ĐƯỜNG CỨU NẠN Ô TÔ - YÊU CẦU THIẾT KẾ
Highway emergency escape ramp - Specification for design
MỤC LỤC
Lời nói đầu
1 Phạm vi áp dụng
2 Tài liệu viện dẫn
3 Thuật ngữ và định nghĩa
4 Quy định chung về bố trí đường cứu nạn
5 Yêu cầu thiết kế đối với đoạn đường dẫn
6 Yêu cầu thiết kế đệm giảm tốc và làn cứu hộ
7 Hệ thống thoát nước đường cứu nạn
8 Thiết kế ụ, công trình hỗ trợ tiêu năng
9 Biển báo hiệu, vạch tín hiệu giao thông và chiếu sáng
10 Lan can phòng hộ, thiết bị ngăn cách và cọc tiêu dẫn hướng
Phụ lục A (Tham khảo) Các loại đường cứu nạn cơ bản
Phụ lục B (Tham khảo) Một số hình ảnh về thiết bị, công nghệ mới bố trí trên đường cứu nạn
Phụ lục C (Tham khảo) Bố trí đường cong chuyển tiếp ở đoạn đường dẫn vào đệm giảm tốc.
Lời nói đầu
TCVN 8810:2025 thay thế TCVN 8810:2011.
TCVN 8810:2025 do Cục Đường bộ Việt Nam biên soạn, Bộ Xây dựng đề nghị, Ủy ban Tiêu chuẩn Đo lường Chất lượng Quốc gia thẩm định, Bộ Khoa học và Công nghệ công bố.
ĐƯỜNG CỨU NẠN Ô TÔ - YÊU CẦU THIẾT KẾ
Highway emergency escape ramp - Specification for design
1.1 Tiêu chuẩn này quy định các yêu cầu về thiết kế xây dựng mới, cải tạo và nâng cấp đường cứu nạn ô tô.
1.2 Trong trường hợp đặc biệt có thể áp dụng các chỉ tiêu kỹ thuật của tiêu chuẩn khác nhưng phải qua phân tích kinh tế - kỹ thuật.
Các tài liệu viện dẫn sau rất cần thiết cho việc áp dụng tiêu chuẩn này. Đối với các tài liệu viện dẫn ghi năm công bố thì áp dụng phiên bản được nêu. Đối với các tài liệu viện dẫn không ghi năm công bố thì áp dụng phiên bản mới nhất, bao gồm cả các sửa đổi, bổ sung (nếu có).
TCVN 4054, Đường ô tô - Yêu cầu thiết kế.
TCVN 12681, Trang thiết bị an toàn giao thông đường bộ - Dải phân cách và lan can phòng hộ - Kích thước và hình dạng.
Trong tiêu chuẩn này sử dụng các thuật ngữ, định nghĩa sau:
3.1
Đường cứu nạn (Emergency escape ramp)
Đoạn đường được thiết kế và xây dựng trên các đoạn đường đèo dốc nhằm làm giảm tốc độ và đảm bảo cho những xe mất kiểm soát dừng lại khi xuống dốc. Trong trường hợp này, xe mất kiểm soát có thể rời khỏi đường chính vào đường cứu nạn để dừng lại.
3.2
Xe mất kiểm soát (Out of control vehicle)
Xe không điều khiển được do hỏng phanh, hỏng hộp số, do máy quá nóng ... khi xuống dốc.
3.3
Đoạn đường dẫn (Bed approach)
Đoạn đường nối từ đường chính vào đệm giảm tốc để người lái xe mất kiểm soát điều khiển xe tách khỏi đường chính rẽ vào đệm giảm tốc.
3.4
Đệm giảm tốc (Arrestor bed)
Đoạn đường có lớp mặt cấu tạo bằng vật liệu rời rạc (sỏi, cuội ...) để tăng sức cản lăn nhằm làm giảm dần tốc độ của xe mất kiểm soát. Đệm giảm tốc được bố trí nối tiếp sau đoạn đường dẫn và là đoạn tiêu năng chính của đường cứu nạn để đảm bảo cho xe dừng lại hẳn.
3.5
Đường chính (Main road)
Đường xe mất kiểm soát đang chạy.
3.6
Làn cứu hộ (Service road/ Wrecker lane)
Làn đường dành cho xe cứu hộ và xe bảo dưỡng đường cứu nạn. Làn cứu hộ thường bố trí nằm sát bên phải đoạn đệm giảm tốc.
3.7
Neo cứu hộ (Wrecker anchor)
Neo hỗ trợ xe cứu hộ kéo xe mất kiểm soát ra khỏi khu vực đệm giảm tốc.
3.8
Các hạng mục công trình hỗ trợ tiêu năng (Object or device that aids in the absorption of kinetic energy)
Các trang thiết bị hoặc công trình có tác dụng hấp thụ động năng còn lại của xe mất kiểm soát tại cuối đường cứu nạn để xe dừng lại.
4 Quy định chung về bố trí đường cứu nạn
4.1 Đường cứu nạn được thiết kế và xây dựng ở những nơi có đường xuống dốc dài, độ dốc lớn như trong Bảng 1. Đường cứu nạn thường được thiết kế với các hạng mục: đoạn đường dẫn, đệm giảm tốc, đường dịch vụ (làn cứu hộ), hệ thống thoát nước, các trang thiết bị phòng hộ, chiếu sáng (xem Hình 1).

Hình 1 - Sơ đồ bố trí đường cứu nạn điển hình
Bảng 1 - Các đoạn đường đèo dốc nên xây dựng đường cứu nạn
|
Chiều dài xuống dốc (km) |
15 |
10 |
7 |
5 |
4 |
3 |
|
Độ dốc trung bình (%) |
2,0 |
2,5 |
3,0 |
3,5 |
4,0 |
≥ 4,5 |
|
CHÚ THÍCH: - Có thể nội suy giữa khoảng chiều dài và độ dốc trung bình nói trên để xem xét cân nhắc việc quyết định có cần xây dựng đường cứu nạn hay không. Tuy nhiên căn cứ chính vẫn là phân tích các tình huống tai nạn giao thông thực tế trong quá trình khai thác. Có thể tham khảo công thức hồi quy giữa chiều dài xuống dốc L (km) và độ dốc trung bình i (%) với hệ số xác định R2 = 99,06 % như sau: log(L) = 1,698 - 0,2763.i - Độ dốc trung bình nhỏ hơn 2,0 % thì không cần bố trí đường cứu nạn. - Khi xuống dốc có chêm các đoạn ngắn lên dốc hoặc dốc thoải thì vẫn xem xét độ dốc trung bình của cả đoạn xuống dốc để quyết định. Độ dốc trung bình của đoạn xuống dốc được tính theo chênh lệch cao độ đỉnh dốc và chân dốc chia cho chiều dài đoạn xuống dốc. |
||||||
Phải nghiên cứu phân tích các tình huống tai nạn giao thông qua thực tế khai thác đường, nếu thấy cần thiết mới thiết kế và xây dựng đường cứu nạn, nhất là các đoạn xe hay gặp sự cố mất kiểm soát. Trong trường hợp này xe mất kiểm soát cần được cách ly khỏi đường chính vào đường cứu nạn để giảm tốc độ và dừng lại, đảm bảo an toàn cho các phương tiện trên tuyến chính, cho người điều khiển xe mất kiểm soát và cho dân cư bên đường.
4.2 Phải nghiên cứu trên bình đồ và trên thực địa những vị trí phù hợp để làm đường cứu nạn như: những đoạn dốc có mái ta luy bên phải thấp, địa hình bên phải cho phép làm đường cứu nạn; tốt nhất là những đoạn mà đường chính ngoặt trái, đường cứu nạn đi thẳng lên dốc. Khi địa hình khó khăn cũng có thể cho đường cứu nạn rẽ trái, mặc dù có các bất lợi nghiêm trọng (như nguy cơ va chạm với xe đi ngược chiều lên dốc và giải phân cách giữa nếu có). Trong trường hợp này, yêu cầu phải chọn vị trí có tầm nhìn rộng, địa hình bên trái thuận lợi cho việc tránh xe.
4.3 Đường cứu nạn thường được xây dựng ở nửa cuối dốc (nơi xe dễ mất kiểm soát và gây ra tai nạn nghiêm trọng), trước đường cong nguy hiểm (khi xe mất kiểm soát không thể vào đường cong an toàn) và trước khu vực dân cư, cách xa cầu, hầm và các công trình nhân tạo.
4.4 Nên xây dựng đường cứu nạn có độ dốc dương [xem công thức (1) và (2)] để giảm chiều dài đường cứu nạn. Tuy nhiên độ dốc bình quân của toàn đường cứu nạn tối đa không nên quá 15 % và cục bộ không nên lớn hơn 20 % để tránh việc xe bị trôi lùi xuống dốc sau khi lên tới điểm dừng.
4.5 Đường cứu nạn nên bố trí ở những đoạn xuống dốc đủ tầm nhìn như quy định ở Bảng 2 để trước khi xe mất kiểm soát vào đường dẫn lái xe có thể nhìn thấy cả đường cứu nạn.
Bảng 2 – Tầm nhìn thấy đường cứu nạn
|
Tốc độ xe mất kiểm soát lúc nhập vào đường cứu nạn (km/h) |
120 |
100 |
≤ 80 |
|
Tầm nhìn thấy đường cứu nạn (m) |
350 (265) |
290 (200) |
230 (140) |
|
CHÚ THÍCH: - Tầm nhìn thấy đường cứu nạn là khoảng cách lái xe nhìn thấy chỗ rẽ vào đệm giảm tốc (điểm tách dòng A ở Hình 1) - Các trị số trong ngoặc là tầm nhìn thấy đường cứu nạn tối thiểu phải đảm bảo. Trong phạm vi tầm nhìn thấy đường cứu nạn nói trên phải đảm bảo không có cây cối, mái ta luy nền đào và các chướng ngại khác che khuất. |
|||
4.6 Trường hợp đèo dốc nguy hiểm thì tùy thực tế tai nạn giao thông xảy ra cũng có thể xem xét bố trí 2 (hoặc hơn 2) đường cứu nạn ở các vị trí khác nhau trên mỗi đoạn xuống dốc dài liên tục. Bố trí mỗi đường cứu nạn đều phải đảm bảo các yêu cầu bố trí đường cứu nạn đề cập ở 4.1, 4.2, 4.3, 4.4, 4.5 nói trên.
4.7 Tùy điều kiện cụ thể, khi thiết kế có thể chọn một trong các loại đường cứu nạn như trong Phụ lục A.
5 Yêu cầu thiết kế đối với đoạn đường dẫn
5.1 Đoạn đường dẫn phải thuận lợi về mặt hình học đảm bảo cho xe mất kiểm soát có tốc độ cao có thể vào đệm giảm tốc an toàn. Đoạn đường dẫn trong phạm vi đoạn trộn dòng ở Hình 1 nên sử dụng lớp mặt cùng loại như đường chính (đường chính là mặt đường nhựa thì đường dẫn cũng là mặt đường nhựa, đường chính là mặt đường bê tông xi măng thì đường dẫn cũng là mặt đường bê tông xi măng).
5.2 Tốc độ của xe khi bắt đầu vào đoạn đường dẫn phụ thuộc vào tốc độ của xe khi bị mất kiểm soát, chiều dài từ vị trí mất kiểm soát đến đoạn đường dẫn, độ dốc trung bình của đoạn đường và sức cản lăn của mặt đường.
Khi tính toán các đặc trưng hình học của đường cứu nạn, vận tốc thiết kế của xe khi vào đoạn đường dẫn nên lấy trong khoảng từ 80 km/h đến 120 km/h tùy thuộc vào cấp đường chính và các điều kiện cụ thể của dốc, trừ khi có căn cứ thì có thể lấy thấp hơn nhưng không dưới 60 km/h.
5.3 Trên bình đồ, đường cứu nạn (cả đường dẫn và cả đoạn đệm giảm tốc) tốt nhất là bố trí theo dạng tiếp tuyến của đường cong chính (khi đường chính là đường cong, đường cứu nạn là đường thẳng) hoặc dạng đường cong chuyển tiếp (khi đường chính là đường thẳng, đường cứu nạn là đường cong) để lái xe dễ dàng điều khiển cho xe vào đường cứu nạn (Hình 1).
Góc chuyển hướng α tại điểm bắt đầu từ đường chính vào đường cứu nạn (Hình 1) nên lấy bằng hoặc nhỏ hơn 5° và không nên quá 10°.
5.4 Chiều dài tối thiểu của đoạn đường dẫn nên đủ dài để cho xe mất kiểm soát với vận tốc thiết kế đã đề cập ở 5.2 chạy được đủ một thời gian t tùy thuộc góc chuyển hướng α:
- Nếu thiết kế α < 5° thì t không nên nhỏ hơn 6 s, tức là chiều dài đường dẫn không nên nhỏ hơn 200 m, 170 m, 140 m, 100 m tương ứng với tốc độ tính toán là 120 km/h, 100 km/h, 80 km/h, 60 km/h.
- Nếu thiết kế α = 5° ÷ 10° thì t không nên nhỏ hơn 9 s, tức là chiều dài đường dẫn không nên nhỏ hơn 300 m, 250 m, 200 m, 150 m tương ứng với tốc độ tính toán là 120 km/h, 100 km/h, 80 km/h, 60 km/h.
- Chiều dài tối thiểu của đoạn đường dẫn phải đủ để bố trí được một đường cong nối đường chính vào đệm giảm tốc, có các yếu tố hình học đáp ứng đúng các quy định về bán kính, về siêu cao và chiều dài đoạn nối siêu cao ở 5.8.1, 5.8.2, 5.8.3 và 5.8.4 (cho phép bố trí đoạn nối siêu cao và đoạn nối mở rộng khi địa hình khó khăn một nửa ở trong và một nửa ở ngoài đường cong).
- Đường dẫn nên thiết kế dạng hai đường cong chuyển tiếp nối tiếp nhau có chiều dài mỗi bên bằng L theo quy định ở 5.8.3 (tham khảo các ví dụ ở Phụ lục C). Trong trường hợp này chiều dài tối thiểu của đoạn đường dẫn không nên nhỏ hơn 70 m.
- Trong trường hợp đoạn đường dẫn là đường thẳng tiếp tuyến với đường chính là đường cong thì chiều dài tối thiểu của đoạn đường dẫn cũng không nên nhỏ hơn 70 m.
5.5 Nếu trên đoạn đường dẫn có chỗ đổi dốc thì phải thiết kế đường cong đứng tại đó.
5.6 Trong mọi trường hợp đề cập ở 5.3 tim tuyến đường dẫn ở cuối đoạn kết thúc tách dòng (Hình 1) phải trùng với tim đệm giảm tốc.
5.7 Bề rộng mặt đường ở đầu đoạn đường dẫn (trong phạm vi đoạn trộn dòng) tối thiểu nên là 4,0 m ÷ 5,5 m với lề đường rộng mỗi bên nhỏ nhất 2,0 m. Bề rộng mặt đường và nền đường ở cuối đoạn đường dẫn phải bằng bề rộng đệm giảm tốc.
5.8 Bán kính, siêu cao và đoạn nối siêu cao
5.8.1 Bán kính đường cong tròn giữa đường chính và đường dẫn nên lấy trong khoảng R = (300 ÷ 500) m tùy thuộc vào tốc độ thiết kế của xe khi vào đường cứu nạn. Bán kính cong tối thiểu Rmin = 250 m, trường hợp tốc độ thiết kế V = 60 km/h thì bán kính tối thiểu Rmin = 125 m.
5.8.2 Độ dốc siêu cao trong đường cứu nạn (isc) được xác định theo tốc độ thiết kế và bán kính đường cong nhưng tối đa không vượt quá 8 %.
5.8.3 Chiều dài đoạn nối siêu cao L = (35 ÷ 50) m tùy thuộc vào tốc độ thiết kế, bán kính đường cong tròn và siêu cao trong đường cứu nạn. Đoạn nối này chỉ được bố trí khi đường cứu nạn tách ra khỏi đường chính để đảm bảo không ảnh hưởng đến đường chính, ở đoạn đường dẫn thẳng độ dốc ngang mui luyện lấy bằng 2 %.
5.8.4 Đoạn vuốt nối mở rộng
Đoạn chuyển tiếp từ đường chính vào đoạn đường dẫn được mở rộng hình nêm với tỷ lệ 1:10 (mở rộng 1 m trên chiều dài 10 m) cho đến lúc đủ mặt cắt ngang của cả đường chính và đoạn đường dẫn. Đoạn này có cùng độ dốc với đường chính. Đến khi trắc ngang của đoạn đường dẫn tách khỏi đường chính mới được phép thay đổi độ dốc và bố trí đoạn nối siêu cao.
5.8.5 Đường cong đứng lõm
Do đệm giảm tốc thường bố trí có độ dốc dương (Hình 1) nên giữa đường dẫn và đệm giảm tốc phải bố trí đường cong đứng lõm. Bán kính đường cong đứng lõm tối thiểu tham khảo Bảng 3.
Bảng 3 - Bán kính đường cong đứng lõm tối thiểu
|
Tốc độ tính toán (km/h) |
Bán kính đường cong đứng lõm (m) |
|
120 |
2500 |
|
100 |
1500 |
|
80 |
1000 |
|
60 |
600 |
|
Trong trường hợp khó khăn thì bán kính đường cong đứng lõm có thể xác định theo điều kiện chống vượt tải của hệ thống treo ô tô do lực ly tâm, nhưng không được nhỏ hơn 400 m. |
6 Yêu cầu thiết kế đệm giảm tốc và làn cứu hộ
6.1 Tim tuyến đệm giảm tốc trên bình đồ phải là đường thẳng, trên trắc dọc nên là dốc dương i nhưng do điều kiện địa hình có thể thay đổi độ dốc i (i thay đổi từ nhỏ đến lớn nhưng trung bình của cả chiều dài đệm giảm tốc không nên quá 20 %).
6.2 Bề rộng đáy đệm giảm tốc không được nhỏ hơn 4,5 m (xem Hình 2).

Hình 2 - Mặt cắt ngang của đệm giảm tốc
6.3 Để xe mất kiểm soát giảm tốc độ và dừng lại, đệm giảm tốc phải đủ dài để tiêu hao động năng của xe. Chiều dài đệm giảm tốc cần thiết cho xe dừng lại phụ thuộc tốc độ thiết kế, độ dốc dọc, sức cản lăn của vật liệu mặt đường.
6.3.1 Trường hợp đệm giảm tốc có độ dốc và hệ số sức cản lăn không đổi thì chiều dài đệm giảm tốc được xác định theo công thức (1):
|
|
(1) |
trong đó:
L là chiều dài đệm giảm tốc, tính bằng mét (m);
V là tốc độ của xe khi vào đệm giảm tốc, tức là tốc độ ở cuối đoạn đường dẫn, tính bằng mét trên giây (m/s) lấy theo quy định ở 5.2 và tính theo công thức (2) nếu trên đoạn đường dẫn có thay đổi độ dốc i và thay đổi vật liệu mặt đường;
g là gia tốc trọng trường bằng 9,81 m/s2. Lấy tròn g = 10 m/s2;
i là độ dốc dọc của đệm giảm tốc:
• Nếu dốc lên, lấy dấu dương;
• Nếu dốc xuống, lấy dấu âm;
f là hệ số sức cản lăn của vật liệu làm mặt đường lấy theo Bảng 4.
Bảng 4 - Hệ số sức cản lăn của vật liệu làm mặt đường
|
Loại vật liệu làm mặt đường |
Hệ số sức cản lăn, f |
|
Bê tông xi măng |
0,010 ÷ 0,015 |
|
Bê tông nhựa A1 |
0,012 ÷ 0,020 |
|
Đá dăm có gia cố nhựa A2 |
0,020 ÷ 0,025 |
|
Đá dăm, cấp phối đá dăm, cấp phối suối, cấp phối đồi B1 |
0,030 ÷ 0,050 |
|
Đất khô và bằng phẳng |
0,040 ÷ 0,050 |
|
Cát rời rạc |
0,150 ÷ 0,200 |
|
Đá dăm và sỏi rời rạc |
0,250 ÷ 0,300 |
|
CHÚ THÍCH: - Vật liệu làm mặt đường đệm giảm tốc xem ở 6.4 và 6.8. - Đường bằng phẳng dùng trị số nhỏ; đường gồ ghề, kém bằng phẳng dùng trị số lớn. - Các hệ số f của các vật liệu khác ở trong bảng dùng để tính tốc độ xe theo công thức (2) ở cuối đường dẫn. |
|
6.3.2 Trong trường hợp đường dẫn hoặc đệm giảm tốc được thiết kế với độ dốc thay đổi hoặc lớp mặt có hệ số sức cản lăn thay đổi (gồm nhiều đoạn có độ dốc khác nhau hoặc hệ số sức cản lăn khác nhau như đề cập ở 6.1 và 5.5), có thể tính được vận tốc của xe ở cuối mỗi đoạn dốc theo công thức (2):
|
|
(2) |
trong đó:
V là là vận tốc của xe ở cuối đoạn dốc hoặc đoạn mặt đường khác loại, tính bằng mét trên giây (m/s);
Vo là vận tốc của xe bắt đầu vào đoạn dốc hoặc đoạn mặt đường khác loại, tính bằng mét trên giây (m/s);
L là chiều dài đoạn dốc hoặc đoạn mặt đường khác loại, tính bằng mét (m);
g là gia tốc trọng trường bằng 9,81 m/s2. Lấy tròn g = 10 m/s2;
i là độ dốc dọc của đệm giảm tốc:
• Nếu dốc lên, lấy dấu dương;
• Nếu dốc xuống, lấy dấu âm;
f là hệ số sức cản lăn của vật liệu làm mặt đường.
6.3.3 Vận tốc của xe ở cuối đoạn dốc hoặc đoạn mặt đường thứ nhất là vận tốc bắt đầu ở đoạn dốc tiếp theo và việc tính toán chiều dài từng đoạn dốc theo công thức (1) được lặp lại cho đến khi đường cứu nạn đủ độ dài để đảm bảo vận tốc của xe mất kiểm soát giảm đến 0.
6.3.4 Chiều dài đệm giảm tốc thiết kế nên tăng thêm 10 m so với chiều dài tính toán.
6.4 Vật liệu tốt nhất cho mặt đường đệm giảm tốc là sỏi sông suối (Bảng 4) với hệ số sức cản lăn dùng để tính chiều dài đệm giảm tốc f = 0,25 ÷ 0,30. Trường hợp khó khăn không có vật liệu sỏi sông suối thì có thể dùng đá dăm tròn cạnh, cuội sỏi rời rạc và cát.
6.5 Để xe không bị giảm tốc độ đột ngột, chiều dày của lớp vật liệu tiêu năng chính của đệm giảm tốc (sỏi, cuội) nên tăng dần từ 75 mm (bắt đầu đệm giảm tốc) cho đến khi đạt đủ chiều dày thiết kế trên một đoạn dài 30 m nhằm đảm bảo an toàn.
6.6 Mặt cắt ngang của đệm giảm tốc bố trí như Hình 2. Trắc ngang phần cuội sỏi có dạng hình thang với mái dốc ta luy là 2:1 (Hình 2). Bề rộng đệm giảm tốc từ 4,5 m ÷ 5,5 m (tối thiểu 4,5 m).
6.7 Vật liệu mặt đệm giảm tốc yêu cầu phải sạch, khó bị nén chặt, có sức chống cắt thấp, khó bị nước mưa xối trôi và có hệ số sức cản lăn cao. Vật liệu tốt nhất sử dụng cho đệm giảm tốc là sỏi sông suối, tròn, sạch, có thành phần cấp phối như ở Bảng 5. Trong trường hợp sử dụng đá dăm, yêu cầu đá phải có cạnh tròn, không dễ nứt vỡ, có kích thước đồng đều, không có thành phần hạt nhỏ. Kích thước lớn nhất không quá 40 mm.
Bảng 5 - Thành phần cấp phối của vật liệu dùng để rải mặt đệm giảm tốc
|
Cỡ sàng (mm) |
2,36 |
4,75 |
12,5 |
25,0 |
37,5 |
|
% lọt qua sàng |
≤ 5 |
≤ 10 |
25 ÷ 60 |
95 ÷ 100 |
100 |
6.8 Chiều dày tối thiểu lớp vật liệu đệm giảm tốc (Hình 2) nên từ 60 cm đến 100 cm để đủ giảm thiểu ảnh hưởng do sự dính kết vật liệu vì bẩn đồng thời đảm bảo yêu cầu làm việc của đệm giảm tốc.
Đệm giảm tốc có thể bố trí trên đoạn nền đắp (Hình 2) nhưng do địa hình cũng có thể bố trí trên đoạn nền đào (có rãnh biên và ta luy đào thông thường).
6.9 Bên cạnh đệm giảm tốc, nếu điều kiện cho phép, nên bố trí thêm một đường dịch vụ (làn cứu hộ) dành cho xe cứu hộ kéo các xe bị nạn ra khỏi đệm giảm tốc và xe bảo trì làm nhiệm vụ cào xới lại lớp sỏi cuội để duy trì đặc tính làm việc của đệm giảm tốc. Đường dịch vụ cần đảm bảo để xe cứu hộ và xe bảo trì đi lại dễ dàng, tốt nhất là được phủ mặt như đã đề cập ở 5.1. Có thể bố trí các ụ neo cách nhau từ 50 m đến 100 m dọc đường dịch vụ để hỗ trợ kéo xe bị nạn ra khỏi đệm giảm tốc. Ụ neo đầu tiên bố trí phía trước đệm giảm tốc khoảng 30 m để giúp xe cứu hộ đưa xe bị nạn trở lại phần đường xe chạy.
6.10 Để bảo vệ đệm giảm tốc không bị nhiễm bẩn từ bên dưới, tốt nhất nên bố trí lớp vật liệu có gia cố (bê tông nhựa, bê tông xi măng, cấp phối đá dăm gia cố xi măng, đá dăm thấm nhập nhựa,...) hoặc lớp vải địa kỹ thuật cách ly trên nền đường trước khi rải lớp cuội sỏi.
7 Hệ thống thoát nước đường cứu nạn
7.1 Phải bố trí đầy đủ hệ thống thoát nước mặt trên toàn bộ phạm vi đường cứu nạn, đảm bảo cho mặt đường luôn khô ráo, tránh bị ẩm ướt làm cho vật liệu bị nén chặt. Cần kết hợp giữa hệ thống rãnh thoát nước ngang và hệ thống rãnh thoát nước dọc. Hệ thống rãnh dọc luôn thông suốt, không được để đất tràn lên mặt đường gây trơn lầy nguy hiểm.
7.2 Hệ thống thoát nước của đệm giảm tốc phải hoạt động tốt để đảm bảo đặc tính làm việc của đệm giảm tốc, cụ thể như sau:
- Đệm giảm tốc có độ dốc ngang khoảng 3 %;
- Dưới đáy lớp cuội sỏi bố trí hệ thống rãnh ngang tiết diện vuông 150 mm bằng cát hạt thô để thoát nước ra khỏi phạm vi nền đất bố trí đệm giảm tốc và làn cứu hộ (ra khỏi taluy nền đắp hoặc ra rãnh biên nền đào). Độ dốc của rãnh ngang ≥ 5% và dốc về một phía không bố trí làn cứu hộ để thoát nước ra khỏi phạm vi đệm giảm tốc;
- Giữa lớp cuội sỏi và hệ thống thoát nước rãnh ngang bố trí một lớp vải địa kỹ thuật ngăn cách để bảo vệ lớp cuội sỏi không bị đất nền đường làm bẩn;
- Khoảng cách giữa các rãnh ngang được xác định tùy theo lượng nước thấm đệm giảm tốc.
8 Thiết kế ụ, công trình hỗ trợ tiêu năng
8.1 Hạng mục công trình hỗ trợ tiêu năng thường sử dụng gồm thùng chống va đâm, ụ vật liệu hạt (cát), tường xếp bằng lốp xe cũ. Các công trình hỗ trợ tiêu năng này thường phải bố trí ở cuối đoạn đệm giảm tốc để cùng với đệm giảm tốc tạo điều kiện cho xe mất điều khiển dừng lại hẳn và không phóng ra khỏi đệm giảm tốc va đâm vào các chướng ngại vật khác phía cuối đường cứu nạn. Trường hợp có điều kiện được chuyển giao công nghệ mới thì có thể áp dụng các thiết bị, công nghệ như ở Phụ lục B.
8.2 Nếu sử dụng thùng phòng chống va đâm thì có thể dùng các thùng phuy có chiều cao nhỏ hơn 1,5 m trong chất đầy vật liệu dạng hạt thành phần như vật liệu rải đệm giảm tốc và xếp thành 4 hàng ngang đặt trên mặt đệm giảm tốc ở cuối đoạn đệm giảm tốc. Chiều rộng mỗi hàng ngang xếp thùng tăng dần cho đến hàng thùng cuối cùng (hàng thứ 4) thì có chiều rộng bằng chiều rộng đệm giảm tốc. Chiều rộng hàng thùng thứ nhất chỉ gồm 3 thùng (≤ 3,0 m).
8.3 Nếu dùng ụ vật liệu hạt thì dùng ngay vật liệu rải mặt đệm giảm tốc đắp ụ ở cuối đệm giảm tốc. Bề rộng ụ bằng bề rộng đệm giảm tốc. Chiều cao ụ cao hơn mặt đệm giảm tốc (1,0 ÷ 1,5) m và thấp dần về phía cuối đệm giảm tốc với độ dốc mặt trên của ụ là 1 : 5.
8.4 Nếu dùng tường xếp bằng lốp xe ô tô phế liệu thì xếp 4 hàng lốp trên đệm giảm tốc, bề rộng cả 4 hàng lốp đều bằng bề rộng đệm giảm tốc. Ở mỗi hàng lốp được xếp chồng lên nhau lốp tầng trên xếp so le với lốp tầng dưới cho đủ chiều cao tối thiểu là 2,0 m.

Hình 3 - Các loại công trình hỗ trợ tiêu năng
9 Biển báo hiệu, vạch tín hiệu giao thông và chiếu sáng
9.1 Biển báo hiệu
Báo hiệu của đường cứu nạn phải đạt được các yêu cầu sau:
- Thông báo rộng rãi cho người lái xe được biết về các đoạn xuống dốc dài (chiều dài dốc, độ dốc) điều kiện bình đồ có vị trí đường cứu nạn. Thông báo này cần được đặt ở đỉnh dốc cả ở các điểm dịch vụ dọc tuyến lân cận và nhất thiết phải đặt ở đỉnh dốc xuống có đường cứu nạn phía trước, cho phép người lái có đủ thời gian quyết định có sử dụng đường cứu nạn hay không trước khi tới vị trí rẽ vào.
- Đảm bảo cho người lái xe nhìn thấy rõ đường dẫn và cả đường cứu nạn với tầm nhìn đảm bảo để không bị lỡ cơ hội rẽ vào đường cứu nạn (xem Bảng 2).
- Báo hiệu đặt tại vị trí rẽ vào đường cứu nạn phải đảm bảo ngăn ngừa những phương tiện khác không sử dụng đường cứu nạn hoặc đỗ xe cản trở lối vào (cắm biển cấm dừng xe).
- Biển báo đường cứu nạn áp dụng theo quy định hiện hành về báo hiệu đường bộ. Biển này, cùng với biển phụ chỉ khoảng cách đến đường cứu nạn và biển xuống dốc nguy hiểm, được cắm tại đỉnh dốc, chỗ bắt đầu nguy hiểm và tại lối rẽ vào đường cứu nạn. Tùy thuộc chiều dài dốc, biển có thể cắm lặp đi lặp lại nếu cần thiết cùng với biển phụ chỉ khoảng cách và phải cắm tại vị trí cách chỗ rẽ vào đường cứu nạn 2,0 km; 1,0 km và 0,5 km.
- Trong trường hợp trên đoạn tuyến có nhiều đường cứu nạn gần nhau, việc cắm biển chỉ dẫn vị trí và số thứ tự các đường cứu nạn tại đầu tưyến là cần thiết, giúp lái xe có sự lựa chọn phù hợp.
- Ở đầu đoạn đệm giảm tốc cắm biển “chỉ cho xe mất điều khiển”. Ở dải làn cứu hộ cắm biển “làn cho xe cứu hộ” và biển chỉ dẫn số điện thoại gọi cứu hộ.
9.2 Vạch tín hiệu giao thông
Vạch tín hiệu giao thông trên mặt đường phải đảm bảo:
- Giúp phân biệt rõ ranh giới giữa mặt đường dẫn (vào đường cứu nạn) và phần mặt đường chính dành cho các xe tiếp tục xuống dốc.
- Sơn kẻ mặt đường cứu nạn phải khác biệt với đường chính để tránh nhầm lẫn. Sơn kẻ chữ “ĐƯỜNG CỨU NẠN” và mũi tên chỉ hướng trên mặt đường dẫn và chữ “LÀN CỨU HỘ” trên mặt đường đầu làn cứu hộ.
- Vạch tín hiệu giao thông trên mặt đường áp dụng theo quy định hiện hành về báo hiệu đường bộ.
9.3 Chiếu sáng
Nên bố trí chiếu sáng cho đường cứu nạn để người lái xe có thể sử dụng đường cứu nạn vào buổi tối. Trong trường hợp không có chiếu sáng, phải bố trí hệ thống phản quang đảm bảo cho người lái xe có thể nhận biết đường cứu nạn một cách rõ ràng vào buổi tối để sử dụng an toàn.
10 Lan can phòng hộ, thiết bị ngăn cách và cọc tiêu dẫn hướng
Lan can phòng hộ, thiết bị ngăn cách và cọc tiêu dẫn hướng được minh họa ở Hình 1 và Hình 2.
10.1 Tại những nơi xe mất kiểm soát có thể vượt ra khỏi phạm vi đường cứu nạn, phải bố trí lan can phòng hộ hai bên. Lan can phòng hộ hai bên còn có tác dụng giữ lại phần lớn sỏi cuội bị bắn ra khi xe mất kiểm soát chạy vào đường cứu nạn và giới hạn lối vào đường cứu nạn. Các đoạn đường cứu nạn tiếp giáp với làn cứu hộ thì không bố trí lan can phòng hộ (Hình 1).
10.2 Giữa đệm giảm tốc và lề đất (Hình 2) bố trí lan can phòng hộ chịu va đâm mức cao theo TCVN 12681. Trên lan can phòng hộ có gắn tiêu dẫn hướng phản quang.
10.3 Ở đoạn trộn dòng (Hình 1) bố trí lan can phòng hộ loại có đệm chống va theo TCVN 12681 trên gắn cọc tiêu dẫn hướng có phản quang.
10.4 Giữa đệm giảm tốc và làn cứu hộ nên bố trí ngăn cách bằng các thùng thấp đỗ cát có thể di chuyển được thuận tiện cho các phương tiện cứu hộ tiếp cận với xe mất kiểm soát bị sự cố nằm trong đệm giảm tốc (Hình 2).
10.5 Các tiêu dẫn hướng ở đường dẫn và làn cứu hộ có phản quang màu đỏ hoặc tự phát quang. Cự ly bố trí giữa các tiêu dẫn hướng nên là (8,0 ÷ 12,0) m
10.6 Nếu có điều kiện thì nên lắp đặt camera quan sát được toàn phạm vi đường cứu nạn.

Hình A.1 - Các loại đường cứu nạn cơ bản
A.1 Mỗi loại đường cứu nạn được áp dụng cho từng trường hợp cụ thể và phải phù hợp với đặc điểm địa hình nơi đặt đường cứu nạn cũng như các yếu tố khác trên thực địa.
A.2 Đường cứu nạn sử dụng ụ cát: Đường cứu nạn sử dụng ụ cát có khả năng làm giảm tốc độ của xe rất nhanh nhưng dễ gây chấn thương cho người lái và phương tiện và hay bị ảnh hưởng bởi thời tiết (bị xói, bị gió thổi bay, bị nén chặt). Do vậy chỉ nên sử dụng ụ cát khi chiều dài đường cứu nạn bị hạn chế bởi địa hình.
A.3 Đường cứu nạn sử dụng đệm giảm tốc: Mặt đệm giảm tốc sử dụng vật liệu rời rạc (sỏi, cuội, cát, đá dăm ...) để tăng sức cản lăn nhằm làm giảm tốc độ của xe.
Trường hợp đường cứu nạn bố trí đoạn giảm tốc lên thì xem xét có thể bố trí một đoạn bằng tiếp giáp với công trình hỗ trợ tiêu năng để cho xe dừng lại an toàn không bị trôi lùi lại.
A.4 Có thể áp dụng công nghệ mới trong đường cứu nạn (ví dụ đường cứu nạn sử dụng lưới hãm xe như trong Phụ lục B...) nhưng phải được chuyển giao công nghệ.
Một số hình ảnh về thiết bị, công nghệ mới bố trí trên đường cứu nạn
(Nguồn: Truck Escape Ramp (TER) - Avon, CT, Connecticut Department of Transportation)
|
|
|
|
Hình B.1 - Bố trí hệ thống lưới hãm xe trên làn đường cứu nạn (thay thế đệm giảm tốc) |
Hình B.2 - Cấu tạo của hệ thống lưới hãm xe trên làn đường cứu nạn |
|
|
Hình B.3 - Bố trí hệ thống thùng chống va trên làn đường cứu nạn (sau hệ thống lưới hãm xe) |

Hình B.4 - Bố trí hệ thống lưới hãm xe và thùng chống va trên làn đường cứu nạn
Bố trí đường cong chuyển tiếp ở đoạn đường dẫn vào đệm giảm tốc
C.1 Trên bình đồ đoạn đường dẫn có thể bố trí theo dạng đường cong chuyển tiếp để lái xe dễ dàng điều khiển cho xe vào đường cứu nạn.
C.2 Nếu điều kiện địa hình cho phép thì đường cong tổ hợp đoạn đường dẫn được bố trí đầy đủ bao gồm hai đoạn đường cong chuyển tiếp và một đoạn đường cong tròn ở giữa. Trong trường hợp khó khăn thì đường cong tổ hợp chỉ còn hai đoạn đường cong chuyển tiếp nối tiếp nhau, không có đường cong tròn ở giữa. Hai đường cong chuyển tiếp cũng có thể được bố trí có dạng đối xứng (chiều dài hai đường cong bằng nhau) hoặc không đối xứng (chiều dài hai đường cong khác nhau).
C.3 Thường sử dụng các phần mềm thiết kế hình học đường để tính toán đường cong tổ hợp, việc tính và cắm các điểm trên đường cong chuyển tiếp theo tọa độ tuyệt đối. Các nội dung sau để tham khảo khi tính toán, kiểm tra và bố trí đường cong tổ hợp.
C.4 Trường hợp hai đường cong chuyển tiếp đối xứng (Hình C.1): Tại điểm tiếp xúc hai đường cong chuyển tiếp có cùng một bán kính cong R1 = R2 = Rmin và có chung đường tang. Bán kính Rmin được chọn như quy định ở 5.8.1.

Hình C.1 - Trường hợp hai đường cong chuyển tiếp đối xứng
Thông số đầu vào khi tính toán là vị trí đỉnh, góc α (radian) và bán kính đường cong R (m).
C.4.1 Các công thức cơ bản:
Chiều dài đường cong chuyển tiếp: Lct = R. α (m)
Thông số A của đường cong chuyển tiếp: ![]()
Tọa độ (X, Y) của điểm bất kỳ trên đường cong chuyển tiếp cách đầu đường cong S theo công thức:
|
|
(C.1) |
Tọa độ điểm cuối của đường cong chuyển tiếp (X0, Y0) ứng với chiều dài S=Lct.
Khoảng cách từ đỉnh Đ đến điểm bắt đầu đường cong chuyển tiếp NĐ
|
|
(C.2) |
C.4.2 Trình tự tính toán và cắm đường cong tổ hợp
Vì đường cong tổ hợp gồm hai đường cong chuyển tiếp đối xứng nên trình tự tính toán và cắm hai đường cong này tương tự nhau, theo các bước sau:
- Từ bán kính R và góc α tính toán chiều dài Lct, thông số A của đường cong chuyển tiếp;
- Tính khoảng cách (X0, Y0) tại điểm cuối của đường cong chuyển tiếp ứng với chiều dài S=Lct từ công thức (C.1);
- Tính khoảng cách T từ đỉnh đến điểm nối đầu (Đ-NĐ) và xác định được điểm bắt đầu đường cong chuyển tiếp từ công thức (C.2);
- Tính các tọa độ (X, Y) của các điểm trên đường cong chuyển tiếp cách đầu đường cong một đoạn S từ công thức (C.1);
- Lấy NĐ làm gốc tọa độ địa phương, trục X theo phương cánh tuyến, trục Y vuông góc với trục X và cắm các điểm trên đường cong chuyển tiếp có tọa độ đã tính.
C.4.3 Ví dụ tính toán: Tính toán với góc α=10°, bán kính đường cong R=250 m
- Góc α=0,1745 rad, tính Lct = R. α = 250 x 0,1745 = 43,63 m; A =
= 104,44 m
- Thay S=Lct tính được tọa độ điểm cuối đường cong chuyển tiếp X0 = 43,60 m; Y0 = 1,27 m
- Tính khoảng cách từ Đ đến điểm NĐ của đường cong chuyển tiếp T:
![]()
- Tính tọa độ của các điểm trên đường cong chuyển tiếp cách đầu đường cong là S
Ví dụ với điểm 1 có S = 40 m tính được X1 = 39,98 m, Y1= 0,98 m
C.5 Trường hợp hai đường cong chuyển tiếp không đối xứng (Hình C.2): Hai đường chuyển tiếp có thông số khác nhau, tại điểm nối chúng có cùng một bán kính cong R1 = R2 = Rmin và có chung đường tiếp tuyến. Bán kính Rmin được chọn như quy định ở 5.8.1.

Hình C.2 - Trường hợp hai đường cong chuyển tiếp không đối xứng
Thông số đầu vào khi tính toán là vị trí đỉnh, góc α (radian) và bán kính đường cong R (m).
C.5.1 Các công thức cơ bản:
Góc ngoặt α = φ1 + φ2
Trong đó các góc tiếp tuyến φ1, φ2 được xác định từ các công thức
|
|
(C.3) |
để đơn giản trong tính toán cắm tuyến thường nên dùng các thông số đường cong chuyển tiếp và bán kính tại điểm tiếp xúc là số nguyên
Các đường tang chung Tm1 và Tm2 được xác định theo công thức:
|
|
(C.4) |
Theo hình vẽ ta có T1=To1+t1 và T2=To2+t2
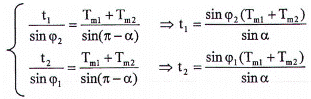
Xác định t1 và t2 từ định lý hàm số sin trong tam giác AĐB:
|
|
(C.5) |
Xác định To1 và To2 thông qua Xo1 và Xo2 như sau:
|
|
(C.6) |
Từ đó tính ra được T1 và T2 và triển khai tương tự như các phần trên.
C.5.2 Trình tự tính toán và cắm đường cong tổ hợp
Vì đường cong tổ hợp gồm hai đường cong chuyển tiếp, việc tính toán và cắm hai đường cong này theo các bước sau:
- Chọn chiều dài của đường cong chuyển tiếp thứ nhất Lct1
- Từ bán kính R và Lct1 tính thông số A1 của đường cong chuyển tiếp thứ nhất: ![]()
- Từ công thức (C.3) khi biết R, α , A1 tính thông số A2 của đường cong chuyển tiếp thứ hai
- Tính chiều dài đường cong chuyển tiếp thứ hai: ![]()
- Tính góc φ1 và φ2 tương ứng với các thông số A1, A2
- Tính tọa độ tại các điểm cuối của đường cong chuyển tiếp (X01, Y01) và (X02, Y02) theo công thức (C.1)
- Tính Tm1, Tm2 theo công thức (C.4) sau đó tính t1, t2 theo công thức (C.5)
- Tính T01, T02 theo công thức (C.6)
- Tính các tiếp tuyến T1=To1+ t1 và T2=To2+ t2 và xác định được các điểm NĐ1 và NĐ2 của hai đường cong chuyển tiếp
- Tính tọa độ các điểm chi tiết theo công thức (C.1) và cắm đường cong chuyển tiếp thứ nhất
- Tính tọa độ các điểm chi tiết theo công thức (C.1) và cắm đường cong chuyển tiếp thứ hai
C.5.3 Ví dụ tính toán: Tính toán với góc α=10°, bán kính đường cong R=250 m
Việc tính toán theo các bước ở C.5.2, các kết quả như sau:
- Chọn chiều dài của đường cong chuyển tiếp thứ nhất Lct1 = 50 m
- Tính thông số A1 = 111,80 m
- Tính thông số A2 = 96,52 m
- Tính chiều dài của đường cong chuyển tiếp thứ hai Lct2 = 37,27 m
- Tính góc φ1 = 0,100 rad và φ2 = 0,075 rad
- Tính tọa độ (X01 = 49,95 m, Y01 = 1,67 m) và (X02 = 37,25 m, Y02 = 0,93 m)
- Tính Tm1 = 16,68 m, Tm2 = 12,43 m và t1 = 12,48 m, t2 = 16,74 m
- Tính T01 = 33,35 m, T02 = 24,85 m
- Tính được các tiếp tuyến T1 = 45.83 m và T2 = 41.59 m
- Tính tọa độ của các điểm trên đường cong chuyển tiếp thứ nhất cách đầu đường cong là S
Ví dụ với điểm 1 có S= 40 m tính được X1 = 39,98 m, Y1= 0,85 m
- Tính tọa độ của các điểm trên đường cong chuyển tiếp thứ hai cách đầu đường cong là S
Ví dụ với điểm 1 có S = 30 m tính được X1 = 29,99 m, Y1= 0,48 m
HƯỚNG DẪN TẢI TOÀN BỘ NỘI DUNG TÀI LIỆU
1. Nếu bạn ĐÃ CÓ tài khoản: Vui lòng Tải về để xem chi tiết
2. Nếu bạn CHƯA CÓ tài khoản: Vui lòng cung cấp thông tin TẠI ĐÂY để được gởi tặng MIỄN PHÍ qua email và zalo
Mọi thắc mắc vui lòng liên hệ: 0917 267 397