy định theo EN 148-1 hoặc EN 148-3 và mặt trùm loại 1 phải có ít nhất một van thở ra hoặc các phương tiện thích hợp khác để thoát khí thở và/hoặc không khí thừa
Thực hiện thử nghiệm theo 8.3.
7.15.3.4 Van thở ra (nếu được trang bị) phải chống được bụi bẩn và hư hỏng cơ học. Van có thể được che chắn hoặc chứa trong thiết bị khác cần thiết để tuân theo 7.20.
Thực hiện thử nghiệm theo 8.3.
7.15.3.5 Van thở ra phải hoạt động chính xác và đáp ứng các yêu cầu theo 7.19 sau khi áp dụng hai cách sau: (1) một lưu lượng thở ra liên tục 300 L/min và (2) một áp suất âm (tĩnh) trong mặt trùm 80 mbar (30 s cho mỗi thử nghiệm).
Thực hiện thử nghiệm theo 8.3 và 8.12.1.
7.15.4 Lực kéo
7.15.4.1 Mặt trùm loại 1
Trước và sau khi thử nghiệm, mặt trùm phải đáp ứng yêu cầu theo 7.16.
Khi vỏ van thở ra được lắp vào mặt trùm, mặt trùm phải chịu được lực kéo dọc trục 50 N trong 10 s.
Thử nghiệm phải được lặp lại 9 lần, mỗi lần cách nhau 10 s.
Thực hiện thử nghiệm theo 8.3 và 7.12.2.
7.15.4.2 Mặt trùm loại 2 và loại 3
Trước và sau khi thử nghiệm, mặt trùm phải đáp ứng yêu cầu theo 7.16.
Khi van thở ra được lắp vào mặt trùm, mặt trùm phải chịu được lực kéo dọc trục 150 N trong 10 s.
Thử nghiệm phải được lặp lại 9 lần, mỗi lần cách nhau 10 s.
Thực hiện thử nghiệm theo 8.3 và 8.12.2.
Độ rò rỉ của mặt trùm không được vượt quá mức khi áp suất thay đổi 1 mbar trong 1 min, ở điều kiện thử với áp suất -10 mbar.
Thực hiện thử nghiệm theo 8.13.
7.17 Khả năng tương thích với da
Các vật liệu trên mặt trùm có thể tiếp xúc với da của người đeo không gây kích ứng hoặc có bất kỳ tác dụng phụ nào cho sức khỏe.
Thực hiện thử nghiệm theo 8.3 và 8.18.
7.18 Hàm lượng Cacbon dioxit trong khí thở vào
Hàm lượng Cacbon dioxit trong khí thở đi vào (khoảng chết) không được vượt quá mức trung bình 1 % (theo thể tích).
Thực hiện thử nghiệm theo 8.14.
7.19.1 Theo loại và kiểu bao gồm kiểu mối nối, mặt trùm (trừ thiết bị thở áp suất dương) phải đáp ứng các yêu cầu theo 7.19.2 hoặc 7.19.3.
Khi mặt trùm có mối nối đặc biệt chỉ được sử dụng với thiết bị thở áp lực dương, trở lực hô hấp không được đánh giá riêng mà là một phần của thiết bị hoàn chỉnh, đáp ứng các yêu cầu của tiêu chuẩn thích hợp về thiết bị thở.
7.19.2 Mặt trùm có mối nối khác với các mối nối theo 7.19.3 và 7.19.4 phải đáp ứng các yêu cầu được quy định trong Bảng 1.
Thực hiện thử nghiệm theo 8.15.1.
Bảng 1: Yêu cầu đối với mặt trùm có mối nối khác với các mối nối theo 7.19.3 và 7.19.4
|
Trở lực thở vào (mbar) |
Trở lực thở ra (mbar) |
||
|
Lưu lượng liên tục 30 L/min |
Lưu lượng liên tục 95 L/min |
Lưu lượng liên tục 160 L/min hoặc lưu lượng hình sin 50 L/min (25 nhịp thở/min; 2,0 L/nhịp thở) |
Lưu lượng liên tục 160 L/min hoặc lưu lượng hình sin 50 L/min (25 nhịp thở/min; 2,0 L/nhịp thở) |
|
≤ 0,5 |
≤ 5 |
≤ 2,5 |
≤ 3,0 |
7.19.3 Mặt trùm loại 2 và loại 3 có mối nối ren theo EN 148-2 và không có van phải đáp ứng các yêu cầu được quy định trong Bảng 2.
Thực hiện thử nghiệm theo 8.15.1.
Bảng 2: Yêu cầu đối với mặt trùm loại 2 và loại 3 có mối nối ren theo EN 148-2
|
Trở lực thở vào (mbar) |
Trở lực thở ra (mbar) |
|
Lưu lượng liên tục 160L/min hoặc lưu lượng hình sin 50L/min ( 25 nhịp thở /min; 2,0 L/nhịp thở) |
Lưu lượng liên tục 160L/min hoặc lưu lượng hình sin 50L/min ( 25 nhịp thở /min; 2,0 L/nhịp thở) |
|
≤ 0,6 |
≤ 0,6 |
7.19.4 Mặt trùm loại 2 và loại 3 có mối nối ren theo EN 148-3, để sử dụng với thiết bị thở áp lực dương, phải đáp ứng các yêu cầu quy định trong Bảng 3.
Thực hiện thử nghiệm theo 8.15.3.
Bảng 3: Yêu cầu đối với mặt trùm loại 2 và loại 3 có mối nối ren theo EN 148-3
|
Trở lực thở vào (mbar) |
Trở lực thở ra (mbar) |
||
|
Lưu lượng hình sin 100 L/min (40 nhịp thở/min, 2,5 L/nhịp thở) |
Lưu lượng liên tục 100 L/min |
Lưu lượng hình sin 50 L/min (25 nhịp thở/min, 2,0 L/nhịp thở) |
Lưu lượng hình sin 100 L/min (40 nhịp thở/min, 2,5 L/nhịp thở) |
|
≤ 3,5 |
≥ 4,2 |
≤ 7,0 |
≤ 10,0 |
Mặt trùm phải khít với khuôn mặt của người sử dụng. Sự rò rỉ vào bên trong của chất thử không được vượt quá giá trị trung bình 0,05% thể tích khí thở vào đối với bất kỳ đối tượng nào trong mười đối tượng thử nghiệm.
Thực hiện thử nghiệm theo 8.16.
Mặt trùm có trang bị một kính che đơn phải được thiết kế sao cho trường nhìn hiệu quả không thấp hơn 70% so với trường nhìn bằng mắt thường, và trường nhìn chồng lấp so với với trường nhìn chồng lấp tự nhiên không thấp hơn 80%.
Mặt trùm có kính che kép phải được thiết kế sao cho trường nhìn hiệu quả không thấp hơn 70% so với trường nhìn tự nhiên, và trường nhìn chồng lấp so với trường nhìn chồng lấp tự nhiên không thấp hơn 20%.
Thực hiện thử nghiệm theo 8.17.
Mặt trùm phải đáp ứng tất cả thử nghiệm trong phòng thử nghiệm ngoại trừ khả năng bắt lửa và rò rỉ vào bên trong trước khi thử nghiệm tính năng thực tế.
Thiết bị hoàn chỉnh phải trải qua các thử nghiệm tính năng thực tế trong điều kiện thực tế. Các thử nghiệm tổng quát này phục vụ mục đích kiểm tra những hư hỏng của thiết bị không thể xác định được bằng thử nghiệm được đưa ra ở các phần khác trong tiêu chuẩn này.
Nếu thử nghiệm tính năng thực tế cho thấy thiết bị chưa đạt được các yêu cầu kỹ thuật khi sử dụng, tổ chức thử nghiệm phải cung cấp đầy đủ thông tin về những mục thử nghiệm tính năng thực tế phát hiện ra những lỗi này. Điều này sẽ cho phép các tổ chức thử nghiệm khác tiến hành các thử nghiệm chuyên sâu và đánh giá kết quả trên các thử nghiệm đó.
Thực hiện thử nghiệm theo 8.18.
Trước khi thực hiện các thử nghiệm liên quan đến đối tượng là con người, phải lưu ý các quy định về tiền sử bệnh, khám chữa bệnh hoặc giám sát các đối tượng thử nghiệm.
Tất cả các mẫu thử phải đáp ứng yêu cầu.
Nếu không quy định thiết bị và phương pháp đo đặc biệt thì áp dụng các phương pháp và thiết bị thông thường. Đối với các thử nghiệm liên quan đến thiết bị áp lực dương, phải thực hiện mọi thử nghiệm trên thiết bị hoàn chỉnh có mặt trùm, là yêu cầu bắt buộc với người tham gia thử nghiệm.
Hai mặt trùm phải được tiến hành phơi sáng trong các thử nghiệm liên tiếp:
a) Trong 72 h ở môi trường khô (70 ± 3)°C;
b) Trong 72 h ở môi trường (70 ± 3)°C có độ ẩm tương đối (95 - 100)%;
c) Trong 24 h ở nhiệt độ (-30 ± 3)°C.
Điều kiện thử nghiệm phải thực hiện bằng phương pháp đảm bảo không xảy ra hiện tượng sốc nhiệt.
Tất cả các mẫu phải được kiểm tra bằng mắt thường như quy định ở các điều khác trong tiêu chuẩn này. Việc kiểm tra bằng mắt thường phải được thực hiện trước hoặc trong quá trình thử nghiệm tính năng thực tế hoặc trong phòng thử nghiệm.
Phải tiến hành thử nghiệm trên hai mẫu: ở cả hai trạng thái.
Phải đo các đầu nối ren ở nhiệt độ phòng.
Đối với mặt trùm loại 3, phải hoàn thành đo thử nghiệm trong 30 s sau khi tháo.
8.5.1.1 Nguyên tắc
Phải thử nghiệm trên ba mẫu: một mẫu ở trạng thái như khi nhận và hai mẫu được điều hòa theo 8.2 nhưng sau đó tiến hành ở nhiệt độ môi trường.
Phải gắn mặt trùm lên đầu giả bằng kim loại, di chuyển qua ngọn lửa được chỉ định và quan sát tác động của ngọn lửa lên mặt trùm.
8.5.1.2 Thiết bị
Đầu giả kim loại được lắp trên giá đỡ,có thể xoay được bằng động cơ để mô tả quỹ đạo ngang (xem Hình 1).
Thiết bị cấp khí gas bao gồm một bình chứa khí propan có van điều chỉnh lưu lượng, đồng hồ đo áp suất và van chống cháy ngược.
Đầu đốt gas, có thể điều chỉnh độ cao. Đầu đốt là đầu đốt TEKLU hoặc kiểu đầu đốt được quy định trong ISO 6941: 1984/AMD 1: 1992.
Đầu dò cặp nhiệt điện cách điện, đường kính 1,5 mm.
8.5.1.3 Quy trình
Phải đeo mặt trùm vào đầu giả và đảm bảo tốc độ tuyến tính, đo tại vị trí ngọn lửa, có thể đạt được (60 ± 5) mm/s.
Đầu giả đeo mặt trùm phải được xoay ở bên trên đầu đốt Vị trí của đầu đốt phải được điều chỉnh cho đến khi khoảng cách giữa đỉnh đầu đốt và điểm thấp nhất của mặt trùm đi qua ngọn lửa là (20 ± 2) mm.
Đầu và mặt trùm phải được xoay ra xa đầu đốt
Phải đốt cháy khí gas ở đầu đốt. Đảm bảo lỗ thông hơi của đầu đốt được đóng kín hoàn toàn và điều chỉnh van điều chỉnh lưu lượng để đạt chiều cao ngọn lửa là (40 ± 4) mm tính từ đỉnh đầu đốt. Các thiết lập này sẽ cho nhiệt độ ngọn lửa đạt nhiệt độ là (800 ± 50)°C tại điểm (20 ± 2) mm trên đỉnh đầu đốt. Phải kiểm tra nhiệt độ này bằng đầu dò cặp nhiệt điện.
Mặt trùm đeo trên đầu giả phải đi qua ngọn lửa một làn ở tốc độ (60 ± 5) mm/s. Phải lặp lại thử nghiệm để có thể đánh giá tất cả các vật liệu trên bề mặt của mặt trùm. Bất kỳ thành phần/vật liệu nào sẽ chỉ được đi qua ngọn lửa một lần.
Phải tiến hành kiểm tra mặt trùm hoặc các bộ phận của mặt trùm sau khi đi qua ngọn lửa và phải ghi nhận dữ liệu thử nghiệm cho dù có tiếp tục đốt trong hơn 5 s hay không.
8.5.2 Mặt trùm loại 2 và loại 3
8.5.2.1 Nguyên tắc
Phải thử nghiệm trên ba mẫu: một mẫu ở trạng thái như khi tiếp nhận và hai mẫu ở được điều hòa theo 8.2 nhưng sau đó tiến hành ở nhiệt độ môi trường.
Phải kiểm tra tính dễ cháy của mặt trùm trong một thời gian ngắn với thiết bị thử nghiệm như trong Hình 2 và Hình 3.

Hình 1 - Sơ đồ thử nghiệm tính bắt cháy của mặt trùm loại 1

Hình 2 - Sơ đồ bố trí đầu đốt khí propan

Hình 3 - Sơ đồ thử nghiệm tính bắt cháy của mặt trùm loại 2 và loại 3
8.5.2.2 Thiết bị
Thiết bị thử nghiệm chủ yếu gồm bình chứa khí propan có thiết bị điều khiển và áp kế chính xác, van chống cháy ngược, sáu đầu đốt khí propan có thể điều chỉnh độ cao và đầu giả kim loại có thể xoay dọc và ngang.
Thiết bị thử nghiệm phải được điều chỉnh như sau:
Khoảng cách giữa mặt trùm và đầu đốt phải là 250 mm.
Van điều chỉnh khí propan trên mỗi đầu trong sáu đầu đốt này phải được mở hoàn toàn. Ban đầu, van điều chỉnh khí trên mỗi đầu phải được đóng lại. Van cấp khí từ bình khí propan phải được điều chỉnh theo áp suất sao cho lưu lượng kế trên ống cấp khí propan chính hiển thị tổng lưu lượng của tất cả sáu đầu đốt khí propan là (21 ± 0,5) L/min.
Sử dụng đầu dò cặp nhiệt điện cách điện, đường kính 1,5 mm, để đo nhiệt độ ngọn lửa Nhiệt độ phải được đo tại điểm 250 mm bên trên đỉnh trên của bất kỳ đầu đốt nào ở tâm ngọn lửa. Tất cả đầu đốt phải đạt nhiệt độ ngọn lửa trong phạm vi dùng sai yêu cầu (950 ± 50)°C. Đầu đốt phải được điều chỉnh đúng vị trí (độ cao) trước khi đo bất kỳ nhiệt độ ngọn lửa nào.
Để đạt được nhiệt độ chính xác, có thể cần phải điều chỉnh van chỉnh khí trên mỗi đầu đốt ở mức tối ưu và bảo vệ toàn bộ thiết bị thử nghiệm tránh tác động của các luồng khí bên ngoài.
8.5.2.3 Quy trình
Khi tiến hành thử nghiệm, phải đeo mặt trùm vào đầu giả kim loại và các phần đầu dây tự do của dây đeo đầu phải được cố định vào đầu giả và dây đeo. Mặt trùm phải tiếp xúc với ngọn lửa trong khoảng thời gian 5 s. Khi các bộ phận như van, màng loa được bố trí trên các bộ phận khác của mặt trùm, phải lặp lại thử nghiệm với các mẫu mặt trùm khác được đặt ở vị trí thích hợp.
Để so sánh độ kín của mặt trùm trước và sau khi thử nghiệm khả năng bắt lửa, nên đeo mặt trùm trên đầu của thiết bị thử nghiệm khả năng bắt lửa.
8.6 Khả năng chịu bức xạ nhiệt
8.6.1 Nguyên tắc
Phải thử nghiệm trên năm mẫu: tất cả ở trạng thái như khi tiếp nhận.
Mặt trùm được tiếp xúc với bức xạ nhiệt từ một nguồn phát bức xạ được hiệu chuẩn.
8.6.2 Thiết bị thử nghiệm
Thiết bị thử nghiệm chủ yếu gồm đầu giả, máy tạo nhịp thở và nguồn bức xạ nhiệt. Có thể sử dụng nhiệt lượng kế để hiệu chuẩn.
Sơ đồ thử nghiệm điển hình được trình bày trong Hình 4 (cung cấp thông tin khái quát).
Nguồn bức xạ nhiệt thích hợp như được thể hiện dưới dạng sơ đồ trong Hình 4 cung cấp dòng năng lượng nhiệt là
kW/m2 ở khoảng cách xấp xỉ 175 mm được đo tại đường tâm. Có thể sử dụng các nguồn bức xạ nhiệt thích hợp khác.
Nhiệt lượng kế tham chiếu được mô tả trong ISO 6942:1993. Có thể sử dụng các nhiệt lượng kế phù hợp khác.
8.6.3 Điều kiện thử nghiệm
Dòng năng lượng:
kW/m2 tại khoảng cách xấp xỉ 175 mm.
Máy tạo nhịp thở: 20 vòng/min; 1,5 lít/nhịp thở.
8.6.4 Quy trình
Sau khi kiểm tra độ kín theo 8.13, phải lắp mặt trùm chắc chắn, không bị rò rỉ, không bị biến dạng trên đầu giả kim loại và mối nối với máy tạo nhịp thở.
Bằng cách điều chỉnh đầu giả, phải định vị mặt trùm sao cho tâm của kính che nằm ở đường tâm của nguồn bức xạ nhiệt ở khoảng cách 175 mm. Mặt trùm phải định vị thẳng đứng với dòng nhiệt.
Đeo mặt trùm vào đầu giả sau đó thay thế bằng nhiệt lượng kế. Nhiệt lượng kế phải được đặt ở khoảng cách 175 mm so với nguồn bức xạ nhiệt tại vị trí mà mặt ngoài của tròng kính trên mặt trùm nằm trên đường tâm trong quá trình tiếp xúc.
Nguồn bức xạ nhiệt phải được điều chỉnh sao cho dòng năng lượng nhiệt là
kW/m2 ở khoảng cách khoảng 175 mm. Nếu cần thiết, phải ổn định nguồn cấp điện. Giữa nhiệt lượng kế và nguồn bức xạ nhiệt phải đặt một tấm cách điện.
Sau đó, nhiệt lượng kế sẽ được thay thế bằng đầu giả có đeo mặt trùm. Tròng kính phải ở đúng vị trí của nhiệt lượng kế. Thử nghiệm sau đó sẽ được thực hiện trong các điều kiện này.
Bật máy tạo nhịp thở. Sau 3 min, lấy tấm cách điện ra (bắt đầu thời gian thử nghiệm).
Mặt trùm sẽ được thử nghiệm:
a) Trong thời gian 20 min; hoặc
b) Cho đến khi trường nhìn suy giảm rõ rệt hoặc có bắt kỳ dấu hiệu lỗi nào khác mà người quan sát được cộng thêm 01 min tiếp xúc.
8.6.5 Đánh giá độ kín
Trước và sau khi thử nghiệm, độ kín phải đáp ứng các yêu cầu theo 7.16.
Thực hiện thử nghiệm theo 8.13.
Chú thích: Để so sánh độ kín của mặt trùm trước và sau khi thử nghiệm bức xạ nhiệt nên đeo mặt trùm trên đầu của thiết bị thử nghiệm bức xạ nhiệt
Các mẫu cần phải được vệ sinh và khử trùng theo thông tin mô tả do nhà sản xuất cung cấp vì các mẫu này được sử dụng cho các thử nghiệm rò rỉ vào bên trong.
Việc tuân thủ sẽ được đánh giá trong suốt quá trình thử nghiệm được mô tả theo 8.16 và 8.18.

Hình 4 - Sơ đồ thử nghiệm khả năng chịu bức xạ nhiệt
8.8.1 Phải thử nghiệm trên ba mẫu: tất cả ở trạng thái như khi tiếp nhận. Lực sẽ được tác động vào đầu tự do của dây đeo.
8.8.2 Phải thử nghiệm trên ba mẫu: tất cả ở trạng thái như khi tiếp nhận. Phải đo độ biến dạng tuyến tính vĩnh viễn 4 h sau khi thử nghiệm sức kéo.
Phải thử nghiệm trên ba mẫu: tất cả ở trạng thái như khi tiếp nhận.
Phải đeo mặt trùm trên đầu giả có thể điều chỉnh được sao cho có thể tác động lực dọc trục vào mối nối. Bên cạnh đó, một hệ thống dây hoặc đai giữ phải được lắp trên mặt trùm bao quanh mối nối, để tác động lực trực tiếp nhất có thể vào bộ phận nối trên mặt trùm và không tác động toàn bộ lực nén vào dây đeo đầu (xem Hình 5). Thời gian thử nghiệm là 10 s.

Hình 5 - Sơ đồ thử nghiệm khớp nối
CHÚ DẪN:
a) Lực kéo
8.10.1 Phải thử nghiệm trên ba mẫu: tất cả ở trạng thái như khi tiếp nhận.
Chỉ có thay đổi áp suất đột ngột mới được xem là yếu tố quan trọng.
8.10.2 Phải thử nghiệm trên ba mẫu: tất cả ở trạng thái như khi tiếp nhận
8.10.3 Phải thử nghiệm trên ba mẫu: tất cả ở trạng thái như khi tiếp nhận.
Phải thử nghiệm trên năm mẫu: tất cả ở trạng thái như khi tiếp nhận
Độ bền cơ học được thử nghiệm thông qua mặt trùm lắp ráp hoàn chỉnh gắn trên đầu giả sao cho quả bóng thép [đường kính 22 mm, 43,8 g (xấp xỉ)] rơi bình thường từ độ cao 1,30 m xuống tâm kính mắt hoặc kính che.
Độ kín phải được thử nghiệm theo 8.13 trước và sau khi thử nghiệm độ bền cơ học.
8.12 Van thở vào và van thở ra
8.12.1 Phải thử nghiệm trên ba mẫu: tất cả ở trạng thái như khi tiếp nhận.
Áp suất âm phải được duy trì ở mức 80 mbar bằng cách hút hết khí (nếu cần).
8.12.2 Phải thử nghiệm trên ba mẫu: tất cả ở trạng thái như khi tiếp nhận.
Tất cả các mẫu đều được thử nghiệm độ kín như được quy định ở các phần khác trong tiêu chuẩn này.
Thử nghiệm phải được thực hiện bằng cách sử dụng đầu giả và áp suất -10 mbar được tạo ra trong khoang mặt trùm. Khi tiến hành thử nghiệm này, đường thở vào phải được bịt kín và đĩa van thở ra phải được làm ẩm.
Áp suất phải được đo bằng các phương pháp thử nghiệm thông thường bằng thang đo, được chia theo độ đo tối đa 0,1 mbar.
8.14 Hàm lượng Cacbon dioxit (CO2) trong khí thở vào
Một mẫu ở trạng thái như khi tiếp nhận sẽ được thử nghiệm trong ba thử nghiệm riêng biệt.
Mức độ CO2 đo được đưa ra đánh giá về “khoảng chết” của mặt trùm hơn là giá trị đo về mức độ CO2 trong khí thở vào.
Sẽ không sử dụng “quạt phụ” trong thử nghiệm (nghĩa là sẽ không có luồng khí 0,5 m/s hướng về mặt trùm).
Thiết bị này chủ yếu gồm một máy tạo nhịp thở với các van điện từ được điều khiển bằng máy tạo nhịp thở, đầu nối, lưu lượng kế CO2 và máy phân tích CO2.
Thiết bị này khiến cho mặt trùm phụ thuộc vào chu kỳ hô hấp bằng máy tạo nhịp thở.
Mặt trùm phải được lắp vào đầu giả Sheffield một cách chắc chắn nhưng không bị biến dạng và không bị rò rỉ. Nếu cần, có thể bịt kín mặt trùm với đầu giả (xem Hình 6), ví dụ, bằng băng dán PVC hoặc chất bịt kín phù hợp khác.
Không được sử dụng “miếng lót để đo trở lực đường thở” trong Hình 6 khi đo hàm lượng CO2.
Như mô tả trong Hình 7, các ống đồng tâm sẽ kết thúc ở vị trí ngang với “môi” của đầu giả và ống mẫu phải bằng với đầu của các ống đồng tâm.
Khí sẽ được cung cấp từ máy tạo nhịp thở được điều chỉnh thành 25 nhịp thở/min và 2,0 lit/nhịp thở, và khí thở sẽ chứa hàm lượng CO2 là 5% theo thể tích.
Sơ đồ thử nghiệm điển hình được mô tả theo Hình 7.
Để ngăn ngừa sự tích tụ CO2 do thiết kế của thiết bị thử nghiệm, phải sử dụng chất hấp thụ CO2 trong nhánh thở vào giữa van điện từ và máy tạo nhịp thở. CO2 sẽ được đưa vào máy tạo nhịp thở thông qua lưu lượng kế, túi bù khí và van một chiều.
Ngay trước van điện từ, một lượng nhỏ khí thở sẽ được hút liên tục qua đường lấy mẫu và sau đó được đưa vào khí thở ra qua máy phân tích CO2. Các mẫu cũng phải được lấy từ ống trung tâm khi sử dụng thiết bị xi lanh kép để thử nghiệm.
Để đo hàm lượng CO2 trong khí thở vào, 5% thể tích xi lanh ở giai đoạn thở vào của máy tạo nhịp thở phải được hút ra tại vị trí được đánh dấu bằng phổi phụ và đưa vào máy phân tích CO2. Tổng không gian chết của đường dẫn khí (không bao gồm máy tạo nhịp thở) của thiết bị thử nghiệm không được vượt quá 2000 ml.
Hàm lượng CO2 trong khí thở vào phải được đo và ghi nhận liên tục.
Thử nghiệm phải được thực hiện cho đến khi đạt được hàm lượng CO2 không đổi trong khí thở vào.
Mức CO2 trong môi trường xung quanh phải được đo ở 1 m phía trước và ngang bằng với đỉnh mũi của đầu giả. Mức CO2 trong môi trường xung quanh phải được đo ngay khi đạt được mức ổn định của CO2 trong khí thở vào.
Ngoài ra, có thể đo mức CO2 trong môi trường xung quanh tại ống lấy mẫu khi nguồn cấp CO2 bị tắt.
Các kết quả chỉ được chấp nhận nếu giá trị đo được của mức CO2 trong môi trường xung quanh nhỏ hơn 0,1% theo thể tích.
Mức CO2 trong môi trường xung quanh ở phòng thử nghiệm sẽ được trừ vào giá trị đo được.
Mẫu phải được thực hiện qua ba thử nghiệm riêng biệt. Mức trung bình của các thử nghiệm này phải được ghi lại là hàm lượng CO2 trong khí thở vào.
Mặt trùm không có van thở vào phải được thử nghiệm cùng với thiết bị hoàn chỉnh ngoại trừ các mặt trùm được thiết kế để sử dụng với thiết bị thở mạch kín. Điều này cho phép thử nghiệm mặt trùm có hoặc không có van thở vào/hoặc van thở ra. Trong trường hợp được cho là cần thiết theo thiết kế của nhà sản xuất, nhà sản xuất chỉ có quyền quy định thử nghiệm thiết bị hoàn chỉnh.

Hình 6 - Đầu giả Sheffield để thử nghiệm hàm lượng Cacbon dioxit trong khí thở vào (không gian chết) và trở lực hô hấp của mặt trùm.

Hình 7 - Sơ đồ hệ thống thử nghiệm hàm lượng Cacbon dioxit trong khí thở vào

8.15.1 Yêu cầu chung
Phải thử nghiệm trên ba mẫu: tất cả ở trạng thái như khi tiếp nhận.
Trở lực hô hấp sẽ được đo với mặt trùm được lắp chắc chắn không bị rò rỉ nhưng không bị biến dạng trên đầu giả Sheffield, và các phép đo được thực hiện liên tiếp theo 5 hướng xác định. Những hướng này gồm: mặt trùm nhìn về phía trước, theo chiều dọc hướng lên trên, theo chiều dọc hướng xuống dưới, và sau đó là trục dọc thông thường của đầu nằm ngang, mặt trùm nhìn sang phải và sang trái. Khi đo trở lực hô hấp, phải sử dụng miếng lót được hiển thị là “X” trong Hình 6. Tốc độ dòng tại vị trí đo trở lực hô hấp phải được điều chỉnh chính xác tuyệt đối ở 23°C và 1 bar.
8.15.2 Mặt trùm có mối nối khác với EN 148-3
Trở lực hô hấp phải được xác định bằng cách sử dụng máy tạo nhịp thở được điều chỉnh theo 25 nhịp thở/min và 2,0 lit/nhịp thở hoặc dòng liên tục 160 L/min.
Sức cản đường thở cũng phải được đo ở lưu lượng liên tục 30 và 95 L/min.
8.15.3 Mặt trùm có mối nối ren theo EN 148-3
Trở lực hô hấp phải được xác định bằng cách sử dụng máy tạo nhịp thở được điều chỉnh theo 25 nhịp thở/min và 2,0 l/nhịp thở hoặc 40 nhịp thở/min và 2,5 lit/nhịp thở.
Trở lực hô hấp cũng phải được đo ở lưu lượng liên tục 10 L/min.
8.16.1 Tổng quan về phương pháp thử
Kiểm tra trong phòng thử nghiệm sẽ chỉ ra mặt trùm có thể được người sử dụng dùng để bảo vệ, chống các nguy cơ tiềm ẩn với khả năng đạt là cao.
Các phương pháp dùng muối natri clorua và lưu huỳnh hexafluorit là các giải pháp ngang nhau có thể chấp nhận được.
Hai mẫu sẽ được thử nghiệm: Một mẫu như khi tiếp nhận và một mẫu được điều hòa phù hợp với 8.2 nhưng sau khi đã được đưa về nhiệt độ môi trường.
8.16.1.1 Rò rỉ bên trong
Trước khi kiểm tra, cần lựa chọn mặt trùm còn sử dụng tốt và có thể sử dụng không gây độc hại.
Đối với việc thử nghiệm, sẽ chọn người sử dụng thành thạo thiết bị này hoặc các thiết bị tương tự.
Những người tham gia thử nghiệm (cạo sạch râu) có các đặc điểm khuôn mặt điển hình của người sử dụng (không tính đến các đặc điểm bất thường đáng kể). Ngoài ra những người không đáp ứng được yêu cầu trên sẽ không tham gia vào thử nghiệm.
Trong báo cáo kiểm tra, khuôn mặt của mười người sẽ được mô tả (chỉ để lấy thông tin) theo bốn kích cỡ khuôn mặt (bằng mm) được minh họa theo Hình 8.
Nếu có nhiều hơn một cỡ mặt trùm sản xuất sai chủng loại, những người tham gia cuộc kiểm tra sẽ lựa chọn kích thước phù hợp nhất phù hợp với thông tin của nhà sản xuất.
8.16.1.2 Thiết bị thử nghiệm
a) Khí thử nghiệm
Khí thử nghiệm được đưa vào phần trên cùng của buồng/khoang ngăn thông qua một thiết bị phân phối lưu lượng và sẽ được hướng xuống dưới đầu thử nghiệm, kiểm tra với tốc độ là (0,1 - 0,2) m/s. Nồng độ của chất dùng để làm thử nghiệm bên trong thể tích làm việc hiệu quả sẽ được kiểm tra cho đồng nhất. Tốc độ lưu lượng sẽ được đo gần phần đầu.
Thiết kế của buồng/khoang phải đảm bảo để người tham gia thử nghiệm mang mặt trùm có thể được cung cấp không khí có thể thở được (khí thử nghiệm).
b) Máy chạy bộ
Một máy chạy bộ 1 mức có thể làm việc với tốc độ 6 km/h.
c) Thiết bị mô phỏng bộ lọc
Nếu một mặt trùm được sử dụng bằng việc sử dụng một ren vít phù hợp với EN 148-1, một dụng cụ (xem Hình 9) được yêu cầu để mô hình hóa độ bền cho phép của phần lọc đối với loại mặt trùm đó. Thiết bị mô phỏng này sẽ được nối với một ống mềm khối lượng siêu nhẹ cung cấp không khí sạch.
Nếu mặt trùm sử dụng phần nối đặc biệt, phân cấp không khí sạch sẽ được gắn với bộ lọc với khối lượng lớn nhất hoặc trợ lực hô hấp được thiết kế để sử dụng với phần mặt như nhà sản xuất đã ghi rõ trong thông tin do họ cung cấp. Tuy nhiên phần kèm theo của ống mềm cấp không khí sạch phải không ảnh hưởng đến sự vừa vặn của mặt trùm trên người tham gia thử nghiệm và cũng không được thay thế bất kỳ mối hàn kín nào trên mặt trùm, ống mềm sẽ được đỡ nếu cần.

Hình 8 - Kích thước khuôn mặt

Hình 9 - Bộ phận thiết bị lọc mô phỏng dành cho mặt trùm/ thiết bị lọc sử dụng một ren vít theo EN 148-1
* Xem thêm EN 148-1
Dữ liệu của thiết bị lọc mô phỏng.
Khối lượng: 500 g phân phối đều dọc theo chiều dài.
Áp suất chênh lệch: 10 mbar tại lưu lượng liên tục 95 L/min. Kích thước “7,6" có thể điều chỉnh (nếu cần thiết), có thể đạt được chính xác áp suất chênh lệch tại tỷ lệ lưu lượng xác định.
Tổng chiều dài: 96 mm.
8.16.1.3 Quy trình thử nghiệm
Người tham gia thử nghiệm sẽ được yêu cầu đọc các thông tin lắp đặt của nhà sản xuất và nếu cần giám sát viên thử nghiệm chỉ ra cách mang phù hợp với độ kín khít.
Sau khi mang mặt trùm, mỗi người tham gia thử nghiệm sẽ được hỏi mặt trùm có vừa không? Nếu câu trả lời là “Có”, thử nghiệm sẽ được tiếp tục. Nếu câu trả lời là“ Không”, người tham gia thử nghiệm sẽ bỏ mặt trùm ra và báo cáo tình trạng thực tế.
Những người tham gia thử nghiệm nếu cần điều chỉnh mặt trùm sẽ thông báo cho người giám sát về sự thay đổi đó. Tuy nhiên, nếu điều này được thực hiện, bộ phận có liên quan của thử nghiệm sẽ được nhắc lại là đã cho phép hệ thống được ổn định lại.
Những người tham gia thử nghiệm sẽ không đưa ra thông báo về kết quả khi thử nghiệm đang được tiến hành.
Trình tự của thử nghiệm như sau:
1) Đảm bảo là khí thử nghiệm ở vị trí TẮT.
2) Người tham gia thử nghiệm vào trong phòng thử nghiệm. Đầu dò của mẫu mặt trùm sẽ được nối. Người tham gia thử nghiệm khi đó sẽ đi bộ với tốc độ 6 km/h trong 02 min. Nồng độ chất thử nghiệm bên trong mặt trùm sẽ được đo để lập ra mức nền cơ sở.
3) Giá trị ổn định sẽ được thu nhận.
4) Khí thử nghiệm ở vị trí BẬT.
5) Người tham gia phải tiếp tục đi bộ thêm 2 min cho đến khi không khí thử nghiệm đã ổn định.
6) Trong khi vẫn tiếp tục đi bộ các đối tượng phải thực hiện các bài tập như sau:
a) Đi bộ giữ đầu không di chuyển hay không nói chuyện trong 2 min.
b) Xoay đầu từ bên này sang bên kia (15 lần), giống như kiểm tra bức tường của đường hầm trong 2 min.
c) Di chuyển đầu lên và xuống (15 lần), giống như kiểm tra mái nhà và mặt sàn trong 2 min.
d) Đọc bảng chữ cái hoặc một văn bản thành tiếng, giống như đang trao đổi với một đồng nghiệp trong 2 min.
e) Đi bộ mà không cần di chuyển phần đầu hay không nói chuyện trong 2 min.
7) Các chỉ số sau sẽ được ghi lại:
a) Nồng độ của khoang
b) Lượng khí thoát ra ngoài qua mỗi khoảng thời gian thực hành bài tập
8) Khi khí kiểm tra đã được tắt đi và khi tác nhân thử nghiệm đã được làm sạch khỏi buồng, người tham gia thử nghiệm sẽ tháo mặt trùm.
Sau mỗi lần thử nghiệm, mặt trùm sẽ được làm sạch, khử trùng và phơi khô trước khi được sử dụng cho lần thử nghiệm rò rỉ từ bên trong.
8.16.1.4 Thiết bị phải kiểm tra
Quy trình nói trên được áp dụng cho tất cả mặt trùm được sử dụng với các thiết bị lọc. Quy trình này cũng áp dụng đối với tất cả mặt trùm với phần đầu nối đáp ứng EN 148-1 để sử dụng với thiết bị thở. Đối với tất cả mặt trùm có đầu nối không đáp ứng EN 148-1, thiết bị hoàn chỉnh sẽ được xác định và sử dụng để kiểm tra.
8.16.2 Phương pháp Sunfua hexaflorua (SF6)
8.16.2.1 Nguyên tắc
Người tham gia mang thiết bị trong khi kiểm tra sẽ đi bộ trên một máy chạy bộ trong khoang thử. Qua khoang này, một dòng khí có nồng độ lưu huỳnh hexafluorit (SF6) không đổi sẽ được thổi vào. Không khí bên trong mặt trùm sẽ được lấy mẫu và phân tích. Mẫu sẽ được lấy bằng cách đục một lỗ trong phần bên của mạt trùm và chèn một đầu dò qua đó để lấy mẫu ra.
8.16.2.2 Thiết bị thử nghiệm
Một mô hình thử nghiệm điển hình như trong Hình 10.
a) Chất thử
Phương pháp này sử dụng SF6 làm khí để thử nghiệm. Người tham gia thử nghiệm mang mặt trùm đứng với phần đầu bao quanh trong môi trường thử nghiệm có khí SF6. Độ chính xác về rò rỉ sẽ có thể trong phạm vi từ 0,01 % đến khoảng 20 % phụ thuộc vào sự thay đổi của khí thử nghiệm.
CHÚ THÍCH: Khuyến cáo sử dụng khí thử nghiệm trong khoảng 0,1 % và 1 % theo thể tích.
b) Phát hiện
Khí thử nghiệm khí SF6 sẽ được phân tích tốt nhất bằng một thiết bị phân tích phù hợp ví dụ, dựa trên tính dẫn nhiệt hoặc quang phổ hồng ngoại.
Đầu dò mẫu môi trường thử nghiệm sẽ không được đặt gần van xả. Nồng độ SF6 bên trong mặt trùm sẽ được phân tích và ghi lại bằng một máy dò bắt electron (ECD) hay hệ thống hồng ngoại. Nồng độ này, được đo càng gần càng tốt miệng của người tham gia thử nghiệm (khoảng 5 mm, từ tâm của mặt trùm), là phương pháp đo rò rỉ từ bên trong.
Thử nghiệm sẽ được thực hiện ở độ ẩm và nhiệt độ môi trường xung quanh.

Hình 10 - Sơ đồ bố trí hệ thống kiểm tra rò rỉ khí bên trong dùng lưu huỳnh hexafluorit
8.16.2.3 Lấy mẫu
Mặt trùm được dùng cho thử nghiệm, sẽ được đục lỗ ở phần kính che và chụp mũi (nếu phù hợp). Đưa một ống mảnh, càng mảnh càng tốt, dẫn vào phía bên trong mặt trùm sẽ được nối kín tới thiết bị phân tích. Tốc độ lấy mẫu sẽ không đổi và trong khoảng từ 0,3 L/min và 1,5 L/min.
CHÚ THÍCH: Khuyến nghị sử dụng một đầu dò mẫu có nhiều lỗ. Hình 11 chỉ ra một thiết kế đã được thấy là phù hợp.

Hình 11 - Mẫu đầu dò phù hợp
8.16.2.4 Tính toán độ rò rỉ
Độ rò rỉ P sẽ được tính toán từ việc cử động trong 100 s của mỗi giai đoạn thực hành để tránh sai kết quả từ hoạt động thực hành. Độ rò rỉ P được tính theo công thức sau:

Trong đó:
C1: Nồng độ thử;
C2: Nồng độ đo trung bình.
Chú thích: Giá trị đo C2 thu được bằng cách dùng một thiết bị ghi thống nhất. Nồng độ mẫu thu được bên trong mặt trùm phải bằng với nồng độ đo được trừ đi giá trị nền.
8.16.3 Phương pháp muối Clo (NaCl)
8.16.3.1 Nguyên tắc
Người tham gia mang thiết bị trong khi thử nghiệm sẽ đi bộ trên một máy chạy bộ trong một khoang khép kín. Bình phun sẽ bơm một lượng NaCl nồng độ không đổi vào khoang khép kín này. Không khí bên trong mặt trùm được lấy mẫu và phân tích trong giai đoạn thở vào của chu trình hô hấp để xác định nồng độ NaCl. Mẫu sẽ được lấy bằng cách đục một lỗ trong phần bên của mặt trùm và chèn một đầu dò qua đó để lấy mẫu ra. Áp suất khác nhau bên trong mặt trùm được sử dụng để dẫn động một van chuyển hướng để chỉ lấy mẫu không khí đã thở vào. Một đầu dò thứ hai được chèn vào bên trong mặt trùm cho mục đích này.
8.16.3.2 Thiết bị thử nghiệm
Hệ thống thử nghiệm được thể hiện trong Hình 12.
8.16.3.2.1 Bộ sinh son khí
Son khí NaCl được tạo ra từ dung dịch 2 % của tác nhân NaCl trong nước cất. Một bình phun mù (xem Hình 13) sẽ được sử dụng. Vòi phun của bình phun mù không được chúc xuống phần ngắt trong bình.
Yêu cầu tốc độ lưu lượng không khí là 100 L/min với áp suất 7 bar. Bình phun mù và phần vỏ sẽ được lắp vào một ống dẫn được duy trì lưu lượng khí không đổi. Trường hợp cần thiết sẽ làm nóng hoặc hút ẩm không khí để nhận được các phân tử khí khô hoàn toàn.
8.16.3.2.2 Hóa chất thử nghiệm
Nồng độ NaCl trung bình trong khoang kín sẽ là (8 ±4) mg/m3 và thay đổi thông qua khối lượng hoạt động hiệu quả sẽ không lớn hơn 10 %, sự phân bổ kích thước phân tử sẽ là 0,02 μm tới 2 μm tương đương với đường kính khí động học với đường kính trung bình khối là 0,6 μm.
8.16.3.2.3 Quang kế
Quang kế sẽ được sử dụng để đo nồng độ NaCl bên trong mặt trùm, phải đáp ứng các yêu cầu sau:
a) Một quang kế ngọn lửa được thiết kế đặc biệt cho việc phân tích trực tiếp hóa chất Nacl;
b) Thiết bị có khả năng đo nồng độ hóa chất NaCl trong khoảng giữa 15 mg/m3 và 0,5 mg/m3;
c) Tổng lượng mẫu hóa chất được yêu cầu bởi quang kế không lớn hơn 15 L/min;
d) Thời gian đáp ứng của quang kế, không bao gồm hệ thống lấy mẫu, không lớn hơn 500 ms;
e) Nếu cần làm giảm các yếu tố khác, đặc biệt là carbon, nồng độ sẽ thay đổi trong mỗi chu kỳ thở. Điều này có thể đạt được bằng cách đảm bảo rằng độ rộng của phin lọc không lớn hơn 3 mm và gắn tất cả các phin lọc phụ vào.
8.16.3.2.4 Thiết bị gom mẫu
Hệ thống được yêu cầu sẽ bật mẫu của quang kế lên chỉ trong thời gian thở vào của chu trình thở. Pha thở không khí sạch vào sẽ được cấp cho quang kế này. Các yếu tố cơ bản của một hệ thống bao gồm:
a) Một van vận hành bằng điện có thời gian đáp ứng cỡ 100 ms. Van sẽ có khoảng chết tối thiểu có thể thích ứng với dòng đi thẳng, không giới hạn khi mở;
b) Một cảm biến có khả năng dò tìm sự thay đổi áp suất tối thiểu khoảng 0,05 mbar và có thể nối với một đầu dò được chèn trong một khoang trống của mặt trùm. Cảm biến sẽ có một ngưỡng có thể điều khiển được và có thể phát tín hiệu khác nhau khi ngưỡng được cắt chéo theo một hướng khác, cảm biến hoạt động tin cậy khi người tham gia thử nghiệm tạo ra các cử động phần đầu nhiều hơn;
c) Một hệ thống phân cách kích hoạt van để đáp ứng tín hiệu từ cảm biến áp suất;
d) Một thiết bị thời gian ghi tỷ lệ của tổng chu trình hô hấp trong khi việc lấy mẫu diễn ra.
(Hình 12) mô phỏng một hệ thống mẫu như vậy.
8.16.3.2.5 Ống và đầu dò lấy mẫu
Các ống mẫu là ống nhựa với đường kính định danh bên trong 4 mm thông qua đó không khí được dẫn ra.
Đầu dò sẽ vừa và kín khi càng gần đường trung tâm của mặt trùm càng tốt và mở rộng qua phần bên trong của mặt trùm. Một đầu dò đã được thấy là phù hợp như trong Hình 11. Đầu dò được điều chỉnh để vừa chạm vào môi của người mang.
8.16.3.2.6 Bơm mẫu
Nếu không có bơm hợp thành trong quang kế, một bơm có thể điều chỉnh lưu lượng được sử dụng để rút không khí mẫu, một vài dạng bơm hút đẩy đã được chứng minh là phù hợp. Bơm sẽ hoạt động sao cho lượng khí thất thoát là tối thiểu trong bơm và các thay đổi tốc độ luồng khí gây ra bởi áp suất thay đổi trong khu vực lấy mẫu cũng là nhỏ nhất.
Bơm cũng được điều chỉnh để rút một lưu lượng không đổi 1 L/min từ đầu dò mẫu. Với một số loại quang kế, có thể cần thiết phải pha loãng mẫu bằng không khí sạch.


Hình 12 - Sơ đồ sắp xếp hệ thống để kiểm tra rò rỉ khí vào bên trong sử dụng NaCl


Hình 13 - Cách bố trí máy phun
8.16.3.2.7 Lấy mẫu nồng độ khoang
Nồng độ khí của khoang được điều chỉnh trong quá trình thử nghiệm bằng cách sử dụng một hệ thống lấy mẫu riêng biệt, để tránh ô nhiễm đường lấy mẫu mặt trùm. Để đạt được hiệu quả tốt hơn thì nên dùng quang kế ngọn lửa cho mục đích này.
Nếu không có một quang kế thứ hai, việc lấy mẫu nồng độ của khoang có thể sử dụng hệ thống lấy mẫu riêng với cùng một quang kế. Tuy nhiên, cần phải chờ đến khi quang kế trở về trạng thái sạch.
8.16.3.2.8 Đầu dò tìm áp suất
Một đầu dò thứ hai được lắp gần đầu dò lấy mẫu được mở rộng vào bên trong mặt trùm và được nối với cảm biến áp suất.
8.16.3.3 Tính toán sự rò rỉ
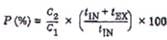
Độ rò rỉ P phải được tính từ các phép đo được thực hiện trong 100 s ở cuối mỗi thử nghiệm để tránh lấy nhầm kết quả từ một thử nghiệm khác. Độ rò rỉ P được tính theo công thức sau:

Trong đó:
C1 Nồng độ thử;
C2 Nồng độ đo trung bình;
tIN Tổng lưu lượng của khí thở vào; tính bằng L/min;
tEX tổng lưu lượng của khí thở ra; tính bằng L/min.
Giá trị đo của C2 được đo bằng cách dùng một thiết bị ghi thống nhất. Nồng độ mẫu được lấy bên trong mặt trùm bằng nồng độ đo được trừ đi mức cơ bản.
Một mẫu được kiểm tra trong trạng thái như khi tiếp nhận.
Mặt trùm sẽ được lắp vào đậu giả (xem Hình 14) bằng cách đặt cằm vào “cốc” của mặt trùm và sau đó mặt trùm sẽ được đặt gắn vào mặt của đầu giả. Dây sẽ đeo qua đầu giả và điều chỉnh tối đa trường nhìn. Dây đeo trên đầu sẽ được làm chặt theo cách để duy trì sự đối xứng của mặt trùm trên đầu giả với phấn rôm để giảm thiểu ma sát giữa đầu giả và dây. Các dây sẽ được làm chặt tới mức căng 50 N.
Đo trên cả trường nhìn tổng và trường nhìn chồng lấp sẽ được thực hiện cho ba lần lắp mặt trùm trên đầu giả.
Một biểu đồ (xem Hình 15) sẽ được sử dụng để đánh giá.
Để thu được kết quả, có thể sử dụng hoặc phương pháp đo diện tích hoặc phương pháp cân.
Điểm trung bình của 3 kết quả sẽ được báo cáo như trường nhìn tổng và trường nhìn chồng lấp.
Chủ thích: Vành của thiết bị đo trường nhìn phải thẳng hàng chính xác với vị trí của điểm ảnh của các bóng điện trong đầu mô hình. Hai kích thước chính đã được đánh dấu trong Hình 14 với (*).
(*) Sự dịch chuyển trường nhìn tự nhiên với trường nhìn chồng lấp tự nhiên.


Hình 14 - Biểu đồ Apertometer
(a) Sự dịch chuyển trường nhìn tự nhiên với trường nhìn chồng lấp tự nhiên

Hình 15 - Biểu đồ apertometer
... trường nhìn tự nhiên với khoảng nhìn chồng lấp tự nhiên
Các vùng được bao quanh bởi các đường tròn của biểu đồ tỷ lệ với các vùng tương đương được đánh dấu trên vỏ hình cầu của khẩu độ kế.
Bề mặt bán cầu thể hiện phần bên trong của vòng tròn 90 độ = 126,9 cm2.
Trường nhìn tự nhiên bên trong của vòng tròn 90 độ (78,8 %) = 100,0 cm2.
Trường nhìn tự nhiên bên ngoài của vòng tròn 90 độ = 12,0 cm2.
Trường nhìn tự nhiên của tổng trường nhìn = 112,0 cm2 = 100 %.
Trường nhìn tự nhiên của trường nhìn bị hạn chế = 39,0 cm2
Khi thực hiện các phép đo của trường nhìn, trường nhìn liệu quả theo quan sát của khẩu độ kế sẽ được chuyển sang sơ đồ. Chỉ có trường nhìn hiệu quả trong tự nhiên tương ứng, trường nhìn chồng lấp hiệu quả mới được cân bằng và đo lại bằng cm2.
Khu vực hoạch định của trường nhìn hiệu quả (tổng)……………………… cm2.
Khu vực hoạch định của trường nhìn chồng lấp hiệu quả…………………………. cm2.
Trường nhìn hiệu quả (tổng) ……………………%.
Trường nhìn chồng lấp hiệu quả …………………………..%.
8.18.1 Tổng quát
Hai mẫu sẽ được kiểm tra: cả hai được điều hòa phù hợp với 8.2.
Tất cả các thử nghiệm sẽ được tiến hành bởi hai người tham gia thử nghiệm ở nhiệt độ môi trường xung quanh. Nhiệt độ và độ ẩm thử nghiệm sẽ được ghi lại.
Trong khi thử nghiệm một thiết bị mô phỏng bộ lọc (Hình 9) sẽ được lắp vào mặt trùm với thiết bị nối theo EN 148-1. Đối với các mặt trùm khác, một thiết bị khác, thường được sử dụng với mặt trùm sẽ được lắp đặt.
Đối với người tham gia kiểm tra được lựa chọn là người đã làm quen hay đã sử dụng thiết bị tương tự.
Trong khi kiểm tra thiết bị sẽ được đánh giá bởi người mang và nhận xét sau sẽ được ghi chép:
a) Dây đeo đầu, ví dụ: tiện dụng, an toàn, điều chỉnh ổn định và tháo dỡ;
b) An toàn của các khớp nối và quai móc;
c) Khả năng có thể kiểm soát (nếu được lắp);
d) Trường nhìn, ví dụ: độ lệch, hơi nước;
e) Truyền âm;
f) Bất kỳ nhận xét nào được người mang thiết bị báo cáo theo yêu cầu.
8.18.2 Thử nghiệm đi bộ
Người tham gia thử nghiệm mặc quần áo bình thường và mang mặt trùm sẽ đi bộ với tốc độ thông thường 6 km/h trên một sân bằng phẳng. Việc kiểm tra sẽ liên tục, không tháo thiết bị, trong một khoảng thời gian 10 min.
8.18.3 Thử nghiệm mô hình hoạt động
Trong thử nghiệm này, các hoạt động sau sẽ được tiến hành mô phỏng theo sử dụng thực tế. Thử nghiệm sẽ được hoàn thành trong 20 min.
Thứ tự của các hoạt động sẽ theo ý kiến của phòng thử nghiệm. Các hoạt động cá nhân sẽ được bố trí để thời gian hiệu quả còn lại đối với các nhận xét đã ghi:
a) Đi bộ trên mặt phẳng với chiều cao thông thủy (1,3 ± 0,2) m trong 5 min;
b) Trườn bò trong mặt phẳng với chiều cao thông thủy (0,70 ± 0,05) m trong 5 min;
c) Chất một giỏ nhỏ đá dăm (xem Hình 16, dung tích xấp xỉ = 8 L) phù hợp hoặc các vật liệu phù hợp khác từ hộp có chiều cao 1,5 m và đã mở đáy cho phép vật chứa bên trong được xúc ra và mở thêm ở phần trên nơi rổ đầy đá dăm được đưa trở lại.
Các đối tượng phải cúi xuống hay quỳ theo như yêu cầu và làm đầy giỏ với đá dăm. Người này phải nâng giỏ lên và làm sạch đá dăm bên trong giỏ. Điều này được lặp đi lặp lại 19 lần trong 10 min.

Hình 16 - Giỏ và phễu, đá dăm
9.1 Nhà sản xuất phải được xác định bởi tên, thương hiệu hoặc các cách khác để nhận biết.
9.2 Tất cả các mẫu giống nhau phải dùng một loại nhãn.
9.3 Số và năm sản xuất theo tiêu chuẩn.
9.4 Ghi nhãn các số phân lớp đi kèm theo chữ “CL" ngay sau số của tiêu chuẩn, ví dụ EN 136:1996 CL 3.
9.5 Khi hiệu suất của các thành phần có thể bị ảnh hưởng bởi quá trình bảo quản thì có nghĩa là việc xác định ngày (ít nhất là năm) sản xuất cần phải được thể hiện.
Đối với các thành phần không thể ghi nhãn các thông tin có liên quan thì phải được cung cấp trong phần thông tin được cung cấp bởi nhà sản xuất.
9.6 Các thành phần hay phụ kiện được thiết kế để thay thế bởi đơn vị được ủy quyền và đơn vị lắp ráp mà ảnh hưởng đáng kể về mặt an toàn.
Đối với các thành phần quá nhỏ để có thể đóng nhãn, thì thông tin về thành phần này phải được cung cấp trong các bảng hướng dẫn và thông tin của nhà sản xuất.
9.7 Các nhãn đóng phải rõ ràng và cũng như có độ bền cao.
10 Thông tin được cung cấp bởi nhà sản xuất
10.1 Khi vận chuyển, thông tin phải được cung cấp bởi nhà sản xuất đi cùng theo mỗi mặt nạ trùm kín mặt
10.2 Thông tin phải thể hiện bằng ngôn ngữ chính thống của quốc gia sử dụng.
10.3 Thông tin được cung cấp bởi nhà sản xuất phải nêu những người đã qua huấn luyện và đào tạo như:
- Ứng dụng / hạn chế;
- Phân lớp tiêu chuẩn của mặt nạ;
- Kiểm tra trước khi sử dụng;
- Cách đeo, làm chặt;
- Sử dụng;
- Làm sạch/khử trùng;
- Lưu kho;
- Bảo trì (Tốt nhất là tách riêng các thông tin được ghi).
10.4 Các thông tin phải chính xác và dễ hiểu. Nếu để hữu ích hơn thì các minh họa, số hiệu và đóng nhãn v.v... cần được thêm vào. Ngoài ra các nhãn phải thể hiện phần giải thích cho những hạn chế hoặc yêu cầu thêm.
10.5 Cảnh báo phải đưa ra các vấn để thường hay gặp phải, ví dụ như
- Độ kín khít của mặt nạ (kiểm tra trước khi sử dụng); . ~
- Không đảm bảo được các yêu cầu về độ kín nếu tóc hay vật gì đó nằm dưới mặt;
- Độ nguy hiểm của khí oxy và không khí giàu oxy;
- Chất lượng không khí;
- Dùng thiết bị trong môi trường dễ cháy nổ;
- Mặt nạ trùm kín mặt cấp độ 1 không được dùng với thiết bị thở cá nhân sử dụng bình khí nén;
- Nếu có những chức năng khác ngoài bảo vệ đường hô hấp, ví dụ như: bảo vệ cho màng loa không bị chọc thủng bởi tác dụng của chất gây ô nhiễm siêu urani hoạt tính đặc biệt cao, bảo vệ chống lại các hạt di chuyển tốc độ cao va vào kính, bảo vệ chống lại các loại hóa chất,
Sau đó, các yêu cầu của Tiêu Chuẩn Châu Âu phải được đáp ứng;
- Sử dụng kết hợp với bất kỳ thiết bị bảo vệ cá nhân khác.
Bảng 4: Tổng hợp các yêu cầu và các thử nghiệm
|
Tiêu đề |
Loại |
Yêu cầu |
Số lượng mẫu |
Môi trường |
Thử nghiệm |
|
Kiểm tra trực quan |
1,2,3 |
7.3 |
Tất cả |
Như yêu cầu |
8.3 |
|
Vật liệu |
2,3 |
7.4 |
Tất cả |
a.r |
8.3 |
|
Khả năng chịu nhiệt |
1,2,3 |
7.5 |
2 |
t.c |
8.2, 8.4, 8.13, 8.16 |
|
Tính bắt cháy |
1 |
7.6.1, 7.6.2 |
3 |
1 a.r, 2 t.c |
8.3, 8.5.1, 8.13 |
|
1 |
7.6.1, 7.6.2 |
3 |
1 a.r, 2 t.c |
8.3, 8.5.1, 8.13 |
|
|
Khả năng chịu bức xạ nhiệt |
3 |
7.7 |
5 |
a.r |
8.6, 8.13 |
|
Vệ sinh và khử trùng |
1,2,3 |
7.7 |
2 (trong trường hợp thử rò rỉ khí bên trong) |
|
8.7 |
|
Sự trau chuốt của các bộ phận |
1,2,3 |
7.8 |
Tất cả |
a.r |
8.3, 8.18 |
|
Các thành phần thay thế |
3 |
7.9 |
Tất cả |
a.r |
8.3 |
|
Dây đeo đầu |
1,2,3 |
7.10.1 |
2 |
t.c |
8.3, 8.18 |
|
1,2,3 |
7.10.2 |
2 |
tc |
8.3, 8.18 |
|
|
1 |
7.10.3.1 |
3 |
a.r |
8.3, 8.8.1 |
|
|
2,3 |
710.3.2 |
3 |
a.r |
8.3, 8.8.1 |
|
|
1,2,3 |
7.10.4 |
3 |
a.r |
8.3, 8.8.2 |
|
|
3 |
7.10.5 |
2 |
t.c |
8.3, 8.18 |
|
|
Mối nối |
1, 2,3 |
7.11 |
2 |
a.r |
8.3, 8.16, 8.18 |
|
1 |
7.11.1 |
2 |
a.r |
8.3 |
|
|
2,3 |
711 2 |
2 |
ar |
8.3 |
|
|
Màng loa |
1, 2,3 |
7.12.1 |
3 |
a.r |
8.3, 8.10.1 |
|
1, 2,3 |
7.12.2 |
3 |
a.r |
8.3, 8.10.2 |
|
|
3 |
7.12.3 |
3 |
a.r |
8.3, 8.6, 8.10.3 |
|
|
Bảo vệ mắt / kính |
1,2,3 |
7.13.1 |
2 |
a.r |
8.3 |
|
1,2,3 |
7.13.2 |
2 |
t.c |
848 |
|
|
1,2,3 |
7.13.3 |
2 |
t.c |
8.3, 8.18 |
|
|
1,2,3 |
7.13.4 |
5 |
a.r |
8.3, 8.11, 8.13 |
|
|
Van thở vào và van thở ra |
1,2,3 |
7.14.1 |
3 |
a.r |
8.3 |
|
1,2,3 |
7.14.2 |
3 |
a.r |
8.3 |
|
|
1,2,3 |
7.14.3 |
3 |
a.r |
8.3, 8.12, 8.15.1, 8.16 |
|
|
1 |
7.14.4.1 |
3 |
a.r |
8.3, 8.12.2, 8.13 |
|
|
2,3 |
7.14.4.2 |
3 |
a.r |
8.3 8.12.2 8.13 |
|
|
Độ rò rỉ |
1,2,3 |
7.15 |
Tất cả |
Như yêu cầu |
8.13 |
|
Hầu hết các mẫu thử được dùng nhiều hơn 1 thử nghiệm. Chữ viết tắt - “a.r" như khi tiếp nhận (được xem là “không được điều hòa theo 8.2” nhưng các thử nghiệm khác thực hiện bình thường). - “t.c” điều hòa theo 8.2 |
|||||
Bảng tổng hợp các yêu cầu và kiểm tra (tiếp theo)
|
Tiêu đề |
Loại |
Yêu cầu |
Số lượng mẫu |
Môi trường |
Thử nghiệm |
|
Khí Cacbon dioxit bên trong khí thở vào |
1, 2, 3 |
7.17 |
1 |
a.r |
8.14 |
|
Trở lực đường thở |
1, 2, 3 |
7.18.2 |
3 |
a.r |
8.15.1 |
|
2, 3 |
7.18.3 |
3 |
a.r |
8.15.1 |
|
|
2, 3 |
7.18.4 |
3 |
a.r |
8.15.2 |
|
|
Rò rỉ bên trong |
1, 2, 3 |
7.19 |
2 |
1 a.r, 1 t.c |
8.16 |
|
Trường nhìn |
1,2, 3 |
7.20 |
1 |
a.r |
8.17 |
|
Hiệu suất thực tế |
1, 2, 3 |
7.21 |
2 |
t.c |
8.18 |
|
Hầu hết các mẫu thử được dùng hơn 1 bài thử nghiệm. Chữ viết tắt - "a.r” như khi tiếp nhận (được xem là “không được điều hòa theo 8.2” nhưng các bài kiểm tra khác có thể đạt được). -“tc” điều hòa theo 8.2. |
|||||
Mô tả mặt trùm toàn bộ khuôn mặt

Thư mục tài liệu tham khảo
[1] EN 136:1998, Respiratory protective devices - Full face masks - Technical requirements and test methods, Phương tiện bảo vệ cơ quan hô hấp - Mặt nạ trùm toàn bộ khuôn mặt - Yêu cầu kỹ thuật, phương pháp kiểm tra và thử nghiệm.