QCVN 26 : 2025/BCT
QUY CHUẨN KỸ THUẬT QUỐC GIA VỀ KỸ THUẬT ĐIỆN -
HỆ THỐNG LƯỚI ĐIỆN
National Technical Regulation on Electric Power Technical -
Power Network
MỤC LỤC
1 QUY ĐỊNH CHUNG
1.1 PHẦN CHUNG
1.1.1 Phạm vi điều chỉnh
1.1.2 Đối tượng áp dụng
1.1.3 Thuật ngữ và từ viết tắt
1.2 NHỮNG YÊU CẦU CHUNG
1.2.1 Thiết kế hệ thống điện
1.2.2 Thỏa thuận với đơn vị quản lý lưới điện
1.2.3 Phương án cấp điện
1.2.4 Kế hoạch phát triển điện và sử dụng điện
1.2.5 Xây lắp, vận hành và kiểm tra
1.2.6 Chất lượng điện
1.2.7 Bảo vệ an toàn
1.2.8 Hệ thống điều khiển, bảo vệ và đo lường
1.2.9 Yêu cầu kỹ thuật về thiết bị điện
1.2.10 Yêu cầu kỹ thuật phần xây dựng
1.2.11 Yêu cầu màu sắc cho thiết bị điện
1.2.12 Đưa công trình vào vận hành
1.3 YÊU CẦU VỀ KHU VỰC XÂY DỰNG
1.3.1 Phân loại khu vực
1.3.2 Khu vực xây dựng đường dây dẫn điện trên không
1.4 YÊU CẦU VỀ HÀNH LANG BẢO VỆ AN TOÀN
1.4.1 Hành lang bảo vệ an toàn của ĐDK
1.4.2 Hành lang bảo vệ an toàn của đường cáp điện ngầm
1.4.3 Hành lang bảo vệ an toàn của trạm điện
1.5 YÊU CẦU VỀ MÔI TRƯỜNG
1.5.1 Kiểm soát tiếng ồn
1.5.2 Bảo vệ chống tác hại môi trường
1.5.3 Hệ thống thu gom dầu
1.6 YÊU CẦU VỀ CHẤT LƯỢNG ĐIỆN
1.6.1 Chất lượng điện trong lưới điện
1.6.2 Dòng ngắn mạch, thời gian loại trừ sự cố
1.7 YÊU CẦU VỀ HỆ THỐNG NỐI ĐẤT
1.7.1 Mục đích việc nối đất
1.7.2 Yêu cầu với hệ thống nối đất
1.7.3 Nối đất các công trình lưới điện
1.7.4 Nối đất cho TBPP và TBA
1.8 YÊU CẦU VỀ THI CÔNG CÁC CÔNG TRÌNH LƯỚI ĐIỆN
1.8.1 Quy định chung
1.8.2 Công tác chuẩn bị thi công
1.8.3 Các yêu cầu đối với phần xây dựng để lắp đặt thiết bị
1.8.4 Công tác lắp đặt
1.8.5 Lắp đặt dây dẫn và cáp
1.8.6 Lắp đặt đường cáp ngầm
1.8.7 Lắp đặt đường dây tải điện trên không
1.8.8 Lắp đặt hệ thống phân phối và trạm biến áp
1.8.10 Lắp đặt hệ thống phòng cháy chữa cháy và thông gió
1.8.11 Lắp đặt hệ thống chiếu sáng
1.8.12 Lắp đặt hệ thống nối đất
1.9 YÊU CẦU VỀ VẬN HÀNH HỆ THỐNG LƯỚI ĐIỆN
1.9.1 Chỉ huy điều độ - thao tác
1.9.2 Nhiệm vụ vận hành
1.9.3 Các phương tiện chỉ huy điều độ và điều khiển
1.9.4 Vận hành MBA và cuộn kháng
1.9.5 Vận hành trang bị phân phối điện
1.9.6 Vận hành hệ thống ắc quy
1.9.7 Vận hành đường dây dẫn điện trên không
1.9.8 Vận hành đường cáp điện lực
1.9.9 Vận hành hệ thống rơ-le bảo vệ và tự động điện
1.9.10 Vận hành hệ thống nối đất
1.9.11 Vận hành hệ thống bảo vệ quá điện áp
1.9.12 Vận hành hệ thống đo lường điện
1.10 YÊU CẦU VỀ KIỂM TRA HỆ THỐNG LƯỚI ĐIỆN
1.10.1 Yêu cầu chung
1.10.2 Kiểm tra giao nhận hàng
1.10.3 Kiểm tra khi lắp đặt ĐDK và đường cáp ngầm
1.10.4 Kiểm tra khi lắp đặt thiết bị của TBA
1.10.5 Kiểm tra hoàn thành
1.10.6 Kiểm tra định kỳ
2 YÊU CẦU KỸ THUẬT ĐỐI VỚI HỆ DẪN ĐIỆN
2.1 YÊU CẦU KỸ THUẬT ĐỐI VỚI HỆ DẪN ĐIỆN BẰNG CÁP ĐIỆN ÁP ĐẾN 500 KV
2.1.1 Yêu cầu chung
2.1.2 Yêu cầu đối với lựa chọn và phân biệt cáp
2.1.3 Lựa chọn tiết diện cáp
2.1.4 Yêu cầu đối với các điều kiện môi trường khác nhau
2.1.5 Yêu cầu đối với đặc tính kỹ thuật và vị trí lắp đặt
2.1.6 Bảo vệ khỏi dòng điện lạc mạch
2.1.7 Thông gió và chiếu sáng
2.1.8 Phòng chống cháy nổ
2.1.9 Đường cáp dự phòng
2.1.10 Lắp đặt dây trung tính
2.1.11 Lắp đặt cáp
2.1.12 Những nơi không cho phép lắp đặt cáp
2.1.13 Lắp đặt hộp nối cáp và hộp đầu cáp
2.1.14 Lắp đặt khối cáp, ống cáp và máng cáp
2.1.15 Yêu cầu đối với công trình cáp
2.1.16 Yêu cầu đối với giếng cáp
2.1.17 Yêu cầu đối với giá đỡ cáp
2.1.18 Yêu cầu lắp đặt cáp trong công trình cáp
2.1.19 Yêu cầu lắp đặt cáp giao chéo với các công trình khác
2.1.20 Giao chéo với đường cáp viễn thông đi ngầm
2.1.21 Lắp đặt đường cáp điện trong gian sản xuất
2.1.22 Độ sâu chôn cáp
2.1.23 Lắp đặt cáp trong đất (trong hào cáp)
2.1.24 Lắp đặt đường cáp điện trong nước
2.1.25 Lắp đặt đường cáp điện dưới biển
2.1.26 Giao chéo cáp đặt dưới nước
2.1.27 Biển cảnh báo trên bờ
2.1.28 Lắp đặt đường cáp điện trong nhà máy điện
2.1.29 Lắp đặt cáp đi theo cầu
2.2 YÊU CẦU KỸ THUẬT ĐỐI VỚI HỆ DẪN ĐIỆN BẰNG ĐDK ĐIỆN ÁP ĐẾN 1 kV
2.2.1 Yêu cầu đối với dây dẫn điện
2.2.2 Yêu cầu đối với cáp vặn xoắn
2.2.3 Các phương pháp và điều kiện tính toán lựa chọn tiết diện dây dẫn:
2.2.4 Yêu cầu bố trí dây dẫn điện
2.2.5 Bố trí thiết bị đóng cắt và thiết bị bảo vệ
2.2.6 Nối dây dẫn
2.2.7 Yêu cầu đối với vật cách điện
2.2.8 Yêu cầu đối với cột
2.2.9 Khoảng cách từ mép móng của cột đến các vật thể khác
2.3 YÊU CẦU KỸ THUẬT ĐỐI VỚI HỆ DẪN ĐIỆN BẰNG ĐDK ĐIỆN ÁP TRÊN 1 kV
2.3.1 Quy định chung
2.3.2 Dây dẫn điện
2.3.3 Lắp đặt dây dẫn và phụ kiện
2.3.4 Cột, xà, dây néo
2.3.5 ĐDK đi qua các khu vực
2.3.6 ĐDK giao chéo, đi gần hoặc đi chung cột với ĐDK khác
2.3.7 ĐDK giao chéo với mạng cáp ngoại vi viễn thông
2.3.8 ĐDK giao chéo hoặc đi gần các công trình giao thông
2.3.9 ĐDK giao chéo với đường cáp treo, đường ống
2.3.10 ĐDK đi qua khu vực có nước
3 YÊU CẦU KỸ THUẬT ĐỐI VỚI TRANG BỊ PHÂN PHỐI VÀ TRẠM BIẾN ÁP
3.1 YÊU CẦU KỸ THUẬT ĐỐI VỚI TBPP ĐIỆN ÁP ĐẾN 1 kV (AC VÀ DC)
3.1.1 Yêu cầu chung
3.1.2 Lắp đặt thiết bị điện điện áp đến 1 kV
3.1.3 Tủ bảng phân phối điện điện áp đến 1 kV
3.2 YÊU CẦU KỸ THUẬT ĐỐI VỚI TBPP VÀ TBA ĐIỆN ÁP TRÊN 1 KV
3.2.1 Quy định chung
3.2.2 Trang bị phân phối điện ngoài trời
3.2.3 Trang bị phân phối điện trong nhà
3.2.4 Hệ thống phụ trợ trong TBA
3.2.5 Trạm biến áp phân xưởng
3.2.6 Thiết bị phân phối và trạm biến áp trên cột
3.2.7 Bảo vệ chống sét cho TBA điện áp trên 1 kV đến 500 kV
3.2.8 Bảo vệ chống sét cho máy điện quay
3.2.9 Bảo vệ chống quá điện áp nội bộ
3.2.10 Lắp đặt máy biến áp lực
3.2.11 Hệ thống ắc quy
4 HỆ THỐNG ĐIỀU KHIỂN, BẢO VỆ VÀ ĐO LƯỜNG
4.1 HỆ THỐNG ĐIỀU KHIỂN
4.1.1 Thiết bị điều khiển và tự động
4.1.2 Tự động đóng nguồn dự phòng
4.1.3 Tự động ngăn ngừa mất ổn định
4.1.4 Tự động ngăn ngừa quá tải của thiết bị điện
4.1.5 Điều khiển từ xa
4.2 HỆ THỐNG BẢO VỆ
4.2.1 Hệ thống bảo vệ cho hệ thống điện điện áp đến 1 kV
4.2.2 Hệ thống bảo vệ cho hệ thống điện điện áp trên 1 kV
4.2.3 Hệ thống bảo vệ máy biến áp
4.2.4 Hệ thống bảo vệ thanh cái
4.2.5 Hệ thống bảo vệ máy phát điện
4.2.6 Hệ thống bảo vệ thiết bị bù
4.2.7 Bảo vệ máy cắt
4.2.8 Hệ thống bảo vệ đường dây
4.2.9 Mạch điện nhị thứ
4.3 HỆ THỐNG ĐO LƯỜNG ĐIỆN
4.3.1 Hệ thống đo đếm điện năng
4.3.2 Hệ thống đo lường điện
5 QUY ĐỊNH QUẢN LÝ
6 TRÁCH NHIỆM CỦA TỔ CHỨC, CÁ NHÂN
7 TỔ CHỨC THỰC HIỆN
PHỤ LỤC
Phụ lục A: VẬT LIỆU CHO THIẾT BỊ ĐIỆN
Phụ lục B: KHU VỰC MÔI TRƯỜNG Ô NHIỄM
Phụ lục C: BẢO VỆ CHỐNG TÁC HẠI CỦA MÔI TRƯỜNG
Phụ lục D: LƯỚI SAN BẰNG ĐIỆN ÁP
Phụ lục Đ: HƯỚNG DẪN TÍNH TOÁN ĐIỆN ÁP TIẾP XÚC, ĐIỆN ÁP BƯỚC VÀ ĐIỆN TRỞ NỐI ĐẤT
Phụ lục E: ĐÁNH SỐ THIẾT BỊ TRONG HỆ THỐNG ĐIỆN
Phụ lục F: QUÁ TẢI MÁY BIẾN ÁP
Phụ lục G-1: QUY ĐỊNH MÃ MÀU CỦA DÂY BỌC VÀ CÁP
Phụ lục G-2: ĐIỆN TRỞ 1 CHIỀU LỚN NHẤT CỦA LÕI DÂY DẪN ĐIỆN
Phụ lục G-3: DÒNG ĐIỆN LÂU DÀI CHO PHÉP CỦA CÁP
Phụ lục G-4: HỆ SỐ ĐIỀU CHỈNH DÒNG ĐIỆN LÂU DÀI CHO PHÉP CỦA CÁP
Phụ lục G-5: DÒNG NGẮN MẠCH CHO PHÉP CỦA CÁP
Phụ lục G-6: BÁN KÍNH UỐN CONG CHO PHÉP CỦA CÁP
Phụ lục G-7: CÔNG TRÌNH CÁP
Phụ lục G-8: CÁP ĐIỆN VẶN XOẮN HẠ ÁP
Phụ lục G-9: CÁP VẶN XOẮN VÀ CÁP BỌC TRUNG ÁP
Phụ lục H-1: LỰA CHỌN THEO TỔN THẤT ĐIỆN ÁP CHO PHÉP
Phụ lục H-2: NHIỆT ĐỘ PHÁT NÓNG CHO PHÉP CỦA DÂY DẪN VÀ CÁP THEO ĐIỀU KIỆN NGẮN MẠCH
Phụ lục H-3: DÒNG ĐIỆN LÂU DÀI CHO PHÉP CỦA DÂY DẪN ĐIỆN TRẦN
Phụ lục H-4: DÂY DẪN ĐIỆN TRẦN ACSR
Phụ lục H-5: DÒNG ĐIỆN LÂU DÀI CHO PHÉP CỦA THANH DẪN ĐIỆN
Phụ lục I: KIỂM TRA THEO ĐIỀU KIỆN VẦNG QUANG
Phụ lục K: KIỂM TRA THEO ĐIỀU KIỆN NGẮN MẠCH
Phụ lục L: DÒNG ĐIỆN TỨC THỜI CHO PHÉP^ CỦA DÂY CHỐNG SÉT
Phụ lục M. NHIỆT ĐỘ CỰC ĐẠI CỦA PHẦN TIẾP XÚC
Phụ lục N: TÍNH TOÁN NHIỄU VẦNG QUANG
Phụ lục O: HỆ SỐ ĐIỀU CHỈNH DÒNG ĐIỆN CỦA CÁP
Phụ lục P-1: LỰA CHỌN MÁY CẮT ĐIỆN
Phụ lục P-2: LỰA CHỌN CẦU CHẢY
Phụ lục Q: HỆ THỐNG ĐIỀU KHIỂN TÍCH HỢP
Phụ lục R: Ký hiệu các chức năng bảo vệ và tự động
Phụ lục S: CÁC NỘI DUNG BÃI BỎ VÀ ĐIỀU CHỈNH TRONG QVCN QTĐ-5:2009, QTĐ- 6:2009, QTĐ-7:2009
Lời nói đầu
QCVN 26:2025/BCT do Ban soạn thảo Quy chuẩn kỹ thuật quốc gia về Kỹ thuật điện - Hệ thống lưới điện biên soạn, Cục Đổi mới sáng tạo, Chuyển đổi xanh và Khuyến công trình duyệt, Bộ Khoa học và Công nghệ thẩm định, Bộ trưởng Bộ Công Thương ban hành theo Thông tư số 51/2025/TT-BCT ngày 11 tháng 11 năm 2025.
QUY CHUẨN KỸ THUẬT QUỐC GIA VỀ KỸ THUẬT ĐIỆN -
HỆ THỐNG LƯỚI ĐIỆN
National Technical Regulation on Electric Power Technical -
Power Network
1 QUY ĐỊNH CHUNG
1.1 PHẦN CHUNG
1.1.1 Phạm vi điều chỉnh
Quy chuẩn kỹ thuật quốc gia về kỹ thuật điện - Hệ thống lưới điện (sau đây gọi tắt là Quy chuẩn kỹ thuật hệ thống lưới điện) quy định các yêu cầu đối với công tác thiết kế, xây dựng mới, cải tạo và vận hành các công trình lưới điện truyền tải và phân phối điện xoay chiều có điện áp đến 500 kV và tần số danh định 50Hz.
Công trình lưới điện truyền tải và phân phối điện trong Quy chuẩn kỹ thuật này bao gồm:
- Đường cáp điện, đường dây truyền tải và phân phối điện có điện áp đến 500 kV được quy định trong Bảng 1.1;
- Trạm điện trong nhà và ngoài trời có điện áp đến 500 kV kể cả các hệ thống phụ trợ như: hệ thống nối đất, hệ thống điều khiển, bảo vệ và đo lường.
Bảng 1.1: Phạm vi áp dụng đối với đường dây và cáp
|
Loại đường dây và cáp |
Nơi lắp đặt chính |
Loại dây dẫn |
Phạm vi áp dụng |
||||
|
Đến 1 kV |
Trên 1 kV đến 35 kV |
110 kV |
220 kV |
500 kV |
|||
|
Các đường dây trong nhà và ngoài trời |
- Trong tòa nhà, văn phòng, cơ quan, xí nghiệp - Trên các kết cấu xây dựng, tường, ở địa điểm xây dựng |
Dây bọc |
A |
A |
x |
x |
x |
|
Dây trần |
A |
A |
x |
x |
x |
||
|
Đường cáp điện |
- Ngầm - Trong công trình cáp, trong gian sản xuất - Trong môi trường nước - Trong trạm điện |
Cáp |
A |
A |
A |
A |
A |
|
Đường dây điện trên không |
Trên cột bê tông hoặc cột thép |
Dây bọc |
A |
A |
x |
x |
x |
|
Dây trần |
A |
A |
A |
A |
A |
||
Ghi chú: A: Phạm vi áp dụng, x: Phạm vi không áp dụng.
- Quy chuẩn kỹ thuật này không áp dụng cho các dây dẫn đặc biệt cung cấp điện cho thiết bị điện, không áp dụng cho các hệ dẫn điện của đường sắt chạy điện, tàu điện, các ô tô điện, v.v. và các phần không áp dụng nêu trong Bảng 1.1.
1.1.2 Đối tượng áp dụng
Quy chuẩn kỹ thuật này áp dụng đối với tổ chức, cá nhân có hoạt động điện lực trên lãnh thổ Việt Nam liên quan đến thiết kế, xây dựng mới, cải tạo, giám sát và vận hành các công trình lưới điện truyền tải và phân phối điện xoay chiều có điện áp đến 500 kV.
1.1.3 Thuật ngữ và từ viết tắt
Các thuật ngữ được dùng với nghĩa như sau:
Phải: bắt buộc thực hiện.
Cần: cần thiết, cần có nhưng không bắt buộc.
Nên: không bắt buộc nhưng thực hiện thì tốt hơn.
Thường hoặc thông thường: có tính phổ biến, được sử dụng rộng rãi.
Cho phép hoặc được phép: được thực hiện, như vậy là thỏa đáng và cần thiết.
Không nhỏ hơn hoặc ít nhất là: là nhỏ nhất.
Không lớn hơn hoặc nhiều nhất là: là lớn nhất.
Từ ... đến ...: kể cả trị số đầu và trị số cuối.
Đến: là bao gồm cả giá trị đó
Trên: là không bao gồm cả giá trị đó
Khoảng cách: từ điểm nọ đến điểm kia.
Khoảng trống: là khoảng cách nhỏ nhất từ mép nọ đến mép kia trong không khí, không có vật cản.
Khoảng trống pha-pha: là khoảng trống giữa phần dẫn điện các pha với nhau, không tính phần cách điện tăng cường.
Khoảng trống pha-đất: là khoảng trống giữa phần dẫn điện với đất hoặc điện cực nối đất, không tính phần cách điện tăng cường.
CSV: viết tắt chống sét van.
ĐDK: viết tắt của đường dây dẫn điện trên không.
ĐTT: viết tắt của đường dây thông tin.
ĐTH: viết tắt của đường dây tín hiệu.
GCB: viết tắt của máy cắt cách điện khí (không phải là không khí).
GIS: Hệ thống đóng cắt cách điện khí (không phải là không khí).
MBA: viết tắt của máy biến áp.
OCB: viết tắt của máy cắt dầu.
OLTC: viết tắt của bộ điều chỉnh điện áp dưới tải.
PNT: viết tắt của trang bị phân phối điện ngoài trời.
PTN: viết tắt của trang bị phân phối điện trong nhà.
PTB: viết tắt của trang bị phân phối điện trọn bộ.
QCVN: Quy chuẩn kỹ thuật quốc gia của Việt Nam.
TBPP: viết tắt của thiết bị phân phối điện.
TBA: viết tắt của trạm biến áp.
TCVN: Tiêu chuẩn kỹ thuật quốc gia của Việt Nam.
TĐL: viết tắt của tự động đóng lại.
TĐL1P: viết tắt của tự động đóng lại 1 pha.
TĐL3P: viết tắt của tự động đóng lại 3 pha.
TĐD: viết tắt của tự động đóng nguồn dự phòng.
TI: viết tắt của máy biến dòng điện.
TU: viết tắt của máy biến điện áp.
VCB: viết tắt của máy cắt chân không.
1.1.3.1 Các loại bảo vệ (Types of Protection)
Bảo vệ chính là bảo vệ thực hiện chức năng bảo vệ chủ yếu và được lắp đặt, chỉnh định để thực hiện tác động trước tiên, đảm bảo các tiêu chí về nhanh, nhạy, chọn lọc và độ tin cậy tác động của hệ thống bảo vệ khi có sự cố xảy ra trong phạm vi bảo vệ đối với thiết bị được bảo vệ.
Bảo vệ kép là trang bị hai chức năng rơ-le bảo vệ giống nhau tích hợp trong hai thiết bị rơ-le bảo vệ khác nhau và cùng làm việc song song để tăng tính sẵn sàng của hệ thống rơ-le bảo vệ.
Bảo vệ dự phòng là bảo vệ được trang bị nhằm tác động khi sự cố hệ thống điện không được loại trừ trong thời gian yêu cầu trong các trường hợp: (i) các bảo vệ chính của thiết bị hư hỏng/không tác động; (ii) hư hỏng máy cắt.
Bảo vệ dự phòng xa là bảo vệ dự phòng được đặt ở trạm xa, có tác dụng bảo vệ dự phòng cho toàn bộ hoặc một phần của các phần tử kế tiếp.
Bảo vệ dự phòng gần là bảo vệ được trang bị tại cùng một trạm nhằm tác động khi sự cố hệ thống điện không được loại trừ trong thời gian yêu cầu trong các trường hợp (i) Các bảo vệ chính của thiết bị hư hỏng/không tác động; (ii) hoặc hư hỏng máy cắt;
1.1.3.2 Cách điện kép (Double Insulation)
Cách điện kép là 2 cách điện cùng chủng loại, cùng đặc tính kỹ thuật.
1.1.3.3 Cách điện bố trí kép
Cách điện bố trí kép là bố trí 2 cách điện cùng chủng loại, cùng đặc tính kỹ thuật
1.1.3.4 Cắt bảo vệ (Protective Breaking)
Cắt bảo vệ là cắt tự động được thực hiện bằng thiết bị bảo vệ khi có sự cố xảy ra tại một bộ phận trong lưới điện.
1.1.3.5 Cấp điện áp (Voltage level)
Cấp điện áp: là một trong những giá trị của điện áp danh định được sử dụng trong hệ thống điện, bao gồm:
a) Hạ áp là cấp điện áp danh định đến 01 kV;
b) Trung áp là cấp điện áp danh định trên 01 kV đến 35 kV;
c) Cao áp là cấp điện áp danh định trên 35 kV đến 220 kV;
d) Siêu cao áp là cấp điện áp danh định trên 220 kV.
1.1.3.6 Chế độ xác lập của hệ thống điện (Steady State of a Power System)
Chế độ xác lập của hệ thống điện là chế độ vận hành trong đó các thông số trạng thái của hệ thống điện được coi là ổn định.
1.1.3.7 Chế độ nối đất trung tính hệ thống (Neutral of Power System)
Nối đất trung tính trên 1 kV gồm 2 loại:
Trung tính nối đất trực tiếp là điểm trung tính của máy biến áp hoặc của máy phát điện được nối trực tiếp với trang bị nối đất hoặc được nối với đất qua một điện trở nhỏ (ví dụ như máy biến dòng, v.v.).
Trung tính cách ly là điểm trung tính của máy biến áp hoặc của máy phát điện không được nối với trang bị nối đất hoặc được nối với trang bị nối đất qua các thiết bị tín hiệu, đo lường, bảo vệ, cuộn dập hồ quang được nối đất hoặc thiết bị tương tự khác có điện trở lớn.
Trung tính nối đất hiệu quả là trung tính của mạng điện 3 pha điện áp trên 1 kV có hệ số quá điện áp khi ngắn mạch chạm đất không lớn hơn 1,4.
Hệ số quá điện áp khi ngắn mạch chạm đất xảy ra trong mạng điện 3 pha là tỷ số giữa điện áp của pha không bị sự cố (không chạm đất) sau thời điểm xảy ra sự cố ngắn mạch chạm đất và điện áp của pha đó trước khi ngắn mạch chạm đất.
1.1.3.8 Công suất dự phòng của hệ thống điện (Reserve Power of a Power System)
Công suất dự phòng của hệ thống điện là sự chênh lệch giữa tổng công suất khả dụng và nhu cầu công suất của hệ thống điện.
1.1.3.9 Công suất khả dụng của một tổ máy (hoặc một nhà máy điện) (Available Capacity of a Unit or of a power station)
Công suất khả dụng của một tổ máy điện (hoặc một nhà máy điện) là công suất phát thực tế lớn nhất của tổ máy phát điện (hoặc nhà máy điện) có thể phát ổn định, liên tục trong một khoảng thời gian xác định.
1.1.3.10 Công trình cáp (Cable Structures)
Hầm cáp là công trình ngầm trong đó đặt các kết cấu để đặt cáp và các hộp nối, cho phép đi lại dễ dàng để đặt cáp, sửa chữa và kiểm tra cáp có khoảng cách giữa sàn và trần lớn hơn 1,8 m.
Tầng cáp là phần của tòa nhà được giới hạn bởi sàn nhà và trần, có khoảng cách giữa sàn và các tấm trần không nhỏ hơn 1,8 m.
Buồng cáp là công trình kín bằng các tấm bê tông, dùng để đặt cáp, hộp nối cáp hoặc để luồn cáp vào khối cáp.
Hành lang cáp là công trình kín toàn bộ hoặc từng phần, bố trí sát mặt đất hoặc cao hơn mặt đất, đặt nằm ngang hoặc nghiêng; hành lang cáp đi lại được.
Hào cáp là công trình cáp mà cáp được đặt trực tiếp trong đất hoặc trong ống chôn trong đất và tái lập lại hiện trạng (đường giao thông, mặt đất tự nhiên...). Bình thường không thể tiếp cận được mà phải phá bỏ các kết cấu bên trên mới tiếp cận được đường cáp.
Mương cáp là công trình cáp chìm toàn bộ hoặc từng phần có các tấm che tháo lắp được, cáp được đặt bên trong mương trên giá hoặc dưới nền, bên trong mương không lấp đầy nhưng không đi lại được; khi cần đặt cáp, kiểm tra, sửa chữa phải dỡ phần che đậy tháo lắp được ở bên trên.
Sàn kép là khoảng trống giữa 2 lớp sàn hoặc giữa sàn và tấm chắn mà các tấm chắn này có thể tháo gỡ được toàn bộ hoặc từng phần diện tích phòng.
Khối cáp là công trình gồm các khối đúc sẵn có lỗ được xếp dài liên tục để luồn cáp.
Giếng cáp là công trình đặt cáp thẳng đứng hoặc nghiêng có hoặc không có thang trèo để lên xuống.
Cầu cáp là công trình hở hoặc kín có kết cấu để đặt cáp, bố trí sát mặt đất hoặc cao hơn mặt đất, đặt nằm ngang hoặc nghiêng có hoặc không có hành lang đi lại.
Máng cáp là kết cấu kiểu hộp đặt trong nhà hoặc ngoài trời. Máng cáp có thể là loại vách liền, có lỗ hoặc dạng mắt sàng và được chế tạo bằng vật liệu không cháy.
Giá cáp là kết cấu dùng để giữ cho trạng thái của cáp không võng quá mức quy định.
Kẹp cáp là cấu kiện dùng để cố định cáp vào công trình cáp, chế tạo bằng vật liệu phù hợp, chịu được tải trọng tác động và không gây tổn thất phát sinh do cảm ứng điện từ với cáp cần cố định.
1.1.3.11 Công tơ điện (Electricity Meter)
Công tơ điện là thiết bị đo đếm điện năng thực hiện tích phân công suất theo thời gian, lưu và hiển thị giá trị điện năng đo đếm được.
1.1.3.12 Cung cấp điện áp cao (High Voltage Providing Electricity)
Cung cấp điện áp cao là phương thức cung cấp điện áp cao vào tận hộ tiêu thụ.
1.1.3.13 Dây dẫn điện (thanh dẫn điện) và cáp điện (Wire and Cable)
Dây dẫn điện (thanh dẫn điện) là dây (thanh) để mang dòng điện, có hoặc không có bọc cách điện.
Dây dẫn trần là dây dẫn điện không bọc cách điện.
Dây bọc là dây dẫn điện được bọc lớp cách điện tối thiểu bằng điện áp pha của đường dây.
Cáp điện là dây dẫn điện, có một hoặc nhiều lõi, được bọc bởi vật liệu cách điện tương ứng với cấp điện áp, có hoặc không có vỏ, đai thép bảo vệ.
1.1.3.14 Dây trung tính (Neutral Conductor)
Dây trung tính là dây dẫn nối trực tiếp với điểm trung tính của máy biến áp hoặc của máy phát điện.
Dây trung tính trong lưới 3 pha 4 dây phải có khả năng dẫn điện không nhỏ hơn 50% khả năng dẫn điện của dây pha.
Dây trung tính làm việc (gọi là dây "không") là dây dẫn để cấp điện cho thiết bị điện:
- Trong lưới điện 3-pha-4-dây, dây này được nối với điểm trung tính nối đất trực tiếp của máy biến áp hoặc máy phát điện;
- Với nguồn điện một chiều, dây này được nối vào điểm giữa được nối đất của nguồn cấp. Đây cũng là dây cân bằng có nhiệm vụ dẫn dòng điện về khi phụ tải trên các đầu cực không cân bằng.
Dây bảo vệ tiếp đất ở các thiết bị điện đến 1 kV là dây dẫn để nối những bộ phận cần nối với điểm trung tính nối đất của máy biến áp hoặc máy phát trong lưới điện 3 pha.
Dây trung tính có thể sử dụng làm dây bảo vệ tiếp đất.
1.1.3.15 Dòng điện chạm đất (Earth Fault Current)
Dòng điện chạm đất là dòng điện truyền xuống đất qua điểm chạm đất.
Dòng điện chạm đất lớn là dòng điện chạm đất 1 pha lớn hơn 500A đối với các thiết bị có điện áp cao trên 1 kV.
Dòng điện chạm đất nhỏ là dòng điện chạm đất 1 pha nhỏ hơn hoặc bằng 500A đối với các thiết bị có điện áp cao trên 1 kV.
1.1.3.16 Dòng điện lạc mạch (Leakage/Stray Current)
Dòng điện lạc mạch là dòng điện chạy qua một đường không mong muốn trong hệ thống điện, thường là qua các vật liệu cách điện bị hỏng hoặc qua các kết nối không chính xác, thay vì chạy qua các mạch điện được thiết kế để sử dụng dòng điện. Dòng điện này có thể gây ra sự cố như mất an toàn, giảm hiệu suất của hệ thống điện, hoặc làm hỏng thiết bị.
1.1.3.17 Dự phòng nóng (Hot Stand-by)
Dự phòng nóng là tổng công suất khả dụng của các tổ máy phát điện đang chạy không tải hoặc non tải để phát điện nhanh vào hệ thống điện.
1.1.3.18 Dự phòng nguội (Cold Reserve)
Dự phòng nguội là tổng công suất khả dụng của các tổ máy phát điện dự phòng khi cần thiết sẽ khởi động (có thể kéo dài vài giờ) để kết nối vào hệ thống điện.
1.1.3.19 Dự phòng sự cố (Outage Reserve)
Dự phòng sự cố là công suất dự phòng có thể huy động được trong vòng 24 giờ.
1.1.3.20 Điểm đấu nối (Connection point)
Điểm đấu nối là điểm nối thiết bị, lưới điện và nhà máy điện của tổ chức, cá nhân có nhu cầu đấu nối vào hệ thống điện Quốc gia.
1.1.3.21 Điện áp danh định của hệ thống điện (Nominal Voltage)
Điện áp danh định là giá trị điện áp quy định trên danh nghĩa dùng để xác định hoặc nhận dạng một hệ thống điện.
1.1.3.22 Điện áp vận hành trong hệ thống điện (Operating Voltage)
Điện áp vận hành trong hệ thống điện là trị số điện áp trong điều kiện làm việc bình thường, ở một thời điểm và tại một điểm đã cho của hệ thống điện.
1.1.3.23 Điện áp cao nhất (hoặc thấp nhất) của hệ thống (Highest (or Lowest) Voltage of a Power System)
Điện áp vận hành cao nhất (hoặc thấp nhất) của hệ thống là điện áp vận hành cao nhất (hoặc thấp nhất) trong các điều kiện vận hành bình thường ở bất kỳ thời điểm nào và tại bất kỳ điểm nào trong hệ thống.
1.1.3.24 Điện áp cao nhất đối với thiết bị (Highest Voltage for Equipment)
Điện áp cao nhất đối với thiết bị là điện áp pha - pha cao nhất cho thiết bị, theo đó cách điện cũng như các đặc tính điện áp liên quan khác dựa vào các tiêu chuẩn thiết bị tương ứng.
1.1.3.25 Điện áp phục hồi quá độ (Transient Recovery Voltage-TRV)
Điện áp phục hồi quá độ là điện áp khôi phục trong thời gian có đặc tính quá độ khi cắt dòng điện của thiết bị cảm ứng điện từ. Điện áp phục hồi quá độ có thể là dao động hoặc không dao động hoặc kết hợp cả hai phụ thuộc vào các đặc tính của mạch và thiết bị đóng cắt. Nó bao gồm sự dịch chuyển điện áp trung tính của mạch nhiều pha. Điện áp phục hồi quá độ tác động chủ yếu lên cực cắt đầu tiên trong mạch điện 3 pha.
1.1.3.26 Độ lệch điện áp (Voltage deviation)
Độ lệch điện áp được thể hiện bằng phần trăm, giữa điện áp tại một thời điểm đã cho tại một điểm của hệ thống và điện áp đối chiếu như: điện áp danh định, trị số trung bình của điện áp vận hành, hoặc điện áp cung cấp, v.v. theo thỏa thuận.
1.1.3.27 Độ ổn định của hệ thống điện (Power System Stability)
Độ ổn định hệ thống điện là khả năng của hệ thống điện, với điều kiện vận hành ban đầu xác định, trở lại chế độ vận hành bình thường hoặc chế độ cân bằng xác lập sau khi xảy ra một kích động vật lý trong hệ thống điện làm thay đổi các thông số vận hành của hệ thống điện.
1.1.3.28 Độ ổn định của phụ tải (Load Stability)
Độ ổn định của phụ tải là khả năng lập lại chế độ xác lập sau một nhiễu loạn của tải.
1.1.3.29 Độ tin cậy cung cấp điện (Service Reliability)
Độ tin cậy cung cấp điện là chỉ tiêu xác định khả năng của hệ thống điện đáp ứng chức năng cung cấp điện trong những điều kiện ổn định và trong khoảng thời gian xác định.
1.1.3.30 Độ an toàn cung cấp điện (Service Security)
Độ an toàn cung cấp điện là chỉ tiêu xác định khả năng của một hệ thống điện thực hiện chức năng cung cấp điện trong trường hợp sự cố.
1.1.3.31 Độ võng lớn nhất (Maximum sag)
Độ võng lớn nhất là trạng thái tính toán dây dẫn khi đồng thời chịu tác động khắc nghiệt nhất của các yếu tố ảnh hưởng như dòng điện qua dây dẫn, nhiệt độ môi trường xung quanh, tải trọng gió.
1.1.3.32 Đơn vị vận hành hệ thống điện và thị trường điện Quốc gia
Đơn vị vận hành hệ thống điện và thị trường điện là đơn vị thực hiện quyền và nghĩa vụ của Đơn vị điều độ hệ thống điện quốc gia và Đơn vị điều hành giao dịch thị trường điện theo quy định tại Luật Điện lực.
1.1.3.33 Lưới điện hạ áp (Low voltage grid)
Lưới điện hạ áp là lưới điện có điện áp danh định đến 1 kV.
1.1.3.34 Lưới điện áp cao (High voltage grid)
Lưới điện áp cao là lưới điện có điện áp danh định trên 1 kV.
1.1.3.35 Lưới điện phân phối điện (Distribution grid)
Lưới điện phân phối điện là phần lưới điện bao gồm toàn bộ các đường dây và trạm biến áp có cấp điện áp đến 110 kV.
1.1.3.36 Lưới điện truyền tải điện (Transmission grid)
Lưới điện truyền tải điện phần lưới điện bao gồm toàn bộ các đường dây và trạm biến áp có cấp điện áp trên 110 kV.
1.1.3.37 Đường dây dẫn điện trên không (ĐDK) (Overhead Power Line)
ĐDK là đường dây truyền tải hoặc phân phối điện năng lắp đặt ngoài trời, dùng dây dẫn điện, mắc trên vật cách điện và phụ kiện, bố trí trên cột hoặc trên kết cấu của công trình.
1.1.3.38 Đường cáp điện (Power Cable Lines)
Đường cáp điện là đường dây truyền tải điện hoặc đường dây phân phối điện sử dụng dây cáp, lắp đặt ngầm dưới đất, trong các công trình cáp, dưới nước (sông, biển), trong nhà xưởng sản xuất, v.v. và được kết nối bằng hộp đầu cáp, hộp nối cáp và các chi tiết giữ cáp.
1.1.3.39 Điện trở nối đất (Resistance of Earthing)
Điện trở nối đất là tổng trở của hệ thống nối đất bao gồm dây nối đất, điện cực tiếp đất.
1.1.3.40 Giá trị định mức (Rated value)
Giá trị định mức là giá trị của một đại lượng, thường do nhà chế tạo ấn định cho điều kiện vận hành quy định đối với một phần tử, một thiết bị hoặc dụng cụ.
1.1.3.41 Gian điện (Electrical Hall)
Gian điện là gian nhà hoặc phần của nhà được ngăn riêng để đặt thiết bị điện và/hoặc tủ bảng điện.
a) Gian khô là gian có độ ẩm tương đối không vượt quá 75%. Trong trường hợp không có những điều kiện quy định trong gian hoặc chỗ như ở dưới đây (gian nóng, gian bụi, chỗ có môi trường hóa chất hoạt tính mạnh), thì những gian như vậy gọi là gian bình thường;
b) Gian ẩm là gian có độ ẩm tương đối vượt quá 75%;
c) Gian rất ẩm là gian có độ ẩm tương đối xấp xỉ 100% (trần, sàn nhà và đồ vật ở trong nhà đổ mồ hôi);
d) Gian nóng là gian có nhiệt độ vượt quá +35 o C trong thời gian 24 giờ liên tiếp;
đ) Gian nguy cơ cháy nổ là gian lắp thiết bị có thể gây nguy cơ cháy nổ;
e) Gian hoặc nơi bụi là gian hoặc nơi có nhiều bụi, được chia thành gian (hoặc nơi) có thành phần dẫn điện và không có thành phần dẫn điện.
g) Gian hoặc nơi nguy hiểm là gian hoặc nơi có một trong những yếu tố sau:
- Ướt hoặc có bụi dẫn điện (Xem “Gian ẩm” và “Gian bụi”);
- Nền, sàn nhà dẫn điện (bằng kim loại, đất, bê tông, cốt thép, gạch v.v.);
- Nhiệt độ cao (xem “Gian nóng”);
- Có khả năng để người tiếp xúc đồng thời với một bên là kết cấu kim loại của nhà cửa hoặc thiết bị công nghệ, máy móc v.v. đã nối đất và bên kia là vỏ kim loại của thiết bị điện;
- Có cường độ điện trường lớn hơn mức cho phép.
h) Gian hoặc nơi rất nguy hiểm là gian hoặc nơi có một trong những yếu tố sau:
- Rất ẩm (xem “Gian rất ẩm”);
- Có hoạt tính hóa học (xem "nơi có môi trường hoạt tính hóa học”);
- Đồng thời có hai yếu tố của gian nguy hiểm.
i) Gian hoặc nơi ít nguy hiểm là gian hoặc nơi không thuộc một trong hai loại trên.
k) Gian hoặc nơi môi trường có hoạt tính hóa học là nơi thường xuyên hoặc trong thời gian dài có chứa hơi, khí, chất lỏng có thể tạo ra các chất, nấm mốc dẫn đến phá hỏng phần cách điện và/hoặc phần dẫn điện của thiết bị điện.
1.1.3.42 Hành lang bảo vệ an toàn lưới điện (Safety clearance zone)
Hành lang bảo vệ an toàn công trình lưới điện là vùng xung quanh công trình điện lực cần có biện pháp bảo vệ để bảo đảm an toàn cho con người và công trình điện lực, được xác định trên không, trên mặt đất, dưới lòng đất, trên mặt nước, dưới mặt nước tùy thuộc từng loại công trình điện lực
Hành lang bảo vệ an toàn công trình lưới điện bao gồm:
a) Hành lang bảo vệ an toàn đường dây dẫn điện trên không;
b) Hành lang bảo vệ an toàn đường cáp điện ngầm;
c) Hành lang bảo vệ an toàn trạm điện;
1.1.3.43 Hành lang vận hành (Operating Corridor)
Hành lang vận hành là hành lang dọc theo các tủ điện hoặc tủ TBPP trọn bộ để vận hành thiết bị điện.
1.1.3.44 Hành lang thoát nổ (Explosion Release Corridor)
Hành lang thoát nổ là hành lang mà cửa của ngăn nổ mở ra phía đó.
1.1.3.45 Hệ thống điện (Electric Power System)
Hệ thống điện là hệ thống bao gồm một hoặc nhiều nguồn phát điện, cùng các cơ sở hạ tầng truyền tải và phân phối được kết nối, vận hành nhằm cung cấp điện năng.
1.1.3.46 Hệ thống lưới điện (Power Network System)
Hệ thống lưới điện là hệ thống bao gồm các công trình lưới điện truyền tải và phân phối điện có cấp điện áp đến 500 kV.
1.1.3.47 Hệ thống điện Quốc gia (National Power System)
Hệ thống điện Quốc gia là hệ thống các thiết bị phát điện, lưới điện và các thiết bị phụ trợ được liên kết với nhau và được chỉ huy thống nhất trong phạm vi cả nước.
1.1.3.48 Hệ thống SCADA (Supervisory Control And Data Acquisition System)
Hệ thống SCADA là một hệ thống để thu thập dữ liệu nhằm phục vụ việc giám sát, điều khiển và vận hành hệ thống điện, thiết bị điện.
1.1.3.49 Hệ thống bù công suất phản kháng (Reactive Power Compensation System)
Hệ thống bù công suất phản kháng là hệ thống bù bằng thiết bị bù tĩnh hoặc thiết bị bù quay đồng bộ.
1.1.3.50 Hệ số không cân bằng pha (Imbalance Factor)
Hệ số không cân bằng pha được biểu diễn bằng tỷ lệ (phần trăm) giữa giá trị hiệu dụng của thành phần thứ tự nghịch (hoặc thành phần thứ tự không) đối với thành phần thứ tự thuận của điện áp hoặc dòng điện trong hệ thống điện 3 pha.
1.1.3.51 Hệ dẫn điện (Electrical System)
Hệ dẫn điện là tập hợp các cột điện, vật cách điện, dây dẫn điện, thanh dẫn điện, cáp điện, các phụ kiện và các thiết bị bảo vệ liên quan làm nhiệm vụ truyền tải công suất điện hoặc tín hiệu điện.
Theo loại vật liệu sử dụng và vị trí lắp đặt, hệ dẫn điện được chia thành:
a) Hệ dẫn điện mềm: sử dụng dây dẫn mềm, thanh dẫn mềm;
b) Hệ dẫn điện cứng: sử dụng thanh dẫn cứng;
c) Hệ dẫn điện lắp đặt trong nhà:
- Lắp đặt hở: các đường dây điện lắp đặt trên bề mặt tường, trần nhà, vì kèo và các phần kiến trúc khá
bên trong của tòa nhà và công trình, mà không được che chắn cách ly với môi trường xung quanh;
- Lắp đặt kín: các đường dây điện lắp đặt bên trong phần kiến trúc của tòa nhà và công trình bảo đảm người, vật không tiếp cận được.
d) Hệ dẫn điện lắp đặt ngoài trời:
- Lắp đặt hở: các ĐDK, các đường dây điện được lắp đặt ở bên ngoài các công trình xây dựng, v.v. mà không được che chắn cách ly với môi trường xung quanh;
- Lắp đặt kín: các đường dây điện được lắp đặt kín ở bên trong các kết cấu công trình xây dựng, v.v.
đ) Hệ dẫn điện mở rộng:
Hệ dẫn điện mở rộng là hệ dẫn điện được lắp đặt để nối đường dây truyền tải hiện có với nhà máy điện, trạm biến áp hoặc đường dây mới được xây dựng.
1.1.3.52 Hệ thống đóng cắt cách điện khí (GIS) (Gas Insulated Switchgear )
Hệ thống đóng cắt cách điện khí (GIS) là bộ phận đóng cắt được đặt kín và phần cách điện bên trong bằng khí cách điện có áp lực.
1.1.3.53 Hệ thống điều khiển từ xa (Remote Control Systems)
Hệ thống điều khiển từ xa bao gồm điều khiển từ xa, tín hiệu từ xa, thu thập số liệu từ xa, các hệ thống đo lường xa và điều chỉnh xa.
1.1.3.54 Hệ thống nối đất (Earthing System)
Hệ thống nối đất là tất cả những điện cực tiếp đất và dây nối đất.
Điện cực tiếp đất là nhóm các dây tiếp đất và cọc tiếp đất được liên kết với nhau, chôn dưới đất và tiếp xúc trực tiếp với đất.
Dây nối đất là vật dẫn bằng kim loại để nối một phần của thiết bị điện với điện cực tiếp đất.
1.1.3.55 Khả năng quá tải (Overload Capacity)
Khả năng quá tải là tải cao nhất có thể duy trì trong một thời gian ngắn.
1.1.3.56 Khoảng trống làm việc nhỏ nhất (Minimum Working Clearance)
Khoảng trống làm việc nhỏ nhất là khoảng không gian nhỏ nhất để bảo đảm an toàn, được duy trì giữa phần mang điện với người làm việc hoặc với dụng cụ dẫn điện mà người làm việc đang sử dụng.
1.1.3.57 Khoảng trống cách điện nhỏ nhất (Minimum Clearance)
Khoảng trống cách điện nhỏ nhất là khoảng cách ly nhỏ nhất trong không khí, khoảng trống này phải bảo đảm giữa phần mang điện với đất hoặc các phần mang điện với nhau.
1.1.3.58 Mạch nhị thứ (Secondary Circuits)
Mạch nhị thứ là tập hợp bao gồm mạch điều khiển, đo lường, tín hiệu, kiểm tra, tự động và mạch bảo vệ của các hoạt động điện.
1.1.3.59 Mạng cáp ngoại vi viễn thông (Peripheral cable telecommunications network)
Mạng cáp ngoại vi viễn thông là bộ phận của mạng lưới viễn thông chủ yếu nằm bên ngoài nhà trạm viễn thông, bao gồm tất cả các cáp viễn thông được treo nổi, chôn trực tiếp, đi trong cống bể, đi trong các đường hầm.
1.1.3.60 Mức ồn (Noise Level)
Mức ồn là độ ồn cho phép do thiết bị khi vận hành gây ra không làm ảnh hưởng đến sức khỏe của con người sống trong khu vực bị ảnh hưởng.
1.1.3.61 Mức cách điện (Insulation Level)
Mức cách điện là đặc tính được xác định bởi một số chỉ số biểu thị bằng điện áp chịu đựng cho cách điện của thiết bị. Mức cách điện phải được chọn cụ thể theo điện áp xác lập cao nhất cho thiết bị (Um), điện áp chịu đựng ngắn hạn ở tần số công nghiệp, mức cách điện xung cơ bản (BIL) và điện áp chịu xung khi đóng cắt danh định.
1.1.3.62 Mức cách điện xung cơ bản (Basic Impulse Insulation Level - BIL)
Mức cách điện xung cơ bản là sức bền cách điện của thiết bị đối với xung điện áp, được biểu diễn bằng giá trị đỉnh của sóng điện áp xung (sét) chuẩn và được sử dụng để thể hiện khả năng chịu đựng của cách điện của các thiết bị (như máy biến áp, thiết bị đóng cắt, v.v.) đối với các mức điện áp nhất định.
1.1.3.63 Ngăn lắp đặt điện (Installation Compartments)
Ngăn lắp đặt điện là ngăn trong đó lắp đặt thiết bị điện và thanh dẫn.
Ngăn kín là ngăn lắp đặt điện được che kín tất cả các phía, có một cửa thoát làm bằng cánh kín (không phải tấm lưới).
Ngăn rào chắn là ngăn lắp đặt điện mà ở đó tất cả các phía được rào chắn hoàn toàn hoặc một phần (bằng vật liệu dạng lưới hoặc bằng lưới kết hợp với tấm kín).
Ngăn nổ là ngăn kín dùng để đặt các thiết bị cần được ngăn cách để hạn chế hậu quả do sự cố nổ bên trong. Cửa mở ra phía ngoài hoặc hướng ra phía hành lang thoát nổ.
1.1.3.64 Ổn định tĩnh của hệ thống điện (Static Stability of a Power System)
Ổn định tĩnh của hệ thống điện là sự ổn định của hệ thống điện sau các nhiễu loạn có biên độ tương đối nhỏ và tốc độ biến thiên chậm.
1.1.3.65 Ổn định động của hệ thống điện (Dynamic Stability of a Power System)
Ổn định động của hệ thống điện là sự trở về ổn định tĩnh của hệ thống điện trong đó các trị số nhiễu loạn có thể có biên độ và/hoặc tốc độ biến thiên tương đối nhanh.
1.1.3.66 Ổn định có điều kiện của hệ thống điện (Conditional Stability of a Power System)
Ổn định có điều kiện của hệ thống điện là sự trở về trạng thái ổn định tĩnh của hệ thống điện khi được hỗ trợ của điều khiển tự động.
1.1.3.67 Phân phối điện (Distribution of electricity)
Phân phối điện là sự phân phối điện năng tới các khách hàng tiêu thụ điện.
1.1.3.68 Phối hợp cách điện (Insulation Co-ordination)
Phối hợp cách điện là sự lựa chọn độ bền điện môi của thiết bị và các đặc tính của thiết bị bảo vệ có tính đến điện áp có thể xuất hiện trên hệ thống.
1.1.3.69 Phục hồi điện áp (Voltage Recovery)
Phục hồi điện áp là sự phục hồi điện áp tới một trị số gần với trị số trước đó của nó sau khi điện áp bị suy giảm hoặc bị mất điện áp.
1.1.3.70 Quá điện áp (Overvoltage)
Quá điện áp là điện áp bất kỳ giữa pha và đất hoặc giữa các pha với đỉnh vượt quá trị số đỉnh tương ứng của điện áp cao nhất của thiết bị.
1.1.3.71 Quá điện áp tạm thời (Temporary Overvoltage)
Quá điện áp tạm thời là một giá trị quá điện áp dao động (ở tần số của lưới) tại một vị trí xác định mà không giảm được hoặc tắt dần trong một thời gian tương đối lâu.
1.1.3.72 Quá điện áp quá độ (Transient Overvoltage)
Quá điện áp quá độ là quá điện áp diễn ra trong thời gian ngắn, vài mi-li giây hoặc ngắn hơn, có dao động hoặc không dao động, thường tắt nhanh.
1.1.3.73 Quá điện áp thao tác (Switching Overvoltage)
Quá điện áp thao tác là quá điện áp quá độ có hình dạng tương tự với dạng xung điện áp đóng cắt tiêu chuẩn, được đánh giá cho mục đích phối hợp cách điện.
1.1.3.74 Quá điện áp sét (Lightning Overvoltage)
Quá điện áp sét là quá điện áp quá độ có hình dạng tương tự với hình dạng của xung sét tiêu chuẩn, được đánh giá cho mục đích phối hợp cách điện.
1.1.3.75 Quá điện áp cộng hưởng (Resonant Overvoltage)
Quá điện áp cộng hưởng là quá điện áp phát sinh do dao động cộng hưởng duy trì trong hệ thống điện.
1.1.3.76 Quy hoạch hệ thống điện (Power System Planning)
Quy hoạch hệ thống điện là quy hoạch cấp Quốc gia hoặc quy hoạch cấp tỉnh là toàn bộ các nghiên cứu và chương trình liên quan đến sự phát triển của hệ thống điện, bảo đảm các tính năng kinh tế - kỹ thuật, bảo đảm yêu cầu tăng trưởng phụ tải điện.
1.1.3.77 Quy trình vận hành (Operation regulation)
Quy trình vận hành là những quy định nhằm đảm bảo việc vận hành được thực hiện đáp ứng các chỉ số kinh tế, các tiêu chuẩn kỹ thuật, tính đồng bộ và an toàn, độ tin cậy của hệ thống điện do các cơ quan nhà nước có thẩm quyền ban hành cho việc lập kế hoạch, phương thức và vận hành hệ thống điện.
1.1.3.78 Sa thải phụ tải (Load Shedding)
Sa thải phụ tải là quá trình ngắt kết nối có tính toán các phụ tải đã được lựa chọn trước ra khỏi hệ thống điện liên quan đến điều kiện bất bình thường để duy trì sự ổn định cho phần còn lại của hệ thống điện.
1.1.3.79 Sơ đồ hệ thống điện (Power System Diagram)
Sơ đồ hệ thống điện là sơ đồ thể hiện các thông tin về hệ thống điện, nội dung thông tin tùy thuộc vào các yêu cầu cụ thể.
1.1.3.80 Sơ đồ vận hành hệ thống điện (Power System Operational Diagram)
Sơ đồ vận hành hệ thống điện là sơ đồ biểu thị một phương thức vận hành nhất định.
1.1.3.81 Sự làm việc đồng bộ của hệ thống điện (Synchronous Operation of Power Systems)
Sự làm việc đồng bộ của hệ thống điện là trạng thái của hệ thống điện trong đó tất cả các nhà máy điện làm việc đồng bộ với nhau.
1.1.3.82 Sự tăng cường của hệ thống điện (Reinforcement of a Power System)
Sự tăng cường của hệ thống điện là sự tăng thêm hoặc thay thế một số phần tử của hệ thống điện (như các máy biến áp, đường dây, máy phát điện, v.v.) để hệ thống có thể đáp ứng sự gia tăng phụ tải hoặc cung cấp điện bảo đảm chất lượng.
1.1.3.83 Sự phục hồi tải (Load Recovery)
Sự phục hồi tải là sự tăng tải trở lại của hộ tiêu thụ điện hoặc hệ thống điện sau khi phục hồi điện áp, tốc độ phục hồi phụ thuộc vào các đặc tính của tải.
1.1.3.84 Sự tăng vọt điện áp (Voltage Surge)
Sự tăng vọt điện áp là sóng điện áp quá độ lan dọc đường dây hoặc một mạch điện, đặc trưng bởi sự tăng điện áp rất nhanh, sau đó giảm dần với tốc độ chậm hơn.
1.1.3.85 Sự không cân bằng điện áp (Voltage Unbalance)
Sự không cân bằng điện áp là hiện tượng khác nhau giữa điện áp trên các pha, do sự khác nhau giữa các dòng điện tải hoặc sự không đối xứng hình học trên đường dây.
1.1.3.86 Sự cố chạm đất (Earth Fault)
Sự cố chạm đất là sự tiếp xúc điện giữa các phần đang mang điện của thiết bị điện với kết cấu không cách điện với đất, hoặc trực tiếp với đất.
Sự cố chạm vỏ là hiện tượng chạm điện xảy ra giữa các bộ phận đang mang điện của thiết bị, máy móc với vỏ của chúng hoặc với các cấu trúc được nối đất.
1.1.3.87 Thiết bị bảo vệ (Protective Devices)
Thiết bị bảo vệ là thiết bị tự động cắt mạch điện được bảo vệ khi bị sự cố xảy ra trong mạch đó.
1.1.3.88 Thiết bị điện (Electrical Equipment)
Thiết bị điện là phần tử hoặc bộ phận dùng để sản xuất, biến đổi, truyền tải, phân phối và tiêu thụ điện năng. Các thiết bị điện trong Quy chuẩn kỹ thuật này được chia thành 2 loại:
- Loại có điện áp đến 1 kV;
- Loại có điện áp trên 1 kV.
1.1.3.89 Thiết bị điện ngâm dầu (Oil-Immersed Electrical Equipment)
Thiết bị điện ngâm dầu là thiết bị có bộ phận ngâm trong dầu để tránh tiếp xúc với môi trường xung quanh, tăng cường cách điện, làm mát.
1.1.3.90 Thiết bị điện chống cháy nổ (Explosive Resistant Electrical Equipment)
Thiết bị điện chống cháy nổ là thiết bị điện được chế tạo đặc biệt để sử dụng trong môi trường dễ cháy nổ ở mọi cấp.
1.1.3.91 Thiết bị phân phối (TBPP) (Distribution Equipment)
TBPP là các thiết bị điện dùng trong hệ thống phân phối điện năng, gồm các máy cắt, các dao cách ly, các trang bị điều khiển, bảo vệ và đo lường, các thanh dẫn, các cấu trúc liên quan và các thiết bị phụ trợ (khí nén, ắc quy, v.v.).
1.1.3.92 Thời gian loại trừ sự cố (Fault Clearing Time)
Thời gian loại trừ sự cố là khoảng thời gian từ khi sự cố bắt đầu đến khi sự cố được loại trừ.
1.1.3.93 Tổn thất điện áp đường dây (Line Voltage Drop)
Tổn thất điện áp đường dây là điện áp chênh lệch tại một thời điểm đã cho giữa hai giá trị điện áp được đo tại hai vị trí xác định trên một đường dây.
1.1.3.94 Trạm biến áp (TBA) (Transformer Substation)
TBA là công trình biến đổi điện áp và truyền tải công suất điện qua máy biến áp, TBA được chia thành các loại:
TBA ngoài trời là trạm mà các thành phần chính của nó như các máy biến áp, các máy cắt, và các thanh dẫn được đặt ngoài trời.
TBA trong nhà là trạm được bố trí trong nhà.
TBA liền nhà là TBA xây dựng liền với nhà chính.
TBA phân xưởng là TBA bố trí trong nhà phân xưởng sản xuất (đặt chung phòng hoặc trong gian riêng).
TBA trọn bộ là TBA gồm MBA và các khối thiết bị phân phối điện hợp bộ đã được lắp ráp sẵn toàn bộ hoặc từng khối (trạm ki-ốt, trạm trụ thép hợp bộ, v.v...).
TBA trọn bộ trong nhà là TBA trọn bộ bố trí trong nhà.
TBA trọn bộ ngoài trời là TBA trọn bộ bố trí ngoài trời.
TBA trên cột là TBA ngoài trời, máy biến áp được đặt trên cột hoặc kết cấu trên cao, ở độ cao an toàn về điện, không có rào chắn xung quanh.
TBA truyền tải là TBA có cấp điện áp 220 kV trở lên.
TBA phân phối là trạm biến áp có điện áp đến 35 kV và TBA 110 kV làm nhiệm vụ phân phối điện cho khách hàng tiêu thụ.
1.1.3.95 Trạm cắt (Switching Station)
Trạm cắt Trạm cắt là một trạm điện trong hệ thống điện, nơi thực hiện các thao tác đóng cắt để phân phối hoặc chuyển mạch mà không có chức năng biến đổi điện áp. (có thể có MBA tự dùng).
1.1.3.96 Trạm điện (Substation)
Trạm điện là một bộ phận của hệ thống lưới điện, được giới hạn trong một khu vực xác định, bao gồm chủ yếu các điểm đấu nối của đường dây truyền tải hoặc phân phối, thiết bị đóng cắt và nhà trạm; đồng thời có thể bao gồm cả máy biến áp. Trạm điện thường được trang bị các thiết bị để bảo vệ và điều khiển.
Tùy theo tính chất của hệ thống mà trạm điện trực thuộc, có thể sử dụng tiền tố để xác định loại trạm
Ví dụ: Trạm truyền tải (thuộc lưới truyền tải), trạm phân phối, trạm 220 kV, trạm 110 kV,...
1.1.3.97 Trạng thái cân bằng của lưới điện nhiều pha (Balanced State of a Polyphase Network)
Trạng thái cân bằng của lưới điện nhiều pha là chế độ vận hành trong đó điện áp và dòng điện trong các dây dẫn pha tạo thành hệ thống nhiều pha cân bằng.
1.1.3.98 Trạng thái không cân bằng của lưới điện nhiều pha (Unbalanced State of a Polyphase Network)
Trạng thái không cân bằng của lưới điện nhiều pha là chế độ vận hành trong đó điện áp và/hoặc dòng điện trong các dây dẫn pha không tạo thành hệ thống nhiều pha cân bằng.
1.1.3.99 Truyền tải điện (Power Transmission)
Truyền tải điện là sự chuyển tải năng lượng điện từ khu vực này đến khu vực khác.
1.1.3.100 Vị trí và cách lắp đặt thiết bị điện
Thiết bị điện ngoài trời là các thiết bị điện được lắp đặt ở ngoài trời.
- Thiết bị điện ngoài trời kiểu hở: bao gồm các thiết bị điện khi lắp đặt không được che bọc bảo vệ chống tiếp xúc trực tiếp và không được che chắn, ngăn ngừa tác động với môi trường;
- Thiết bị điện ngoài trời kiểu kín: bao gồm các thiết bị điện khi lắp đặt có vỏ che bọc bảo vệ để chống tiếp xúc trực tiếp và tác động với môi trường.
Thiết bị điện trong nhà bao gồm các thiết bị điện được lắp đặt trong phòng kín.
- Thiết bị điện trong nhà kiểu hở: là các thiết bị điện không được bảo vệ hoàn toàn để chống tiếp xúc trực tiếp;
- Thiết bị điện trong nhà kiểu kín: bao gồm các thiết bị được bảo vệ hoàn toàn để chống tiếp xúc trực tiếp.
1.1.3.101 Vật liệu kỹ thuật điện (Electrical Materials)
Vật liệu kỹ thuật điện là những vật liệu được sử dụng trong kỹ thuật điện.
1.1.3.102 Vùng điện áp "không" (Zero Area of Voltage)
Vùng điện áp "không" là vùng ở ngoài phạm vi của vùng tản của dòng điện chạm đất.
1.2 NHỮNG YÊU CẦU CHUNG
1.2.1 Thiết kế hệ thống điện
1.2.1.1 Thiết kế xây dựng mới hoặc cải tạo hệ thống điện phải sử dụng sơ đồ cung cấp điện hợp lý với mức điện áp phù hợp, đơn giản và tin cậy, đồng thời phải xét đến khả năng mở rộng từng bước theo kế hoạch phát triển trong tương lai, sử dụng các thiết bị điện, vật liệu điện có đặc tính kỹ thuật tiên tiến, thích hợp với điều kiện làm việc của công trình, phù hợp với điện áp danh định của lưới điện, với điều kiện môi trường và với những yêu cầu nêu trong Quy chuẩn kỹ thuật này.
1.2.1.2 Thiết kế các kết cấu, phương pháp lắp đặt phải đáp ứng các yêu cầu của công trình, điều kiện môi trường và các yêu cầu về an toàn điện, an toàn phòng cháy chữa cháy.
1.2.1.3 Chọn vị trí xây dựng nguồn cung cấp điện vào gần trung tâm phụ tải.
1.2.1.4 Sơ đồ phân phối điện phải bảo đảm cung cấp điện cho các hộ tiêu thụ điện, các dây chuyền sản xuất trong điều kiện bình thường và trong điều kiện sự cố.
Khi thiết kế hệ thống điện nên sử dụng các thiết bị tự động đóng lại, tự động đóng nguồn dự phòng; tự động sa thải (nguồn, phụ tải, ...); liên động để nâng cao mức độ an toàn cung cấp điện.
1.2.1.5 Khi thiết kế, hệ thống điện phải đáp ứng các yêu cầu về phòng chống thiên tai ứng với cấp độ rủi ro thiên tai cao nhất đã xảy ra tại địa bàn xây dựng công trình.
1.2.2 Thỏa thuận với đơn vị quản lý lưới điện
Chủ đầu tư các nhà máy điện, các hộ sử dụng điện và các đơn vị khác khi đấu nối với hệ thống điện Quốc gia phải thoả thuận với đơn vị quản lý vận hành lưới điện theo quy định hiện hành.
1.2.3 Phương án cấp điện
Phương án cấp điện phải dựa trên cơ sở bảo đảm các chỉ tiêu kỹ thuật, các chỉ tiêu kinh tế tài chính đối với vốn đầu tư, chi phí khai thác hàng năm cho công trình với thời gian hoàn vốn để lựa chọn phương án tối ưu.
Việc cấp điện cho các hộ tiêu thụ bao gồm cả việc chọn số lượng và cách bố trí hệ thống điện phải có phương án tổng thể phù hợp nhu cầu phụ tải trong khu vực, dựa trên cơ sở điều tra phụ tải điện và dự kiến phát triển kinh tế ở địa phương trong 10 năm, đồng thời phải xét đến điều kiện tạm thời. Ngoài ra còn phải tính đến các khả năng và biện pháp giảm dòng điện ngắn mạch và giảm tổn thất điện năng.
1.2.4 Kế hoạch phát triển điện và sử dụng điện
1.2.4.1 Thiết kế, xây dựng, nâng cấp công trình điện phải phù hợp với quy hoạch phát triển điện và phải có khả năng mở rộng trong tương lai, ít nhất trong vòng 10 năm tiếp theo.
1.2.4.2 Đường dây và máy biến áp nối nhà máy điện chuyên dùng vào hệ thống điện Quốc gia phải được thiết kế tương xứng với công suất của nhà máy điện chuyên dùng để có thể tải điện năng vào hệ thống điện hoặc nhận điện năng từ hệ thống điện khi có nhu cầu.
1.2.4.3 Khi công suất tiêu thụ của các cơ sở công nghiệp nhỏ hơn khả năng tải của đường dây cấp điện thì có thể kết hợp cấp điện cho các hộ dân cư bên ngoài cơ sở công nghiệp.
1.2.5 Xây lắp, vận hành và kiểm tra
1.2.5.1 Xây lắp công trình điện bằng các thiết bị và vật liệu đáp ứng với yêu cầu kỹ thuật về chịu lực, về độ bền cách điện và phù hợp với các điều kiện môi trường.
1.2.5.2 Vận hành công trình điện theo quy trình vận hành, theo hướng dẫn của nhà chế tạo để khai thác tối ưu hệ thống điện trong sản xuất cũng như truyền tải, phân phối điện.
1.2.5.3 Kiểm tra hệ thống điện trong quá trình thi công công trình, kiểm tra, nghiệm thu công trình cũng như kiểm tra đột xuất, thường xuyên hoặc định kỳ nhằm phát hiện những sai sót để có biện pháp xử lý kịp thời bảo đảm cho hệ thống điện vận hành an toàn, liên tục.
1.2.6 Chất lượng điện
Công trình điện phải được thiết kế, xây dựng và vận hành bảo đảm yêu cầu chất lượng theo quy định về điện áp, tần số, hệ số công suất, sóng hài, sự nhấp nháy của điện áp, dòng ngắn mạch và thời gian loại trừ sự cố
1.2.7 Bảo vệ an toàn
1.2.7.1 Để tránh tai nạn ảnh hưởng tới con người do dòng điện và hồ quang điện gây ra, tất cả các thiết bị điện phải được bảo vệ thích hợp theo đúng các tiêu chuẩn liên quan tới sử dụng điện, kiểm định, thử nghiệm và các quy chuẩn kỹ thuật về an toàn điện.
Các dụng cụ điện và thiết bị điện trong nhà ở, nhà công cộng, cửa hàng, v.v. phần mang điện phải được che chắn bằng tấm che không có lỗ; trong gian sản xuất và gian điện được phép dùng tấm che có lỗ hoặc kiểu lưới.
1.2.7.2 Các biện pháp bảo đảm an toàn như sau:
a) Dùng loại cách điện thích hợp. Trường hợp cá biệt phải dùng cách điện tăng cường;
b) Bố trí cự ly thích hợp đến phần dẫn điện hoặc bọc kín phần dẫn điện;
c) Dùng khóa liên động cho thiết bị và cho rào chắn để ngăn ngừa thao tác nhầm;
d) Cắt tự động tin cậy và nhanh chóng cách ly những phần thiết bị điện bị sự cố và những khu vực lưới điện bị hư hỏng;
đ) Nối không, nối đất vỏ thiết bị điện và mọi phần tử có thể bị chạm điện; tiếp đất chống ngăn mạch; tiếp đất chống điện áp cảm ứng;
e) Trang bị hệ thống chiếu sáng đủ ánh sáng để làm việc và xử lý sự cố;
g) Trang bị hệ thống phòng cháy, chữa cháy;
h) San bằng điện thế, dùng máy biến áp cách ly hoặc dùng điện áp 42 V trở xuống;
i) Dùng hệ thống báo tín hiệu, biển báo và bảng cấm;
k) Làm rào chắn;
l) Dùng trang bị phòng hộ;
m) Duy trì đúng khoảng cách an toàn theo cấp điện áp;
n) Áp dụng các quy định về cường độ điện trường E (kV/m) được quy định tại điểm
1.8.1.1 và 1.8.1.2 của quy chuẩn kỹ thuật này.
1.2.8 Hệ thống điều khiển, bảo vệ và đo lường
1.2.8.1 Ở tất cả các phần tử trong hệ thống điện phải được trang bị hệ thống bảo vệ và đo lường phù hợp với quy định cho phần tử đó.
1.2.8.2 Đối với trạm điện có điện áp 110 kV trở lên không có người trực phải trang bị hệ thống điều khiển có khả năng điều khiển từ xa và được kết nối tới cấp điều độ có quyền điều khiển hoặc trung tâm điều khiển theo đúng quy định để thực hiện điều khiển từ xa.
1.2.8.3 Ở tất cả các công trình điện, nguồn cung cấp điện, hộ tiêu thụ điện đều phải lắp hệ thống đo đếm điện năng để xác định chính xác, đầy đủ các đại lượng đo đếm, giao nhận điện năng qua điểm đấu nối. Hệ thống đo đếm điện năng phải được bố trí ở vị trí theo quy định, có cấp chính xác theo quy định và phải được bảo vệ theo quy định.
1.2.9 Yêu cầu kỹ thuật về thiết bị điện
1.2.9.1 Thiết bị điện
Kết cấu, công dụng, phương pháp lắp đặt, cấp cách điện của vật liệu và thiết bị điện phải phù hợp với điện áp danh định của lưới điện hoặc thiết bị điện, với điều kiện môi trường và với những yêu cầu kỹ thuật nêu trong Quy chuẩn kỹ thuật này.
1.2.9.2 Phòng chống cháy
Phòng cháy và chữa cháy cho thiết bị điện có thể gây cháy phải thực hiện theo các yêu cầu kỹ thuật nêu trong các phần tương ứng của Quy chuẩn kỹ thuật này và các quy định của cơ quan quản lý về phòng cháy, chữa cháy.
1.2.9.3 Bảo vệ chống sét
Bảo vệ chống sét bằng thiết bị chống sét hoặc dây chống sét trong những trường hợp quy định.
Khi thiết kế, cột điện phải đáp ứng yêu cầu an toàn ứng với cấp độ gió cao nhất đã xảy ra trên địa bàn xây dựng công trình
1.2.9.4 Bảo vệ chống tác động của môi trường
Hệ thống mã hóa (IP) là một hệ thống để chỉ các mức bảo vệ được che chắn chống tiếp xúc với các bộ phận nguy hiểm, chống xâm nhập của các vật thể rắn hoặc môi trường bên ngoài vào và các thông tin liên quan đến bảo vệ.
Chi tiết mã IP được quy định tại TCVN 4255
Cấp bảo vệ bằng vỏ ngoài (mã IP) đảm bảo phù hợp với các yêu cầu kỹ thuật và an toàn trong vận hành thiết bị điện.
1.2.9.5 Nguồn điện thao tác
Cho phép dùng điện xoay chiều và một chiều làm nguồn thao tác nội bộ. Ưu tiên nguồn điện một chiều làm nguồn điện thao tác nội bộ.
1.2.9.6 Nhiệt độ bề mặt tăng cao do bức xạ mặt trời
Thiết bị điện đặt trong nhà có thể bỏ qua ảnh hưởng của bức xạ mặt trời. Đối với thiết bị bố trí ở ngoài trời, bị ánh sáng mặt trời chiếu trực tiếp cần phải có giải pháp để giảm nhiệt độ tăng cao trên bề mặt thiết bị.
1.2.9.7 Rò khí SF6
Trong gian điện có các thiết bị chứa khí SF6 bố trí trên mặt đất, sử dụng thông gió tự nhiên. Trong những trường hợp này một nửa diện tích các lỗ thông gió phải nằm gần mặt đất. Nếu không đạt yêu cầu trên phải có thông gió cưỡng bức.
1.2.9.8 Phân biệt các phần tử trong hệ thống điện
Trong công trình điện cần có biện pháp để dễ phân biệt các phần tử khác nhau như vẽ sơ đồ, lược đồ bố trí thiết bị, kẻ chữ, đánh số hiệu, ký hiệu, sơn màu khác nhau, v.v. theo quy định.
1.2.9.9 Tránh gây ảnh hưởng cho các công trình thông tin và viễn thông
Để công trình điện không gây ảnh hưởng nhiễu và nguy hiểm cho công trình thông tin và viễn thông, phải tuân theo các tiêu chuẩn và quy chuẩn kỹ thuật liên quan. Phải có biện pháp chống nhiễu dòng điện công nghiệp cho các hệ thống thông tin và viễn thông.
1.2.9.10 Dòng ngắn mạch cho các thiết bị có cuộn kháng
Mọi thiết bị điện có cuộn kháng (hoặc lắp đặt phía sau cuộn kháng) khi đấu nối vào hệ thống điện Quốc gia phải được chọn theo dòng ngắn mạch tính toán phía sau cuộn kháng đó.
1.2.10 Yêu cầu kỹ thuật phần xây dựng
1.2.10.1 Phần xây dựng của công trình (kết cấu nhà, các bộ phận trong nhà, thông gió, cấp thoát nước, v.v.); kết cấu xây dựng của đường dây tải điện, của trạm biến áp phải tuân theo Quy chuẩn kỹ thuật này và các tiêu chuẩn, quy chuẩn kỹ thuật về xây dựng.
1.2.10.2 Rào ngăn và tấm chắn: Rào ngăn và tấm chắn phải có kết cấu sao cho chỉ tháo hoặc mở được bằng dụng cụ chuyên dùng.
Chi tiết vật liệu cho thiết bị điện xem
Phụ lục A.
1.2.11 Yêu cầu màu sắc cho thiết bị điện
Các thiết bị điện, các dây dẫn, thanh dẫn của các mạch điện đấu nối với nhau được phân biệt bằng màu sắc như sau:
a) Quy định màu sắc:
- Thanh cái cứng: đánh dấu màu các pha theo quy định ở cụm đầu nối trên sứ đỡ thanh cái;
- Thanh cái bằng dây dẫn mềm: đánh dấu màu các pha ở cụm bắt dây trên sứ đỡ dây hoặc chấm màu ở xà mắc dây dẫn;
- Thiết bị: Đánh dấu màu hoặc chấm màu của pha theo quy định ở các vị trí: chân sứ đỡ của máy cắt, chân sứ đỡ của dao cách ly, chân sứ đỡ của TU, chân sứ đỡ của TI, chân sứ đỡ của chống sét, v.v.
- MBA (cuộn kháng) đánh dấu màu của pha theo quy định ở cụm đầu cực của sứ đầu ra.
b) Quy định màu cho các pha:
- Đối với lưới điện xoay chiều 3 pha: pha A màu vàng, pha B màu xanh lá cây, pha C màu đỏ, thanh cái trung tính ở lưới điện trung tính cách ly được quy định màu trắng, thanh cái trung tính ở lưới điện có trung tính nối đất trực tiếp được quy định màu đen;
- Đối với lưới điện 1 pha: dây dẫn nối điểm đầu của cuộn dây MBA 1-pha có màu vàng, dây dẫn nối điểm cuối cuộn dây MBA này, màu đỏ. Nếu thanh dẫn của lưới điện 1 pha được rẽ nhánh từ thanh cái của lưới điện 3 pha thì phải được đánh màu theo quy định về mà các pha trong lưới điện 3 pha;
- Đối với lưới điện một chiều: thanh cái dương (+) màu đỏ, thanh cái âm (-) màu xanh lá cây và thanh trung tính màu trắng.
1.2.12 Đưa công trình vào vận hành
Công trình điện và thiết bị điện đã xây dựng xong phải được thử nghiệm, nghiệm thu, bàn giao và đưa vào vận hành theo quy định hiện hành.
1.3 YÊU CẦU VỀ KHU VỰC XÂY DỰNG
1.3.1 Phân loại khu vực
Khu vực để xây dựng công trình điện được phân thành các loại theo điều kiện môi trường và các cơ sở hạ tầng trong khu vực như sau:
1.3.1.1 Khu vực không có dân cư là khu vực địa lý không có các hộ dân sinh sống mặc dù có người và phương tiện cơ giới qua lại, các vùng đồng ruộng, đồi trồng cây.
Khu vực không có dân cư cũng bao gồm:
- Khu vực khó đến là nơi mà người đi bộ khó đến được;
- Khu vực rất khó đến những nơi mà người đi bộ rất khó đến được (ví dụ: mỏm đá, vách núi, v.v.).
1.3.1.2 Khu vực phải tăng cường các biện pháp an toàn về điện và xây dựng là khu vực có người sinh sống, làm việc bên trong; khu vực chợ, quảng trường, bệnh viện, trường học, nơi tổ chức hội chợ, triển lãm, trung tâm thương mại, khu vui chơi giải trí, bến tàu, bến xe, nhà ga; công trình quan trọng liên quan đến an ninh quốc gia; khu di tích lịch sử - văn hóa, danh lam thắng cảnh đã được Nhà nước xếp hạng.
1.3.1.3 Khu vực ở ngoài khu vực phải tăng cường các biện pháp an toàn là khu vực địa lý hiện có các hộ dân sinh sống không tập trung hoặc không được quy hoạch để trở thành khu dân cư sinh sống tập trung.
1.3.1.4 Khu vực môi trường ô nhiễm là khu vực mà không khí và đất bị ô nhiễm các chất hóa học với hàm lượng vượt quá giới hạn cho phép hoặc nhiễm mặn tồn đọng.
Chi tiết phân loại khu vực môi trường ô nhiễm xem
Phụ lục B.
1.3.1.5 Khu vực có xẩy ra băng tuyết được xác định ở các khu vực miền Bắc, Bắc Trung bộ có cao độ từ 1000m trở lên so với mực nước biển. Trong tính toán thiết kế đối với khu vực này xác định chiều dày vách băng bám lên thiết bị là 10mm.
1.3.2 Khu vực xây dựng đường dây dẫn điện trên không
1.3.2.1 Giới hạn của ĐDK điện áp đến 500 kV được tính từ điểm mắc dây của ĐDK vào xà cột của trạm này đến điểm mắc dây vào xà cột của trạm đối diện.
Giới hạn của ĐDK điện áp đến 1 kV bao gồm cả những đoạn rẽ nhánh từ đường dây chính tới đầu vào hộ tiêu thụ.
1.3.2.2 Khoảng vượt lớn
Khoảng vượt lớn là khoảng vượt từ 700m trở lên với các cột vượt có chiều cao bất kỳ; hoặc các khoảng vượt qua các sông, kênh đào, vịnh có tàu, thuyền qua lại, vượt thung lũng dùng cột vượt cao 50m trở lên và chiều dài khoảng vượt trên 500m.
1.4 YÊU CẦU VỀ HÀNH LANG BẢO VỆ AN TOÀN
1.4.1 Hành lang bảo vệ an toàn của ĐDK
1.4.1.1 Hành lang bảo vệ an toàn
Hành lang bảo vệ an toàn đường dây dẫn điện trên không là vùng xung quanh đường dây dẫn điện trên không được giới hạn bởi chiều dài, chiều rộng, chiều cao như sau:
a) Chiều dài hành lang được tính từ vị trí đường dây ra khỏi ranh giới bảo vệ của trạm này đến vị trí đường dây đi vào ranh giới bảo vệ của trạm kế tiếp;
b) Chiều rộng hành lang được giới hạn bởi hai mặt thẳng đứng về hai phía
của đường dây, song song với đường dây, có khoảng cách từ dây ngoài cùng về mỗi phía khi dây ở trạng thái tĩnh theo quy định trong bảng sau:
BẢNG 1.2: Các khoảng cách từ dây dẫn điện ngoài cùng đến mặt phẳng thẳng đứng của hành lang bảo vệ an toàn
|
Điện áp |
Trên 01 kV đến 22 kV |
35 kV |
110 kV |
220 kV |
500 kV |
||
|
Dây bọc |
Dây trần |
Dây bọc |
Dây trần |
Dây trần |
Dây trần |
Dây trần |
|
|
Khoảng cách |
1,0 m |
2,0 m |
1,5 m |
3,0 m |
4,0 m |
6,0 m |
7,0 m |
c) Chiều cao hành lang được tính từ đáy móng cột đến điểm cao nhất của công trình cộng thêm khoảng cách an toàn theo chiều thẳng đứng quy định trong bảng sau:
BẢNG 1.3: Các khoảng cách chiều cao của hành lang bảo vệ an toàn
|
Điện áp |
Trên 01 kV đến 35 kV |
110 kV |
220 kV |
500 kV |
|
Khoảng cách |
2,0 m |
3,0 m |
4,0 m |
6,0 m |
Phạm vi hành lang bảo vệ an toàn của ĐDK được thể hiện trong hình sau:

Hình 1.1: Hành lang bảo vệ an toàn của ĐDK
1.4.1.2 Hành lang bảo vệ an toàn đường cáp điện đi trên mặt đất hoặc trên không được giới hạn về các phía 0,5 mét tính từ mặt ngoài của sợi cáp ngoài cùng trở ra các phía.
1.4.1.3 Cây trong hành lang bảo vệ an toàn đường dây dẫn điện trên không
a) Đối với đường dây dẫn điện có điện áp trên 01 kV đến 35 kV trong thành phố, khu vực tập trung đông dân cư của các phường, xã thì khoảng cách từ điểm bất kỳ của cây đến dây dẫn điện ở trạng thái võng cực đại không nhỏ hơn khoảng cách quy định trong bảng sau:
Bảng 1.4: Khoảng cách nhỏ nhất từ dây dẫn trên 01 kV đến 35 kV đến cây trong thành phố, khu vực tập trung đông dân cư của các phường, xã
|
Điện áp |
Trên 01 kV đến 35 kV |
|
|
Khoảng cách |
Dây bọc |
Dây trần |
|
0,7 m |
1,5 m |
|
b) Đối với đường dây có điện áp từ 110 kV đến 500 kV trong thành phố, khu vực tập trung đông dân cư của các phường, xã thì không được để cây cao hơn dây dẫn thấp nhất trừ trường hợp đặc biệt phải có biện pháp kỹ thuật đảm bảo an toàn và được Ủy ban nhân dân cấp tỉnh cho phép. Khoảng cách từ điểm bất kỳ của cây đến dây dẫn điện khi dây ở trạng thái võng cực đại không nhỏ hơn khoảng cách quy định trong bảng sau:
Bảng 1.5: Khoảng cách nhỏ nhất từ dây dẫn từ 110 kV đến 500 kV đến cây
trong thành phố, khu vực tập trung đông dân cư của các phường, xã
|
Điện áp |
110 kV |
220 kV |
500 kV |
|
Khoảng cách |
Dây trần |
||
|
2,0 m |
3,0 m |
4,5 m |
|
c) Đối với đường dây dẫn điện ở khu vực ngoài thành phố, khu vực tập trung đông dân cư của các phường, xã thì khoảng cách từ điểm cao nhất của cây theo chiều thẳng đứng đến độ cao của dây dẫn thấp nhất khi đang ở trạng thái võng cực đại không nhỏ hơn khoảng cách quy định trong bảng sau:
Bảng 1.6: Khoảng cách nhỏ nhất từ dây dẫn đến cây khu vực ngoài thành phố,
khu vực tập trung đông dân cư của các phường, xã
|
Điện áp |
Trên 01 kV đến 35 kV |
110 kV |
220 kV |
500 kV |
|
|
Khoảng cách |
Dây bọc |
Dây trần |
Dây trần |
||
|
0,7 m |
2,0 m |
3,0 m |
4,0 m |
6,0 m |
|
d) Đối với đường dây dẫn điện trên không vượt qua rừng đặc dụng, rừng phòng hộ, rừng sản xuất, vườn trồng cây thì khoảng cách theo phương thẳng đứng từ chiều cao trung bình của cây đã phát triển tối đa đến dây dẫn điện thấp nhất khi dây ở trạng thái võng cực đại không nhỏ hơn quy định tại Điểm c Điểm này.
1.4.1.4 Cây ở ngoài hành lang bảo vệ an toàn đường dây dẫn điện trên không thì khoảng cách từ bộ phận bất kỳ của cây khi cây bị đổ đến bộ phận bất kỳ của đường dây không nhỏ hơn khoảng cách an toàn phóng điện theo cấp điện áp, trừ trường hợp cây trong khu vực đô thị có biện pháp kỹ thuật bảo đảm an toàn và được Ủy ban nhân dân cấp tỉnh chấp thuận. Khoảng cách an toàn phóng điện theo cấp điện áp tại khoản này được quy định như sau:
Bảng 1.7: Khoảng cách từ cây bị đổ đến ĐDK
|
Điện áp |
Trên 01 kV đến 35 kV |
110 và 220 kV |
500 kV |
|
Khoảng cách |
0,7 m |
1,0 m |
2,0 m |
1.4.1.5 Người sử dụng đất, chủ sở hữu cây có trách nhiệm thường xuyên kiểm tra, kịp thời chặt tỉa phần cây có nguy cơ vi phạm khoảng cách an toàn phóng điện theo cấp điện áp của đường dây dẫn điện trên không. Trường hợp người sử dụng đất sở hữu cây không thực hiện việc chặt tỉa phần cây có nguy cơ vi phạm, đơn vị điện lực tiến hành chặt tỉa và thông báo cho Ủy ban nhân dân các cấp tại địa phương để xử lý tổ chức, cá nhân vi phạm.
1.4.1.6 Lúa, hoa màu chỉ được trồng cách mép móng cột điện, móng néo ít nhất là 0,5 mét.
1.4.2 Hành lang bảo vệ an toàn của đường cáp điện ngầm
1.4.2.1 Chiều dài hành lang được tính từ vị trí cáp ra khỏi ranh giới phạm vi bảo vệ của trạm này đến vị trí vào ranh giới phạm vi bảo vệ của trạm kế tiếp.
1.4.2.2 Chiều rộng hành lang được giới hạn bởi:
a) Mặt ngoài của mương cáp đối với cáp đặt trong mương cáp;
b) Hai mặt thẳng đứng cách mặt ngoài của vỏ cáp hoặc sợi cáp ngoài cùng về hai phía của đường cáp điện ngầm đối với cáp đặt trực tiếp trong đất, trong nước được quy định trong bảng sau:
Bảng 1.8: Khoảng cách hành lang bảo vệ an toàn của đường cáp ngầm trong
đất hoặc trong nước
|
Loại cáp điện |
Đặt trực tiếp trong đất |
Đặt trong vùng nước nội thủy |
||
|
Đất ổn định |
Đất không ổn định |
Nơi không có tàu thuyền qua lại |
Nơi có tàu thuyền qua lại |
|
|
Khoảng cách |
1,0 m |
1,5 m |
20 m |
100 m |
Việc bảo vệ an toàn đường cáp điện ngầm trên biển phải tuân thủ các quy định pháp luật hiện hành về hàng hải.
1.4.2.3 Chiều cao được tính từ mặt đất hoặc mặt nước đến:
a) Mặt ngoài của đáy móng mương cáp đối với cáp đặt trong mương cáp;
b) Độ sâu thấp hơn điểm thấp nhất của vỏ cáp là 1,5 mét đối với cáp đặt trực tiếp trong đất hoặc trong nước.
Phạm vi hành lang an toàn của đường cáp điện được thể hiện trong hình sau:

Hình 1.2: Hành lang bảo vệ an toàn của đường cáp điện
1.4.3 Hành lang bảo vệ an toàn của trạm điện
1.4.3.1 Đối với các trạm điện không có tường, rào bao quanh, hành lang bảo vệ an toàn được giới hạn bởi không gian bao quanh trạm điện có khoảng cách đến các bộ phận mang điện gần nhất của trạm điện theo quy định trong bảng sau:
Bảng 1.9: Khoảng cách hành lang bảo vệ an toàn của trạm điện không có rào
chắn
|
Điện áp |
Trên 01 kV đến 22 kV |
35 kV |
|
Khoảng cách |
2,0 m |
3,0 m |
1.4.3.2 Đối với trạm điện có tường hoặc hàng rào cố định bao quanh, hành lang bảo vệ an toàn được giới hạn đến điểm ngoài cùng của móng, kè bảo vệ tường hoặc hàng rào; chiều cao hành lang được tính từ đáy móng sâu nhất của công trình trạm điện đến điểm cao nhất của trạm điện cộng thêm khoảng cách an toàn phóng điện theo cấp điện áp như sau:
Bảng 1.10: Khoảng cách hành lang bảo vệ an toàn của trạm điện có rào chắn
|
Điện áp |
Trên 01 kV đến 35 kV |
110 kV |
220 kV |
500 kV |
|
Khoảng cách |
2,0 m |
3,0 m |
4,0 m |
6,0 m |
1.4.3.3 Đối với các trạm biến áp, trạm phân phối điện hợp bộ, trạm cách điện khí, trạm kín có vỏ bằng kim loại, hành lang bảo vệ được giới hạn đến mặt ngoài của phần vỏ kim loại.
1.5 YÊU CẦU VỀ MÔI TRƯỜNG
1.5.1 Kiểm soát tiếng ồn
Đối với TBPP và TBA bố trí ở khu dân cư hoặc công trình công nghiệp, phải có biện pháp kiểm soát tiếng ồn gây ra do thiết bị điện (máy biến áp, v.v.) bảo đảm tuân thủ các giới hạn quy định trong các quy định pháp luật hiện hành liên quan.
1.5.2 Bảo vệ chống tác hại môi trường
1.5.2.1 Ở những nơi trong không khí, trong đất có chứa các hoạt chất hóa học có thể phá hỏng các phần của công trình điện cần phải có các biện pháp để bảo vệ tránh khỏi những ảnh hưởng của môi trường.
1.5.2.2 Theo mức độ ô nhiễm của môi trường lựa chọn các giải pháp chống ăn mòn phù hợp:
a) Dây dẫn điện chịu được ăn mòn theo quy định cho khu vực môi trường mà ĐDK đi qua;
b) Cách điện được tính toán phù hợp cho khu vực môi trường mà ĐDK đi qua;
c) Móng và kết cấu kim loại của công trình điện, phần kim loại hở của bê tông cốt thép phải chịu được ăn mòn theo quy định cho khu vực môi trường xây dựng công trình.
Chi tiết yêu cầu kỹ thuật bảo vệ chống tác hại của môi trường xem Phụ lục C.
1.5.3 Bố trí hệ thống thu gom dầu cách điện
1.5.3.1 Trong hệ thống TBPP và TBA có thiết bị có dầu trừ TBA trên cột phải có hệ thống thu gom toàn bộ lượng dầu xả ra khi sự cố để không xả ra môi trường xung quanh.
1.5.3.2 Để chống sự rò rỉ dầu, hạn chế cháy lan ra trong trường hợp sự cố máy biến áp có chứa dầu nhiều hơn 1000 kg/máy (bố trí ngoài trời) và nhiều hơn 600 kg/máy (bố trí trong nhà) phải bố trí hố thu gom dầu.
Đối với thiết bị điện có lượng dầu dưới 600kg bố trí trong nhà, áp dụng quy định tạo Điểm 3.2.4.2 QCVN này.
1.5.3.3 Hệ thống xả dầu, các hố thu dầu và bể chứa dầu phải thỏa mãn các yêu cầu sau:
a) Kích thước của hố thu dầu của MBA bố trí ngoài trời phải lớn hơn kích thước mép ngoài cùng của từng thiết bị ít nhất là:
- 0,6 m: Lượng dầu đến 2000 kg;
- 1,0 m: Lượng dầu từ trên 2000 kg đến 10000 kg;
- 1,5 m: Lượng dầu từ trên 10000 kg đến 50000 kg;
- 2,0 m: Lượng dầu trên 50000 kg.
Kích thước của các hố thu dầu có thể giảm về phía hướng tới tường hoặc vách ngăn có mức chịu lửa 60 phút và khoảng trống giữa phần mang dầu và tường hoặc vách ngăn không nhỏ hơn 0,8 m.
b) Dung tích của hố thu dầu được tính như sau:
- Toàn bộ lượng dầu của máy biến áp (hoặc bộ điện kháng) cộng với nước mưa (nếu không có hệ thống tự động xả nước mưa) cho hố thu dầu kết hợp với bể chứa dầu;
- 20% lượng dầu của máy biến áp (hoặc bộ điện kháng), nếu hố thu dầu là loại có hệ thống thoát dầu vào bể chứa dầu chung.
c) Hố thu dầu và hệ thống xả của một máy biến áp phải được bố trí sao cho dầu và nước không tràn vào hố thu dầu của các máy biến áp khác, vào rãnh cáp hoặc vào các công trình ngầm khác và không làm cháy lan rộng ra hoặc làm cản trở đường xả dầu. Hố thu dầu được phủ bằng một lớp sỏi hoặc đá dăm sạch cỡ từ 30 mm đến 70 mm, với độ dày ít nhất là 250 mm;
d) Bể chứa dầu chung có thể tích bằng lượng dầu của thiết bị có lượng dầu lớn nhất
cộng với nước mưa (nếu không có hệ thống tự động xả nước mưa). Cho phép xây bể chứa dầu kết hợp với hố thu dầu. Bể chứa dầu chung có thể là loại chìm (đáy của nó nằm thấp hơn mặt đất). Bể chứa dầu loại chìm, có nắp đậy, có dung tích bằng 100% lượng dầu của thiết bị có lượng dầu lớn nhất. Bể chứa dầu loại hở phải có bờ thành vây quanh để chống dầu tràn. Chiều cao của bờ thành này phải là từ 0,25 m đến 0,5 m trên mặt đất. Bể chứa dầu hở phải có khoảng cách an toàn phòng cháy, chữa cháy đối với thiết bị và công trình xung quanh;
đ) Hệ thống thoát dầu phải dẫn được lượng dầu và nước (bao gồm cả lượng nước mưa) đến bể chứa dầu; 50% lượng dầu sự cố phải được xả hết vào bể chứa dầu trong khoảng thời gian 15 phút. Hệ thống xả dầu sự cố vào bể chứa dầu là đường ống ngầm;
e) Hệ thống thoát từ bể chứa dầu sự cố chỉ thoát nước tồn đọng trong bể dầu. Toàn bộ lượng dầu sự cố được chứa trong bể dầu và sẽ được bơm hút vào xe chuyên dụng để chuyển đến nơi quy định.
Chi tiết bố trí hệ thống thu gom dầu được mô tả trong các hình sau:
(*c) Thu gom: toàn bộ lượng dầu cách điện của máy biến áp lớn nhất. Tính toán cho cả nước mưa (nếu có)
Hình 1.5: Hố thu dầu kết hợp với bể chứa dầu chung
1.6 YÊU CẦU VỀ CHẤT LƯỢNG ĐIỆN NĂNG
1.6.1 Chất lượng điện năng trong lưới điện
1.6.1.1 Điện áp
a) Điện áp danh định
Trong lưới điện truyền tải bao gồm 500 kV, 220 kV.
Trong hệ thống phân phối điện bao gồm 110 kV, 35 kV, 22 kV, 15 kV, 10 kV, 06 kV và 0,38 kV.
b) Dao động điện áp
Trong thời gian sự cố, điện áp tại nơi xảy ra sự cố và vùng lân cận có thể giảm quá độ đến giá trị bằng 0 ở pha bị sự cố hoặc tăng quá 110% điện áp danh định ở các pha không bị sự cố cho đến khi sự cố được loại trừ
c) Điện áp quy định đối với lưới điện truyền tải như sau:
- Trong điều kiện làm việc bình thường hoặc khi có sự cố đơn lẻ xảy ra, điện áp tại thanh cái cho phép vận hành trên lưới được quy định trong bảng:
Bảng 1.11: Điện áp tại thanh cái cho phép vận hành trên lưới điện truyền tải
|
Cấp điện áp (kV) |
Chế độ vận hành của hệ thống điện |
|
|
Vận hành bình thường |
Sự cố một phần tử |
|
|
500 |
475÷525 |
450÷550 |
|
220 |
209÷242 |
198÷242 |
- Trong trường hợp hệ thống điện truyền tải bị sự cố nhiều phần tử, sự cố nghiêm trọng, trong trạng thái khẩn cấp hoặc trong quá trình khôi phục hệ thống, cho phép mức dao động điện áp trên lưới điện tạm thời lớn hơn ±10 % so với điện áp danh định nhưng không được vượt quá ±20 % so với điện áp danh định;
- Trong thời gian sự cố, điện áp tại nơi xảy ra sự cố và vùng lân cận có thể giảm quá độ đến giá trị bằng 0 ở pha bị sự cố hoặc tăng quá 110 % điện áp danh định ở các pha không bị sự cố cho đến khi sự cố được loại trừ.
d) Điện áp quy định đối lưới điện phân phối như sau:
- Độ lệch điện áp vận hành cho phép tại thanh cái trên lưới điện phân phối so với điện áp danh định là +10% và -05%;
- Trong chế độ vận hành bình thường của điện áp vận hành cho phép tại điểm đấu nối được phép dao động so với điện áp danh định như sau:
+ Tại điểm đấu nối với khách hàng sử dụng điện là ±5 %;
+ Tại điểm đấu nối với nhà máy điện là +10 % và -5 %.
- Trường hợp nhà máy điện và khách sử dụng điện đấu nối vào cùng một thanh cái, đường dây trên lưới điện phân phối thì điện áp tại điểm đấu nối do Đơn vị phân phối điện quản lý vận hành lưới điện khu vực quyết định đảm bảo phù hợp với yêu cầu kỹ thuật vận hành lưới điện phân phối và đảm bảo chất lượng điện áp cho khách hàng sử dụng điện theo quy định;
- Trong chế độ sự cố đơn lẻ của lưới điện truyền tải, sự cố hệ thống phân phối điện hoặc khôi phục sự cố của hệ thống phân phối điện, cho phép mức dao động điện áp trên lưới điện phân phối trong khoảng ± 10% so với điện áp danh định;
- Trong trường hợp hệ thống truyền tải điện bị sự cố nhiều phần tử, sự cố nghiêm trọng, trong chế độ vận hành cực kỳ khẩn cấp hoặc chế độ khôi phục hệ thống điện, cho phép mức dao động điện áp trên lưới điện truyền tải tạm thời lớn hơn ± 10 % so với điện áp danh định nhưng không được vượt quá ± 20 % so với điện áp danh định;
- Đối với lưới điện phân phối chưa ổn định sau sự cố, cho phép độ lệch điện áp tại điểm đấu nối với khách hàng sử dụng điện bị ảnh hưởng trực tiếp do sự cố trong khoảng + 5% và - 10% so với điện áp danh định;
- Trường hợp khách hàng sử dụng lưới điện phân phối có yêu cầu chất lượng điện áp cao hơn so với quy định tại điểm này, khách hàng sử dụng lưới điện phân phối có thể thỏa thuận với Đơn vị phân phối điện hoặc Đơn vị phân phối và bán lẻ điện. Đơn vị phân phối điện hoặc Đơn vị phân phối và bán lẻ điện có trách nhiệm lấy ý kiến của Cấp điều độ có quyền điều khiển trước khi thỏa thuận thống nhất với khách hàng.
đ) Cân bằng pha:
Trong chế độ vận hành bình thường, thành phần thứ tự nghịch của điện áp pha không được vượt quá 03% điện áp danh định đối với cấp điện áp cao áp và siêu cao áp, hoặc 05 % điện áp danh định đối với cấp điện áp trung áp và hạ áp.
Cho phép thành phần thứ tự nghịch của điện áp pha trên lưới điện trong một số thời điểm vượt quá giá trị quy định tại khoản 1 Điều này nhưng phải đảm bảo 95% các giá trị đo với thời gian đo ít nhất 01 tuần và tần suất lấy mẫu 10 phút/lần không được vượt quá giới hạn quy định.
1.6.1.2 Hệ số công suất
a) Trong chế độ vận hành bình thường, Đơn vị phân phối điện và khách hàng sử dụng điện nhận điện trực tiếp từ lưới điện truyền tải phải duy trì hệ số công suất (cos φ) tại vị trí đo đếm chính không nhỏ hơn 0,9 trong trường hợp nhận công suất phản kháng và không nhỏ hơn 0,98 trong trường hợp phát công suất phản kháng.
b) Khách hàng sử dụng lưới điện truyền tải phải cung cấp cho Đơn vị truyền tải điện và Cấp điều độ có quyền điều khiển các thông số về các thiết bị bù công suất phản kháng trong lưới điện của mình (nếu có), bao gồm:
- Công suất phản kháng định mức và dải điều chỉnh;
- Nguyên tắc điều chỉnh công suất phản kháng.
c) Khách hàng sử dụng điện để sản xuất, kinh doanh, dịch vụ có trạm biến áp riêng hoặc không có trạm biến áp riêng nhưng có công suất sử dụng cực đại từ 40 kW trở lên có trách nhiệm duy trì hệ số công suất (cos φ) tại điểm đặt thiết bị đo đếm điện năng theo hợp đồng mua bán điện không nhỏ hơn 0,9.
1.6.1.3 Sóng hài
1.6.1.3.1 Giá trị cực đại cho phép của tổng mức biến dạng điện áp truyền tải (tính theo % điện áp danh định) do các thành phần sóng hài bậc cao gây ra đối với các cấp điện áp 220 kV và 500 kV phải nhỏ hơn hoặc bằng 3 %.
1.6.1.3.2 Giá trị cực đại cho phép của tổng mức biến dạng phía phụ tải (tính theo % dòng điện danh định) đối với các cấp điện áp 220 kV và 500 kV phải nhỏ hơn hoặc bằng 3%.
1.6.1.3.3 Sóng hài điện áp
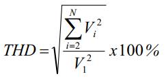
a) Tổng độ biến dạng sóng hài điện áp phân phối (THD) là tỷ lệ giữa giá trị hiệu dụng của sóng hài điện áp với giá trị hiệu dụng của điện áp bậc cơ bản (theo đơn vị %), được tính theo công thức sau:

Trong đó:
- THD: Tổng độ biến dạng sóng hài điện áp;
- Vi: Giá trị hiệu dụng của sóng hài điện áp bậc i và N là bậc cao nhất của sóng hài cần đánh giá;
- V1: Giá trị hiệu dụng của điện áp tại bậc cơ bản (tần số 50 Hz).
b) Tổng độ biến dạng sóng hài điện áp tại mọi điểm đấu nối không được vượt quá giới hạn quy định trong Bảng sau:
Bảng 1.12: Độ biến dạng sóng hài điện áp tối đa cho phép
|
Cấp điện áp |
Tổng biến dạng sóng hài (tHd) |
Biến dạng riêng lẻ |
|
500 kV, 220 kV |
3,0 % |
Không quy định |
|
110 kV |
3,0 % |
1,5 % |
|
Trung áp |
5,0 % |
3,0 % |
|
Hạ áp |
8,0 % |
5,0 % |
1.6.1.3.4 Sóng hài dòng điện
a) Tổng biến dạng sóng hài dòng điện là tỷ lệ giữa giá trị hiệu dụng của sóng hài dòng điện với giá trị hiệu dụng của dòng điện bậc cơ bản ở chế độ phụ tải, công suất phát cực đại được tính theo công thức sau:

Trong đó:
- TDD: Tổng biến dạng sóng hài dòng điện;
- Ii: Giá trị hiệu dụng của sóng hài dòng điện bậc i và N là bậc cao nhất của sóng hài cần đánh giá;
- IL: Giá trị hiệu dụng của dòng điện bậc cơ bản (tần số 50 Hz) ở phụ tải, công suất phát cực đại (phụ tải, công suất phát cực đại là giá trị trung bình của 12 phụ tải, công suất phát cực đại tương ứng với 12 tháng trước đó, trường hợp đối với các đấu nối mới hoặc không thu thập được giá trị phụ tải, công suất phát cực đại tương ứng với 12 tháng trước đó thì sử dụng giá trị phụ tải, công suất phát cực đại trong toàn bộ thời gian thực hiện phép đo).
b) Phụ tải điện đấu nối vào lưới điện phân phối phải đảm bảo không gây ra biến dạng sóng hài dòng điện vượt quá giá trị quy định trong Bảng sau:
Bảng 1.13: Biến dạng sóng hài dòng điện tối đa cho phép đối với phụ tải điện
|
Cấp điện áp |
Tổng biến dạng |
Biến dạng riêng lẻ |
|
110 kV |
4,0 % |
3,5 % |
|
Trung áp |
8,0 % |
7,0 % |
|
Hạ áp |
12% nếu phụ tải ≥ 50 kW 20% nếu phụ tải < 50kW |
10% nếu phụ tải ≥ 50 kW 15% nếu phụ tải < 50kW |
1.6.1.4 Mức nhấp nháy điện áp
Mức nhấp nháy điện áp tối đa cho phép trong lưới điện truyền tải và phân phối quy định như sau:
Bảng 1.14: Mức nhấp nháy điện áp lưới điện
|
Cấp điện áp |
Plt95% |
Pst95% |
|
220, 500 kV |
0,6 |
0,8 |
|
110 kV |
0,6 |
0,8 |
|
Trung áp |
0,8 |
1,0 |
|
Hạ áp |
0,8 |
1,0 |
Trong đó: Plt95% là ngưỡng giá trị của Plt sao cho trong khoảng 95 % thời gian đo (ít nhất 01 tuần) và 95 % số vị trí đo Plt không vượt quá giá trị này; Pst95% là ngưỡng giá trị của Pst sao cho trong khoảng 95 % thời gian đo (ít nhất 01 tuần) và 95 % số vị trí đo Pst không vượt quá giá trị này.
1.6.2 Dòng ngắn mạch, thời gian loại trừ sự cố
1.6.2.1 Dòng ngắn mạch lớn nhất cho phép và thời gian loại trừ sự cố của hệ thống điện được quy định trong bảng sau:
Bảng 1.15: Dòng điện ngắn mạch lớn nhất cho phép và thời gian tối đa loại trừ
sự cố bằng bảo vệ chính và khả năng chịu đựng của thiết bị
|
Điện áp |
Dòng điện ngắn mạch lớn nhất cho phép (kA) |
Thời gian tối đa loại trừ sự cố bằng bảo vệ chính (ms) |
Thời gian chịu đựng tối thiểu của thiết bị (s) |
|
Trung áp |
25 |
500 |
1 |
|
110 kV |
31,5 |
150 |
1 |
|
220 kV |
50 |
100 |
1 |
|
500 kV |
50 |
80 |
1 |
Thanh cái 110 kV của các trạm biến áp 500 kV, 220 kV trong lưới điện truyền tải, thanh cái 110 kV nối TBA truyền tải được áp dụng dòng điện ngắn mạch lớn nhất cho phép là 40 kA.
1.6.2.2 Các công trình điện đấu nối vào hệ thống điện có giá trị dòng điện ngắn mạch tại điểm đấu nối theo tính toán mà lớn hơn giá trị dòng điện ngắn mạch lớn nhất cho phép quy định tại Bảng 1.15 thì chủ đầu tư các công trình điện có trách nhiệm áp dụng các biện pháp để dòng điện ngắn mạch tại điểm đấu nối xuống thấp hơn hoặc bằng giá trị dòng điện ngắn mạch lớn nhất cho phép quy định tại Bảng 1.15.
1.6.2.3 Thiết bị đóng cắt trên lưới điện truyền tải, lưới điện phân phối phải có đủ khả năng cắt dòng điện ngắn mạch lớn nhất qua thiết bị đóng cắt trong ít nhất 10 năm tiếp theo kể từ thời điểm dự kiến đưa thiết bị vào vận hành và chịu đựng được dòng điện ngắn mạch này trong thời gian tối thiểu từ 01 giây trở lên.
1.6.2.4 Đơn vị truyền tải điện, Đơn vị phân phối điện có trách nhiệm áp dụng các giải pháp để đảm bảo dòng điện ngắn mạch trên lưới điện thuộc quyền quản lý đáp ứng yêu cầu quy định tại Bảng 1.15 Điều này. Trường hợp đã áp dụng các giải pháp mà dòng điện ngắn mạch vẫn lớn hơn khả năng của thiết bị, Đơn vị truyền tải điện, Đơn vị phân phối điện có trách nhiệm đề xuất giải pháp để đảm bảo vận hành an toàn thiết bị.
1.7 YÊU CẦU VỀ HỆ THỐNG NỐI ĐẤT
1.7.1 Mục đích việc nối đất
1.7.1.1 Phạm vi áp dụng
Phần này áp dụng cho thiết kế và lắp đặt hệ thống nối đất của các thiết bị điện và lưới điện làm việc với điện xoay chiều hoặc một chiều ở mọi cấp điện áp.
1.7.1.2 Yêu cầu của hệ thống nối đất
1.7.1.2.1 Hệ thống nối đất là tập hợp của dây nối đất và điện cực tiếp đất
a) Điện cực tiếp đất là nhóm các dây tiếp đất và cọc tiếp đất được liên kết với nhau, chôn dưới đất và tiếp xúc trực tiếp với đất;
b) Dây nối đất là vật dẫn bằng kim loại nối thiết bị điện với điện cực tiếp đất.
1.7.1.2.2 Thiết bị điện, lưới điện có điện áp lớn hơn 42 V phải có một trong các biện pháp bảo vệ sau đây: nối đất, nối trung tính, cắt bảo vệ nhằm mục đích bảo đảm an toàn cho người làm việc tại lưới điện, bảo vệ chống sét cho thiết bị điện, bảo vệ quá điện áp nội bộ.
1.7.1.3 Hệ thống nối đất chung
Nên sử dụng một hệ thống nối đất chung cho các thiết bị điện có chức năng và cấp điện áp khác nhau. Ngoại trừ một số trường hợp có yêu cầu đặc biệt.
Điện trở của hệ thống nối đất chung phải thoả mãn các yêu cầu của thiết bị và phải nhỏ hơn hoặc bằng điện trở nối đất nhỏ nhất của thiết bị nối vào hệ thống nối đất chung.
Các dây dẫn nối đất đến điện cực tiếp đất cho các ĐDK có cấp điện áp từ 35 kV trở xuống xây dựng trong khu vực phải tăng cường các biện pháp an toàn mà người dân bình thường có thể tiếp xúc được phải được bọc bằng vật liệu cách điện đến độ cao 2 m trên mặt đất và đến độ sâu 0,25 m dưới mặt đất.
Hệ nối đất an toàn, nối đất làm việc và nối đất chống sét phải được nối tới điện cực tiếp đất bằng dây nối riêng hoặc thực hiện theo hướng dẫn của nhà sản xuất thiết bị nếu có yêu cầu riêng. Đối với lưới điện 3 pha 4 dây có trung tính nối đất lặp lại, cho phép nối đất chung các hệ thống này.
1.7.1.4 Phần không nối đất
Những bộ phận không yêu cầu nối đất:
1.7.1.4.1 Thiết bị điện có điện áp xoay chiều đến 380 V được đặt trong gian ít nguy hiểm, nghĩa là các phòng khô ráo và có sàn dẫn điện kém (như gỗ, nhựa) hoặc trong các gian phòng sạch sẽ và khô ráo (như phòng thử nghiệm, văn phòng). Những thiết bị điện trên phải nối đất nếu trong khi làm việc, người có thể cùng một lúc tiếp xúc với điện và với bộ phận khác có nối đất.
1.7.1.4.2 Thiết bị đặt trên kết cấu kim loại đã được nối đất nếu bảo đảm tiếp xúc tốt tại mặt tiếp xúc của kết cấu (mặt tiếp xúc phải được cạo sạch, làm nhẵn và không được quét sơn).
1.7.1.4.3 Kết cấu để đặt cáp với điện áp bất kỳ có vỏ bằng kim loại đã được nối đất.
1.7.1.4.4 Đường ray đi ra ngoài khu đất của trạm phát điện, trạm biến áp, trạm phân phối và các trạm điện của cơ sở công nghiệp.
1.7.1.4.5 Vỏ dụng cụ có lớp cách điện tăng cường.
1.7.1.4.6 Những bộ phận có thể tháo ra hoặc mở ra được của khung kim loại các buồng phân phối, tủ, rào chắn ngăn cách các tủ điện, các cửa ra vào, v.v. nếu như trên các kết cấu đó không đặt thiết bị điện điện áp xoay chiều lớn hơn 42 V.
1.7.1.4.7 Kết cấu kim loại trong gian đặt ắc quy có điện áp không lớn hơn 220 V.
1.7.1.4.8 Động cơ điện và các bộ phận riêng biệt, thiết bị trên máy công cụ hoặc thiết bị khác cho phép nối trực tiếp qua đế nối đất của máy điện chính thay vì dây nối đất riêng biệt với điều kiện là giữa vỏ thiết bị và máy điện chính có tiếp xúc tốt.
1.7.2 Yêu cầu với hệ thống nối đất
1.7.2.1 Dây nối đất và điện cực tiếp đất
1.7.2.1.1 Kích thước và chất liệu dây nối đất và dây bảo vệ tiếp đất
a) Chất liệu dây nối đất và điện cực tiếp đất có thể bằng đồng, thép, nhôm hoặc vật liệu dẫn điện khác. Tiết diện của dây nối đất và điện cực tiếp đất phải đủ lớn để bảo đảm sự tăng nhiệt độ nằm trong giới hạn cho phép khi dòng chạm đất lớn nhất đi qua trong thời gian cắt. Ngoài ra, phải đủ độ bền để chống lại ngoại lực. Kích thước nhỏ nhất của dây nối đất và dây bảo vệ tiếp đất được quy định trong bảng sau:
Bảng 1.16: Kích thước nhỏ nhất của dây nối đất và dây bảo vệ tiếp đất
|
Tên |
Đồng |
Nhôm |
Thép |
||
|
Trong nhà Ngoài trời Trong đất |
Trong nhà Ngoài trời |
Trong nhà |
Ngoài trời |
Trong đất |
|
|
Dây trần: Tiết diện, mm 2 |
4 |
6 |
- |
- |
- |
|
Đường kính, mm |
- |
- |
5 |
6 |
10 |
|
Tiết diện dây cách điện, mm 2 |
1,5 |
2,5 |
- |
- |
- |
|
Tiết diện ruột nối đất và nối trung tính của cáp hoặc dây nhiều ruột trong vỏ bảo vệ chung với các ruột pha, mm 2 |
1 |
2,5 |
- |
- |
- |
|
Chiều dầy cánh thép góc, mm |
- |
- |
2 |
2,5 |
4 |
|
Tiết diện thép thanh, mm 2 |
|
- |
24 |
48 |
48 |
|
Chiều dầy, mm |
|
- |
3 |
4 |
4 |
|
Ống: Chiều dầy thành ống, mm |
- |
2,5 |
2,5 |
2,5 |
3,5 |
|
Ống thép mỏng: Chiều dầy thành ống, mm |
- |
- |
1,5 |
2,5 |
Không cho phép |
Ghi chú: Tất cả các chi tiết bằng thép phải được mạ kẽm nhúng nóng
b) Thiết bị điện có điện áp đến 1 kV trung tính nối đất trực tiếp, dây trung tính bảo vệ cần đặt chung và bên cạnh các dây pha. Dây trung tính làm việc phải tính toán bảo đảm dòng điện làm việc lâu dài. Dây trung tính làm việc có thể có cách điện như dây pha;
c) Thiết bị điện điện áp trên 1 kV có trung tính nối đất trực tiếp, tiết diện dây nối đất phải bảo đảm chịu được dòng cắt tự động tại nơi sự cố. Để đáp ứng yêu cầu này, phải chọn dây nối đất theo một trong các phương pháp sau:
- 3 lần dòng điện danh định của dây chảy ở cầu chảy gần nhất;
- 3 lần dòng điện danh định của các phụ tải cần cắt;
d) Tiết diện của dây bảo vệ tiếp đất trong mọi trường hợp không nhỏ hơn một nửa tiết diện của dây pha. Nếu yêu cầu trên không đáp ứng được giá trị dòng điện chạm vỏ hoặc chạm dây bảo vệ tiếp đất có thể tiếp xúc nơi công cộng thì việc cắt khẩn cấp dòng ngắn mạch này phải bằng thiết bị bảo vệ cắt nhanh;
đ) Không cho phép sử dụng đất làm dây pha hoặc dây trung tính đối với những thiết bị điện có điện áp đến 1 kV.
1.7.2.2 Dây nối đất bổ sung
a) Các bộ phận sau đây được sử dụng để làm nối đất bổ sung:
- Ống dẫn nước bằng kim loại và ống dẫn khác được chôn trong đất, trừ các đường ống dẫn chất lỏng, khí dễ cháy nổ;
- Ống chôn trong đất của giếng khoan;
- Kết cấu kim loại và bê tông cốt thép nằm trong đất của tòa nhà và công trình xây dựng.
- Đường ống kim loại của công trình thủy lợi;
- Vỏ bọc chì của dây cáp đặt trong đất. Không được phép sử dụng vỏ nhôm của dây cáp để làm cực nối đất tự nhiên;
- Đường ray của cần trục, đường ray nội bộ xí nghiệp nếu như giữa các thanh ray được nối với nhau bằng cầu nối.
Bộ phận nối đất tự nhiên phải được nối tới hệ thống nối đất chính ít nhất tại 2 điểm.
b) Các bộ phận sau đây được sử dụng để làm dây trung tính làm việc và dây bảo vệ tiếp đất
- Kết cấu kim loại của cột bê tông đúc hoặc cột bê tông ly tâm;
- Kết cấu kim loại của ngôi nhà (kèo, cột, giá đỡ thiết bị, v.v.);
- Kết cấu kim loại (đường ray, cầu trục, khung kim loại của các bộ phận giao thông đi lại, thang máy, hầm sàn, v.v.);
- Ống kim loại của thiết bị điện;
- Ống kim loại dẫn nước, thoát nước, dẫn hơi nhiệt (trừ các ống dẫn chất cháy nổ);
- Vỏ cáp bằng nhôm.
1.7.2.1.2 Nối dây nối đất
Mối nối giữa dây nối đất và dây bảo vệ tiếp đất với nhau và nối với điện cực tiếp đất phải bảo đảm tiếp xúc tốt bằng các kẹp bắt bu-lông, hàn trực tiếp hoặc khóa nối chuyên dùng. Mối hàn phải có chiều dài chồng lên nhau bằng 2 lần bề rộng của thanh nối nếu là tiết diện chữ nhật hoặc 6 lần đường kính của thanh nối nếu là tiết diện tròn.
1.7.2.1.3 Lắp đặt dây nối đất
Dây nối đất và dây bảo vệ tiếp đất đặt trong nhà và ngoài trời phải bố trí theo quy định cho từng loại.
Không cho phép sử dụng vỏ kim loại của dây dẫn kiểu ống, cáp treo của đường dẫn điện, vỏ kim loại của ống cách điện, tay nắm kim loại, vỏ chì của dây và cáp điện để làm dây nối đất hoặc dây bảo vệ tiếp đất. Trong các gian có yêu cầu nối đất thì vỏ kim loại nói trên phải được nối đất chắc chắn. Các điểm nối và hộp đấu dây cần được nối với vỏ kim loại bằng cách hàn hoặc bằng bu-lông. Các mối nối bằng bu-lông phải có biện pháp chống gỉ và chống nới lỏng.
Dây nối đất bằng thép phải được mạ kẽm nhúng nóng.
1.7.2.3 Điện cực tiếp đất
Kích thước và chất liệu các điện cực của trang bị nối đất nhân tạo phải bảo đảm khả năng phân bố hiệu quả điện áp trên diện tích đất đặt thiết bị điện.
Chất liệu cho điện cực tiếp đất nhân tạo bằng đồng, thép ống, thép tròn, thép dẹt. Kích thước nhỏ nhất của điện cực tiếp đất được quy định trong bảng sau:
Bảng 1.17: Kích thước nhỏ nhất của điện cực nối đất
|
Vật liệu |
Loại dây |
Kích thước nhỏ nhất |
|||
|
|
|
Đường kính (mm) |
Tiết diện (mm 2 ) |
Độ dầy (mm) |
|
|
Thép |
Mạ kẽm |
Thép hình chữ nhật |
|
90 |
3 |
|
Ống |
25 |
|
2 |
||
|
Thép góc |
|
320 |
4 |
||
|
Thép tròn |
16 |
|
|
||
|
Thép tròn (nằm ngang) |
10 |
|
|
||
|
Có vỏ bằng chì |
Thép tròn (nằm ngang) |
8 |
|
|
|
|
Có vỏ bằng đồng |
Thép tròn |
15 |
|
|
|
|
Đồng |
Thanh |
Tấm hình chữ nhật |
|
50 |
2 |
|
Hình tròn (nằm ngang) |
|
25 |
|
||
|
Ống |
20 |
|
2 |
||
|
Mạ kẽm |
Bản hình chữ nhật |
|
50 |
2 |
|
1.7.2.4 San bằng điện áp
Để bảo đảm an toàn, các thiết bị điện có dòng điện chạm đất lớn phải dùng lưới san bằng điện áp bằng vòng nối đất xung quanh thiết bị (trừ các thiết bị điện ở trạm trên cột điện áp đến 35 kV).
Chi tiết lưới san bằng điện áp xem Phụ lục D.
1.7.2.5 Bảo vệ cơ học và hóa học cho dây nối đất
Dây nối đất phải được bảo vệ chống hư hỏng về cơ học và hóa học. Bảo vệ chống phá hủy cơ học phải được chú trọng ở tiết diện dây nối đất. Bảo vệ chống hư hỏng về hóa học phải được đặc biệt chú ý tại những khu vực có môi trường dễ ăn mòn.
1.7.2.6 Đánh dấu và sơn cực nối đất
Tại chỗ dây nối đất vào các điện cực phải có những ký hiệu riêng dễ quan sát.
Dây nối đất đặt trần, các kết cấu của trang bị nối đất ở phía trên mặt đất phải sơn màu tím hoặc đen.
Trong những gian có yêu cầu cao về trang trí, cho phép sơn dây nối đất phù hợp với màu của gian phòng, nhưng tại chỗ nối hoặc phân nhánh của dây nối đất phải sơn 2 vạch màu tím hoặc đen cách nhau 150 mm. Đường dây điện nhánh 2 dây, trong đó dây trung tính được sử dụng làm dây nối đất thì tại chỗ hàn hoặc chỗ nối của dây trung tính cũng phải sơn màu tím.
1.7.3 Nối đất các công trình lưới điện
1.7.3.1 Nối đất cho đường cáp điện
Các phần kim loại của đường cáp điện và công trình cáp có thể gây điện giật nguy hiểm cho con người phải được nối đất hoặc nối với dây trung tính bằng dây nối đất có đường kính không được nhỏ hơn 6 mm.
1.7.3.2 Nối đất cột và dây trung tính của ĐDK có điện áp đến 1 kV
1.7.3.2.1 ĐDK điện áp đến 1 kV chỉ thực hiện phương pháp nối đất trung tính khi lưới điện có trung tính nối đất. Trong lưới điện trung tính nối đất, các chân và móc treo của cách điện, kết cấu kim loại của giá đỡ, cốt thép của cột bê tông cần nối vào dây trung tính.
Dây trung tính phải có nối đất lặp lại. Khoảng cách giữa các điểm nối đất lặp lại là 200-250 m. Dây nối đất có đường kính không nhỏ hơn 6 mm (cho phép sử dụng cốt thép của cột bê tông làm dây nối đất). Điện trở nối đất lặp lại cho dây trung tính không được lớn hơn 50 Ω.
1.7.3.2.2 ĐDK điện áp đến 1 kV không được che chắn bởi các cây cao, nhà cao, ống khói cao, v.v. cần bố trí nối đất cho cột, khoảng cách giữa chúng với nhau không được lớn hơn:
- 200 m đối với vùng có số giờ dông trong năm dưới 40;
- 100 m đối với vùng có số giờ dông trong năm trên 40.
Điện trở nối đất cho cột không được lớn hơn 30 Ω.
Ngoài ra còn phải nối đất:
a. Tại cột rẽ nhánh vào các hộ tiêu thụ điện lớn (trường học, vườn trẻ, bệnh viện, trại chăn nuôi gia súc, kho tàng, xưởng máy, v.v.);
b. Tại cột cuối đường dây rẽ nhánh vào hộ tiêu thụ điện, khoảng cách từ cột cuối đường dây đến cột nối đất liền kề không được lớn hơn 100 m với vùng có số giờ dông trong năm đến 40 và 50 m đối với vùng có số giờ dông trong năm trên 40.
Nối đất cột cũng được sử dụng làm nối đất lặp lại của dây trung tính.
Ngoài ra, tại các cột nêu ở điểm a và b Khoản 1.7.3.2.2 này nên đặt chống sét hạ áp.
1.7.3.3 Nối đất cột và dây trung tính của ĐDK có điện áp trên 1 kV
1.7.3.3.1 Yêu cầu nối đất:
a) ĐDK điện áp 110 kV trở lên nối đất tất cả các cột;
b) ĐDK đến 35 kV không có bảo vệ 50Ns (67Ns) và đi qua khu vực phải tăng cường các biện pháp an toàn phải nối đất tất cả các cột;
c) ĐDK đến 35 kV có bảo vệ 50Ns (67Ns) hoặc đi ngoài khu vực phải tăng cường các biện pháp an toàn phải nối đất cách cột (2 đến 3 khoảng cột) và nối đất tại các cột giao chéo với đường giao thông;
d) Giá lắp thiết bị, xà của cột, thang leo lên cột phải được nối đất chung với cột.
đ) Cột với mọi cấp điện áp nối đất các cột có mắc dây chống sét hoặc trên cột có lắp đặt MBA, thiết bị bảo vệ, đo lường, đóng cắt, v.v.;
e) Cột của đường thông tin, đường tín hiệu giao chéo với ĐDK điện áp trên 1 kV phải bố trí khe hở bảo vệ.
1.7.3.3.2 Yêu cầu về hệ thống nối đất:
Hệ thống nối đất bao gồm điện cực tiếp đất và dây nối đất. Điện cực tiếp đất nối đất phải được đặt ở độ sâu ít nhất là 0,8 m, ở những khu vực đất đá cho phép đặt dây nối đất trong lớp đất đá với chiều dày lớp đất đá phủ không được nhỏ hơn 0,1 m. Khi chiều dày lớp đất đá phủ không đạt yêu cầu trên có thể đặt dây nối đất trên mặt lớp đá và phủ ở trên bằng vữa xi măng kéo đến khu vực bố trí điện cực tiếp đất.
1.7.3.3.3 Yêu cầu điện trở nối đất:
a. ĐDK điện áp trên 1 kV đến 500 kV có treo dây chống sét, ĐDK trên cột có lắp đặt các thiết bị như MBA lực, MBA đo lường, dao cách ly, cầu chảy hoặc thiết bị khác, ĐDK điện áp 6-22 kV ở khu vực dân cư, ĐDK điện áp 6-35 kV có dòng chạm đất lớn phải nối đất cột theo quy định trong bảng sau:
Bảng 1.18: Điện trở nối đất của ĐDK
|
Điện trở suất của đất p (Ωm) |
Điện trở nối đất (Ω) |
|
Đến 100 |
Đến 10 |
|
Trên 100 đến 500 |
15 |
|
Trên 500 đến 1000 |
20 |
|
Trên 1000 đến 5000 |
30 |
|
Trên 5000 |
6.10 -3ρ |
b) ĐDK điện áp 6-22 kV ở khu vực không có dân cư:
- Khi điện trở suất của đất đến 100 Ωm, không quá 30 Ω;
- Khi điện trở suất của đất trên 100 Ωm, không quá 0,3 pΩ;
c) Điện trở nối đất cột của ĐDK có điện áp từ 6-35 kV có dòng điện chạm đất nhỏ không quá 50 Ω;
d) Cột cuối của ĐDK 110 kV và 220 kV nối vào TBA ở những vùng ít sét cho phép tăng điện trở nối đất của cột lên như sau:
- 1,5 lần khi số giờ sét nhỏ hơn 20;
- 3 lần khi số giờ sét nhỏ hơn 10;
đ) Trong khoảng giao chéo với ĐDK với cấp điện áp từ 220 kV trở lên, đường ống dẫn kim loại, cầu, hàng rào kim loại và đường cáp vận chuyển trên không phải được nối đất với điện trở nối đất không được lớn hơn 10 Ω;
e) Sử dụng phần thép của kết cấu:
- ĐDK đi qua vùng đất có điện trở suất ρ ≤ 500 Ωm, cốt thép của móng bê tông cốt thép nếu móng không phủ sơn không dẫn điện được phép sử dụng làm dây nối đất tự nhiên hoặc kết hợp với thiết bị nối đất nhân tạo và cốt thép móng được hàn liên kết với bu-lông móng;
- Cốt thép của cột bê tông cốt thép được phép dùng làm dây nối đất khi chúng được hàn nối liền với nhau;
- Thanh thép và ống thép của cột thép được phép dùng làm dây nối đất.
g) Dây nối đất với cột bê tông cốt thép và cột kim loại phải được liên kết bằng hàn, bằng bu lông hoặc ép dính.
h) Tại cột ĐDK cao trên 40 m có dây chống sét thì điện trở nối đất phải nhỏ hơn 2 lần trị số nêu tại bảng 1.17.
1.7.3.4 Nối đất cho vật kim loại và trong hành lang bảo vệ an toàn ĐDK
Vật kim loại chịu ảnh hưởng của cảm ứng tĩnh điện từ ĐDK điện áp 220 kV trở lên trong phạm vi quy định phải được nối đất.
1.7.3.4.1 Phạm vi nối đất
Nối đất kết cấu kim loại trong và liền kề hành lang bảo vệ an toàn ĐDK đối với điện áp 220 kV trở lên quy định như sau:
- 220 kV: Trong và liền kề hành lang bảo vệ an toàn đường dây đến 25 m tính từ mép dây dẫn ngoài cùng hoặc dưới cùng;
- 500 kV: Trong và liền kề hành lang bảo vệ an toàn đường dây đến 60 m tính từ mép dây dẫn ngoài cùng hoặc dưới cùng;
1.7.3.4.2 Đối tượng phải nối đất
- Nhà ở, công trình có mái làm bằng kim loại cách điện với đất: Nối đất mái. Các kết cấu kim loại nằm dưới mái không phải nối đất;
- Nhà ở, công trình có mái không làm bằng kim loại: Nối đất tất cả các kết cấu kim loại cách điện với đất như vách, tường bao, dầm, xà, vì kèo, khung cửa, v.v.;
- Nối đất các kết cấu kim loại cách điện với đất ở bên ngoài nhà ở, công trình như khung sắt, tấm tôn, dây phơi, v.v.
1.7.3.4.3 Kỹ thuật nối đất
- Cọc tiếp đất được làm bằng thép tròn đường kính không nhỏ hơn 16 mm hoặc thép vuông có tiết diện tương đương hoặc thép góc có kích thước không nhỏ hơn (40x40x4) mm; chiều dài phần chôn trong đất ít nhất 0,8 m (theo phương thẳng đứng), đầu cọc nhô lên khỏi mặt đất (không cao quá 0,15 m); nơi đặt cọc tiếp đất không được gây trở ngại cho người sử dụng nhà ở, công trình. Không được sơn phủ các vật liệu cách điện lên bề mặt cọc tiếp đất. Các cọc tiếp đất phải được mạ đồng hoặc mạ kẽm nhúng nóng;
- Dây nối đất có thể được làm bằng thép tròn đường kính không nhỏ hơn 6 mm hoặc thép dẹt kích thước không nhỏ hơn (24x4) mm hoặc dây đồng mềm nhiều sợi tiết diện không nhỏ hơn 16 mm 2 ; nếu dây nối đất làm bằng thép thì phải được mạ kẽm nhúng nóng. Dây nối đất được bắt chặt với đầu cọc tiếp đất và kết cấu kim loại bằng bu lông hoặc hàn;
- Trường hợp nhà ở, công trình đã có nối đất đang được sử dụng thì sử dụng hệ thống nối đất đó.
1.7.4 Nối đất cho TBPP và TBA
1.7.4.1 Nối đất cho thiết bị cố định
Những bộ phận kim loại của các máy móc, thiết bị điện ở trong nhà cũng như ngoài trời phải nối đất bao gồm:
a) Vỏ và bệ kim loại máy điện, vỏ máy biến áp, khí cụ điện, cột thanh cái, vỏ của thiết bị chiếu sáng, v.v.;
b) Mạch nhị thứ của TI và biến điện áp;
c) Khung kim loại của tủ phân phối điện, bảng điều khiển, bảng điện và tủ điện;
d) Kết cấu kim loại của sàn điều khiển ngoài trời và trạm biến áp, vỏ kim loại và vỏ bọc của cáp, hộp đầu cáp, ống kim loại để luồn cáp, vỏ và giá đỡ các thiết bị điện;
đ) Vỏ kim loại của máy điện di động hoặc cầm tay;
e) Bộ chống sét lắp ở các mạch điện.
1.7.4.2 Nối đất của thiết bị điện di động
a) Trường hợp yêu cầu nối đất
Thiết bị điện di động nhận điện từ nguồn điện cố định hoặc từ trạm phát điện di động phải nối vỏ của thiết bị đó tới hệ thống nối đất của nguồn cung cấp điện.
Trong lưới điện có trung tính cách ly phải bố trí hệ thống nối đất ngay gần thiết bị điện di động. Nếu việc nối đất cho thiết bị điện di động không thể thực hiện được hoặc không hợp lý thì phải thay thế việc nối đất bằng thiết bị bảo vệ cắt nhanh khi bị chạm đất;
b) Trường hợp không yêu cầu nối đất
Không yêu cầu nối đất cho thiết bị điện di động và trạm phát điện trong các trường hợp dưới đây:
- Nếu thiết bị điện di động có một máy phát điện riêng không cấp điện cho các thiết bị khác đặt trực tiếp ngay trên máy đó và trên một bệ kim loại chung;
- Nếu các thiết bị điện di động (với số lượng không lớn hơn 2 nhận điện từ trạm phát điện di động riêng không cung cấp điện cho các thiết bị khác với khoảng cách từ thiết bị di động đến trạm phát điện không quá 50 m và vỏ của các thiết bị di động được nối với vỏ của nguồn phát điện bằng dây dẫn;
c) Dây nối đất cho thiết bị điện di động
Các dây dẫn sau có thể sử dụng làm dây nối vỏ của nguồn cấp điện với vỏ của thiết bị điện di động:
- Lõi thứ năm của cáp trong lưới điện 3 pha có dây trung tính;
- Lõi thứ tư của cáp trong lưới điện 3 pha không có dây trung tính;
- Lõi thứ ba của cáp trong lưới điện 1 pha.
Dây nối đất, dây bảo vệ tiếp đất và dây nối vỏ của thiết bị phải là dây đồng mềm có tiết diện bằng tiết diện dây pha và nên ở cùng trong một vỏ với các dây pha.
1.7.4.3 Tính toán điện trở nối đất TBPP và TBA
1.7.4.3.1 Tính toán dòng chạm đất
a) Trị số dòng điện tính toán dùng để lựa chọn đặc tính kỹ thuật của dây nối đất phải lấy trị số lớn nhất của dòng điện ổn định chạm đất 1 pha trong hệ thống điện và phải tính đến sự phân bố dòng điện chạm đất giữa các điểm trung tính nối đất của hệ thống;
b) Trị số dòng điện chạm đất tính toán xác định theo sơ đồ vận hành của lưới điện gây ra dòng điện ngắn mạch có trị số lớn nhất.
1.7.4.3.2 Thời gian cắt trong trường hợp chạm đất
Khi xác định giá trị điện áp tiếp xúc và điện áp bước cho phép, thời gian tác động tính toán phải lấy bằng tổng thời gian tác động của bảo vệ và thời gian cắt toàn phần của máy cắt. Ở chỗ làm việc của công nhân nếu tiếp tục thực hiện các thao tác đóng cắt có thể xuất hiện ngắn mạch ở các kết cấu mà công nhân có thể chạm tới thì thời gian tác động của thiết bị bảo vệ phải lấy bằng thời gian tác động của bảo vệ dự phòng.
1.7.4.3.3 Xác định điện trở suất của đất
Khi thiết kế nối đất cho thiết bị điện phải xác định trị số điện trở suất của đất bằng cách đo tại hiện trường. Xác định điện trở suất của đất sử dụng cho thiết kế hệ thống nối đất phải được thực hiện có xét đến sự biến thiên của điện trở suất của đất trong cả năm.
1.7.4.3.4 Điện trở nối đất
a) Điện trở nối đất của trung tính:
Điện trở nối đất của trung tính máy phát điện hoặc máy biến áp, hoặc đầu ra của nguồn điện 1 pha ở bất kỳ thời điểm nào trong năm không được lớn hơn 4 Ω tương ứng với điện áp dây của nguồn điện 3 pha là 380 V hoặc tương ứng với điện áp pha của nguồn điện 1 pha là 220 V. Khi điện trở suất của đất lớn hơn 100 Ωm, cho phép tăng điện trở nối đất lên 0,01 p lần, nhưng không được lớn hơn 10 lần;
b) Điện trở của hệ thống nối đất trạm biến áp điện áp đến 35 kV, trong cả năm không được lớn hơn 10 Ω;
c) Điện trở của hệ thống nối đất trạm biến áp 110 kV đến 500 kV phải được tính toán theo điện áp tiếp xúc, điện áp bước và đáp ứng các điều kiện sau đây:
- Điện trở của hệ thống nối đất trạm biến áp 110 kV đến 500 kV ở vùng có điện trở suất không quá 500 Ωm không được lớn hơn 0,5 Ω trong bất cứ thời điểm nào trong năm, có tính đến điện trở nối đất tự nhiên.
- Đối với vùng đất có điện trở suất lớn hơn 500 Ωm, xác định vào thời gian bất lợi trong năm (đo vào mùa khô), cần thực hiện theo các biện pháp sau:
+ Tăng chiều dài cọc nối đất nếu điện trở suất của đất giảm theo độ sâu. + Đặt điện cực nối đất kéo dài (có thể từ 1 đến 2 km) nếu ở gần đó có những chỗ có điện trở suất của đất nhỏ hơn.
+ Cải tạo đất để làm giảm điện trở suất của đất (dùng bột sét, bột bentônít hoặc than chì v.v. trộn với các chất phụ gia khác).
+ Trong vùng đất đá, cho phép đặt các điện cực nối đất nông hơn so với yêu cầu nhưng không được nhỏ hơn 0,15 m. Ngoài ra không cần bố trí cọc nối đất ở các cửa ra vào.
- Việc lắp đặt trang bị nối đất cho thiết bị điện có điện áp lớn hơn 1 kV, ở vùng đất có điện trở suất lớn hơn 500Ωm, được phép tăng giá trị điện trở nối đất của trang bị nối đất lên đến 0,001 ρΩ nhưng không được lớn hơn 5 Ω, nếu việc thực hiện như điều trên có chi phí quá cao.
- Trường hợp thực hiện trang bị nối đất như trên vẫn không đạt được theo yêu cầu thì cho phép thực hiện theo tiêu chuẩn điện áp tiếp xúc và điện áp bước cho phép với điều kiện: điện áp tiếp xúc và điện áp bước tính toán phải nhỏ hơn điện áp tiếp xúc và điện áp bước cho phép;
- Tiết diện dây nối đất phải lớn hơn tiết diện dây nối đất tính toán;
- Điện áp dư của lưới nối đất khi có ngắn mạch phải nhỏ hơn mức cách điện của trung tính nối đất các thiết bị có trung tính nối đất làm việc trong trạm.
Tính toán điện áp tiếp xúc, điện áp bước và điện trở nối đất xem Phụ lục Đ.
1.8 YÊU CẦU VỀ THI CÔNG CÁC CÔNG TRÌNH LƯỚI ĐIỆN
1.8.1 Quy định chung
1.8.1.1 Mục đích và phạm vi áp dụng
Phần này quy định các điều khoản, thủ tục cần thiết và các yêu cầu kỹ thuật cho việc xây dựng, lắp đặt và sửa chữa các công trình lưới điện điện áp đến 500 kV.
Đơn vị quản lý công trình lưới điện, tổ chức/đơn vị thiết kế điện, đơn vị thi công và nghiệm thu các công trình xây lắp điện, cũng như các đơn vị cung cấp thiết bị, các nhà chế tạo thiết bị phải thực hiện quy định này.
Đối với hệ thống điện của nhà ở và nhà công cộng có điện áp cao nhất không quá 1000V, tần số 50Hz thì thực hiện theo QCVN 12 và QTĐ-8.
1.8.1.2 Các điều kiện và phương pháp kỹ thuật
Các điều kiện và phương pháp kỹ thuật thi công nêu trong Quy chuẩn kỹ thuật này không hạn chế việc sử dụng các phương pháp, công nghệ thi công khác nếu bảo đảm an toàn và phù hợp các yêu cầu kỹ thuật
1.8.1.3 Quy định liên quan được áp dụng
Khi xây lắp các thiết bị điện phải thực hiện:
- Quy chuẩn kỹ thuật này.
- Các tiêu chuẩn và quy chuẩn kỹ thuật xây dựng hiện hành.
- Quy chuẩn kỹ thuật an toàn trong xây dựng, các quy định về an toàn vệ sinh lao động và phòng cháy chữa cháy.
- Hồ sơ thiết kế đã được thẩm định và phê duyệt (bao gồm thiết kế và tiến độ).
- Giấy chứng nhận quyền sử dụng đất, quyền sở hữu nhà ở và tài sản khác gắn liền với đất.
- Điều kiện môi trường làm việc.
a) Cường độ điện trường khu vực có người thường xuyên làm việc phải bảo đảm yêu cầu không được vượt quá 5 kV/m;
b) Khi người lao động không sử dụng trang bị bảo hộ lao động chống ảnh hưởng của điện từ trường, thời gian làm việc được quy định trong bảng sau:
Bảng 1.19: Cường độ điện trường và thời gian cho phép làm việc
|
Cường độ điện trường E ( kV/m) |
< 5 |
5 |
8 |
10 |
12 |
15 |
18 |
20 |
20< |
> 25 |
|
E≤25 |
||||||||||
|
Thời gian cho phép |
Không |
480 |
255 |
180 |
130 |
80 |
48 |
30 |
10 |
0 |
|
làm việc (phút) |
hạn chế |
Cường độ điện trường có trị số khác với bảng trên thì thời gian làm việc cho phép được tính toán bằng (50/E-2) giờ.
1.8.1.4 Yêu cầu huấn luyện đối với công việc liên quan
Đối với các loại công việc như: Lắp đặt các bình ắc quy; công tác hàn, công tác chằng buộc, làm việc trên cao, công tác xây lắp có sử dụng búa hơi, búa súng hoặc các dụng cụ lắp đặt khác; lắp đặt máy cắt có cấp điện áp từ 110kV trở lên; thi công đầu cáp, hộp nối cáp từ 22kV trở lên v.v. chỉ được phép thực hiện bởi những người đã được huấn luyện an toàn, được huấn luyện nắm vững các điều quy định của Quy chuẩn kỹ thuật, quy trình công nghệ và Quy chuẩn kỹ thuật an toàn và các quy định pháp luật về an toàn lao động liên quan.
1.8.1.5 Giám sát và kiểm tra thi công công trình
1.8.1.5.1 Giám sát công trường
Công trường phải được giám sát xây dựng để kiểm tra tiến độ xây dựng, kiểm tra kỹ thuật xây dựng, kiểm tra xuất nhập và lưu kho thiết bị, vật tư, kiểm tra an toàn xây dựng, kiểm tra vệ sinh môi trường, kiểm tra phương tiện giao thông và hạ tầng giao thông. Người quản lý kỹ thuật giám sát công trường phải hiểu rõ quy chuẩn kỹ thuật và các công việc quản lý xây dựng công trình để xác nhận việc tuân thủ quy chuẩn kỹ thuật và điều kiện đáp ứng cho xây dựng tại công trường. Nếu phát hiện những điều kiện nào không phù hợp, phải cung cấp các hướng dẫn thích hợp để cải thiện và điều chỉnh.
1.8.1.5.2 Kiểm tra an toàn thi công
a) Người tham gia thi công: Kiểm tra sức khỏe, năng lực, trang bị bảo hộ lao động, đã được huấn luyện an toàn, đã được huấn luyện thực hiện những công việc đặc biệt. Nếu đáp ứng đầy đủ những yêu cầu theo quy định thì mới cho phép tham gia thi công;
b) Phương tiện và thiết bị thi công: Kiểm tra chất lượng của phương tiện và thiết bị thi công nếu đáp ứng về mức độ an toàn, về năng lực thực hiện công việc nêu trong biện pháp tổ chức thi công thì mới cho phép triển khai thi công;
c) Thiết bị và vật tư lắp đặt: Kiểm tra chất lượng của thiết bị và vật tư sẽ được lắp đặt, nếu đáp ứng những yêu cầu kỹ thuật đáp ứng những yêu cầu của pháp luật về an toàn PCCC nêu trong thiết kế kỹ thuật, thẩm duyệt thiết kế về PCCC thì mới cho phép đưa vào lắp đặt;
d) Địa điểm và môi trường làm việc
- Kiểm tra các văn bản pháp lý (giấy phép cắt điện, giấy phép vượt quốc lộ, v.v.) và các biện pháp phòng tránh (dàn giáo, biển báo, v.v.);
- Kiểm tra môi trường làm việc (mưa, gió, dông, sét, v. v.);
- Nếu bảo đảm các điều kiện thi công theo quy định thì mới cho phép triển khai thực hiện.
1.8.1.6 Đào tạo nâng cao năng lực thực hiện tại công trường
Đào tạo nâng cao năng lực thực hiện tại công trường nghĩa là người quản lý kỹ thuật phải tiến hành huấn luyện cho mọi công nhân trước khi bắt đầu công việc xây dựng, trên quan điểm nâng cao chất lượng công việc và an toàn trong quá trình thực hiện công việc tại công trường.
Ngoài ra, người quản lý kỹ thuật phải giải thích cho công nhân về đặc điểm của công trình, những điểm quan trọng liên quan đến chất lượng công trình và đưa ra các biện pháp kiểm soát an toàn đối với các nguy hiểm dự kiến.
1.8.2 Công tác chuẩn bị thi công
1.8.2.1 Tài liệu thiết kế
- Tài liệu thiết kế phải phù hợp với các quy định của Nhà nước về thành phần, nội dung và biên chế công tác thiết kế, lập dự toán cho các công trình xây dựng công nghiệp.
- Các tài liệu thiết kế giao cho cơ quan xây lắp đều phải được cơ quan có thẩm quyền thẩm tra và phê duyệt.
- Tài liệu thiết kế của nước ngoài (nếu có) phải được dịch ra tiếng Việt và chuyển giao cho Nhà thầu thi công theo số lượng quy định, trừ trường hợp đã có thỏa thuận trước trong hợp đồng.
1.8.2.2 Kho bãi
1.8.2.2.1 Kho ngoài trời (kho hở)
Trong kho hở không có mái che, thiết bị điện phải được đặt trên giá sắp xếp theo từng loại, từng khu riêng. Tránh không để tiếp xúc với mặt đất.
Ở các kho hở hoặc nửa hở (các thiết bị được che cục bộ), các thiết bị phải được bố trí và được bảo vệ khỏi đọng nước và ẩm.
Các bộ phận, các thiết bị lớn và nặng phải được bố trí sao cho tránh bị biến dạng, thiết bị được cố định để tránh rơi vỡ.
Mặt bằng kho ngoài trời phải bảo đảm thoát nước tốt.
1.8.2.2.2 Kho trong nhà (kho kín)
a) Kho kín để lưu các thiết bị điện trước khi lắp đặt như tụ điện, ắc quy, cáp điện, cách điện, phụ kiện, tủ bảng điện, thiết bị điện tử, v.v. phải thông thoáng, sắp xếp theo từng loại, từng khu riêng và phải có đà, giá kê để tránh ẩm ướt, có lối đi thuận lợi cho việc xuất, nhập vật tư thiết bị;
b) Kho kín để lưu kho các thiết bị dễ bị ảnh hưởng của môi trường như các thiết bị điện tử, phương tiện đo kỹ thuật số, các tủ bảng điện, v.v. cần được trang bị máy điều hòa không khí nếu phải lưu kho lâu dài.
1.8.2.2.3 Kho xi măng
Kho xi măng bao phải có mái và sàn, các sàn này phải có gầm rỗng để thông gió. Không được phép để xi măng có mác khác nhau cùng một chỗ với nhau.
Xi măng rời được rót vào các lô chứa theo từng mác khác nhau.
1.8.2.2.4 Kho chất nổ và kíp nổ phục vụ thi công
Kho bảo quản chất nổ và kíp nổ dùng cho xây lắp phải tuân thủ các quy định về bảo quản và vận chuyển chất nổ.
1.8.2.3 Thủ tục và điều kiện tiếp nhận, bảo quản và bàn giao các thiết bị điện và vật tư xây lắp
1.8.2.3.1 Trình tự, điều kiện tiếp nhận và bảo quản các thiết bị điện, các phụ kiện và các vật tư lưu kho phải theo đúng quy định của đơn vị chủ quản công trình và hướng dẫn của nhà chế tạo.
1.8.2.3.2 Yêu cầu lưu kho:
a) Những thiết bị đặt trong thùng kín, những thiết bị ít bị ảnh hưởng của môi trường, những kết cấu nặng, v.v. có thể lưu kho ở ngoài trời, nhưng phải có biện pháp chống đọng nước và ẩm;
b) Những thiết bị dễ bị ảnh hưởng của môi trường được lưu kho trong nhà;
c) Các thiết bị điện trong kho phải được giữ ở vị trí an toàn, thuận tiện cho vận chuyển và lắp ráp. Nếu các ký hiệu hoặc mã hiệu bị mờ hoặc mất, phải kiểm tra và phục hồi lại trước khi lắp ráp;
d) Tại nơi bảo quản phải treo biển ghi rõ tên các nhóm chi tiết của thiết bị, vật tư, nếu lưu kho ở ngoài trời thì phải đóng cọc treo các biển nói trên. Các khối thiết bị lớn, nặng phải ghi rõ cả khối lượng của chúng.
1.8.2.3.3 Các kho hở và kho kín, các hệ đỡ và các bãi để bảo quản thiết bị, vật tư phải có đầy đủ các phương tiện để bốc dỡ, sắp xếp, di chuyển thiết bị, vật tư.
1.8.2.3.4 Trước khi bàn giao, các thiết bị, vật tư phải được kiểm tra đánh giá hiện trạng của thiết bị và vật tư. Khi bàn giao phải lập Biên bản giao nhận.
1.8.2.4 Bảo dưỡng thiết bị lưu kho
- Trường hợp thiết bị lưu kho lâu dài, theo định kỳ quy định của thiết bị phải tiến hành bảo dưỡng.
- Các vật tư thiết bị lưu kho bị hư hỏng phải được tách riêng ra để xử lý và tránh cấp phát nhầm.
1.8.3 Các yêu cầu đối với phần xây dựng để lắp đặt thiết bị
1.8.3.1 Những công việc thực hiện trước khi lắp đặt thiết bị
Trước khi lắp đặt các thiết bị căn cứ yêu cầu thi công để tiến hành các công việc phù hợp như sau:
- Xây dựng các công trình tạm và các lều lán cho công nhân chuẩn bị lắp đặt thiết bị.
- Xây dựng các đường cố định và đường tạm thời. Độ rộng của đường nhánh và đường tạm phải rộng đủ lớn để vận chuyển thiết bị điện (bao gồm thiết bị siêu trường, siêu trọng), các loại vật liệu và các bộ phận để lắp tới địa điểm và vị trí lắp đặt.
- Xây dựng các đường cho xe cứu hỏa, đặt các ống và các thiết bị cần thiết cho cứu hỏa.
- Lắp đặt các hệ thống khí nén, nước và điện tạm thời và cố định cũng như các thiết bị để đấu nối với các máy thi công.
- Lắp các thang và dàn giáo ở các vị trí cần cẩu không thao tác được.
- Xây dựng các kết cấu để lắp đặt thiết bị trọn bộ như tủ điều khiển, bảng điện, phòng đặt máy biến áp và các buồng điện khác phải hoàn thành trước khi lắp đặt thiết bị.
- Tất cả các vật chôn ngầm, các lỗ, hốc chừa sẵn trong kết cấu bê tông để lắp thiết bị phải thực hiện theo thiết kế và đối chiếu với thiết bị sẽ lắp đặt, phải có đầy đủ số liệu kỹ thuật, văn bản nghiệm thu kỹ thuật.
1.8.3.2 Thứ tự ưu tiên xây lắp
Phải ưu tiên xây dựng các công trình cấp điện, cấp nước thi công (trạm biến áp, hệ thống nước), lán trại tạm thời và đường tạm thi công trước khi xây dựng các hạng mục chính.
1.8.3.3 Báo cáo kiểm tra và nghiệm thu công trình
Cơ quan chủ quản công trình và các nhà thầu lập báo cáo kiểm tra và lập biên bản nghiệm thu từng hạng mục hoặc công trình đã hoàn thành.
1.8.3.4 Cơ sở nghiệm thu công trình
Các hạng mục hoặc các công trình đã hoàn thành phải nghiệm thu căn cứ vào tài liệu thiết kế đã được phê duyệt và các quy định trong Quy chuẩn kỹ thuật và các văn bản quy định khác có liên quan.
1.8.4 Công tác lắp đặt
1.8.4.1 Áp dụng phương pháp xây lắp
Trong quá trình xây lắp cần áp dụng các phương pháp công nghiệp hóa đến mức cao nhất. Sử dụng tối đa các phương pháp xây dựng và chế tạo tổ hợp lắp sẵn: các kết cấu được chế tạo sẵn thành từng bộ, các thiết bị điện được lắp đặt trọn bộ, thành khối, thành cụm ở xưởng gia công trước khi lắp đặt.
1.8.4.2 Các bước xây lắp
Công tác xây lắp điện phải tiến hành theo 2 bước:
Bước 1: Phải định vị toàn bộ những kết cấu xây dựng có liên quan trên công trường trước khi thi công.
Bước 2: Tiến hành xây dựng và lắp đặt các thiết bị điện theo trình tự ưu tiên và biện pháp tổ chức thi công đã được phê duyệt.
1.8.4.3 Kiểm tra, điều chỉnh các máy đo gắn trên thiết bị thi công
Phải thường xuyên kiểm tra, hiệu chỉnh từng đồng hồ, thiết bị đo gắn trên thiết bị thi công tại hiện trường xây lắp.
1.8.5 Lắp đặt dây dẫn và cáp
1.8.5.1 Phạm vi áp dụng
Các quy định trong phần này áp dụng để lắp đặt các dây dẫn điện động lực và chiếu sáng điện áp một chiều và xoay chiều ở trong nhà và ngoài trời bằng dây dẫn bọc cách điện và cáp có và không có vỏ thép.
1.8.5.2 Lắp đặt dây dẫn và cáp
1.8.5.2.1 Độ cao lắp đặt: Các dây dẫn trần đặt trong các phân xưởng nơi có nhiều người (không có nhiệm vụ) lui tới phải được đặt ở độ cao quy định trong tài liệu thiết kế.
Không quy định độ cao lắp đặt cách nền nhà hoặc sàn nhà cho dây dẫn bọc cách điện được bảo vệ (dây bọc), dây bọc luồn trong ống cách điện có vỏ kim loại, dây bọc và cáp luồn trong các ống thép và các ống lồng mềm bằng kim loại, nhưng phải bảo đảm thuận lợi cho các hoạt động trong khu vực đi dây. Ở những chỗ dây dẫn và cáp có thể bị hư hỏng do cơ học thì phải được bảo vệ tăng cường.
1.8.5.2.2 Khi đặt gần những nơi có nhiệt độ cao thì dây dẫn và cáp phải được bảo vệ chống tác hại do nóng hoặc phải dùng loại dây dẫn và cáp thích hợp.
1.8.5.2.3 Các dây dẫn và cáp đặt hở phải phối hợp với các đường nét kiến trúc của nhà và công trình để bảo đảm mỹ thuật.
1.8.5.2.4 Các dây dẫn và cáp đặt trong các gian ẩm ướt (xí, tắm...) càng ngắn càng tốt. Các dây dẫn nên đặt ở bên ngoài các gian này và đèn chiếu sáng nên đặt gần dây dẫn ở trên tường.
1.8.5.2.5 Dây dẫn và cáp đặt theo bề mặt kết cấu thường xuyên bị nung nóng (đường dẫn khói, đường dẫn khí lò, v.v.) không cho phép đặt kín. Khi đặt hở trên bề mặt đường dẫn khói, đường dẫn khí lò, v.v. thì nhiệt độ xung quanh dây dẫn cần được xem xét hoặc có giải pháp để cáp vận hành không quá nhiệt độ cho phép của cáp,
1.8.5.2.6 Các dây dẫn và cáp đặt trong tường hoặc trong cấu trúc phải có 1 đoạn dự phòng ít nhất là 50mm ở cạnh những chỗ nối trong các hộp phân nhánh và ở cạnh chỗ nối với các đèn chiếu sáng, công tắc và ổ cắm.
1.8.5.2.7 Cố định dây dẫn và cáp vào các kết cấu công trình thường dùng súng chuyên dùng để thi công hoặc dùng các biện pháp khác thích hợp. Các đinh phải được lựa chọn và cố định lên các mặt đỡ theo đúng tài liệu hướng dẫn.
Ở những đoạn thẳng của tuyến dây, các vòng kẹp dùng để cố định dây dẫn, cáp và ống được đặt trực tiếp trên bề mặt đó phải cách đều nhau. Trên các mặt đoạn thẳng và các chỗ vòng, các vòng kẹp phải đặt thẳng góc với đường tim đặt dây dẫn.
Các vòng kẹp bằng kim loại dùng để cố định dây dẫn, cáp và ống thép đều phải mạ kẽm hoặc sơn chống gỉ.
Cáp đặt trên giá đỡ cáp nếu cáp võng quá mức cho phép thì phải đặt máng cáp.
1.8.5.2.8 Dây dẫn và cáp đặt trong các cấu kiện đúc sẵn thành tấm lớn và các khối lớn của các công trình, các ống để luồn dây, các hốc để đặt công tắc, ổ cắm, các hộp điện phải phù hợp với bản vẽ thiết kế các cấu kiện đó.
1.8.5.2.9 Chỗ nối và phân nhánh các dây dẫn và cáp không được chịu các ứng suất cơ học. Chỗ nối và phân nhánh ruột cáp và dây dẫn phải được cách điện và cách nhiệt tương đương với những chỗ khác của cáp.
Nối rẽ nhánh và nối dây điện và cáp trong các ống phi kim loại và ống cứng phải thực hiện ở các hộp nối, hộp rẽ nhánh.
1.8.5.2.10 Ở chỗ dây dẫn chui ra khỏi hộp, máng, ống cứng và ống lồng mềm bằng kim loại đều phải được bảo vệ để tránh hư hỏng. Ở những chỗ dây dẫn giao chéo với các mối nối co dãn phải có vật bù trừ co dãn.
1.8.5.2.11 Các loại dây dẫn và cáp chuyên dùng, cũng như các loại dây dẫn khác yêu cầu phải treo thì được treo vào dây thép cứng hoặc dây thép bện mạ kẽm phù hợp với yêu cầu của thiết kế về độ võng, tải trọng gió và trọng lượng của cáp treo vào.
1.8.5.2.12 Không cho phép đặt trực tiếp dây dẫn điện áp đến 1 kV trên cột đèn, các ống khói, tháp nước, cũng như ở những gian dễ nổ. Nếu bắt buộc phải lắp đặt ở những vị trí trên thì phải sử dụng loại cáp có vỏ bảo vệ bằng kim loại hoặc luồn trong ống kim loại được nối đất.
1.8.5.2.13 Tất cả mọi dây trong cùng một mạch xoay chiều, kể cả dây trung tính phải đặt chung trong một ống.
Dây dẫn và cáp 1 pha của mạch điện xoay chiều chỉ cho phép đặt trong ống không từ tính. Cho phép đặt các dây dẫn của cùng 1 pha chung trong một ống thép nếu dòng điện danh định không vượt quá 25 A.
1.8.5.2.14 Bán kính uốn của dây dẫn và cáp thực hiện theo quy định của nhà chế tạo.
1.8.5.3 Lắp đặt dây dẫn và cáp trong gian dễ cháy, dễ nổ
1.8.5.3.1 Khi đặt dây dẫn và cáp ở các thiết bị dễ nổ, phải luồn dây trong ống thép và tuân theo các yêu cầu riêng: Chỗ nối ống phải có ít nhất 5 đường ren nguyên vẹn, chỗ nối chèn bằng sợi gai tẩm dầu sơn pha bột chì, cấm không được hàn.
Các hộp phân nhánh ở các gian cháy nổ phải là kiểu chống nổ, còn ở các gian khác có thể dùng kiểu chống bụi.
Trên đường ống luồn dây, phải có chỗ xả nước đọng khi luồn dây dẫn đặt trong ống vào vỏ động cơ, khí cụ, đồng hồ, vào các bộ phận để nối dây và đưa dây dẫn ra ngoài gian dễ nổ, hoặc đưa dây dẫn từ gian dễ nổ này sang gian dễ nổ khác đều phải luồn trong ống. Khi đó các ống phải được chèn kín từng đoạn. Cấm lợi dụng các bộ phận nối cầu được chèn kín để đấu nối hoặc rẽ nhánh dây dẫn.
Cao su và những vật liệu khác dùng để chèn kín, hoặc để cách điện không được để tiếp xúc với những chất lỏng có thể làm hỏng chúng.
Chỗ nối ống phải được thử chịu áp lực: 2,5 at đối với các gian cấp B-I, 0,5 at đối với các gian cấp B-Ia, B-II, B-Ila. Sau 3 phút, áp lực thử không được giảm quá 50%. Chỗ đường ống xuyên qua tường phải chèn chặt bằng vật liệu không cháy.
Khi đặt dây ngầm ở các gian dễ cháy việc nối dây dẫn không có hộp đấu dây, yêu cầu phải nối qua hộp chuyển tiếp đặt chìm trong tường.
1.8.5.3.2 Khi đặt các bộ dẫn điện trần bằng đồng hoặc nhôm trong các gian dễ nổ và các gian dễ cháy thuộc mọi cấp, phải thỏa mãn các yêu cầu sau:
a) Chỗ nối thanh dẫn không cần tháo rời thì phải hàn;
b) Những chỗ nối thanh cái vào thiết bị điện bằng bu lông phải nối chắc chắn và phải có biện pháp thích hợp để chống đai ốc tự tháo;
c) Thanh dẫn phải có hộp bảo vệ, có lỗ khoan thông gió đường kính không quá 6mm;
d) Trong các gian dễ nổ, hộp bảo vệ phải làm bằng kim loại và chỉ được tháo mở bằng khóa;
đ) Trong các gian dễ cháy cấp n-I, n-II thì các hộp bảo vệ phải thuộc loại chống bụi.
1.8.5.3.3 Hộp nối và phân nhánh đặt ở các nhà dễ cháy phải là loại chống bụi làm bằng thép hoặc loại vật liệu bền chắc, kích thước thích hợp để việc nối dây được chắc chắn và dễ thấy, nếu hộp làm bằng thép thì ở trong phải có lớp lót cách điện, nếu hộp làm bằng nhựa (chất dẻo) thì phải là loại nhựa không cháy.
Trong các gian cấp n-II và n-IIa, cho phép dùng các loại hộp nối, hộp rẽ nhánh là loại hộp kiểu kín.
1.8.5.3.4 Khi lắp đặt hệ thống nối đất phải thực hiện theo quy định trong Điểm 1.7.3.
1.8.5.4 Nối dây dẫn và cáp
1.8.5.4.1 Nối ruột dây dẫn và cáp bằng nhôm, đồng hay hợp kim phải sử dụng phương pháp phù hợp với loại cáp, đảm bảo chất lượng điểm nối và an toàn, tuân thủ các quy định kỹ thuật hiện hành.
1.8.5.4.2 Đầu cốt, ống nối phải chọn tương ứng với tiết diện của dây. Đường kính lỗ của đầu cốt, chiều sâu lỗ và khoảng cách vết ép thực hiện theo quy định của nhà chế tạo.
1.8.5.4.3 Khi đấu nối dây dẫn có cấu trúc ruột dẫn nhiều sợi vào thiết bị điện, khí cụ điện hoặc hàng kẹp đấu dây, đầu dây dẫn phải ép đầu cốt phù hợp với tiết diện và vật liệu của ruột dẫn điện. Dây dẫn có cấu trúc dẫn 1 sợi có tiết diện đến 10 mm2 cho phép nối với nhau bằng cách vặn xoắn và đấu nối vào thiết bị điện, khí cụ điện hoặc hàng kẹp đấu dây bằng cách uốn đầu dây theo hình vòng khuyên.
1.8.5.4.4 Ở môi trường ẩm ướt, sau khi ép xong đầu cốt phải dùng băng cách điện quấn trùm lên cả vết ép.
1.8.5.4.5 Đầu cốt của cáp trên hộp đầu cáp sau khi ép xong phải bịt kín cùng với cách điện của hộp đầu cáp để chống thâm nhập của môi trường.
1.8.5.4.6 Ở các thiết bị điện ngoài trời dễ nổ và ở các gian dễ nổ, dễ cháy thuộc mọi cấp, việc nối và làm đầu cốt cho dây dẫn và cáp ruột nhôm phải thực hiện bằng cách hàn hoặc ép (trừ những nơi cấm dùng cáp ruột nhôm).
1.8.5.5 Lắp đặt hộp nối và hộp phân nhánh
1.8.5.5.1 Phải dùng các hộp nối và hộp phân nhánh để nối cũng như để phân nhánh các dây dẫn đặt trong hộp kín, trong các ống và trong các ống lồng mềm khi đặt hở cũng như khi đặt ngầm. Cấu tạo của các hộp nối và hộp phân nhánh phải phù hợp với cách đặt dây và điều kiện môi trường. Bên trong các hộp có nắp đóng mở được nối và phân nhánh dây dẫn bằng các kẹp chuyên dùng có vỏ cách điện bảo đảm.
Khi dây dẫn đặt ngầm, các hộp nối, hộp đặt công tắc, ổ cắm cùng phải đặt chìm trong kết cấu xây dựng sao cho mặt hộp (mặt công tắc, ổ cắm) ngang bằng với mặt tường. Hộp nối và hộp phân nhánh phải bằng chất cách điện hoặc bằng kim loại trong đệm lót cách điện và phải phù hợp với phương pháp đặt dây, môi trường xung quanh.
1.8.5.5.2 Khoảng cách giữa các hộp nối bố trí theo thực tế trong phạm vi thực hiện. Đối với ống cứng thì khoảng cách giữa hai hộp nối không được dài quá 9 m.
1.8.5.5.3 Các mặt hộp đặt ngoài trời sơn mầu xám khi dòng điện đến 1500 A, sơn ngân nhũ nếu lớn hơn 1500 A.
1.8.5.6 Các yêu cầu lắp đặt dây dẫn và cáp bố trí hở
Dây dẫn và cáp được bố trí hở trong những trường hợp sau đây:
- Trong các phòng dễ bị cháy.
- Trên trần nhà.
- Trực tiếp lên tường, vách ngăn, sàn có trát thạch cao thô hoặc trát vữa.
- Lên tường bằng vật liệu không cháy, vách ngăn có dán lớp bồi (ngay trên mặt lớp bồi).
- Cáp đặt hở phải được bảo vệ không để bức xạ nhiệt tác động trực tiếp vào cáp.
1.8.5.7 Các yêu cầu lắp đặt dây dẫn và cáp bố trí ngầm
1.8.5.7.1 Dây dẫn và cáp được bố trí ngầm trong những trường hợp sau đây:
a) Trong các phòng dễ nổ;
b) Trong các phòng đặc biệt ẩm;
c) Trong các phòng có môi trường ăn mòn cao;
d) Trong các phòng tập trung đông người như: nhà trẻ, bệnh viện, trường học, câu lạc bộ, nhà hát, siêu thị, nhà tập thể, v.v;
đ) Cấp điện cho các thiết bị chiếu sáng kiểu treo.
1.8.5.7.2 Dây dẫn và cáp đặt ngầm trong tường, trần hoặc vách ngăn bằng granitô hoặc trát vữa thường phải theo các điều kiện sau đây:
a) Nếu tường hoặc vách ngăn bằng vật liệu không cháy thì đặt dây trong rãnh đã lót vữa hoặc dưới lớp trát vữa;
b) Trong các rãnh và các kết cấu xây dựng rỗng;
c) Trong rãnh hoặc lỗ các kết cấu xây dựng đúc sẵn;
d) Đặt dưới lớp trát vữa của trần làm bằng các tấm không cháy;
đ) Đặt trong khe hở giữa các tấm bê tông đúc sẵn, bên ngoài trát vữa thạch cao mịn;
e) Đặt trong các rãnh chừa sẵn trong các tấm bê tông cốt thép cỡ lớn, ngoài cùng trát vữa thạch cao mịn;
g) Trong các tường và các hốc trống của các tấm bê tông cốt thép của panen và trong rãnh các tấm đặc biệt của nhà kiểu tấm lớn;
h) Đặt trên nền sàn thô của mỗi tầng, trần nhà không cháy của tầng cuối cùng (kể cả tầng hầm), dưới lớp vữa xi măng cát hoặc thạch cao dầy 10mm. Đối với dây đặt ngầm ở trần nhà yêu cầu phải đặt ở vị trí bảo đảm không bị hư hỏng về mặt cơ học.
1.8.5.7.3 Dây dẫn và cáp đặt ngầm dưới đất phải thực hiện theo quy định của thiết kế.
1.8.5.8 Dây dẫn và cáp giao chéo
1.8.5.8.1 Dây dẫn và cáp giao chéo với nhau, tại vị trí giao chéo phải quấn tăng cường băng nhựa dính hoặc băng cao su.
1.8.5.8.2 Dây dẫn và cáp giao chéo với các ống nhiên liệu khí hoặc lỏng, phải lắp đặt ở khoảng cách theo quy định của thiết kế.
1.8.5.8.3 Dây dẫn và cáp đi qua các vách chắn và sàn phải luồn trong ống cách điện, ở 2 đầu ống phải lồng ống lót bằng cao su hoặc sứ, nhựa.
1.8.5.9 Lắp đặt ống luồn dây dẫn và cáp
1.8.5.9.1 Ống thép để luồn dây và cáp điện chỉ được dùng trong phạm vi thiết kế quy định.
Phải tẩy sạch các ba via trong ống và ống không được móp méo bẹp. Nếu ống chưa có lớp bảo vệ chống gỉ (lớp mạ) thì phải đánh sạch rồi sơn mặt trong ngoài, ống đặt trong bê tông chỉ cần sơn mặt trong. Ống đặt trong nhà có hiện tượng ăn mòn thì phải sơn hoặc mạ theo chỉ dẫn của thiết kế.
1.8.5.9.2 Ống cách điện để luồn dây và cáp điện phải thực hiện theo các yêu cầu sau:
a) Ống cách điện để luồn dây và cáp điện qua tường, sàn gác phải liền và không được nối. Khi đặt ống trên bề mặt lát gỗ có trát vữa, không cho phép dùng măng sông để nối các ống cách điện trên đoạn tuyến giữa hai hộp;
b) Ống cách điện và ống xếp nếp để luồn dây và cáp điện khi đưa vào hộp, tủ, bảng, hộp bảo vệ làm bằng vật liệu không cách điện, cũng như khi đưa vào các hộp thì các đầu ống phải có ống lót hoặc phễu cách điện;
c) Ống cách điện để luồn dây và cáp không đưa vào ống, hộp hoặc vỏ của thiết bị điện, đồng hồ thì đầu nối cuối phải có ống lót hay phễu cách điện.
1.8.5.9.3 Khoảng cách cố định ống khi đặt hở từ 2,5 m đến 4 m theo yêu cầu thực tế.
1.8.5.9.4 Ống đặt trong móng của thiết bị công nghệ phải cố định vào kết cấu đỡ hay cốt thép trước khi đổ bê tông. Nối ống bằng măng sông có ren và được chèn kín. Chỗ ống ra khỏi móng chui vào đất phải thực hiện theo thiết kế để tránh gãy ống khi đất hay móng bị lún.
1.8.5.9.5 Ở chỗ giao chéo với khe giãn nở phải đặt ống trong các hộp đặc biệt có bộ phận giãn nở hoặc nối với bộ phận giãn nở mềm vào ống.
1.8.5.9.6 Ống lắp đặt ở các gian dễ nổ, dễ cháy, ẩm ướt, có hơi hoặc khí làm hại cách điện của dây ở những nơi dẫn nước hoặc nhũ tường có thể chui vào ống và ở các thiết bị điện ngoài trời đều phải dùng loại măng sông có ren rãnh với đệm kín ở chỗ nối. Ở các gian có bụi, chỗ nối ống phải chèn để chống bụi.
1.8.5.9.7 Ở những nơi ẩm ướt, nóng, bụi hay có hóa chất ăn mòn, v.v. nếu đầu ống không đặt trong hộp thiết bị thì phải dùng nhựa cách điện chèn kín giữa ống và dây.
1.8.5.10 Ghép nối ống luồn dây dẫn và cáp
1.8.5.10.1 Nối các đoạn ống với nhau phải dùng măng sông cùng loại vật liệu với ống và 2 đầu ống nối phải khít nhau.
1.8.5.10.2 Nối 2 đoạn ống mềm với nhau phải dùng măng sông cùng vật liệu có đường kính lớn hơn và dài 100 mm. Các măng sông phải được chèn kín, ở vị trí cần chống va đập phải dùng dây thép quấn đai chắc chắn. Có thể dùng ống thép mỏng để nối các ống mềm với nhau. Chỗ nối ống đó với ống thép phải chèn chặt như khi nối bằng măng sông.
1.8.5.10.3 Nối các ống cao su cứng, ống nhựa cứng và ống kim loại với nhau dùng các măng sông chuyên dùng được chế tạo từ những đoạn ống mỏng, đường kính trong của ống nối phải phù hợp với đường kính ngoài của ống.
1.8.5.11 Bán kính uốn cong của ống
1.8.5.11.1 Bán kính uốn cong của ống thép phải lớn hơn 1,5 lần bán kính uốn cong cho phép của cáp luồn bên trong ống.
1.8.5.11.2 Bán kính uốn cong của ống phi kim loại bằng hoặc lớn hơn bán kính uốn cong cho phép của cáp luồn bên trong ống.
1.8.5.11.3 Không cho phép uốn tự nhiên các ống phi kim loại cứng không xếp nếp. Chỗ thay đổi hướng tuyến và ở các góc phải đặt hộp nối hoặc bằng các đoạn ống mềm.
1.8.5.11.4 Đối với ống phi kim loại loại mềm, chỗ uốn ống ở vị trí cần chống va đập phải dùng dây thép 01,5 mm quấn ngoài với bước đai là 8-10 mm.
1.8.5.12 Bố trí các thiết bị điện trên dây dẫn và cáp
Các thiết bị đặt trên hệ thống dẫn điện cung cấp hay phân phối phải đặt ngay cạnh các điểm rẽ nhánh ở các chỗ có thể đến gần để kiểm tra và sửa chữa, phải được bố trí hay che chắn để người làm việc vô ý không chạm phải các bộ phận mang điện.
Cho phép đặt thiết bị điện ở dưới thấp, nếu đặt ở trên cao khó khăn cho người thao tác vận hành.
Để điều khiển các thiết bị đóng cắt đặt cao quá tầm người, cần phải có các trang bị thích hợp để thao tác, trên thiết bị phải có các ký hiệu chỉ rõ trạng thái của thiết bị và phải nhìn thấy từ vị trí đứng thao tác.
1.8.6 Lắp đặt đường cáp ngầm
1.8.6.1 Phạm vi áp dụng
Phần này được áp dụng cho lắp đặt đường cáp điện ngầm đến 35 kV và cho cáp nhị thứ (cáp đấu nối mạch nhị thứ).
Đường cáp điện điện áp 110 kV, 220 kV và 500 kV được lắp đặt theo quy định của thiết kế và hướng dẫn của nhà chế tạo.
Không áp dụng cho các đường cáp ngầm đặc biệt (xe điện ngầm, đường hầm, v.v.).
1.8.6.2 Lắp đặt cáp trong công trình cáp
1.8.6.2.1 Quy định về công trình cáp:
a) Công trình cáp để lắp đặt cáp bao gồm hào cáp, cầu cáp, hành lang cáp, sàn kép, mương cáp, hầm cáp, giếng cáp, buồng cáp, tầng cáp, máng cáp, khối cáp, ống cáp;
b) Kết cấu và quy cách giá đỡ cáp trong cầu cáp, hành lang cáp, sàn kép, giếng cáp, buồng cáp, tầng cáp được thực hiện theo quy cách bố trí trong hầm cáp và mương cáp được quy định trong Điểm 2.1.15;
c) Tại các chỗ nối khối cáp hay nối ống với nhau thì các đầu ống và đầu khối cáp phải gia công nhẵn để không làm hỏng cáp khi kéo cáp và khi khai thác cáp;
d) Cần phải kiểm tra ống luồn cáp và lỗ của khối cáp bằng cách kéo thử ống thử nghiệm kèm một sợi cáp mồi đi qua ống cáp một cách trơn tru trước khi lắp cáp.
1.8.6.2.2 Quy định về cáp:
a) Kiểu cáp, tiết diện và số lượng ruột cáp, tuyến cáp và phương pháp đặt cáp phải theo quy định trong Mục 2.1;
b) Trước khi đặt cáp, phải xem xét tình trạng cáp còn quấn ở ru lô, không được lắp đặt cáp đã hỏng. Vỏ cáp không cho phép có vết nứt, lõm, xước, rách, v.v. Nếu phải xử lý do các khuyết tật kể trên thì chiều dầy vỏ cáp sau khi xử lý không được nhỏ hơn trị số quy định của nhà chế tạo;
c) Thử nghiệm cáp trước hoặc sau khi lắp đặt thực hiện theo Quy trình lắp đặt loại cáp đó.
1.8.6.2.3 Lắp đặt cáp trong công trình cáp:
a) Cáp được lắp đặt trong công trình cáp phải bố trí theo lớp và khoảng cách theo quy định trong Điểm 2.1.17;
b) Bán kính uốn cong của cáp bố trí trong công trình cáp nếu không có quy định của nhà chế tạo thì thực hiện theo quy định trong Phụ lục G-6.
1.8.6.2.4 Lắp đặt cáp trong hào cáp
a) Cáp được đặt trực tiếp trong đất (trong hào cáp) phải được lót phía dưới và phủ phía trên một lớp đất mịn, mềm và xốp (hoặc cát mịn). Cáp đặt trực tiếp trong đất hoặc cáp luồn trong ống đặt trong đất phải có băng cảnh báo và lớp bảo vệ phía trên (tấm đan bê tông có chiều dày tối thiểu 50mm đối với cáp 35 kV; gạch đặc đối với cáp <35 kV) suốt chiều dài tuyến cáp để báo hiệu và ngăn ngừa hư hại cáp do các tác động từ bên trên;
b) Không được đặt cáp trong các vùng đất bị ô nhiễm (đất có hóa chất ăn mòn, tro xỉ, rác rưởi, v.v.) và có dòng điện rò lớn. Nếu thật cần thiết đi qua các vùng nêu trên thì phải dùng loại cáp có bọc lớp bảo vệ chống ăn mòn. Trường hợp không có lớp bảo vệ chống ăn mòn thì phải đặt cáp trong ống cách điện;
c) Độ sâu chôn cáp, bố trí cáp, khoảng cách đến các công trình, giao chéo với các công trình và đánh dấu công trình trên mặt đất phải thực hiện theo quy định trong Điểm 2.1.17 và Điểm 2.1.20;
d) Trong trường hợp đặc biệt, cho phép giảm độ sâu và khoảng cách lắp đặt cáp theo quy định, nhưng cáp phải được đặt trong ống;
đ) Khi thi công xong phải có bản vẽ hoàn công toàn bộ tuyến cáp.
1.8.6.3 Lắp đặt cáp qua bãi bùn lầy và dưới nước
1.8.6.3.1 Cáp lắp đặt qua sông, suối, mương, máng, kênh, rạch, bãi cát bồi, bãi bùn lầy và dưới nước phải thực hiện theo quy định trong Điểm 2.1.24.
1.8.6.3.2 Đường cáp điện đi qua sông ngòi, kênh rạch, v.v. cần đặt ở đoạn có đáy và bờ ít bị nước làm xói lở. Trường hợp đặt cáp xuống nước mà dòng chảy thường thay đổi và các bờ thường bị ngập nước và xói lở, thì phải thực hiện các quy định của thiết kế về biện pháp bảo vệ an toàn cho cáp và phải chọn vị trí an toàn để đặt cột trên bờ.
1.8.6.3.3 Cáp phải chôn sâu dưới đáy không được nhỏ hơn 1m khi đi qua sông ngòi, kênh rạch, v.v. và không được nhỏ hơn 2 m khi đi qua khu vực tàu thuyền thường xuyên qua lại.
1.8.6.3.4 Tại khu vực thường hút nạo đáy theo chu kỳ thì độ sâu đặt cáp phải được sự thỏa thuận của cơ quan quản lý công trình giao thông khu vực đó.
1.8.7 Lắp đặt đường dây tải điện trên không
1.8.7.1 Phạm vi áp dụng
Lắp đặt ĐDK điện áp đến 500 kV phải tuân theo các quy định trong Mục 2.3.
1.8.7.2 Cung cấp hồ sơ, tài liệu và bàn giao mặt bằng
1.8.7.2.1 Chủ đầu tư công trình cung cấp cho nhà thầu xây lắp các hồ sơ sau:
a) Các văn bản và hồ sơ pháp lý liên quan nêu trong Khoản 4 và Khoản 5 Điểm 1.8.1.3;
b) Các hồ sơ pháp lý khác có sự chấp nhận của các cơ quan có thẩm quyền liên quan đến công trình;
c) Các văn bản liên quan khác tới các công việc giải phóng mặt bằng và chặt cây tại hiện trường.
1.8.7.2.2 Chủ đầu tư công trình bàn giao tim, mốc, mặt bằng tuyến ĐDK cho nhà thầu thi công.
1.8.7.3 Yêu cầu lắp đặt
Những công việc xây lắp ĐDK phải thực hiện theo đúng tài liệu thiết kế, tài liệu hướng dẫn của nhà sản xuất, theo tiêu chuẩn xây dựng nhà nước, Quy chuẩn kỹ thuật và Quy chuẩn kỹ thuật an toàn hiện hành.
Những công việc phát sinh ngoài thiết kế, trong từng trường hợp cụ thể được thỏa thuận của chủ đầu tư và của tổ chức/đơn vị thiết kế.
1.8.7.4 Tổ chức thi công
Để thực hiện có hiệu quả những công việc chủ yếu của công trình ĐDK, nhà thầu xây lắp phải bảo đảm thực hiện các yêu cầu sau:
- Lập kế hoạch thực hiện với các nội dung liên quan đến tiến độ thực hiện, kế hoạch cung ứng tài chính, kế hoạch cung ứng vật tư, kế hoạch huy động thiết bị thi công, kế hoạch huy động và quản lý nhân lực, kế hoạch quản lý chất lượng, kế hoạch quản lý an toàn.
- Lập phương án tổ chức xây dựng chi tiết cho từng hạng mục công trình.
- Chuẩn bị chu đáo vật tư, kỹ thuật và nhân lực.
- Nâng cao năng lực cơ giới thi công và ứng dụng tiến bộ kỹ thuật trong thi công.
- Nghiên cứu biện pháp tổ chức thi công hợp lý.
1.8.7.5 Lựa chọn phương án thi công hiệu quả
Đối với lắp đặt ĐDK điện áp đến 35 kV nếu không có đặc điểm kỹ thuật phức tạp, nên áp dụng phương pháp thi công đơn giản, kết hợp giữa thủ công và cơ giới một cách hợp lý, nhưng trong mọi trường hợp phải nghiên cứu kỹ hồ sơ thiết kế và lập phương án tổ chức thi công có hiệu quả.
Đối với đường dây điện áp từ 110 kV trở lên, cần phải xem xét kỹ hiện trường, tìm các đường tạm thi công thuận lợi nhất, lập các phương án tổ chức xây dựng phù hợp với các điều kiện thực tế tại hiện trường với mức chi phí thấp nhất.
1.8.7.6 Thi công phần móng
1.8.7.6.1 Đào hố móng:
a) Đào hố móng ĐDK phải thực hiện theo quy định về đào đất và quy trình công nghệ được lập trong thiết kế tổ chức thi công. Trước khi đào phải kiểm tra vị trí móng và giác móng chính xác;
b) Độ sâu đáy hố móng phải theo đúng thiết kế. Trường hợp đào hố móng khó thực hiện độ sâu thiết kế thì phải được tổ chức/đơn vị thiết kế đồng ý và chủ đầu tư thống nhất phê duyệt;
c) Kiểm tra đáy móng: Đáy hố móng sau khi đào phải dọn sạch sẽ, bằng phẳng và phải kiểm tra kích thước hố móng so với tài liệu thiết kế. Làm phẳng đáy hố móng bằng phương pháp cắt phẳng đất để không làm hư hỏng kết cấu nguyên thổ đáy móng. Chỉ cho phép đắp đất làm phẳng mặt bằng đáy hố móng, nhưng phải đầm chặt;
d) Nổ mìn tạo hố móng: Khi tiến hành nổ mìn tạo hố móng, phải được phép và phải chịu sự giám sát chặt chẽ theo quy định nổ mìn. Cho phép hoàn chỉnh hố móng bằng phương pháp nổ mìn, giới hạn an toàn của vùng nổ mìn phải tuân theo Quy chuẩn kỹ thuật an toàn về nổ mìn. Công nhân viên làm việc nổ mìn phải được sát hạch kiểm tra kỹ thuật đánh mìn và Quy chuẩn kỹ thuật an toàn về công tác nổ mìn, đồng thời phải có sổ nhật ký nổ mìn. Chỉ cho phép nổ mìn khi trời còn sáng, cấm nổ mìn khi trời tối và khi có giông bão. Công việc nổ mìn phải tiến hành thận trọng theo một phương án kỹ thuật chính xác và thống nhất dưới sự chỉ huy của 1 người chịu trách nhiệm chính; đ) Nếu trong hố móng có nước, trước khi lắp đặt móng hoặc đúc móng hay lấp đất hố móng phải tiến hành bơm nước ra ngoài và chỉ được thi công trở lại khi chất lượng hố móng phục hồi như trạng thái trước khi bị ngập.
1.8.7.6.2 Thi công móng:
a) Cốt thép móng, trụ móng và bu lông móng phải đúng chủng loại và kích thước theo quy định của thiết kế;
b) Bê tông đúc móng phải đúng mác quy định của thiết kế. Ở những vị trí cột có môi trường xâm thực phải sử dụng xi măng và biện pháp thi công theo quy định của thiết kế;
c) Thi công hệ thống nối đất của cột theo quy định của thiết kế đồng thời với việc thi công móng cột;
d) Phải nghiệm thu móng trước khi lấp hố móng.
1.8.7.6.3 Lấp hố móng
Đất lấp hố móng phải được đầm nén theo quy định của thiết kế.
1.8.7.7 Lắp và dựng cột
1.8.7.7.1 Mặt bằng lắp ráp cột:
Mặt bằng lắp ráp ở mỗi vị trí cột phải cố gắng bố trí gần móng cột, đủ diện tích để tập kết kết cấu cột và thuận lợi cho việc vận chuyển đến vị trí lắp ráp. Ngoài ra còn phải tính tới đường cho các phương tiện cơ giới có thể tiếp cận đến chân cột để sử dụng tối đa phương án lắp đặt cột bằng cơ giới.
1.8.7.7.2 Lắp dựng cột bê tông:
a) Cột bê tông phải kiểm tra kỹ lưỡng để chắc chắn không có nứt vỡ quá giới hạn cho phép và đúng chủng loại quy định;
b) Trước khi dựng cột bê tông theo phương pháp bản lề xoay thì trụ móng kiểu lọ mực phải bố trí thanh chống lực đẩy của bản lề vào thành móng khi dựng cột. Cấm dựng cột khi chưa hoàn thiện công việc làm móng, lấp móng và thanh chống kể trên;
c) Ở những khu vực thuận lợi nên dựng cột bê tông bằng cần cẩu;
d) Chèn chân cột vào trụ móng bằng bê tông mác cao và được tiến hành sau khi đã điều chỉnh đúng vị trí thiết kế. Lớp chèn cột phải đúng quy định của thiết kế.
1.8.7.7.3 Lắp dựng cột thép:
a) Kiểm tra kích thước và chất lượng bu lông móng chân cột so với tài liệu thiết kế. Nếu phát hiện có sai lệch phải xử lý trước khi lắp dựng cột;
b) Kiểm tra chất lượng các mối hàn, lớp mạ, mác thép sử dụng của từng chi tiết, chất lượng và chủng loại các loại bu lông sử dụng ghép nối cột. Thông thường kiểm tra bằng mắt thường đối chiếu với tài liệu xuất xưởng kèm theo. Trong trường hợp nghi ngờ chất lượng không bảo đảm phải kiểm tra bằng các thiết bị chuyên dùng;
c) Lắp dựng cột thép thông thường bằng cần cẩu leo. Ở những vị trí phương tiện cơ giới có thể tiếp cận được thì nên sử dụng cần cẩu để lắp đoạn dưới của cột hoặc có thể dựng cột bằng công nghệ tiên tiến nhưng phải đảm bảo an toàn trong quá trình thi công;
d) Siết bu lông bằng cờ lê lực theo lực quy định;
đ) Sai số cho phép trong quá trình lắp đặt các cột thép theo tiêu chuẩn về nghiệm thu chế tạo, lắp đặt các kết cấu thép.
1.8.7.7.4 Thi công, lắp đặt móng néo, dây néo:
a) Móng néo phải được chế tạo, lắp đặt ở độ sâu và hướng néo theo quy định của thiết kế. Đất lấp hố móng néo phải đầm chặt với hệ số đầm nén không nhỏ hơn 0,9;
b) Dây néo phải được chế tạo theo quy định của thiết kế cho từng vị trí tương ứng. Trước khi lắp đặt phải kiểm tra chất lượng dây néo, các phụ kiện lắp ráp, nếu đạt yêu cầu kỹ thuật mới cho phép lắp đặt.
1.8.7.8 Lắp đặt cách điện
Cách điện được lắp đặt trong thời gian dựng cột hoặc căng dây, và phải được lắp đúng theo bản vẽ thiết kế thi công và hướng dẫn của nhà sản xuất. Cách điện phải được lắp chắc chắn vào xà và cột.
1.8.7.9 Lắp đặt dây dẫn và dây chống sét
1.8.7.9.1 Kiểm tra trước khi rải căng dây:
a) Kiểm tra chủng loại, tiết diện và đặc tính kỹ thuật của dây dẫn và dây chống sét theo quy định trong thiết kế;
b) Kiểm tra chất lượng và độ an toàn của các thiết bị thi công rải, căng dây đảm bảo phù hợp với kích cỡ chủng loại dây trên cơ sở hướng dẫn của nhà sản xuất và chỉ dẫn kỹ thuật trong thiết kế.
1.8.7.9.2 Chuẩn bị rải căng dây:
a) Xin cắt điện của những đường dây điện lực mà tuyến đường dây vượt qua;
b) Lắp đặt dàn giáo ở vị trí vượt quốc lộ, vượt đường dây điện lực và các công trình kiến trúc, cây, hoa màu bị ảnh hưởng trong tuyến đường dây đi qua.
1.8.7.9.3 Rải căng dây:
a) Khi rải dây dẫn điện phải đặt dây trên các ròng rọc trên cột, phải dùng biện pháp chống hư hỏng dây theo bề mặt tiếp xúc với đất, đá và các vật cản khác trên địa hình tuyến đường dây đi qua;
b) Khi rải dây qua sông có nước mặn hoặc nước lợ phải có biện pháp để dây không chạm với nước;
c) Căng dây theo ứng suất và độ võng quy định của thiết kế;
d) Rải căng dây chống sét có dây cáp quang (OPGW) thực hiện theo quy định của nhà chế tạo;
đ) Kiểm tra khoảng cách an toàn đến đất, đến công trình khác theo quy định trong Mục 2.3.5. Nếu không bảo đảm khoảng cách an toàn theo quy định thì phải cùng đơn vị quản lý vận hành công trình và tổ chức/đơn vị thiết kế thống nhất biện pháp xử lý.
1.8.7.9.4 Lắp dây với phụ kiện:
a) Khi lắp dây với khóa đỡ hoặc khóa néo (khóa bu lông) phải siết chặt bu lông, nhưng không làm hư hỏng cáp bên trong;
b) Khi lắp dây với khóa néo (khóa ép) phải ép đầu dây vào khóa theo quy định của nhà chế tạo;
c) Lắp đặt dây với sứ đứng phù hợp với đặc điểm công nghệ của sứ.
1.8.7.9.5 Nối dây dẫn:
Dây dẫn có thể nối với nhau bằng cách hàn, bắt kẹp bu lông, bắt kẹp đầu cốt, ống nối, v.v. và thực hiện theo yêu cầu kỹ thuật của từng cách nối;
Số lượng mối nối trong khoảng cột theo quy định trong Điểm 2.3.3.3.
1.8.7.10 Lắp biển hiệu, biển báo an toàn điện, chỉ danh
Trước khi đưa vào vận hành, tất cả các cột phải được gắn biển hiệu, biển báo an toàn điện, chỉ danh, sơn và lắp đèn báo hiệu theo quy định trong Điểm 2.3.4.7.
1.8.8 Lắp đặt hệ thống phân phối và trạm biến áp
1.8.8.1 Quy định chung
1.8.8.1.1 Lắp đặt hệ thống phân phối và trạm biến áp điện áp đến 500 kV phải tuân theo các quy định trong Điểm 3.1.
1.8.8.1.2 Chủ đầu tư công trình cung cấp cho nhà thầu xây lắp các hồ sơ sau:
a) Các văn bản và hồ sơ pháp lý liên quan nêu trong Khoản 4 và Khoản 5 Điểm 1.8.1.3;
b) Các hồ sơ pháp lý khác có sự chấp nhận của các cơ quan có thẩm quyền liên quan đến công trình.
1.8.8.1.3 Chủ đầu tư công trình bàn giao tim, mốc, mặt bằng TBPP và TBA cho nhà thầu thi công.
1.8.8.1.4 Yêu cầu sơn và lắp biển báo cho công trình:
a) Tất cả các kết cấu đỡ của thiết bị phải được sơn hoặc mạ phù hợp với mục đích chống gỉ do yếu tố môi trường theo thời hạn làm việc của thiết bị;
b) Biển cảnh báo nguy hiểm phải được đặt ở vị trí thích hợp để bảo đảm an toàn;
c) Đánh dấu màu và đánh số các pha, v.v. phải được thực hiện theo quy định trong Điểm 1.2.11;
d) Không sơn những chỗ để đo nhiệt độ mối nối và lắp nối đất di động. Những phần mang điện đấu nối bằng bu lông chỉ được sơn sau khi đã lắp đặt hoàn chỉnh nhằm bảo đảm độ dẫn điện.
1.8.8.2 Gian lắp đặt
1.8.8.2.1 Trong gian điện, hành lang vận hành phía trước và phía sau bảng điện phải thoả mãn những yêu cầu kỹ thuật quy định trong Điểm 3.2.3.8.
1.8.8.2.2 Rào chắn các bộ phận mang điện không bọc cách điện, cửa thoát hiểm của gian điện phải thoả mãn những yêu cầu kỹ thuật quy định trong Điểm 3.2.2.10.
1.8.8.3 Lắp đặt trang bị phân phối
1.8.8.3.1 Lắp đặt thanh cái:
a) Thanh cái trước khi lắp đặt phải được nắn thẳng, không bị gấp, không được có vết nứt tại chỗ uốn của thanh cái. Cố định thanh cái trên sứ và đấu nối với thiết bị phải tính đến sự co, dãn nở do nhiệt;
b) Đầu nối của thanh cái phải có độ bền thích hợp, chịu được dao động từ các thiết bị nối với chúng, chịu được trọng lực của dây dẫn, áp lực của gió, lực điện từ tạo ra giữa các dây dẫn khi bị sự cố ngắn mạch;
c) Các đầu nối của thanh cái phải được hàn, bắt bằng bu lông hoặc nối bằng ép. Điện trở các đầu nối không được lớn hơn điện trở thanh cái;
d) Khi nối các thanh cái, phải có các biện pháp chống ăn mòn tại điểm nối bao gồm các bu lông, đai ốc vòng đệm cho phù hợp với môi trường. Khi nối các kim loại khác nhau như thanh cái bằng nhôm với thanh cái bằng đồng, phải có biện pháp chống ăn mòn điện hóa tại chỗ nối.
1.8.8.3.2 Lắp đặt thiết bị phân phối điện:
a) Lắp đặt các thiết bị phân phối ngoài trời cần tuân theo những yêu cầu sau đây:
- Thiết bị (bao gồm giá đỡ) cần phải được bố trí trên mặt nền phẳng ở độ cao ít nhất là 0,3m so với mặt nền và 0,5m đối với tủ bảng điện;
- Trong các tủ điện, nếu có yêu cầu phải bố trí sấy tại chỗ để bảo đảm sự hoạt động bình thường của các thiết bị, rơ-le, thiết bị đo lường và công tơ đo đếm điện năng theo yêu cầu của tiêu chuẩn Việt Nam hiện hành;
b) Lắp đặt máy cắt điện:
Lắp đặt máy cắt điện phải được thực hiện theo quy định của thiết kế và chỉ dẫn của nhà chế tạo. Các hệ thống truyền động của máy cắt và của các hệ thống khác phải chỉnh định để làm việc trơn tru và chính xác, bảo đảm các chỉ số thử nghiệm sau lắp đặt phải đạt yêu cầu kỹ thuật của nhà sản xuất và các quy định hiện hành;
c) Lắp đặt cầu dao :
Lắp đặt cầu dao phải được thực hiện theo quy định của thiết kế và chỉ dẫn của nhà chế tạo. Các hệ thống truyền động của cầu dao và của các hệ thống khác phải chỉnh định để làm việc trơn tru và chính xác bảo đảm thử nghiệm sau lắp đặt phải đạt yêu cầu kỹ thuật;
d) Lắp đặt máy biến áp đo lường:
Lắp đặt máy biến áp đo lường phải được thực hiện theo quy định của thiết kế và chỉ dẫn của nhà chế tạo. Những đầu dây chưa sử dụng của các cuộn dây nhị thứ ở TI phải được đấu tắt. Trong mọi trường hợp (trừ những trường hợp đã ghi trong thiết kế) một trong các đầu dây cuộn dây nhị thứ TI đặt trong mạch có điện áp từ 500V trở lên và của TU đều phải được tiếp đất.
1.8.8.3.3 Lắp đặt tủ bảng điện:
a) Lắp đặt tủ bảng phải được thực hiện theo quy định của thiết kế và chỉ dẫn của nhà chế tạo. Cửa của tủ điện phải mở ra hành lang vận hành bảo đảm khoảng cách theo quy định;
b) Mọi chi tiết kim loại không cách điện với tủ bảng hoặc dùng để cố định các thiết bị và thanh cái đều phải nối với vỏ tủ.
1.8.8.4 Lắp đặt máy biến áp lực
1.8.8.4.1 Lắp đặt các máy biến áp (kể cả máy biến áp tự ngẫu và cuộn kháng có dầu) điện áp đến 500 kV phải thực hiện theo những yêu cầu sau:
a) Lắp đặt máy biến áp phải thực hiện theo quy định của thiết kế và chỉ dẫn của nhà chế tạo phù hợp với từng loại máy biến áp cụ thể.
b) Lắp sứ đầu vào, hệ thống ống góp, cánh tản nhiệt, bình dầu phụ hay các phần thiết bị thông sang khoang dầu máy biến áp phải kín, khít.
c) Lắp dây dẫn điện trên MBA trong ống hoặc máng cách điện và khả năng chịu lửa phù hợp.
d) Lọc và sấy dầu cách điện theo quy định của nhà chế tạo.
đ) Máy biến áp có bộ thiết bị phòng chống cháy đi kèm thì phải lắp ở vị trí phù hợp, thuận lợi cho vận hành, bảo dưỡng, sửa chữa.
1.8.8.4.2 Lắp đặt máy biến áp khô phải thực hiện theo những yêu cầu sau:
a) Lắp đặt máy biến áp phải thực hiện theo quy định của thiết kế và chỉ dẫn của nhà chế tạo;
b) Hệ thống thông gió bảo đảm cho máy biến áp làm việc đúng thông số định mức.
1.8.8.4.3 Sau khi lắp đặt máy phải được thử nghiệm, kiểm định theo quy định bởi tổ chức được cơ quan nhà nước có thẩm quyền cấp Giấy chứng nhận đăng ký hoạt động thử nghiệm, kiểm định.
1.8.8.5 Lắp đặt hệ thống đóng cắt cách điện khí (GIS)
1.8.8.5.1 GIS được lắp đặt trong nhà hoặc ngoài trời. Nếu lắp đặt ngoài trời thì không được thực hiện khi có trời mưa hoặc nhiều bụi.
Nếu phạm vi lắp GIS được che mưa và chắn bụi được thực hiện tốt, giữ được nhiệt độ và độ ẩm phù hợp, cho phép triển khai công tác tổ hợp bất kể thời tiết nào.
1.8.8.5.2 Trước khi bắt đầu tổ hợp, đấu nối, phải làm sạch bên trong bình chứa (nếu lắp rời từng bộ phận) và phải được kiểm tra:
a) Nứt vỡ ở mặt bích và tấm đệm;
b) Rơi bu lông và đinh ghim vào trong bình chứa;
c) Vật bám dính ngoại lai và vết bẩn vào thiết bị và mặt tiếp xúc;
d) Vết xây xát, bóc lớp mạ, v.v. trên tiếp điểm;
đ) Vết xây xát trên bề mặt nơi lắp vòng chữ O.
1.8.8.5.3 Phải sử dụng mỡ dẫn điện chuyên dùng cho các bộ phận đấu nối của dây dẫn, chèn kín bề mặt lắp vòng đệm hình chữ O và các bề mặt làm kín không khí.
1.8.8.5.4 Thời gian tiếp xúc của chất hấp thụ với không khí
Thời gian tiếp xúc của chất hấp thụ với không khí (từ thời điểm chèn kín bị hở tới thời điểm tạo lại chân không) không được quá 30 phút.
Bất cứ khi nào bể tạo chân không bị hở, chất hấp thụ phải được thay mới trước khi nạp khí SF6.
1.8.8.5.5 Hút chân không và nạp khí SF6
a) Trước khi nạp khí SF6, bình phải được hút chân không. Các công việc hút chân không, nạp hay hút khí SF6 phải xem xét các giới hạn chênh áp lực giữa các khoang liền kề và tham khảo theo chỉ dẫn của nhà sản xuất để bảo đảm an toàn cho thiết bị;
b) Một hoặc hai ngày sau khi nạp đầy khí SF6, phải phân tích khí SF6; các giá trị phân tích phải đáp ứng các yêu cầu kỹ thuật;
c) Sau khi bơm đầy khí SF6, phải kiểm tra rò khí. Sau khi kiểm tra rò khí bằng thử nghiệm thử kín khí, phải tiến hành chống thấm nước cho các bộ phận chèn kín;
d) Sau khi hút khí SF6 khỏi bình chứa, các van chỉ được thao tác sau khi đã khẳng định ngăn cách khí với hệ thống phân phối khí sao cho khí không bị hút từ các bình khác. Khi kết thúc công việc, các van phải được kiểm tra, phải ở tình trạng thích hợp với sơ đồ phân phối khí;
đ) Khi hút khí SF6 ra khỏi bình, phải sử dụng thiết bị thu hồi khí, không được để khí lọt ra ngoài môi trường.
1.8.8.5.6 Các bộ phận của GIS sau khi lắp đặt phải được kiểm tra theo quy định của nhà chế tạo, tiến hành thử nghiệm và nghiệm thu theo quy định hiện hành.
1.8.8.6 Lắp đặt dây dẫn và cáp
1.8.8.6.1 Các quy định trong Mục này áp dụng để lắp đặt các dây dẫn và cáp của mạch điều khiển, đo lường, bảo vệ, liên động và tín hiệu, nghĩa là cho tất cả các mạch điện trong các ngăn thiết bị phân phối, các tủ, bảng điều khiển và các tủ, bảng điều khiển các tổ máy công nghệ.
1.8.8.6.2 Lắp đặt dây dẫn và cáp
a) Lắp đặt các dây dẫn và cáp xuyên, vượt phải bảo đảm các yêu cầu sau:
- Đối với tường bê tông và tường đá, dây, cáp điện phải luồn trong ống thép hay ống cách điện hoặc qua các lỗ có hộp sắt;
- Đối với các ngăn tủ bằng kim loại, phải đặt trong các ống cách điện hay máng cách điện;
- Đối với các ngăn tủ bằng vật liệu cách điện thì cho phép đặt trực tiếp;
b) Các dây dẫn nối vào thiết bị có dầu (như đến rơ-le hơi) phải có lớp cách điện chịu dầu và có sự bảo vệ để tránh các hư hỏng về cơ học;
c) Các dây dẫn và cáp ruột đồng nhiều sợi nối vào các hàng kẹp đấu dây và thiết bị đều phải có các đầu cốt hay các vòng khuyên được ép kẹp. Cáp 1 ruột cho phép uốn các đầu cáp thành hình vòng khuyên;
d) Các dây dẫn và cáp nối vào các kẹp đấu dây phải có độ dài dự trữ cần thiết để khi bị đứt có thể nối lại vào các đầu kẹp;
đ) Khi phải kéo dây dẫn qua cánh cửa hay các bộ phận thường phải đóng mở (cửa tủ bảng điện, v.v) phải sử dụng loại dây có ruột đồng mềm.
1.8.8.6.3 Lắp đặt các hàng kẹp đấu dây
a) Các kẹp đấu dây không được để gỉ, bám bụi và hư hại và phải được cố định chắc chắn. Các hàng kẹp đấu dây của thiết bị phải được đặt trong hộp hoặc trong tủ;
b) Các thiết bị phân phối điện áp trên 1 kV phải sử dụng hàng kẹp thử nghiệm cho các cụm tiếp điểm của máy cắt, dao cách ly và các máy biến điện để việc kiểm tra, bảo dưỡng hoặc xử lý không phải cắt điện mạch sơ cấp.
Các dây dẫn của mạch nhị thứ phải được nối với hàng kẹp, nối với các điểm của đồng hồ đo và các thiết bị theo như sơ đồ nối cáp.
Vỏ bọc đầu cốt đấu dây và ống bọc đầu dây phải được làm bằng vật liệu cách điện.
1.8.8.7 Lắp đặt hệ thống ắc quy
Phần này áp dụng để lắp đặt ắc quy axít chì kiểu kín, ắc quy kiềm kiểu kín và thực hiện theo quy định trong Điểm 3.2.11.
1.8.8.7.1 Trong quá trình vận chuyển, ắc quy phải được cố định và bịt kín các lỗ thông hơi của ắc quy. Ngoài ra còn phải tuân theo các chỉ dẫn và khuyến cáo cụ thể của nhà chế tạo về vận chuyển, lắp đặt, vận hành, bảo dưỡng và an toàn.
1.8.8.7.2 Ắc quy bố trí thành cụm riêng cho từng mục đích sử dụng.
1.8.8.7.3 Ắc quy được lắp trên giá đỡ theo lớp và tầng thuận lợi cho đấu nối và thông gió.
1.8.8.7.4 Ắc quy bố trí trong tủ kín phải lắp hệ thống thông khí ra bên ngoài.
1.8.8.7.5 Đấu nối các ắc quy phải dùng các thanh dẫn trần hoặc bọc bằng thép, đồng, nhôm hoặc hợp kim. Các thanh dẫn trần phải được cố định chắc chắn với puly hoặc sứ cách điện.
1.8.8.7.6 Các bình của các ắc quy chì - axít và ắc quy kiềm không được để rò gỉ dung dịch điện phân ra ngoài.
1.8.8.7.7 Quy trình nạp ắc quy chì - axít và ắc quy kiềm sau khi lắp đặt phải tuân theo yêu cầu của nhà chế tạo.
1.8.8.7.8 Hệ dẫn điện của hệ thống Ắc quy và các thiết bị kèm theo phải được sơn và ghi ký hiệu theo quy định trong Điểm 1.2.11.
1.8.9 Lắp đặt bộ tụ điện
Các quy định trong Điểm này được áp dụng để lắp các bộ tụ điện hoặc từng bình tụ điện dùng để bù công suất phản kháng của thiết bị điện hoặc lưới điện xoay chiều tần số 50Hz và điện áp đến 110 kV.
Các tụ điện lắp riêng lẻ dọc theo các ĐDK được lắp đặt như quy định cho lắp đặt TBA trên cột được quy định trong Điểm 3.2.6.
Các tụ điện lắp tập trung tại các TBA được lắp đặt như quy định trong Điểm 3.2.1.
1.8.10 Lắp đặt hệ thống phòng cháy chữa cháy và thông gió
1.8.10.1 Lắp đặt hệ thống phòng cháy chữa cháy
1.8.10.1.1 Hệ thống phòng cháy chữa cháy cho MBA lắp đặt trong nhà:
a) Hệ thống thu gom dầu và bể chứa dầu sự cố của MBA thực hiện theo các quy định trong Điểm 1.5.3;
b) Cửa (cổng) thoát ra vào phải thực hiện theo các quy định trong Điểm 3.2.4.1.
1.8.10.1.2 Hệ thống phòng cháy chữa cháy cho MBA lắp đặt ngoài trời:
a) Hệ thống thu gom dầu và bể chứa dầu sự cố thực hiện theo Điểm 1.5.3;
b) Hệ thống phòng cháy chữa cháy cho MBA thực hiện theo các quy định phòng cháy chữa cháy hiện hành Hệ thống phòng chống cháy nổ phải bảo đảm các yêu cầu sau:
- Bình chứa hợp chất chống cháy chuyên dùng, hệ thống đấu nối phải phù hợp với MBA;
- Hộp giám sát và điều khiển phải bố trí theo thiết kế để đảm bảo các quy định liên quan về phòng cháy chữa cháy.
1.8.10.2 Hệ thống thông gió MBA
a) Hệ thống thông gió trong gian MBA phải bảo đảm thoát nhiệt do MBA tỏa ra và không được thông với hệ thống thông gió khác.
b) Ống thông gió của gian MBA liền nhà có tường không cháy nhưng mái dễ cháy thì phải cách tường nhà ít nhất là 1,5m hoặc được bảo vệ bằng tường chắn không cháy cao hơn mái ít nhất 0,6m.
c) MBA có bộ làm mát cưỡng bức phải có bộ tự động khởi động và dừng hệ thống làm mát. Phải tự động khởi động bộ làm mát theo nhiệt độ lớp dầu trên cùng hoặc nhiệt độ cuộn dây MBA và theo trị số dòng điện phụ tải MBA.
d) Hệ thống làm mát đặt bên ngoài MBA phải bố trí sao cho không cản trở việc chuyển MBA khỏi bệ móng và có thể tiến hành sửa chữa chúng khi MBA đang làm việc. Luồng gió nóng của bộ làm mát này không được hướng vào thân MBA.
đ) Khi bố trí các van của hệ thống làm mát MBA phải bảo đảm tiếp cận chúng thuận lợi. Bộ làm mát phải bảo đảm khả năng tháo rời khỏi MBA, khả năng tháo riêng từng bộ phận và khi vận chuyển MBA có thể không phải xả dầu ra khỏi MBA.
e) Đường ống dẫn dầu bên ngoài của bộ làm mát cưỡng bức phải làm bằng vật liệu không gỉ hoặc vật liệu chịu ăn mòn. Bố trí ống dẫn dầu quanh MBA không được làm cản trở việc vận hành và bảo dưỡng MBA và bộ làm mát. Khi cần thiết, phải lắp sàn và thang để tiếp cận các van và quạt gió được thuận lợi.
f) Để kiểm tra bơm dầu và bơm nước của hệ thống làm mát cưỡng bức, mỗi máy bơm phải lắp một áp kế. Nếu bơm có lắp bộ lọc lưới thì áp kế phải lắp ở cả đầu vào và đầu ra của bộ lọc.
g) Hệ thống làm mát đặt bên ngoài kiểu đơn hoặc kép bố trí thành một hàng phải đặt chung trên cùng một bệ móng. Hệ thống làm mát kiểu nhóm có thể bố trí trực tiếp trên móng hoặc trên đường ray khi muốn vận chuyển trên bánh xe.
h) MBA có hệ thống làm mát cưỡng bức phải trang bị tín hiệu báo khi hệ thống tuần hoàn dầu, nước làm mát, quạt gió bị ngừng hoặc báo đóng tự động hệ thống làm mát dự phòng hoặc nguồn điện dự phòng.
i) Các bình hấp thụ để làm sạch dầu MBA đặt ở bộ làm mát cưỡng bức phải đặt trong nhà nếu nhà chế tạo yêu cầu và có khả năng thay thế chất hấp thụ tại chỗ.
j) Phải trang bị bộ sấy bằng điện cho tủ truyền động của bộ điều chỉnh điện áp dưới tải.
k) Phải bảo vệ chống nắng cho các bao giãn nở chứa nitơ bảo vệ dầu MBA.
1.8.11 Lắp đặt hệ thống chiếu sáng
Các quy định trong Điểm này áp dụng cho lắp đặt thiết bị điện của hệ thống chiếu sáng trong nhà và ngoài trời.
Việc thiết kế, lắp đặt, sử dụng hệ thống chiếu sáng cần tuân thủ các quy định thuộc các QCVN và TCVN tương ứng liên quan.
Chiếu sáng cho từng khu vực phải đủ cường độ theo các quy định trong Điểm 3.2.1.2.
1.8.11.1 Yêu cầu đối với thiết bị chiếu sáng
a) Đèn chiếu sáng phải lắp đúng chủng loại (chống ẩm, chống cháy, chống nổ, chống bụi) và quy cách quy định cho khu vực chiếu sáng;
b) Đèn chiếu sáng phải lắp đúng độ cao và độ nghiêng quy định trong thiết kế;
c) Thiết bị đóng cắt thường đặt ở lối đi (phía trong hoặc ngoài) không bị che khuất khi đóng mở cửa. Các công tắc ở buồng tắm, nhà vệ sinh cần bố trí ở phía ngoài cửa.
1.8.11.2 Yêu cầu đối với lắp đặt thiết bị chiếu sáng
a) Các bộ phận kết cấu để lắp đặt thiết bị chiếu sáng như: giá đỡ, móc, hộp, cần, các chi tiết cố định liên kết, v.v. đều phải được mạ hoặc sơn chống gỉ;
b) Các kết cấu cố định thiết bị chiếu sáng phải tính toán sức chịu gấp 5 lần khối lượng thiết bị, đồng thời phải tính toán sức bền nếu có người đứng trên nó thao tác lắp ráp và sửa chữa. Đối với giá hoặc cột treo đèn chùm phức tạp phải tính cộng thêm 80 kg;
c) Đèn pha phải được cố định chắc chắn vào bộ phận quay.
1.8.11.3 Yêu cầu đối với dây dẫn để lắp đặt thiết bị chiếu sáng
a) Chủng loại dây dẫn, tiết diện dây dẫn và phương thức lắp đặt dây dẫn cho hệ thống chiếu sáng được tính toán lựa chọn theo quy định trong Mục 2.2;
b) Dây dẫn cung cấp điện cho các thiết bị chiếu sáng phải có cách điện chịu được mức điện áp cách điện lớn nhất của mạch nguồn điện cấp cho thiết bị chiếu sáng đó (xoay chiều hoặc một chiều);
c) Các mối nối của cáp và dây dẫn ruột đồng, nhôm nối vào các thiết bị chiếu sáng phải chèn chắc chắn phù hợp với cấu tạo của đèn. Các đầu dây nối vào các thiết bị, tủ điện và đèn phải có đoạn dự phòng để nối lại khi dây bị đứt.
1.8.12 Lắp đặt hệ thống nối đất
1.8.12.1 Quy định chung
Phần này áp dụng cho việc lắp đặt hệ thống nối đất các thiết bị điện xoay chiều điện áp trên 42 V và trên thiết bị điện 1 chiều điện áp trên 110 V.
1.8.12.2 Các bộ phận phải nối đất và không phải nối đất
1.8.12.2.1 Các bộ phận của thiết bị điện phải nối đất:
a) Vỏ máy điện, máy biến áp, các thiết bị, v.v.;
b) Bộ truyền động của các thiết bị điện quay;
c) Các cuộn dây nhị thứ của máy biến điện đo lường;
d) Khung của tủ bảng điện phân phối, tủ điều khiển và các tủ, bảng điện khác;
đ) Các kết cấu kim loại của trạm biến áp và các thiết bị phân phối ngoài trời, vỏ kim loại các hộp cáp, vỏ kim loại của cáp (kể cả cáp kiểm tra và dây dẫn) ống thép luồn dây dẫn điện, v.v.;
e) Các rào chắn, lưới chắn hay tấm chắn kim loại để bảo vệ các bộ phận mang điện, các dàn, các xà, các sàn thao tác bằng kim loại và các bộ phận khác có thể mang điện áp;
g) Khi các máy điện đặt trên các giá trượt thì dây nối đất phải bắt vào máy, phải bảo đảm tiếp xúc tốt giữa máy điện và giá trượt;
h) Các cột thép và bê tông cốt thép ĐDK việc nối đất các kết cấu phải theo đúng quy định của tài liệu thiết kế.
1.8.12.2.2 Các bộ phận của thiết bị điện không phải nối đất:
a) Các phụ kiện và các thiết bị lắp đặt trên các kết cấu bằng gỗ của trạm biến áp ngoài trời nếu không có yêu cầu phải bảo vệ tránh quá điện áp khí quyển;
b) Các thiết bị đặt trên các kết cấu kim loại đã được nối đất, nhưng bề mặt tiếp xúc giữa thiết bị và kết cấu kim loại phải được đánh sạch và tiếp xúc tốt;
c) Vỏ của các đồng hồ đo lường điện, rơ-le đặt trên các bảng, tủ điện, thành tủ thiết bị phân phối;
d) Các đường ray ở nhà máy điện, trạm biến áp và các xí nghiệp công nghiệp;
đ) Các bộ phận thường phải tháo hoặc mở ra ở các tủ thiết bị phân phối, các rào chắn các tủ, các cửa các khung bằng kim loại, v.v. của các tủ đã được nối đất;
e) Các dụng cụ sử dụng điện có cách điện cao gấp đôi.
1.8.12.3 Biện pháp nối đất
1.8.12.3.1 Hệ nối đất an toàn, nối đất làm việc và nối đất chống sét phải được nối tới lưới nối đất chính bằng dây nhánh riêng. Những bộ phận cần nối đất trong cùng một hệ đấu với nhau và đấu vào lưới nối đất chính.
Cho phép thay thế nối đất của từng động cơ điện các thiết bị điện khác đặt trên các máy chính bằng cách trực tiếp nối đất thân bộ máy chính, nhưng phải bảo đảm tiếp xúc tốt giữa các thân thiết bị với thân máy chính.
1.8.12.3.2 Tận dụng các vật nối đất tự nhiên
Khi thực hiện nối đất nên tận dụng các vật nối đất tự nhiên:
a) Các ống dẫn nước và ống kim loại khác chôn trong đất, trừ ống dẫn nhiên liệu lỏng, ống dẫn nhiên liệu khí dễ cháy nổ, ống dẫn nước đến máng ăn gia súc và đến các thiết bị vắt sữa ở trại chăn nuôi gia súc;
b) Các ống tưới nước;
c) Các kết cấu kim loại của các công trình xây dựng;
d) Các tấm cừ bằng kim loại của các công trình thuỷ lợi;
đ) Các vỏ chì của cáp chôn trong đất (trừ vỏ nhôm của cáp phải cách điện với đất).
1.8.12.3.3 Đấu nối hệ thống nối đất tự nhiên với hệ thống nối đất chính
Các vật nối đất tự nhiên phải được nối với hệ thống nối đất chính ít nhất là 2 điểm khác nhau. Yêu cầu này không quy định cho trường hợp các nối đất lặp lại của dây trung tính và các vỏ kim loại của cáp.
1.8.12.4 Yêu cầu đối với dây nối đất và điện cực nối đất
Vật liệu dây nối đất và điện cực tiếp đất thông thường dùng bằng thép, đồng, nhôm và vật liệu dẫn điện khác. Kích thước, chất liệu và phạm vi sử dụng quy định trong Điểm
1.7.2.1 và Điểm 1.7.2.2.
Dây nối đất và điện cực tiếp đất bằng thép phải được mạ kẽm nhúng nóng. Cấm dùng các dây dẫn trần bằng nhôm chôn trong đất để làm các vật nối đất hay dây dẫn nối đất.
1.8.12.4.1 Các dây nối đất cho những dụng cụ dùng điện di động phải nằm chung vỏ với các dây pha và bằng tiết diện của dây pha đó. Ruột dây dẫn và cáp dùng cho các dụng cụ dùng điện di động phải là dây mềm, có tiết diện không nhỏ hơn 1,5 mm2.
1.8.12.4.2 Các đường ray, dầm cầu trục được dùng làm dây nối đất các thiết bị điện của máy trục trong nhà hoặc ngoài trời (trừ các gian nhà dễ nổ) phải được nối chắc chắn với hệ thống nối đất ở 2 đầu, ở các chỗ giáp nối của các ray dầm cầu trục phải dùng cầu nối mềm hàn ốp vào để bảo đảm cho mạch điện được liên thông.
1.8.12.4.3 Các ống thép để luồn dây dẫn điện được dùng làm dây nối đất hay để nối đất phải được nối chắc chắn khi các ống trên đặt hở có thể dùng ống nối có bôi bột chì hoặc một loại kết cấu khác có sự tiếp xúc tốt. Khi ống đặt ngầm chỉ được dùng ống nối có bôi bột chì. Để bảo đảm tính liên tục mạch nối đất phải thực hiện các yêu cầu sau:
a) Trong mọi trường hợp ống luồn dây đặt ngầm và đối với trường hợp có lưới trung tính nối đất mà ống luồn dây thì đặt hở, các chỗ nối ống phải hàn thêm một, hai điểm về mỗi phía ống nối, cũng cho phép hàn cầu nối bằng kim loại có đủ độ dẫn điện;
b) Ở những chỗ nối ống vào các hộp, các thiết bị và vỏ thiết bị điện phải dùng loại “Đai ốc ống nối” (rắc co) để nối đất hoặc các biện pháp khác bảo đảm tiếp xúc tốt về điện hay nối vào hộp (hòm, tủ, vỏ) bằng cách hàn ốp các cầu nối kim loại có đủ độ dẫn điện.
1.8.12.4.4 Các dây nối đất phải được bảo vệ để tránh các tác động cơ học và hoá học. Tại các vị trí dây nối đất giao chéo với các cáp, các đường ống, đường sắt và các chỗ khác có thể gây ra các hư hỏng cơ học đều phải có phương pháp bảo vệ.
1.8.12.4.5 Dây nối đất ở những vị trí đi xuyên tường phải đặt trong hốc tường, trong ống hoặc trong các vỏ bọc cứng.
1.8.12.4.6 Nối các dây đất với nhau, vào kết cấu hoặc vào vỏ các thiết bị, các máy điện, v.v. có thể dùng hàn hoặc dùng bu lông để bắt nối chắc chắn. Chiều dài mối hàn phải bằng 2 lần chiều rộng hơn của dây khi dây có tiết diện chữ nhật hoặc bằng 6 lần đường kính dây khi dây có tiết diện tròn. Việc nối dây trung tính của các mạch điện và của ĐDK cho phép thực hiện như phương pháp nối các dây pha. Trong các gian nhà ẩm ướt và có các hơi hay khí độc hại (ăn mòn) thì việc nối dây nối đất nên nối bằng phương pháp hàn, trường hợp không thể hàn được thì cho phép nối bằng bu lông, khi đó mặt tiếp xúc của tấm bắt bu lông phải bằng 2 lần tiết diện dây nối đất và mối nối phải có lớp phủ bảo vệ.
1.8.12.4.7 Việc nối dây nối đất với vật nối đất kéo dài (đường ống nước hoặc phần thép của kết cấu xây dựng) phải thực hiện ở bên ngoài nhà và bằng phương pháp hàn hoặc bắt côliê. Chỗ bắt côliê vào ống phải được đánh sạch.
Vị trí và phương pháp nối phải lựa chọn sao cho khi tháo các ống ra để sửa chữa vẫn bảo đảm được điện trở nối đất cần thiết bằng các biện pháp kỹ thuật phù hợp. Các đồng hồ đo nước, các van, v.v. phải có các đoạn nối đất vòng.
1.8.12.5 Lắp đặt dây nối đất
1.8.12.5.1 Dây nối đất lắp đặt dưới mặt đất phải đặt đúng độ sâu và kích thước quy định của thiết kế cũng như quy định trong Điểm 1.7.3.
1.8.12.5.2 Dây nối đất lắp đặt hở bằng dây trần hoặc dây bọc có thể lắp đặt đứng hoặc ngang hoặc song song với các kết cấu đặt xiên của nhà. Đối với dây nối đất tiết diện chữ nhật phải đặt mặt dẹt của dây song song với bề mặt của kết cấu.
a) Các dây nối đất cho phép đặt trực tiếp trên mặt bê tông, trên gạch, trên mặt tường ở khu vực khô và môi trường không có yếu tố ăn mòn, nhưng phải được bắt chặt trên các chân đỡ, đặt cách mặt tường trong các gian ẩm ướt ít nhất là 5mm hoặc 10mm trong khu vực có hơi ăn mòn;
b) Trong mương cáp, các dây nối đất phải đặt cách mặt dưới các tấm đan ít nhất là 50 mm.
Khoảng cách giữa các điểm đỡ dây nối đất từ 600-1000mm;
c) Dây nối đất đặt hở trong nhà khi giao chéo với các rãnh (ở những chỗ có tải trọng nặng di động qua lại) phải được bảo vệ chắc chắn để tránh bị hư hỏng cơ học.
1.8.12.6 Nối đất đường cáp
a) Nối đất cho đường cáp thực hiện theo quy định trong Điểm 1.7.3;
b) Vỏ kim loại, đai thép của các cáp nối với nhau, nối với vỏ hộp nối cáp, phễu cáp và nối đất bằng dây đồng mềm.
1.8.12.7 Nối đất cho ĐDK
a) Nối đất cho ĐDK thực hiện theo quy định trong Điểm 1.7.3.
b) Điện trở nối đất của từng cột tùy thuộc vào điện trở suất của đất ở chân cột theo quy định ở Điểm 1.7.3;
c) Hệ thống nối đất cho cột và dây chống sét của ĐDK bố trí xung quanh móng cột. Ở vị trí có điện trở suất của đất quá cao cho phép kéo dài dây nối đất đến khu vực có độ ẩm cao và điện trở suất thấp.
1.8.12.8 Nối đất cho TBPP và TBA
a) Nối đất cho TBPP và TBA thực hiện theo quy định trong Điểm 1.7.4, điện trở nối đất của từng trạm tùy thuộc quy mô TBA và điện trở suất của khu vực xây dựng TBA theo quy định theo quy định của thiết kế được tính toán theo Điểm 1.7.4.2 và Phụ lục Đ;
b) Số lượng tia nối đất của từng thiết bị vào lưới nối đất chính theo quy định trong Điểm 3.2.7.2; tất cả giá đỡ của thiết bị, đế đỡ của thiết bị, vỏ các tủ bảng phải được nối vào lưới nối đất chính;
c) Dây nối đất, cực tiếp đất bằng thép hoặc bằng đồng theo quy định của thiết kế.
Riêng đối với hệ thống lưới nối đất, dây nối đất, cực nối đất trong TBA 220 kV trở lên sử dụng dây đồng trần.
1.8.12.9 Nối đất lưới điện chiếu sáng
a) Dây dẫn của lưới điện chiếu sáng đặt trong ống, thiết bị điện đặt trong khung kim loại đã được nối đất thì không phải nối đất;
b) Đế đèn, chân đèn của đèn chiếu sáng ngoài trời phải được nối đất;
c) Dây dẫn điện lên đèn bố trí trên cột có lắp kim thu sét phải đặt trong ống thép từ dưới đất đến đế đèn và phải nối vào hệ thống nối đất chung.
1.8.12.10 Sơn hệ thống nối đất
a) Các dây nối đặt hở, các kết cấu, dây dẫn và thanh sắt dẹt của lưới nối đất phải được sơn theo quy định trong Điểm 1.7.2.5;
b) Ở vị trí nối với dây nối đất lưu động phải đánh dấu bằng cách dùng sơn vẽ ký hiệu "tiếp đất" và biểu tượng nối đất.
1.9 YÊU CẦU VỀ VẬN HÀNH HỆ THỐNG LƯỚI ĐIỆN
1.9.1 Chỉ huy điều độ - thao tác
1.9.1.1 Quy định chung
Phần này quy định các điều khoản, thủ tục cần thiết và các yêu cầu kỹ thuật cho Đơn vị vận hành hệ thống điện và thị trường điện, Trung tâm điều độ hệ thống điện miền, địa phương và tất cả các đơn vị vận hành thiết bị điện các trạm biến áp, đường dây truyền tải, phân phối điện, nhà máy điện, v.v. thực hiện mục tiêu cơ bản sau:
- Bảo đảm cung cấp điện an toàn, tin cậy.
- Bảo đảm ổn định hệ thống điện.
- Bảo đảm các tiêu chuẩn vận hành theo quy định.
- Bảo đảm hệ thống điện vận hành kinh tế.
1.9.1.2 Chỉ huy điều độ
Chỉ huy điều độ được thực hiện từ các trung tâm điều độ phải được trang bị các phương tiện cần thiết để chỉ huy công việc điều độ, phù hợp với các quy chuẩn kỹ thuật hiện hành.
Yêu cầu về hệ thống SCADA:
- Trung tâm điều khiển trực thuộc đơn vị quản lý lưới điện, nhà máy điện phải có kết nối SCADA với các Trung tâm điều độ phù hợp với quy hoạch tổng thể về hệ thống SCADA.
- Nhà máy điện có tổng công suất từ 10 MW trở lên đấu nối vào lưới điện và các trạm biến áp từ 110 kV trở lên phải được trang bị hệ thống điều khiển phân tán DCS, RTU hoặc Gateway có một (01) hoặc hai (02) cổng độc lập với nhau và được kết nối trực tiếp với hệ thống SCADA theo yêu cầu của đơn vị điều độ.
1.9.1.3 Sơ đồ kết nối thiết bị
Tại các phòng điều khiển của các nhà máy điện và các trạm truyền tải (bao gồm các trạm truyền tải đầu mối mà từ đây có thể kiểm tra, kiểm soát các trạm khác), các trung tâm điều độ phải có sơ đồ nổi (sơ đồ mô phỏng) của các thiết bị điện đặt ở nơi chỉ huy của nhân viên điều độ nhà máy điện, trạm truyền tải và trung tâm điều độ đó.
Tất cả các thay đổi trong sơ đồ nối dây cũng như các thay đổi vị trí nối đất cần phải được chỉ rõ trên sơ đồ (hoặc sơ đồ mô phỏng) ngay sau khi tiến hành thao tác.
1.9.1.4 Khả năng tải của thiết bị điện và đường dây dẫn điện
Khả năng tải cho phép đối với các thiết bị điện và đường dây dẫn điện phải do các đơn vị quản lý vận hành lập ra.
Khả năng tải phải được xem xét lại ít nhất một lần trong một năm hoặc ngay sau khi có sự thay đổi của các thiết bị dẫn tới thay đổi khả năng tải của thiết bị điện và đường dây dẫn điện
1.9.1.5 Biểu đồ công suất phát nhà máy điện
Biểu đồ công suất phát các nhà máy điện phải tính đến nhu cầu sử dụng điện của khách hàng, điện tự dùng của các nhà máy điện, trạm điện, tổn thất trên hệ thống điện và dự phòng nóng theo yêu cầu của hệ thống điện. Biểu đồ công suất phát nhà máy thủy điện phải phù hợp với quy trình điều tiết hồ chứa trong mùa lũ và mùa khô.
1.9.1.6 Vận hành theo biểu đồ công suất phát đã giao và dự phòng nóng của các nhà máy điện
Các nhà máy điện phải hoàn thành các biểu độ công suất phát và dự phòng nóng đã giao. Nếu vì một lý do nào đó không thực hiện được biểu đồ công suất phát thì nhân viên trực ca phải báo cáo ngay cho Đơn vị vận hành hệ thống điện và thị trường điện và/hoặc Trung tâm điều độ hệ thống điện miền.
Trong trường hợp cần thiết Trung tâm điều độ hệ thống điện miền có quyền thay đổi biểu đồ công suất phát của nhà máy điện nhưng phải giữ nguyên biểu đồ công suất phát tổng của toàn hệ thống do Đơn vị vận hành hệ thống điện và thị trường điện lập và phải được Đơn vị vận hành hệ thống điện và thị trường điện cho phép.
Đơn vị vận hành hệ thống điện và thị trường điện và/hoặc Trung tâm điều độ có quyền yêu cầu nhà máy điện tăng cường công suất hết mức hoặc giảm đến mức thấp nhất theo điều kiện kỹ thuật của thiết bị.
1.9.1.7 Kế hoạch đại tu sửa chữa
1.9.1.7.1 Kế hoạch tổng thể hàng năm về đại tu và sửa chữa các nhà máy điện và lưới điện cần được đăng ký lên Đơn vị vận hành hệ thống điện và thị trường điện và/hoặc các Trung tâm điều độ theo phân cấp.
1.9.1.7.2 Trường hợp kế hoạch tổng thể về đại tu và sửa chữa có thay đổi phải được sự phê chuẩn của Đơn vị vận hành hệ thống điện và thị trường điện và/hoặc các Trung tâm điều độ theo phân cấp.
1.9.1.7.3 Trường hợp đặc biệt khi có yêu cầu sửa chữa thiết bị không theo kế hoạch hoặc xử lý sự cố, phải được đăng ký và được phê duyệt của Đơn vị vận hành hệ thống điện và thị trường điện và/hoặc của trung tâm điều độ theo phân cấp.
1.9.1.8 Dừng thiết bị để sửa chữa và kiểm tra
Muốn đưa các thiết bị cũng như hệ thống rơ-le bảo vệ và tự động, điều chỉnh tự động tần số và công suất truyền tải, các phương tiện chỉ huy điều độ và điều khiển công nghệ ra khỏi vận hành và dự phòng để sửa chữa hay thử nghiệm, trong bất kỳ trường hợp nào (nằm trong hoặc nằm ngoài kế hoạch), phải làm văn bản và được trung tâm điều độ phê duyệt theo phân cấp.
1.9.1.9 Thời gian thao tác
Thời gian thực hiện các thao tác liên quan đến việc đưa các thiết bị sửa chữa hoặc đưa thiết bị hoặc đường dây vào hoạt động cần được tính toán đạt thời gian cho phép theo yêu cầu của trung tâm điều độ theo phân cấp.
Trường hợp thời gian cần thay đổi, phải được trung tâm điều độ theo phân cấp phê duyệt.
1.9.1.10 Dừng vận hành
Mặc dù các yêu cầu đã được chấp thuận, nhưng lúc đưa thiết bị ra khỏi vận hành và dự phòng để sửa chữa hay thử nghiệm đều phải được trung tâm điều độ theo phân cấp cho phép ngay trước khi bắt đầu sửa chữa hoặc kiểm tra.
1.9.1.11 Phương thức xử lý sự cố
Ở mỗi trung tâm điều độ phải có quy trình xử lý sự cố để các nhân viên kỹ thuật áp dụng. Khi xuất hiện sự cố, các trung tâm điều độ và nhân viên vận hành liên quan phải áp dụng mọi biện pháp để hạn chế sự lan rộng sự cố và khôi phục cung cấp điện cho khách hàng ngay khi có thể.
1.9.2 Nhiệm vụ vận hành
1.9.2.1 Nhân viên vận hành
Các nhà máy điện, công ty truyền tải điện, công ty điện lực, các đơn vị cung cấp điện và đơn vị vận hành lưới điện cần phân công người thích hợp đáp ứng các trình độ theo yêu cầu được quy định trong các tiêu chuẩn có liên quan với chức năng và nhiệm vụ người vận hành.
Nhân viên vận hành hệ thống điện, nhà máy điện, lưới điện bao gồm:
- Nhân viên trực ca làm việc theo lịch của các bộ phận sản xuất.
- Nhân viên vận hành, thao tác, sửa chữa ở bộ phận sản xuất.
- Cán bộ trực ca trong ca vận hành bao gồm:
+ Điều độ viên quốc gia.
+ Điều độ viên miền.
+ Điều độ viên phân phối tỉnh, thành phố trực thuộc trung ương.
1.9.2.2 Bảo dưỡng thiết bị
Việc bảo dưỡng thiết bị điện do đơn vị quản lý vận hành thực hiện thường xuyên hoặc định kỳ theo lịch quy định cho từng thiết bị hoặc nhóm thiết bị.
1.9.2.3 Trách nhiệm giám sát và bảo dưỡng thiết bị, máy móc
Các nhà máy điện, công ty điện lực, các đơn vị cung cấp điện phải yêu cầu và giám sát các đơn vị vận hành, bảo đảm vận hành an toàn và không để xảy ra sự cố, đồng thời phải duy trì vệ sinh môi trường, sắp xếp các dụng cụ và thiết bị ngăn nắp phục vụ cho vận hành, bảo dưỡng, sửa chữa theo đúng quy định.
1.9.2.4 Kiểm tra vận hành của các thiết bị
Nhân viên vận hành phải định kỳ kiểm tra theo đúng quy trình vận hành những thiết bị công nghệ, phương tiện phòng cháy chữa cháy, tín hiệu báo sự cố, thiết bị thông tin liên lạc luôn luôn trong tình trạng làm việc an toàn và ổn định.
1.9.3 Các phương tiện chỉ huy điều độ và điều khiển
1.9.3.1 Phương tiện chỉ huy và điều khiển
Các cơ sở chỉ huy điều độ của các nhà máy điện, công ty điện lực, các đơn vị cung cấp điện và đơn vị vận hành lưới điện phải được trang bị các phương tiện phù hợp theo đúng các tiêu chuẩn thiết kế công nghệ cho chỉ huy và điều khiển của hệ thống điện. Ngoài ra các phương tiện đó phải phù hợp về số lượng các thiết bị điều khiển cơ khí từ xa và thông tin liên lạc trong hệ thống điện và thường xuyên ở trạng thái làm việc tốt.
1.9.3.2 Thiết bị thông tin liên lạc và hệ thống điều khiển từ xa
Các trạm khách hàng có điện áp 110 kV trở lên tùy theo quy mô và yêu cầu điều độ được trang bị hệ thống thông tin liên lạc và điều khiển từ xa. Số lượng hệ thống điều khiển từ xa của các trạm truyền tải được xác định dựa trên các yêu cầu về độ tin cậy cho điều độ, điều khiển, thao tác bằng các kênh thông tin và phải phù hợp với hệ thống điện.
Kết cấu và chế độ bảo dưỡng phương tiện thông tin liên lạc và điều khiển từ xa của các trạm truyền tải phải thực hiện theo đúng quy định.
1.9.3.3 Vận hành mạng viễn thông, hệ thống điều khiển từ xa và hệ thống truyền thông tin
Đơn vị quản lý thông tin và điều khiển từ xa bảo đảm quản lý và vận hành mạng lưới viễn thông cho sản xuất, truyền tải, phân phối điện đáp ứng các yêu cầu về độ tin cậy cho điều độ, điều khiển, thao tác bằng các kênh thông tin phù hợp với hệ thống điện.
1.9.3.4 Tài liệu cho chỉ huy và điều khiển
Thiết bị kỹ thuật điều độ và điều khiển công nghệ, vận hành máy tính và các thiết bị ngoại vi, thiết bị đầu cuối của máy tính phải có các tài liệu thiết kế, tài liệu của nhà chế tạo, các sơ đồ và quy trình vận hành cũng như phải có tài liệu kỹ thuật của thiết bị và biên bản kiểm tra vận hành.
1.9.3.5 Bảo vệ thiết bị thông tin hữu tuyến
Các thiết bị thông tin hữu tuyến phải được bảo vệ, tránh tác động nguy hiểm và nhiễu do các thiết bị điện áp cao gây ra phù hợp với quy định hiện hành về bảo vệ đường dây viễn thông hữu tuyến của hệ thống điện.
1.9.3.6 Nguồn điện dự phòng cho các thiết bị điều độ và điều khiển
Các thiết bị điều độ và điều khiển công nghệ cũng như các thiết bị kỹ thuật máy tính tham gia trực tiếp vào quá trình điều khiển phải có nguồn điện dự phòng tự động đóng lại khi mất điện lưới. Các nguồn dự phòng đó phải thực hiện theo đúng các yêu cầu hiện hành.
1.9.3.7 Kiểm tra phương tiện chỉ huy và điều khiển
Các nhà máy điện, công ty truyền tải điện, công ty điện lực, các đơn vị cung cấp điện và đơn vị vận hành lưới điện phải định kỳ kiểm tra toàn bộ các thiết bị điều độ, đặc biệt chú ý tới vị trí của các khoá chuyển mạch, con nối mạch và tín hiệu báo sự cố.
1.9.4 Vận hành MBA và cuộn kháng
1.9.4.1 Quy định chung
Khi vận hành MBA lực và cuộn kháng phải duy trì vận hành ổn định và lâu dài của chúng thông qua các hạng mục sau:
- Kiểm tra nhiệt độ, chế độ phụ tải và mức điện áp.
- Kiểm tra tiêu chuẩn về chất lượng dầu và đặc tính cách điện.
- Duy trì tốt các trang bị làm mát, điều chỉnh điện áp, bảo vệ dầu và các trang bị khác.
- Thường xuyên giám sát, kiểm tra các nội dung cụ thể theo Quy trình vận hành MBA.
1.9.4.2 Trang thiết bị phòng cháy chữa cháy
Các trang bị phòng cháy chữa cháy đặt cố định phải được kiểm tra, bảo dưỡng thường xuyên và định kỳ theo quy định để bảo đảm luôn sẵn sàng làm việc. Hệ thống thu gom dầu sự cố của MBA (cuộn kháng) và các ống xả dầu phải được duy trì trong trạng thái sẵn sàng làm việc.
1.9.4.3 Đánh số, ký hiệu
a) Trên tất cả các thiết bị phải đánh số và ký hiệu theo quy định của Điều độ.
b) Trên vỏ các máy biến áp (cuộn kháng) 1 pha phải ghi tên của pha. Đánh số thiết bị trong hệ thống điện Phụ lục E.
1.9.4.4 Vận hành MBA và cuộn kháng
1.9.4.4.1 Chế độ vận hành
a) Điều chỉnh chế độ và sơ đồ vận hành của lưới điện cung cấp dựa trên cơ sở các số liệu thu thập được;
b) Mỗi cuộn dây của MBA được phép quá tải lâu dài cao hơn dòng điện định mức 5% của nấc điện áp tương ứng nếu điện áp ở nấc đó không cao hơn điện áp định mức. Tùy theo chế độ làm việc, MBA được phép quá tải thường xuyên, giới hạn và thời gian quá tải căn cứ theo quy trình và chế độ vận hành MBA phù hợp với quy định của nhà chế tạo. Phải ghi lại các số liệu dòng tải của MBA điện áp 110 kV trở lên theo giờ trong một năm, kết quả đó được tổng hợp lại và phân tích để xem xét cho việc nâng cấp hoặc thay thế MBA;
c) Ở MBA tự ngẫu có cuộn dây điện áp thấp nối với máy phát điện, máy bù đồng bộ hoặc phụ tải thì cần kiểm tra dòng điện ở phần chung của cuộn dây điện áp cao.
1.9.4.4.2 Vận hành bộ điều áp dưới tải
Bộ điều chỉnh điện áp dưới tải của MBA phải luôn luôn trong tình trạng làm việc; thông thường bộ điều chỉnh này làm việc tự động. Phải kiểm tra tần suất làm việc của bộ điều chỉnh căn cứ vào trị số ghi trên bộ đếm vận hành.
1.9.4.4.3 Vận hành hệ thống làm mát
a) Thường xuyên kiểm tra hệ thống làm mát của MBA để bảo đảm cho máy làm việc tốt với chế độ phụ tải theo quy định;
b) Hệ thống làm mát của MBA làm mát bằng không khí và dầu tuần hoàn cưỡng bức phải được tự động đóng (cắt) đồng thời với việc đóng (cắt) MBA. Dầu phải được liên tục tuần hoàn mà không phụ thuộc mức mang tải;
c) Các động cơ điện của hệ thống làm mát MBA (cuộn kháng) nên được cấp điện từ hai nguồn. Đối với MBA (cuộn kháng) có dầu tuần hoàn cưỡng bức phải trang bị bộ tự động đóng nguồn dự phòng (TĐD).
1.9.4.4.4 Hệ thống dầu
a) Dầu trong bình dầu phụ của MBA phải được bảo vệ tránh tiếp xúc trực tiếp với môi trường không khí xung quanh;
b) Dầu trong các sứ điện có dầu phải được bảo vệ chống ôxy hóa và chống nhiễm ẩm;
c) Dầu trong bình dầu phụ của MBA (cuộn kháng) phải ở ngang vạch đánh dấu tương ứng với nhiệt độ dầu trong MBA (cuộn kháng).
1.9.4.4.5 Kiểm tra, sửa chữa sau sự cố
a) Khi rơ-le bảo vệ các hư hỏng bên trong MBA (cuộn kháng) tác động để cắt MBA ra khỏi lưới, phải tiến hành xem xét phía ngoài MBA (cuộn kháng) để phát hiện những biến dạng, đồng thời kiểm tra điện trở cách điện và lấy mẫu khí trong rơ-le hơi để phân tích và kiểm tra tính chất cháy của khí. Nếu điện trở cách điện thấp, khí cháy được, trong khí có chứa chất do phân hủy cách điện, MBA (cuộn kháng) sẽ không được đóng điện lại;
b) Trong trường hợp cần sửa chữa MBA, phải lập phương án sửa chữa được cấp có thẩm quyền phê duyệt và phải chuẩn bị đầy đủ các vật tư, phương tiện và thiết bị sửa chữa trước khi thực hiện.
1.9.4.4.6 Đóng điện lại MBA
Trường hợp MBA (cuộn kháng) cắt tự động do tác động của rơ-le bảo vệ hoặc sau khi sửa chữa chỉ cho phép đóng vào làm việc trở lại sau khi đã xem xét, thử nghiệm, phân tích nguyên nhân sự cố, phân tích mẫu khí, khắc phục những điều bất thường đã phát hiện và xác nhận không có cản trở nào tới việc vận hành tiếp tục của MBA.
1.9.4.4.7 Kiểm tra MBA
Phải kiểm tra thường xuyên và kiểm tra định kỳ MBA theo những nội dung quy định của nhà chế tạo và quy định trong quy trình vận hành MBA.
Chế độ vận hành quá tải máy biến áp tham khảo Phụ lục F.
1.9.5 Vận hành trang bị phân phối điện
1.9.5.1 Quy định chung
Đơn vị vận hành các TBPP cần bảo đảm các điều kiện làm việc của từng thiết bị điện với các giá trị danh định trong điều kiện hoạt động bình thường và nhanh chóng loại trừ sự cố khi ngắn mạch hoặc quá điện áp.
Nhân viên vận hành TBPP phải nắm vững sơ đồ và các chỉ dẫn theo các chế độ làm việc cho phép của thiết bị điện trong điều kiện bình thường và sự cố.
Thường xuyên giám sát, kiểm tra các TBPP theo các nội dung chi tiết quy định trong Quy trình vận hành.
1.9.5.2 Kiểm tra các điều kiện vận hành
1.9.5.2.1 Các kết cấu bị phát nóng khi ở gần các phần mang điện mà nhân viên vận hành dễ tiếp xúc phải được hạn chế nhiệt độ không vượt quá +50 0 C.
1.9.5.2.2 Nhiệt độ trong nhà ở các PTN vào mùa hè không được vượt quá +35 0 C, và phải có các biện pháp làm mát không khí để giảm nhiệt độ của các thiết bị điện.
1.9.5.2.3 Ở các PNT và PTN phải có các biện pháp ngăn ngừa không cho các động vật và chim chui vào. Lớp phủ sàn nhà không cho phép tạo thành bụi. Giữa cây cối với các phần mang điện trong PNT phải có đủ khoảng cách loại trừ được khả năng phóng điện.
1.9.5.2.4 Các mương và rãnh cáp ở các hệ thống phân phối phải được đậy kín bằng các tấm đan không cháy. Ở những lỗ cáp vào nhà, xuyên tường và nơi cáp ra khỏi mương cáp phải được bịt kín bằng các vật liệu không cháy.
1.9.5.2.5 Các hầm cáp, mương cáp phải được giữ gìn sạch sẽ, phải có trang bị hệ thống thải nước đọng bằng vật liệu có khả năng chịu lửa.
1.9.5.2.6 Hệ thống chứa dầu, hồ thu dầu, hệ thống thoát thải dầu phải bảo đảm hoạt động tốt và bảo đảm không để dầu thải ra môi trường.
1.9.5.3 Kiểm tra chế độ làm việc của thiết bị
1.9.5.3.1 Mức dầu ở các máy biến áp đo lường, các sứ có dầu không được vượt quá các giới hạn chỉ thị dầu theo nhiệt độ môi trường. Dầu ở trong các thiết bị trên phải bảo vệ chống ẩm và ôxy hóa;
1.9.5.3.2 Kiểm tra định kỳ nhiệt độ phát nóng ở các mối nối thanh cái có dòng điện từ 1000A trở lên trong các TBPP bằng các thiết bị chuyên dùng;
1.9.5.3.3 Các TBPP điện áp trên 1 kV phải trang bị các khóa liên động để ngăn ngừa thao tác nhầm của dao cách ly, dao tách nhánh, máy cắt, dao tiếp đất, v.v. Nhân viên vận hành trực tiếp thao tác các thiết bị trên phải thực hiện theo lệnh và có sự giám sát của nhân viên trực.
1.9.5.4 Vận hành thiết bị điện
1.9.5.4.1 Điều kiện vận hành
a) Ở các trạm biến áp, trạm cắt cũng như các công trình khác lắp đặt trên cao không có hàng rào vây quanh thì các tay truyền động cầu dao và các tủ phân phối phải được khóa. Thang cố định để trèo lên sàn thao tác phải đặt biển cảnh báo cấm trèo;
b) Ở máy cắt điện và bộ phận truyền động phải có bộ chỉ thị vị trí đóng hoặc cắt. Ở các máy cắt điện có bộ truyền động đặt liền với máy cắt thì chỉ cần đặt bộ chỉ thị vị trí đóng cắt hoặc ở máy cắt điện hoặc ở bộ truyền động. Ở các máy cắt điện tiếp điểm làm việc của nó dễ dàng quan sát được vị trí đóng hoặc cắt thì không nhất thiết phải có bộ chỉ thị vị trí đóng cắt của máy cắt;
c) Ở các bộ truyền động cầu dao, dao tiếp đất, dao tách nhánh và các thiết bị khác có tường ngăn cách với các thiết bị thì phải có bộ phận chỉ thị vị trí "đóng" và "cắt";
d) Kiểm tra và thử nghiệm đối với TBPP phải thực hiện theo quy định Quy chuẩn kỹ thuật về thử nghiệm điện.
1.9.5.4.2 An toàn vận hành
a) Kiểm tra an toàn định kỳ theo quy định đối với hệ thống chống sét, nối đất của TBPP so với quy định và xử lý kịp thời khi không đạt yêu cầu kỹ thuật;
b) Kiểm tra an toàn định kỳ theo quy định đối với dụng cụ phòng cháy chữa cháy và hệ thống PCCC, lập kế hoạch trang bị bổ sung và duy tu bảo dưỡng theo quy định;
c) Kiểm tra định kỳ theo quy định đối với các phương tiện cứu hộ, cứu nạn.
1.9.5.4.3 Bảo dưỡng và đại tu định kỳ
Bảo dưỡng và đại tu thiết bị TBPP được thực hiện theo kế hoạch đã được phê duyệt để bố trí thời gian bảo dưỡng và đại tu hợp lý đồng thời vẫn bảo đảm cung cấp điện liên tục và an toàn.
1.9.6 Vận hành hệ thống ắc quy
1.9.6.1 Chế độ làm việc
1.9.6.1.1 Khi vận hành hệ thống ắc quy phải bảo đảm làm việc tin cậy lâu dài với mức điện áp cần thiết trên thanh cái điện một chiều trong chế độ vận hành bình thường và sự cố.
1.9.6.1.2 Kiểm tra các ắc quy mới cũng như ắc quy đang vận hành theo quy định của nhà chế tạo.
1.9.6.1.3 Điện áp ở thanh cái điện một chiều cung cấp điện cho các mạch điều khiển trang bị rơ-le bảo vệ, tín hiệu tự động và điều khiển từ xa, trong điều kiện vận hành bình thường cho phép không lớn hơn 10% điện áp danh định.
1.9.6.1.4 Khi có chạm đất trong hệ thống điện một chiều, phải nhanh chóng loại trừ.
1.9.6.2 Điều kiện và môi trường làm việc
1.9.6.2.1 Nhiệt độ của gian đặt ắc quy theo hướng dẫn của nhà chế tạo. Trường hợp không có hướng dẫn nhà chế tạo, nhiệt độ của gian đặt ắc quy nên duy trì từ 10 0 C đến 30 0 C để ắc quy hoạt động hiệu quả và có tuổi thọ cao.
1.9.6.2.2 Buồng ắc quy phải có hệ thống thông gió cưỡng bức để đẩy thoát khí ra ngoài. Trước khi vào làm việc trong buồng ắc quy phải bật hệ thống thông gió ít nhất là 30 phút.
1.9.6.2.3 Các tủ lắp ắc quy phải có ống thoát khí ra ngoài.
1.9.7 Vận hành đường dây dẫn điện trên không
1.9.7.1 Kiểm tra bảo dưỡng định kỳ, sửa chữa lớn
Bảo dưỡng ĐDK phải tiến hành theo quy định, phải kiểm tra và đo lường định kỳ để kịp thời xử lý các bộ phận kết cấu ĐDK bị hư hỏng bất thường.
Thường xuyên xem xét và đề xuất các giải pháp tổng thể nhằm phục hồi lại các đặc tính vận hành ban đầu của ĐDK nói chung hoặc các bộ phận của chúng nói riêng bằng cách sửa chữa các bộ phận bị hư hỏng hoặc thay chúng bằng những loại có chất lượng và kinh tế hơn nhằm cải thiện các đặc tính vận hành của đường dây. Cần tiến hành kiểm tra bảo dưỡng thiết bị ĐDK bằng phương pháp và chu kỳ thích hợp nhằm duy trì độ tin cậy và tính kinh tế khi hoạt động. Khi đưa đường dây vào sửa chữa lớn, phải bảo đảm để đưa ĐDK vào trạng thái làm việc như ban đầu.
Phải triển khai việc sửa chữa và bảo dưỡng từng tuyến ĐDK một cách thống nhất, vào cùng một thời điểm để hạn chế tối đa thời gian cắt điện.
Cơ quan quản lý cần xác định chu kỳ bảo dưỡng kiểm tra dựa trên tình trạng và sự cố xảy ra trên thực tế.
1.9.7.2 Bảo vệ an toàn cho công trình lưới điện
Trong quản lý vận hành ĐDK phải nghiêm chỉnh chấp hành các quy định về bảo vệ an toàn các công trình lưới điện đã được nêu chi tiết tại Nghị định về Quy định chi tiết thi hành Luật Điện lực về bảo vệ công trình điện lực và an toàn trong lĩnh vực điện lực.
1.9.7.3 Thông báo về sự nguy hiểm và bồi thường thiệt hại khi sửa chữa.
Công tác thông báo về sự nguy hiểm và bồi thường thiệt hại khi sửa chữa phải nghiêm chỉnh chấp hành các quy định về bảo vệ an toàn các công trình lưới điện đã được nêu chi tiết tại Nghị định về Quy định chi tiết thi hành Luật Điện lực về bảo vệ công trình điện lực và an toàn trong lĩnh vực điện lực.
1.9.7.4 Lắp đặt và bảo quản các biển báo và tín hiệu
1.9.7.4.1 Các công trình lưới điện xây dựng mới, Đơn vị quản lý vận hành lưới điện áp cao phải đặt các loại biển cấm, biển báo,...(nếu có) theo tiêu chuẩn, quy chuẩn kỹ thuật hiện hành vượt đường sắt, đường bộ, đường thủy nội địa, đường biển để cảnh báo nguy hiểm, ngăn các phương tiện giao thông va chạm, vi phạm khoảng cách an toàn vào công trình điện và bàn giao cho cơ quan quản lý đường quản lý.
Các công trình đường sắt, đường bộ, đường thủy xây mới, cơ quan quản lý đường sắt, đường bộ, đường thủy có trách nhiệm đặt biển báo giao chéo với đường điện.
Việc bảo dưỡng các biển báo, rào chắn do cơ quan quản lý đường sắt, đường bộ, đường thủy nội địa, đường biển thực hiện.
1.9.7.4.2 Các biển báo và tín hiệu phải giữ trong điều kiện tốt nhất, các biển cảnh báo, tín hiệu cảnh báo bị hư hỏng phải được sửa chữa. Các biển báo được bố trí ở các vị trí sau:
a) Biển báo đặt trên bờ các khoảng ĐDK vượt sông có thuyền bè qua lại thường xuyên và biển báo ĐDK đi ngang qua đường giao thông;
b) Tín hiệu ánh sáng và sơn báo hiệu đặt ở các cột cao;
c) Các biển báo, biển hiệu lắp vĩnh viễn trên các cột của ĐDK.
1.9.7.5 Kiểm tra ĐDK
1.9.7.5.1 Định kỳ theo quy định trong Quy trình vận hành ĐDK phải kiểm tra và thử nghiệm ĐDK theo các yêu cầu kỹ thuật được quy định trong Mục 2.
1.9.7.5.2 Kiểm tra ĐDK được thực hiện theo kế hoạch sau:
a) Kiểm tra định kỳ;
b) Kiểm tra khẩn cấp;
c) Kiểm tra bất thường (sau sự cố, sau khi kỳ nghỉ dài, trước khi bão, v.v.).
1.9.7.6 Biện pháp xử lý hư hỏng
1.9.7.6.1 Những hư hỏng, thiếu sót phát hiện khi kiểm tra ĐDK phải ghi vào nhật ký hoặc hồ sơ y theo mức độ hư hỏng để tiến hành sửa chữa ngay hoặc trong sửa chữa định kỳ.
1.9.7.6.2 Định kỳ kiểm tra độ nhiễm bẩn bề mặt vật cách điện của ĐDK. Trong trường hợp vật cách điện bị ô nhiễm nghiêm trọng, phải có kế hoạch và biện pháp làm sạch thích hợp để bảo đảm cho hệ thống điện vẫn hoạt động an toàn liên tục.
1.9.7.6.3 Trong quá trình bảo dưỡng, sửa chữa nếu có thay đổi kết cấu cột cũng như các kết cấu khác của ĐDK phải có đầy đủ các tài liệu tính toán kỹ thuật phù hợp và được cơ quan có thẩm quyền phê duyệt.
1.9.7.6.4 Các cơ quan quản lý lưới điện phải dự phòng một số phụ tùng, phụ kiện thay thế theo quy định để có thể tiến hành thay thế kịp thời khi sửa chữa các hư hỏng trên ĐDK.
1.9.7.7 Phối hợp quản lý vận hành
Khi các cơ quan quản lý vận hành khác nhau có các mạch đường dây mắc chung cột, phải thỏa thuận kế hoạch vận hành, sửa chữa cho từng ĐDK đi chung cột. Trong trường hợp sửa chữa ĐDK nếu xảy ra sự cố cần phải thông báo ngay cho bên liên quan (các đơn vị sử dụng chung cột).
1.9.8 Vận hành đường cáp điện lực
1.9.8.1 Quy định chung
1.9.8.1.1 Trong vận hành các đường cáp điện lực phải tiến hành giám sát hành lang tuyến cáp, bảo dưỡng công trình cáp, theo dõi chế độ vận hành cáp nhằm bảo đảm cho các đường cáp luôn làm việc tin cậy.
1.9.8.1.2 Để vận hành đường cáp cần phải có các tài liệu sau:
a) Bản vẽ thể hiện mặt bằng tuyến cáp (tùy thuộc vào địa hình các hệ thống giao thông và viễn thông ở khu vực đường cáp đi qua) thể hiện mặt bằng tuyến cáp, các vị trí góc, vị trí lắp hộp nối cáp, các vị trí giao chéo với công trình khác; Bản vẽ cắt dọc tuyến cáp ở những điểm cáp giao cắt với đường giao thông và các đường cáp khác, đường ống (với cáp điện áp từ 35 kV trở lên) và ở những đoạn tuyến phức tạp (với cáp 6-10 kV trở lên);
b) Danh mục các công trình ngầm dưới đất, tọa độ những điểm đường cáp giao chéo với các công trình khác (cáp điện lực, cáp thông tin, ống nước, v.v.);
c) Biên bản thử nghiệm cáp theo những điều kiện kỹ thuật của cáp;
d) Biên bản phân tích mẫu đất dọc tuyến theo đặc điểm của từng đoạn tuyến (nếu cáp chôn trực tiếp trong đất).
1.9.8.2 Điều kiện làm việc
1.9.8.2.1 Phụ tải của cáp
Dòng điện tải cho phép lớn nhất của cáp được tính toán theo khả năng tải, theo điều kiện ngắn mạch, theo điều kiện môi trường lắp đặt cáp phù hợp hướng dẫn của nhà sản xuất hoặc tham khảo các Phụ lục G-3, Phụ lục H-2.
Có thể xác định dòng điện tải tối đa cho phép theo kết quả thử nghiệm. Trong khi thử nghiệm, nhiệt độ của cáp không được vượt quá giới hạn quy định. Nhiệt độ của cáp khi thử nghiệm phải được kiểm tra tại các đoạn có khả năng phát nhiệt cao nhất.
1.9.8.2.2 Nhiệt độ trong hầm cáp
Nhiệt độ trong hầm cáp không được vượt quá 45 o C vào mùa hè. Trong trường hợp nhiệt độ vượt quá 45 o C, cần xem xét lại các yêu cầu thiết kế cáp cho phù hợp hoặc có giải pháp hạ nhiệt độ xuống đến mức quy định.
1.9.8.2.3 Vận hành quá tải
Các đường cáp được vận hành quá tải đến mức nhiệt độ tối đa cho phép. Đường cáp vận hành trong tình trạng quá tải không cho phép vượt quá các thông số kỹ thuật cho phép của cáp sử dụng.
1.9.8.3 Giám sát và kiểm tra
1.9.8.3.1 Giám sát
a) Tất cả các đường cáp có điện áp bất kỳ khi tiến hành thi công phải thông báo cho cơ quan quản lý điện khu vực biết. Cơ quan quản lý điện khu vực phải bố trí giám sát kỹ thuật theo dõi trong quá trình xây lắp, thử nghiệm, nghiệm thu;
b) Các công trình khi thi công ảnh hưởng đến đường cáp, thì cơ quan quản lý đường cáp phải cử người giám sát công tác thi công đó. Biện pháp bảo vệ phải được trao đổi và thống nhất giữa đơn vị xây lắp và cơ quan quản lý đường cáp.
1.9.8.3.2 Kiểm tra
a) Định kỳ kiểm tra và thử nghiệm cáp theo quy định trong Quy trình vận hành cáp;
b) Khi phát hiện những bất thường trên đường cáp điện phải theo dõi, nhanh chóng phát hiện nguyên nhân và lập biện pháp khắc phục.
1.9.8.4 Biện pháp bảo vệ an toàn
1.9.8.4.1 Ở những vùng có tuyến giao thông điện khí hóa hoặc đi qua vùng đất xâm thực, các đường cáp chỉ được đưa vào vận hành sau khi đã có các biện pháp đối phó chống ăn mòn điện phân. Trong các khu vực nói trên, trên các đường cáp phải tiến hành đo các dòng điện rò (dòng điện lạc), phải thành lập và hiệu chỉnh biểu đồ điện thế của lưới cáp (hoặc từng đoạn cáp) và đưa ra các biện pháp khắc phục cho vùng nói trên.
1.9.8.4.2 Tất cả những hoạt động liên quan đến an toàn trong hành lang tuyến đường cáp chỉ được tiến hành khi được phép của cơ quan quản lý đường cáp.
1.9.8.4.3 Trong quá trình kiểm tra, bảo dưỡng, sửa chữa các đường cáp và công trình cáp phải tuân thủ nghiêm ngặt các quy định về an toàn lao động.
1.9.8.5 Công bố thông tin
Cơ quan quản lý vận hành tuyến cáp phải thông báo cho các cơ quan và nhân dân trong khu vực về hành lang tuyến đường cáp, những yêu cầu bảo vệ an toàn hành lang tuyến đường cáp và đặt dấu hiệu trên mặt đất vị trí tuyến đường cáp.
1.9.9 Vận hành hệ thống rơ-le bảo vệ và tự động điện
1.9.9.1 Quy định chung
Các thiết bị điện của các nhà máy điện và lưới điện phải được bảo vệ chống ngắn mạch và các hư hỏng trong chế độ vận hành bình thường bằng các trang bị rơ-le bảo vệ, máy cắt hoặc cầu chảy và các trang bị tự động điện trong đó có tự động điều chỉnh và tự động ngăn ngừa sự cố.
1.9.9.2 Quản lý và vận hành
Các đơn vị quản lý vận hành nhà máy điện, đường dây, trạm biến áp chịu trách nhiệm quản lý, vận hành hệ thống rơ-le bảo vệ, tự động điện, thiết bị đo lường điện và mạch nhị thứ.
1.9.9.3 Yêu cầu bảo đảm quy trình vận hành và thông số vận hành
Trong vận hành phải bảo đảm duy trì các điều kiện làm việc bình thường của các trang bị rơ-le bảo vệ, đo lường và tự động điện, các mạch nhị thứ theo các quy chuẩn kỹ thuật quốc gia và quy trình kỹ thuật vận hành (nhiệt độ, độ ẩm, độ rung cho phép và độ sai lệch thông số so với định mức, v.v.).
1.9.9.4 Ký hiệu và đánh số
Đơn vị thi công, đơn vị quản lý vận hành nhà máy điện, trạm biến áp có trách nhiệm ký hiệu và đánh số thiết bị cho các rơ-le bảo vệ và thiết bị tự động lắp trên các tủ, bảng điều khiển, bảo vệ; nhãn đánh số thiết bị phải dễ nhận dạng bằng mắt thường; nhãn phải được gắn ở cả hai mặt của thiết bị và tuân theo quy ước đánh số thiết bị trong bản vẽ hoàn công mạch nhị thứ.
Trên các tủ, bảng điều khiển, bảo vệ, bàn làm việc phải được gắn nhãn, đánh số tủ, bảng và thiết bị điều khiển theo quy định đánh số thiết bị của Đơn vị vận hành hệ thống điện và theo sơ đồ hệ thống điện của nhà máy điện, trạm biến áp. Các thiết bị này phải được ký hiệu ở cả hai mặt bên trong và bên ngoài của các tủ bảng điện, bàn điều khiển, làm việc đó.
1.9.9.5 Kiểm tra hoạt động các thiết bị
Các đơn vị quản lý vận hành nhà máy điện, trạm biến áp có trang bị hệ thống rơ-le bảo vệ và thiết bị tự động có quyền yêu cầu đơn vị có trách nhiệm kiểm tra sự hoạt động chính xác của thiết bị chống ngắn mạch, máy cắt ở trong các mạch điều khiển, thử nghiệm máy cắt điện và các thiết bị khác, trao đổi tín hiệu bảo vệ cao tần, đo dòng điện không cân bằng của bảo vệ so lệch thanh cái, thử nghiệm trang bị tự động đóng lại (TĐL), đóng nguồn dự phòng (TĐD), tự động ghi chụp bản ghi sự cố, sự kiện và các chức năng bảo vệ, tự động khác.
1.9.9.6 Kiểm tra rơ-le bảo vệ và thiết bị tự động
Các trang bị rơ-le bảo vệ, tự động và mạch nhị thứ phải được kiểm tra và hiệu chỉnh định kỳ theo quy trình kỹ thuật và các hướng dẫn hiện hành.
Sau mỗi lần tác động sai hoặc không tác động, các trang bị này phải được tiến hành kiểm tra bổ sung (sau sự cố) theo quy trình quản lý vận hành thiết bị do đơn vị quản lý vận hành ban hành.
1.9.9.7 Cuộn dây nhị thứ của TI và TU
Cuộn dây nhị thứ của TI không được để hở. Cuộn dây nhị thứ của TU không được ngắn mạch và phải có điểm nối đất.
1.9.9.8 Yêu cầu mạch bảo vệ và thiết bị tự động
Các trang bị bảo vệ (cầu chảy, máy cắt) của mạch thao tác (điều khiển) phải sẵn sàng hoạt động.
Cầu chảy và dây chảy phải có ký hiệu (chức năng và dòng điện).
Ở các bảng (các tủ) mà nhân viên thao tác thực hiện chuyển mạch bằng khóa phải ghi thêm vị trí tương ứng của khóa ứng với các chế độ làm việc.
Tất cả thao tác chuyển mạch trên phải ghi vào nhật ký vận hành.
1.9.10 Vận hành hệ thống nối đất
1.9.10.1 Quy định chung
Các trang bị nối đất phải đáp ứng các yêu cầu về an toàn cho người và các thiết bị trong mọi chế độ vận hành.
Phải nối đất tất cả các bộ phận bằng kim loại của thiết bị điện và của các công trình điện có khả năng rò điện khi cách điện của chúng bị hư hỏng.
1.9.10.2 Thời điểm đo điện trở nối đất
Phải tiến hành đo điện trở nối đất trong các trường hợp sau:
- Sau khi lắp đặt, làm mới hoặc đại tu những công việc trong nhà máy điện, trạm biến áp và đường dây.
- Trong trường hợp bảo dưỡng nối đất các cột từ 110 kV trở lên vì cách điện bị hư hỏng hoặc đánh thủng bằng hồ quang điện.
1.9.10.3 Nối đất khu vực có tính ăn mòn cao
Đối với các trang bị nối đất của các công trình cũng như các cột điện thường xuyên bị hư hỏng do gỉ thì việc đào đất lên để kiểm tra lưới nối đất phải làm thường xuyên hơn theo quyết định của người chịu trách nhiệm.
1.9.11 Vận hành hệ thống bảo vệ quá điện áp
1.9.11.1 Bù điện dung
Trong hệ thống điện, có rất nhiều các loại cáp ngầm được lắp đặt, dòng điện dung được cộng thêm vào dòng điện sự cố chạm đất. Vì vậy, khi dòng điện chạm đất lớn có thể làm cho các thiết bị bảo vệ làm việc không đúng hoặc gây ảnh hưởng nhiễu điện từ trên đường dây thông tin. Do đó sẽ dùng một cuộn kháng để bù làm giảm dòng điện điện dung, công suất của cuộn kháng bù được lựa chọn dựa trên các ảnh hưởng của dòng điện dung tới các chức năng của thiết bị bảo vệ và ảnh hưởng cảm ứng trên đường dây thông tin nói trên.
1.9.11.2 Cuộn kháng dập hồ quang
1.9.11.2.1 Công suất của cuộn kháng dập hồ quang phải lựa chọn theo dòng điện điện dung của lưới có tính đến dự kiến phát triển lưới điện.
1.9.11.2.2 Các cuộn kháng dập hồ quang nối đất phải đặt trong trạm truyền tải nối với lưới bù không ít hơn ba đường dây.
1.9.11.2.3 Không được đặt các cuộn kháng dập hồ quang ở các trạm cụt.
1.9.11.2.4 Cuộn kháng dập hồ quang phải đấu vào điểm trung tính của máy biến áp, máy phát điện hoặc máy bù đồng bộ qua dao cách ly.
1.9.11.2.5 Để đấu cuộn kháng dập hồ quang, thông thường phải sử dụng máy biến áp có sơ đồ đấu dây “sao - tam giác”.
1.9.11.2.6 Cấm đấu các cuộn kháng dập hồ quang vào các máy biến áp lực được bảo vệ bằng cầu chảy.
1.9.11.2.7 Các thiết bị dập hồ quang phải có bộ điều chỉnh cộng hưởng.
1.9.11.3 Kháng điện điều chỉnh bằng tay
Khi sử dụng cuộn kháng dập hồ quang có điều chỉnh dòng điện bằng tay thì việc xác định mức điều chỉnh phải thực hiện bằng thiết bị đo bù cộng hưởng. Nếu không có thiết bị này việc chọn mức điều chỉnh phải dựa trên kết quả đo dòng điện chạm đất, dòng điện dung, dòng điện bù có tính đến điện áp lệch của điểm trung tính.
1.9.11.4 Thao tác đóng cắt
Trong các trạm truyền tải 110-220 kV, để ngăn ngừa xảy ra quá điện áp do tự phát sinh di lệch trung tính hoặc trong quá trình phát sinh cộng hưởng sắt từ nguy hiểm, thì phải bắt đầu thao tác nối đất điểm trung tính của máy biến áp đang được đóng vào hệ thống thanh cái không mang tải của máy biến áp 110 kV và 220 kV kiểu cảm ứng.
Trước khi cắt hệ thống thanh cái không tải có đặt các máy biến áp 110 kV và 220 kV ra khỏi lưới thì điểm trung tính của máy biến áp cấp điện phải được nối đất.
Ở lưới điện và ở những điểm đấu nối 6-35 kV trong trường hợp cần thiết phải có những biện pháp ngăn ngừa tự di lệch điểm trung tính.
1.9.12 Vận hành hệ thống đo lường điện
1.9.12.1 Quy định chung
1.9.12.1.1 Cơ quan quản lý các nhà máy điện, công ty điện lực, các đơn vị cung cấp điện và đơn vị vận hành lưới điện chịu trách nhiệm quản lý và giám sát các trang bị và hệ thống đo lường điện. Việc quản lý, giám sát và hiệu chỉnh các trang bị đo lường được phân cấp cho từng cấp quản lý.
1.9.12.1.2 Thời hạn kiểm tra các trang bị đo lường điện thực hiện theo tiêu chuẩn quốc gia, tiêu chuẩn cơ sở và quy định hiện hành.
1.9.12.1.3 Tất cả các trang bị đo lường điện chỉ được đặt và đưa vào vận hành với điều kiện đáp ứng được các yêu cầu theo quy định và hướng dẫn của nhà máy chế tạo, theo quy định hiện hành.
1.9.12.1.4 Tổ chức, phương pháp tiến hành và báo cáo khi kiểm tra các trang bị đo lường điện thực hiện theo đúng tiêu chuẩn quy định hiện hành.
1.9.12.2 Lắp đặt mạch cho trang bị đo lường điện
Các trang bị đo lường điện cho các máy biến áp và đường dây tải điện có điện áp từ 110 kV trở lên đặt ở các nhà máy điện và trạm truyền tải có người trực thường xuyên phải được đặt riêng biệt cho từng mạch đấu nối. Không cho phép đặt chung 1 trang bị để đo kết hợp cho nhiều mạch nối.
Đối với các mạch đo khác cho phép đặt các trang bị đo lường kết hợp hoặc sử dụng của các trang bị kiểm tra trung tâm.
1.9.12.3 Nguyên tắc lắp đặt công tơ điện
1.9.12.3.1 Việc thiết kế, lắp đặt công tơ điện phải đảm bảo yêu cầu kỹ thuật, mỹ quan và an toàn điện.
1.9.12.3.2 Công tơ điện được lắp đặt trong hoặc ngoài địa điểm sử dụng điện (tường nhà/tường rào, cột điện/tủ kỹ thuật gần địa điểm sử dụng điện của khách hàng nhất) do hai bên thỏa thuận để thuận lợi cho việc kiểm tra và ghi chỉ số công tơ.
1.9.12.3.3 Hộp đấu dây, hộp bảo vệ công tơ phải được niêm phong, kẹp chì.
1.9.12.4 Đo điện năng tiêu thụ điện tự dùng
Ở mỗi trạm truyền tải của hệ thống điện phải tính được điện năng tiêu thụ cho nhu cầu tự dùng của trạm, cho các hoạt động nội bộ của đơn vị cũng như cho các thành phần tiêu thụ điện khác, trong đó có công suất tiêu thụ của thanh cái tự dùng của trạm truyền tải.
Cần đặt trang bị đo đếm điện năng tự dùng cho các phần tử làm việc và dự phòng trong các nhà máy điện. Ngoài ra, ở các nhà máy nhiệt điện nên đặt trang bị đo đếm điện năng cho các động cơ điện chính trong dây chuyền sản xuất của mỗi lò và tua bin để có thể xác định được điện năng tiêu thụ cho từng phân đoạn dây chuyền công nghệ.
1.10 YÊU CẦU VỀ KIỂM TRA HỆ THỐNG LƯỚI ĐIỆN
1.10.1 Yêu cầu chung
1.10.1.1 Mục đích và phạm vi áp dụng
Phần này quy định về kiểm tra các thiết bị, dụng cụ điện trước khi đưa vào sử dụng và trong quá trình sử dụng, vận hành bao gồm các hoạt động thử nghiệm, kiểm định, giám định và kiểm tra định kỳ đối với đường dây truyền tải, phân phối điện và các trạm biến áp có điện áp đến 500 kV theo nội dung các yêu cầu kỹ thuật và quy định kỹ thuật nêu trong các Phần 1, Phần 2, Phần 3 và Phần 4.
Việc kiểm tra hoàn thành các kết cấu xây dựng như cột điện và móng nằm ngoài phạm vi của Phần kiểm tra này.
1.10.1.2 Hình thức kiểm tra
1.10.1.2.1 Đơn vị quản lý vận hành công trình phải quản lý tất cả các nội dung kiểm tra theo quy chuẩn kỹ thuật hiện hành. Nguyên tắc là bản thân chủ đầu tư phải tự chỉ đạo công tác kiểm tra. Đơn vị quản lý vận hành công trình có thể hợp đồng với Tổ chức đánh giá sự phù hợp thực hiện kiểm tra với điều kiện là chủ quản lý công trình chịu trách nhiệm. Trong trường hợp đó đơn vị quản lý vận hành công trình phải yêu cầu Tổ chức đánh giá sự phù hợp thực hiện việc kiểm tra phải tuân thủ quy chuẩn kỹ thuật hiện hành. Đơn vị quản lý vận hành công trình phải giám sát việc kiểm tra, yêu cầu nộp báo cáo kết quả kiểm tra nêu rõ mục đích, phương pháp và kết quả kiểm tra. Cơ quan chịu trách nhiệm thanh tra không kể chủ quản lý công trình phải được nêu trong các điều khoản áp dụng. Đơn vị quản lý vận hành công trình phải nắm được mục đích, nội dung, phương pháp, kết quả kiểm tra và lưu giữ tài liệu để theo dõi khi cần thiết.
1.10.1.2.2 Tổ chức đánh giá sự phù hợp phải tuân thủ các quy định hiện hành của pháp luật về đánh giá sự phù hợp.
1.10.1.2.3 Cơ quan có thẩm quyền sẽ kiểm tra đơn vị quản lý vận hành công trình về sự tuân thủ quy chuẩn kỹ thuật hiện hành. Cơ quan có thẩm quyền lập kế hoạch kiểm tra cụ thể bao gồm cả kiểm tra tại hiện trường và xét duyệt các tài liệu báo cáo kiểm tra. Trong trường hợp phát hiện có sự vi phạm hoặc không tuân thủ đúng quy chuẩn kỹ thuật thì cơ quan có thẩm quyền yêu cầu đơn vị quản lý vận hành công trình áp dụng các biện pháp cần thiết để khắc phục hoặc xử lý theo các luật và quy định liên quan.
1.10.1.2.4 Phần này quy định những yêu cầu nhỏ nhất cho các công trình và thiết bị chính với mục đích tránh hiểm họa cho cộng đồng và sự cố lớn của hệ thống điện. Đơn vị quản lý vận hành công trình phải thực hiện các kiểm tra và điều tra khác để phát hiện các tiềm ẩn hư hỏng và phải áp dụng các biện pháp nằm ngoài Quy chuẩn kỹ thuật này nếu thấy cần thiết và không mâu thuẫn với các điều khoản quy định trong Quy chuẩn kỹ thuật này.
1.10.1.2.5 Phần này quy định khung cho các công tác kiểm tra. Cơ quan quản lý công trình sẽ quyết định phương pháp và quy trình chi tiết dựa vào tình trạng thực tế của từng thiết bị. Phương pháp tiến hành không bị bó buộc trong khuôn khổ những quy định trong Quy chuẩn kỹ thuật này. Việc kiểm tra có thể được tiến hành bởi các phương pháp thích hợp nếu có cơ sở công nghệ để đạt được mục đích của việc kiểm tra đó.
1.10.1.2.6 Phần này không quy định về kiểm tra thường xuyên của đơn vị quản lý vận hành công trình trong vận hành và kiểm tra khẩn cấp sau các sự kiện bất khả kháng như thiên tai.
1.10.2 Kiểm tra giao nhận hàng
1.10.2.1 Quy định chung
1.10.2.1.1 Chủ đầu tư công trình phải tiến hành các biện pháp kiểm tra vào thời điểm bàn giao thích hợp giữa các bên để khẳng định số lượng và chủng loại thiết bị vật tư trong khi vận chuyển, lắp đặt nhằm bảo đảm không bị bất kỳ hư hỏng nào khi đưa vào vận hành trong lưới điện. Chủ đầu tư công trình phải chịu trách nhiệm pháp lý trong việc xác định tình trạng thiết bị dựa trên biên bản kiểm tra của nhà sản xuất hoặc của nhà thầu.
1.10.2.1.2 Kiểm tra sản phẩm khi giao nhận về số lượng và chủng loại để bảo đảm phù hợp với các điều khoản chi tiết trong đơn đặt hàng và bảo đảm việc vận chuyển không gây bất kỳ hư hỏng nào. Bên nhận hàng phải kiểm tra dựa trên các biên bản kiểm tra xuất xưởng, kiểm tra theo các điều khoản chi tiết trong đơn hàng để bảo đảm sản phẩm đạt yêu cầu kỹ thuật.
1.10.2.1.3 Kiểm tra trong khi lắp đặt được thực hiện để xác nhận việc hoàn thành của mỗi giai đoạn thi công tại hiện trường kể cả việc sửa chữa và đại tu cho mỗi thiết bị (ví dụ: máy biến áp, máy cắt, v.v.) hoặc mỗi công đoạn (ví dụ: công tác lắp đặt đường dây, thi công cáp ngầm, v.v.). Chủ đầu tư công trình phải giám sát quá trình kiểm tra. Chủ đầu tư công trình có thể yêu cầu nhà chế tạo hoặc nhà thầu xây lắp trình báo cáo kết quả kiểm tra. Chủ đầu tư công trình phải kiểm tra và rà soát toàn bộ công việc dựa trên các báo cáo này.
1.10.3 Kiểm tra khi lắp đặt ĐDK và đường cáp ngầm
1.10.3.1 Kiểm tra lắp đặt ĐDK
1.10.3.1.1 Kiểm tra cột của ĐDK
Kiểm tra kết cấu móng, cột, xà, giá đỡ, v.v. của ĐDK, kiểm tra điện trở nối đất và trạng thái các dây nối đất. Đơn vị quản lý vận hành công trình phải xác định các mục ở trên phù hợp bằng cách kiểm tra trực quan và đo lường.
1.10.3.1.2 Kiểm tra dây dẫn của ĐDK
Kiểm tra chủng loại, kích thước, tình trạng của dây dẫn và dây chống sét sau khi hoàn thành công việc lắp đặt. Đơn vị quản lý vận hành công trình phải xác định các mục ở trên phù hợp bằng cách kiểm tra trực quan và đo lường.
1.10.3.1.3 Kiểm tra mối nối dây
Kiểm tra điều kiện ép của các ống nối được sử dụng để nối dây dẫn và dây nối đất. Cơ quan chủ quản công trình phải xác định các mục ở trên phù hợp bằng cách kiểm tra trực quan và đo lường.
1.10.3.1.4 Kiểm tra dây chống sét có cáp quang (OPGW)
Kiểm tra tình trạng của dây OPGW trong quá trình thi công và khi hoàn thành lắp đặt. Đơn vị quản lý vận hành công trình phải xác định các mục ở trên phù hợp bằng cách kiểm tra trực quan và đo lường.
1.10.3.1.5 Kiểm tra khoảng trống cách điện
Khoảng trống cách điện giữa các dây dẫn với nhau, giữa dây dẫn với xà, cột, giữa các dây dẫn với kết cấu xung quanh cần phải kiểm tra sau khi hoàn thành việc rải dây, căng dây và đấu dây. Đơn vị quản lý vận hành công trình phải xác định các mục ở trên phù hợp bằng cách kiểm tra trực quan và đo lường.
1.10.3.1.6 Kiểm tra cách điện
Kiểm tra quy cách, số lượng và tình trạng của cách điện, bao gồm cả cách điện sứ và cách điện composite, đảm bảo không có vết nứt, hỏng hóc, bám bẩn, hoặc các dấu hiệu suy giảm chất lượng ảnh hưởng đến khả năng cách điện và vận hành an toàn sau khi lắp đặt. Đơn vị quản lý vận hành công trình phải xác định các mục ở trên phù hợp bằng cách kiểm tra trực quan và đo lường.
1.10.3.1.7 Kiểm tra khoảng vượt, góc ngang và độ cao nhỏ nhất so với mặt đất
Kiểm tra khoảng vượt, góc nằm ngang và độ cao nhỏ nhất thực tế so với mặt đất sau khi hoàn thành việc căng dây. Đơn vị quản lý vận hành công trình phải xác định các mục ở trên phù hợp bằng cách kiểm tra trực quan và đo lường.
1.10.3.2 Kiểm tra đường cáp ngầm
1.10.3.2.1 Kiểm tra hộp nối cáp, hộp đầu cáp
Kiểm tra điện trở cách điện, các chế độ lắp đặt hộp nối cáp, hộp đầu cáp, v.v. sau khi hoàn thành công việc lắp đặt. Đơn vị quản lý vận hành công trình phải xác định các mục ở trên phù hợp bằng cách kiểm tra trực quan và đo lường.
1.10.3.2.2 Kiểm tra đồng pha
Kiểm tra đồng pha được thực hiện khi hoàn thành công trình xây dựng cáp. Đơn vị quản lý vận hành công trình phải xác định các mục ở trên phù hợp bằng cách kiểm tra trực quan và đo lường.
1.10.3.2.3 Nối đất
Kiểm tra các vỏ kim loại và bộ bảo vệ của cáp ngầm đã được nối đất đúng quy cách.
1.10.3.2.4 Các điều kiện của các giá đỡ cáp
Kiểm tra giá đỡ cáp theo yêu cầu kỹ thuật về thi công. Đơn vị quản lý vận hành công trình phải xác định sự phù hợp các mục ở trên bằng cách kiểm tra trực quan và đo lường.
1.10.3.2.5 Lắp đặt cáp
Kiểm tra tình trạng của cáp, sức căng cáp, tác động ngoại lực và bán kính cong cho phép, v.v. sau khi hoàn thành lắp đặt cáp. Đơn vị quản lý vận hành công trình phải xác định sự phù hợp các mục ở trên bằng cách kiểm tra trực quan và đo lường.
1.10.3.2.6 Điện trở cách điện vỏ cáp
Kiểm tra điện trở cách điện giữa màn chắn cáp và lớp vỏ kim loại bên ngoài (nếu có) đảm bảo không có sự bất thường trong lớp cách điện này. Đơn vị quản lý vận hành công trình phải xác định sự phù hợp các mục ở trên bằng cách kiểm tra trực quan và đo lường.
1.10.3.2.7 Độ uốn cong của cáp
Kiểm tra các nhịp và khoảng uốn cong, vị trí và số lượng các đệm hãm, v.v. sau khi lắp đặt. Đơn vị quản lý vận hành công trình phải xác định sự phù hợp các mục ở trên bằng cách kiểm tra trực quan và đo lường.
1.10.3.2.8 Các điểm nối đất
Đối với những đoạn cáp ngắn dùng loại cáp một lõi, một đầu vỏ cáp được nối đất để ngăn chặn các dòng điện vòng do cảm ứng điện từ. Phải kiểm tra việc nối đất đã phù hợp theo các yêu cầu của thiết kế.
1.10.3.2.9 Khoảng trống cách ly các cáp với các công trình khác
Kiểm tra khoảng cách ly giữa cáp lắp đặt với các công trình khác như (chiếu sáng, đường cáp, đường ống ga, v.v.). Đơn vị quản lý vận hành công trình phải xác định sự phù hợp các mục ở trên bằng cách kiểm tra trực quan và đo lường.
1.10.3.2.10 Thử nghiệm cáp ngầm
Sau khi hoàn thành lắp đặt cáp ngầm và lắp đặt hộp đầu cáp phải thử nghiệm chịu đựng điện áp phù hợp chủng loại cáp để đánh giá độ bền điện môi của cáp ngầm trước khi đưa vào vận hành.
1.10.4 Kiểm tra khi lắp đặt thiết bị của TBA
1.10.4.1 Kiểm tra máy biến áp lực
1.10.4.1.1 Kiểm tra bằng mắt
Kiểm tra máy biến áp có hoặc không có các hiện tượng bất thường như: rò rỉ dầu, nứt vỡ, lỏng ốc vít tại các bộ phận, v.v.
1.10.4.1.2 Kiểm tra bằng đo lường
Đơn vị quản lý vận hành công trình phải kiểm tra tình trạng làm việc của máy biến áp để xác định sự phù hợp các yêu cầu kỹ thuật bằng cách kiểm tra đo lường:
a) Đo tình trạng cách điện
- Đo điện trở cách điện của các cuộn dây;
- Đo tổn hao điện môi và điện dung cuộn dây cho máy biến áp có điện áp từ 110 kV trở lên và máy biến áp điện áp 35 kV có công suất từ 10000 kVA trở lên;
- Đo tổn hao điện môi sứ đầu vào máy biến áp đối với sứ kiểu tụ có rốn sứ đo tổn hao;
- Kiểm tra tình trạng dầu cách điện của máy biến áp để khẳng định các tính năng dầu phù hợp với quy định.
b) Đo tỷ số biến đổi cho mỗi nấc phân áp của máy biến áp;
c) Kiểm tra tổ đấu dây của máy biến áp;
d) Đo điện trở cuộn dây của máy biến áp bằng dòng điện 1 chiều;
đ) Đo dòng điện không tải;
e) Kiểm tra bộ điều áp dưới tải (OLTC), kiểm tra chu trình làm việc, đo lường các thông số, v.v. của bộ điều áp dưới tải;
g) Kiểm tra TI chân sứ MBA: đo điện trở cách điện, thử nghiệm điện áp xoay chiều tăng cao và đo điện trở một chiều cuộn dây nhị thứ, xác định đặc tính từ hóa, kiểm tra cực tính và đo tỷ số biến;
h) Kiểm tra hệ thống làm mát và hệ thống phụ trợ như: bơm, quạt gió, v.v.
1.10.4.2 Kiểm tra TU
1.10.4.2.1 Kiểm tra bằng mắt
Kiểm tra TU có hoặc không có các hiện tượng bất thường như: rò rỉ dầu, nứt vỡ, v.v.
1.10.4.2.2 Kiểm tra bằng đo lường
Đơn vị quản lý vận hành công trình phải kiểm tra tình trạng làm việc của TU để xác định sự phù hợp các yêu cầu kỹ thuật bằng cách kiểm tra đo lường:
a) Kiểm tra tình trạng cách điện:
- Đo điện trở cách điện của các cuộn dây: sơ cấp (nếu có điểm đo), nhị thứ;
- Đo điện dung và tổn hao điện môi máy biến điện áp kiểu tụ.
b) Đo tỷ số biến đổi cho mỗi đầu ra cuộn dây nhị thứ;
c) Kiểm tra cực tính;
d) Đo điện trở các cuộn dây nhị thứ, cuộn sơ cấp (với TU kiểu cảm ứng);
đ) Đo dòng điện không tải của cuộn dây nhị thứ đo lường của các biến điện áp cảm ứng;
e) Thử nghiệm chịu đựng điện áp xoay chiều cho các cuộn dây nhị thứ, cuộn dây sơ cấp có điện áp danh định đến 35 kV để xác định thiết bị có độ bền điện môi phù hợp;
g) Kiểm định theo quy định hiện hành đối với TU sử dụng cho mua bán, giao nhận điện.
1.10.4.3 Kiểm tra TI
1.10.4.3.1 Kiểm tra bằng mắt
Kiểm tra TI có hoặc không có các hiện tượng bất thường như: rò rỉ dầu, nứt vỡ, v.v.
1.10.4.3.2 Kiểm tra bằng đo lường
Đơn vị quản lý vận hành công trình phải kiểm tra tình trạng làm việc của TI để xác định sự phù hợp các yêu cầu kỹ thuật bằng cách kiểm tra đo lường:
a) Kiểm tra tình trạng cách điện:
- Đo điện trở cách điện của các cuộn dây: sơ cấp, nhị thứ;
- Đo tổn hao điện môi và điện dung cuộn dây cho TI có điện áp từ 110 kV trở lên (không thực hiện với TI cách điện khí).
b) Đo điện trở 1 chiều cuộn dây nhị thứ;
c) Đo tỷ số biến đổi các cuộn dây nhị thứ;
d) Kiểm tra cực tính;
đ) Kiểm tra đặc tính từ hóa của TI.
e) Thử nghiệm chịu đựng điện áp xoay chiều cho các cuộn dây nhị thứ, cuộn dây sơ cấp có điện áp danh định đến 35 kV để xác định thiết bị có độ bền điện môi phù hợp.
g) Kiểm định theo quy định hiện hành đối với TI sử dụng cho mua bán, giao nhận điện.
1.10.4.4 Kiểm tra hệ thống đóng cắt cách điện khí (GIS)
Quy định cụ thể quá trình kiểm tra tại hiện trường khi lắp đặt GIS (GIS ở đây không bao gồm GCB).
1.10.4.4.1 Kiểm tra bằng mắt
Kiểm tra GIS có hoặc không có các hiện tượng bất thường như: rò rỉ khí, nứt vỡ, lỏng ốc tại các bộ phận, v.v.
1.10.4.4.2 Kiểm tra bằng đo lường
Đơn vị quản lý vận hành công trình phải kiểm tra tình trạng làm việc của GIS để xác định sự phù hợp các yêu cầu kỹ thuật bằng cách kiểm tra đo lường:
a) Đo điện trở cách điện của mạch sơ cấp và của các mạch điều khiển;
b) Đo điện trở mạch dẫn dòng chứa các tiếp điểm của máy cắt, dao cách ly, dao tiếp đất tại các điểm đo đã qui định;
c) Kiểm tra thiết bị dò mật độ khí
Đo và kiểm tra các mức áp lực sau đây theo thông số kỹ thuật của nhà chế tạo:
- Áp suất khí SF6 khi máy dò khởi động báo tín hiệu;
- Áp suất khí SF6 khi báo tín hiệu và khóa thao tác được giải trừ lại.
d) Kiểm tra độ kín và chất lượng khí:
- Kiểm tra độ rò khí SF6 sau ít nhất 24 giờ kể từ khi khí được nạp đủ vào GIS;
- Khí nạp trong GIS phải được phân tích sau ít nhất một ngày kể từ khi nạp đầy khí;
- Phải đo, kiểm tra độ ẩm, độ tinh khiết khí SF6 đối với từng ngăn khí để bảo đảm thông số kỹ thuật;
- Kiểm tra mối hàn chịu áp lực của vỏ GIS từ 110 kV trở lên bằng phương pháp kiểm tra không phá hủy.
đ) Kiểm tra các đặc tính đóng, cắt của các máy cắt theo các chu trình đã qui định;
e) Tùy theo điều kiện, có thể kết hợp với thử nghiệm điện áp xoay chiều tăng cao GIS để xác định dòng điện rò đối với chống sét van (nếu có);
g) Kiểm tra biến điện áp (TU): đo điện trở cách điện, đo điện trở một chiều, đo tỷ số biến và kiểm tra cực tính; thử nghiệm điện áp xoay chiều tăng cao cuộn dây thứ cấp;
h) Kiểm tra TI: đo điện trở cách điện, thử nghiệm điện áp xoay chiều tăng cao và đo điện trở một chiều cuộn dây nhị thứ, xác định đặc tính từ hóa, kiểm tra cực tính và đo tỷ số biến;
i) Kiểm tra trình tự hoạt động và khóa liên động các bảng điều khiển GIS:
- Kiểm tra trình tự hoạt động của bảng điều khiển GIS để bảo đảm các mạch điều khiển phù hợp với sơ đồ thiết kế;
- Kiểm tra riêng biệt khóa liên động đối với GIS để bảo đảm các khóa liên động điện và cơ khí phù hợp với các thông số trong hồ sơ kỹ thuật.
k) Kiểm tra pha đối với từng đầu ra của GIS để bảo đảm sự kết nối mạch sơ cấp phù hợp với thiết kế và đồng vị pha với lưới điện được nối tới;
1.10.4.5 Kiểm tra máy cắt điện chân không (VCB)
1.10.4.5.1 Kiểm tra bằng mắt
Kiểm tra VCB có hoặc không có các hiện tượng bất thường như: rò rỉ dầu, nứt vỡ, lỏng ốc tại các bộ phận, v.v.
1.10.4.5.2 Kiểm tra bằng đo lường
Đơn vị quản lý vận hành công trình phải kiểm tra tình trạng làm việc của VCB để xác định sự phù hợp các yêu cầu kỹ thuật bằng cách kiểm tra đo lường:
a) Đo điện trở cách điện của mạch sơ cấp và của các mạch điều khiển;
b) Đo điện trở tiếp xúc các tiếp điểm chính bằng dòng điện một chiều;
c) Thử nghiệm chịu đựng điện áp xoay chiều cho VCB có điện áp định mức đến 35 kV để xác định thiết bị có độ bền điện môi phù hợp.
d) Kiểm tra thao tác vận hành đóng và mở;
đ) Kiểm tra đo lường các đặc tính đóng và mở như thời gian đóng mở tiếp điểm, điện áp làm việc cực tiểu, đánh giá chu trình làm việc, v.v.;
e) Kiểm tra thùng chứa dầu hoặc khí thao tác đối với VCB truyền động bằng dầu áp lực hoặc khí nén;
g) Kiểm tra hệ thống liên động đối với VCB truyền động bằng chất khí để xác nhận VCB không thể đóng hoặc mở khi áp suất khí thao tác thấp hơn mức quy định;
h) Kiểm tra vận hành của van an toàn đối với VCB truyền động bằng dầu hoặc khí nén để bảo đảm là van an toàn sẽ hoạt động khi áp suất dầu hoặc khí sinh ra trong thùng vượt quá áp suất lớn nhất cho phép;
i) Kiểm tra TI (nếu có): đo điện trở một chiều, đo điện trở cách điện, đo đặc tính từ hóa, thử điện áp xoay chiều tăng cao cho cuộn dây nhị thứ.
k) Kiểm tra TU (nếu có): đo điện trở một chiều, đo điện trở cách điện, thử điện áp xoay chiều tăng cao cho cuộn dây nhị thứ.
1.10.4.6 Kiểm tra máy cắt dầu (OCB)
1.10.4.6.1 Kiểm tra bằng mắt
Kiểm tra máy OCB có hoặc không có các hiện tượng bất thường như: rò rỉ dầu, nứt vỡ, lỏng ốc tại các bộ phận, v.v.
1.10.4.6.2 Kiểm tra bằng đo lường
Đơn vị quản lý vận hành công trình phải kiểm tra tình trạng làm việc của OCB để xác định sự phù hợp các yêu cầu kỹ thuật bằng cách kiểm tra đo lường:
a) Đo điện trở cách điện của mạch sơ cấp và của các mạch điều khiển;
b) Đo điện trở tiếp xúc tiếp điểm chính bằng dòng điện một chiều;
c) Thử nghiệm chịu đựng điện áp xoay chiều cho OCB có điện áp định mức đến 35 kV để xác định thiết bị có độ bền điện môi phù hợp với các quy định cho từng thiết bị;
d) Kiểm tra thao tác vận hành đóng và mở;
đ) Kiểm tra các đặc tính đóng và mở như thời gian đóng mở tiếp điểm, điện áp làm việc cực tiểu, đánh giá chu trình làm việc, v.v.;
e) Kiểm tra dầu cách điện trước khi và sau khi nạp vào OCB;
g) Kiểm tra thùng chứa khí nén thao tác đối với OCB truyền động bằng khí nén;
h) Kiểm tra hệ thống liên động đối với OCB truyền động bằng khí nén để xác nhận OCB không thể đóng hoặc mở khi áp suất khí thao tác thấp hơn mức quy định;
i) Kiểm tra vận hành của van an toàn đối với OCB truyền động bằng khí nén. Hệ thống van an toàn phải được kiểm tra bảo đảm là van an toàn sẽ hoạt động khi áp suất dầu hoặc khí sinh ra trong thùng vượt quá áp suất lớn nhất cho phép;
k) Kiểm tra TI (nếu có): đo điện trở một chiều, đo điện trở cách điện, đo đặc tính từ hóa, thử điện áp xoay chiều tăng cao cho cuộn dây nhị thứ.
1.10.4.7 Kiểm tra dao cách ly/dao cắt tải/cầu dao phụ tải
1.10.4.7.1 Kiểm tra bằng mắt
Kiểm tra cầu dao (bao gồm dao cách ly và dao phụ tải) có hoặc không có các hiện tượng bất thường như: nứt vỡ, lỏng ốc tại các bộ phận, v.v.
1.10.4.7.2 Kiểm tra bằng đo lường
Đơn vị quản lý vận hành công trình phải kiểm tra tình trạng làm việc của cầu dao để xác định sự phù hợp các yêu cầu kỹ thuật bằng cách kiểm tra đo lường:
a) Đo điện trở cách điện của mạch sơ cấp và các mạch điều khiển;
b) Đo điện trở tiếp xúc mạch chính bằng dòng điện một chiều;
c) Thử nghiệm chịu đựng điện áp xoay chiều cho cầu dao có điện áp định mức đến 35 kV để xác định thiết bị có độ bền điện môi phù hợp;
d) Kiểm tra vận hành đóng và mở:
- Kiểm tra thao tác đóng cắt bằng tay và bằng điện;
- Kiểm tra thao tác đóng và mở từ xa: Kiểm tra chắc chắn rằng không có sự bất bình thường nào trong cầu dao bằng cách đóng và mở 3 lần tại điện áp (áp suất) định mức bằng điều khiển từ xa;
- Kiểm tra tình trạng bộ tiếp điểm phụ của dao cách ly và dao tiếp đất;
đ) Kiểm tra hệ thống liên động giữa dao chính và dao nối đất của dao cách ly.
1.10.4.8 Kiểm tra tủ hợp bộ
1.10.4.8.1 Kiểm tra bằng mắt
Kiểm tra tủ hợp bộ có hoặc không có các hiện tượng bất thường như: rò rỉ, nứt vỡ, lỏng ốc tại các bộ phận, v.v.
1.10.4.8.2 Kiểm tra bằng đo lường
Đơn vị quản lý vận hành công trình phải kiểm tra tình trạng làm việc của tủ hợp bộ để xác định sự phù hợp các yêu cầu kỹ thuật bằng cách kiểm tra đo lường:
a) Đo điện trở cách điện của mạch dẫn điện chính (thanh cái, mối nối thiết bị điện) và các mạch điều khiển;
b) Thử nghiệm chịu đựng điện áp xoay chiều cho tủ hợp bộ có điện áp định mức đến 35 kV để xác định thiết bị có độ bền điện môi phù hợp;
c) Kiểm tra trình tự liên động và khóa liên động của tủ bảng phân phối:
- Kiểm tra trình tự liên động của các bảng mạch điều khiển tủ phân phối phù hợp với sơ đồ thiết kế;
- Kiểm tra khóa liên động bảng mạch điều khiển của tủ phân phối bảo đảm các khóa liên động điện và cơ khí phù hợp với các yêu cầu trong hồ sơ kỹ thuật;
d) Kiểm tra pha của tủ phân phối để bảo đảm sự kết nối mạch sơ cấp được nối phù hợp với sơ đồ thiết kế;
đ) Tùy theo điều kiện thực tế kiểm tra các thiết bị lắp trong tủ hợp bộ (máy cắt, TI, TU... theo các mục được quy định trong các điều có liên quan.
1.10.4.9 Kiểm tra hệ thống tụ bù công suất
1.10.4.9.1 Kiểm tra bằng mắt
Kiểm tra bù công suất có hoặc không có các hiện tượng bất thường như: rò rỉ dầu, nứt vỡ, lỏng ốc tại các bộ phận, v.v.
1.10.4.9.2 Kiểm tra tình trạng cách điện của tụ bù công suất:
a) Đo điện trở cách điện cực - vỏ;
b) Thử nghiệm chịu đựng điện áp xoay chiều đối với đối tượng cực-vỏ có điện áp định mức đến 35 kV để xác định thiết bị có độ bền điện môi phù hợp.
1.10.4.9.3 Đo điện dung tụ bù công suất.
1.10.4.9.4 Kiểm tra trình tự hoạt động các mạch điều khiển (như mạch cảnh báo) bảo đảm tuân theo yêu cầu thiết kế.
1.10.4.10 Kiểm tra thiết bị chống sét và bộ giám sát
1.10.4.10.1 Kiểm tra bằng mắt
Kiểm tra chống sét có hoặc không có các hiện tượng bất thường như: nứt vỡ, lỏng ốc tại các bộ phận, v.v.
1.10.4.10.2 Đo tình trạng cách điện của chống sét.
1.10.4.10.3 Đo dòng điện rò của chống sét đối với chống sét có cấp điện áp danh định đến 35 kV, nên đo ở cấp điện áp 110 kV trở lên nếu điều kiện cho phép.
1.10.4.10.4 Kiểm tra các điện áp phóng điện đối với các chống sét loại có khe hở.
1.10.4.10.5 Kiểm tra bộ giám sát theo hướng dẫn nhà chế tạo:
a) Kiểm tra chức năng đo dòng điện rò
b) Kiểm tra bộ đếm số lần hoạt động.
1.10.4.11 Kiểm tra hệ thống ắc quy
1.10.4.11.1 Kiểm tra bằng mắt
Kiểm tra hệ thống ắc quy có hoặc không có các hiện tượng bất thường như: rò rỉ ở điện cực, nứt vỡ điện cực, v.v.
1.10.4.11.2 Đo điện áp của mỗi phần tử ắc quy.
1.10.4.11.3 Đo tổng trở của các ngăn ắc quy.
1.10.4.11.4 Kiểm tra nạp cân bằng để hiệu chỉnh điện áp không cân bằng và tỷ trọng dung dịch và để đồng nhất các lớp trên và lớp dưới của chất điện phân. Thủ tục kiểm tra cần tuân theo các yêu cầu kỹ thuật của nhà sản xuất.
1.10.4.12 Kiểm tra thiết bị rơ-le bảo vệ và điều khiển
1.10.4.12.1 Kiểm tra đơn chiếc
Đối với các đồng hồ đo và rơ-le bảo vệ phải thực hiện các kiểm tra chức năng và đặc tính, kiểm tra trị số chỉnh định rơ-le bảo vệ. Khi thực hiện kiểm tra đơn chiếc, phải tách biệt các mạch đóng cắt của rơ-le bảo vệ, mạch máy biến dòng điện và mạch máy biến điện áp.
a) Kiểm tra sai số đồng hồ đo;
b) Kiểm tra trị số tác động rơ-le bảo vệ;
c) Kiểm tra đặc tính điện áp và dòng điện;
d) Kiểm tra đặc tính góc pha;
đ) Đo thời gian tác động rơ-le bảo vệ.
1.10.4.12.2 Kiểm tra mạch một chiều
a) Kiểm tra trình tự tác động trong mạch một chiều;
b) Đo điện trở cách điện;
c) Đo tải.
1.10.4.12.3 Kiểm tra mạch xoay chiều
a) Kiểm tra mạch thứ cấp;
b) Kiểm tra mạch xoay chiều (Thí nghiệm mô phỏng).
1.10.4.12.4 Kiểm tra tính tương thích của thiết bị
Đối với các thiết bị được lắp đặt tại nhiều trạm biến áp có liên kết thông tin với nhau, phải thực hiện thí nghiệm kiểm tra vận hành tổng hợp kể cả kênh truyền thông tin.
1.10.4.12.5 Kiểm tra mạch tổng hợp
a) Đo điện trở cách điện;
b) Kiểm tra thao tác đóng và mở;
c) Kiểm tra khóa liên động;
d) Kiểm tra thiết bị rơ-le bảo vệ và tín hiệu cảnh báo.
1.10.4.12.6 Thí nghiệm tổng hợp mạch máy biến điện áp
a) Đo điện trở cách điện;
b) Kiểm tra cực tính;
c) Kiểm tra tỷ số biến đổi;
d) Đo tải;
đ) Kiểm tra thứ tự pha
1.10.4.12.7 Kiểm tra tổng hợp mạch máy biến dòng điện
a) Đo điện trở cách điện;
b) Kiểm tra cực tính;
c) Kiểm tra tỷ số biến đổi;
d) Đo tải;
đ) Kiểm tra đấu nối;
e) Kiểm tra thứ tự pha.
1.10.4.13 Kiểm tra máy cắt điện khí (GCB)
1.10.4.13.1 Kiểm tra bằng mắt
Kiểm tra GCB có hoặc không có các hiện tượng bất thường như: rò rỉ dầu, nứt vỡ, lỏng ốc tại các bộ phận, v.v.
1.10.4.13.2 Kiểm tra bằng đo lường
Đơn vị quản lý vận hành công trình phải kiểm tra tình trạng làm việc của GCB để xác định sự phù hợp các yêu cầu kỹ thuật bằng cách kiểm tra đo lường:
a) Đo điện trở cách điện của mạch sơ cấp và của các mạch điều khiển;
b) Đo điện trở tiếp xúc các tiếp điểm chính bằng dòng điện một chiều;
c) Thử nghiệm chịu đựng điện áp xoay chiều cho GCB có điện áp định mức đến 35 kV để xác định thiết bị có độ bền điện môi phù hợp.
d) Kiểm tra thao tác vận hành đóng và mở;
đ) Kiểm tra đo lường các đặc tính đóng và mở như thời gian đóng mở tiếp điểm, điện áp làm việc cực tiểu, đánh giá chu trình làm việc, v.v.;
e) Kiểm tra các mạch liên động (cảnh báo, khóa thao tác) của thiết bị giám sát áp lực (hoặc mật độ) khí cách điện. Khi điều kiện thiết bị thử nghiệm và thiết bị giám sát áp lực (hoặc mật độ) khí cách điện của GCB cho phép, hoặc khi có yêu cầu đặc biệt, phải đo và kiểm tra các áp suất sau đây thoả mãn yêu cầu kỹ thuật của nhà chế tạo:
- Áp suất khí SF6 cảnh báo và khóa sự vận hành của GCB.
- Áp suất khí SF6 cảnh báo và khóa sự vận hành của GCB được cài đặt lại.
g) Kiểm tra độ rò khí cách điện sau ít nhất 24 giờ kể từ khi khí được nạp đủ vào GCB;
h) Kiểm tra các cuộn dây đóng cắt và động cơ tích năng.
i) Kiểm tra thùng chứa dầu hoặc khí thao tác đối với GCB truyền động bằng dầu áp lực hoặc khí nén;
k) Kiểm tra hệ thống liên động đối với GCB truyền động bằng chất khí để xác nhận GCB không thể đóng hoặc mở khi áp suất khí thao tác thấp hơn mức quy định;
l) Kiểm tra vận hành của van an toàn đối với GCB truyền động bằng dầu hoặc khí nén để bảo đảm là van an toàn sẽ hoạt động khi áp suất dầu hoặc khí sinh ra trong thùng vượt quá áp suất lớn nhất cho phép;
m) Kiểm tra TI (nếu có) : đo điện trở một chiều, đo điện trở cách điện, đo đặc tính từ hóa, thử điện áp xoay chiều tăng cao cho cuộn dây thứ cấp.
n) Kiểm tra TU (nếu có): đo điện trở một chiều, đo điện trở cách điện, thử điện áp xoay chiều tăng cao cho cuộn dây thứ cấp.
1.10.5 Kiểm tra hoàn thành
1.10.5.1 Quy định chung
Khi hoàn thành công việc lắp đặt phải tiến hành kiểm tra và kiểm định để xác định chất lượng tổng hợp của công trình trước khi bắt đầu vận hành trong điều kiện mỗi thiết bị được kết nối với toàn bộ hệ thống. Việc kiểm tra và kiểm định phải thực hiện riêng biệt với TBA, ĐDK và cáp ngầm theo nội dung quy định tại Điểm 1.10.3, 1.10.4 và các quy định khác.
Đơn vị quản lý vận hành công trình phải giám sát việc kiểm tra và kiểm định.
1.10.5.2 Kiểm tra hoàn thành ĐDK
1.10.5.2.1 Kiểm tra bằng mắt công trình xây dựng được hoàn thành tuân theo đúng các yêu cầu kỹ thuật và các quy chuẩn kỹ thuật.
1.10.5.2.2 Kiểm tra pha
Kiểm tra thứ tự và đồng vị pha của đường dây.
1.10.5.3 Kiểm tra đường cáp ngầm
1.10.5.3.1 Kiểm tra bằng mắt công trình xây dựng được hoàn thành tuân theo đúng các yêu cầu kỹ thuật và các quy chuẩn kỹ thuật.
1.10.5.3.2 Đo điện trở cách điện phải có giá trị phù hợp.
1.10.5.3.3 Kiểm tra pha
Kiểm tra thứ tự và đồng vị pha của đường cáp ngầm.
1.10.5.4 Kiểm tra thiết bị TBA
1.10.5.4.1 Kiểm tra bằng mắt
a) Kiểm tra trạng thái lắp đặt của thiết bị có thể tạo ra hồ quang điện
Khoảng cách an toàn giữa các thiết bị có thể phát sinh hồ quang điện như máy cắt, dao cách ly với các vật dễ bắt lửa. Khoảng cách an toàn các phần được mang điện (ngoại trừ thiết bị kín có vỏ nối đất, ví dụ GIS), phần được mang điện gồm cả sứ đỡ cách điện không được bao quanh bằng rào chắn. Khoảng cách cách điện giữa phần mang điện với hàng rào, tường phải được kiểm soát và phải bảo đảm các khoảng cách phù hợp;
b) Kiểm tra hàng rào, tường chắn
Kiểm tra hàng rào, tường bao quanh trạm biến áp đã được trang bị khóa ngăn ngừa những người không có thẩm quyền xâm phạm trạm biến áp dễ dàng. Chiều cao của hàng rào, tường xung quanh trạm phải được kiểm tra không thấp hơn 2,0m tính từ chân. Các khoảng cách cách điện giữa phần mang điện với hàng rào, tường phải được kiểm soát và phải bảo đảm các giá trị phù hợp.
1.10.5.4.2 Đo điện trở nối đất bảo đảm có giá trị phù hợp yêu cầu kỹ thuật.
1.10.5.4.3 Kiểm tra hệ thống giám sát và điều khiển
a) Kiểm tra đóng mở
Kiểm tra thao tác máy cắt, dao cách ly từ phòng điều khiển, bảo đảm mỗi thiết bị làm việc thích hợp với những tín hiệu chỉ thị trong phòng điều khiển thay đổi tương ứng. Ngoài ra, cần kiểm tra bộ phận chỉ thị chuyển mạch của các thiết bị có làm việc đúng hay không;
b) Kiểm tra bộ điều chỉnh điện áp dưới tải máy biến áp;
Kiểm tra lệnh thay đổi điều chỉnh nấc từ phòng điều khiển tới bộ điều chỉnh điện áp dưới tải của máy biến áp có thay đổi nấc tương ứng với lệnh đưa ra hay không;
c) Kiểm tra thiết bị bảo vệ, kiểm tra chỉ thị báo tín hiệu
Kích hoạt cưỡng bức rơ-le với mọi thiết bị bảo vệ hay thiết bị báo tín hiệu và kiểm tra hoạt động của các thiết bị có liên quan có đúng như sơ đồ thiết kế trong phòng điều khiển;
d) Kiểm tra mang tải thực cho rơ-le bảo vệ và thiết bị điều khiển;
đ) Khi kiểm tra cuối cùng, bằng điện áp và dòng điện của hệ thống điện thực, cần tiến hành các thử nghiệm sau đây:
- Kiểm tra điện áp và thứ tự pha;
- Đo điện áp, dòng điện và góc pha;
- Kiểm tra hướng;
- Đo dòng điện và điện áp dư;
- Kiểm tra dòng điện không cân bằng của mạch so lệch.
1.10.5.4.4 Kiểm tra khóa liên động
Kiểm tra khóa liên động giữa máy cắt và dao cách ly liên quan để bảo đảm rằng đối tượng của khóa liên động hoạt động đúng như mô tả trong đặc tính kỹ thuật của nhà sản xuất và yêu cầu thiết kế.
1.10.5.4.5 Đo mức ồn và độ rung
Kiểm tra mức ồn và rung ở vùng biên ngoài khu vực trạm biến áp, giá trị đo được không vượt quá các giá trị cho phép theo quy định hiện hành.
1.10.6 Kiểm tra định kỳ
1.10.6.1 Quy định chung
Việc kiểm tra phải được thực hiện định kỳ bằng mắt thường, kết hợp với thiết bị công nghệ (UAV, camera, robot,...) và đo lường theo quy định, thiết bị công nghệ chuyên ngành (nếu có) để duy trì sự làm việc bình thường đồng thời ngăn chặn các sự cố có thể xảy ra với lưới điện.
Khối lượng các hạng mục kiểm tra trong định kỳ có thể cho phép thay đổi (giảm các hạng mục thử nghiệm không cần thiết và tăng các hạng mục thử nghiệm bổ trợ chuyên sâu có tính chẩn đoán hiệu quả) nhưng quy định không được ít hơn khối lượng tối thiểu đã nêu cho từng loại thiết bị đã nêu trong Quy chuẩn này.
1.10.6.2 Tần suất kiểm tra định kỳ
Tần suất kiểm tra định kỳ dựa trên hai yếu tố chính: chất lượng hoặc tình trạng thiết bị và yêu cầu về độ tin cậy của thiết bị đồng thời đưa ra quy định thời hạn chuẩn mà thiết bị cần phải tiến hành kiểm tra để bảo đảm sự vận hành an toàn và tuổi thọ kỹ thuật. Cơ quan quản lý hoặc người có trách nhiệm quản lý phải quy định tần suất kiểm tra dựa trên các yếu tố đã nêu.
1.10.6.3 Kiểm tra định kỳ ĐDK
Kiểm tra định kỳ ĐDK để phát hiện tình trạng bất thường như: xâm phạm hành lang an toàn, sự ăn mòn, thay đổi hình dạng, rạn nứt, lỏng ốc bắt, v.v.
1.10.6.4 Kiểm tra định kỳ đường cáp ngầm
Kiểm tra định kỳ đường cáp ngầm để phát hiện tình trạng bất thường như xâm phạm hành lang bảo vệ an toàn, thay đổi hình dạng, ăn mòn, phần cố định bị lỏng, v.v. đối với cáp, hộp nối cáp, hộp đầu cáp.
1.10.6.5 Kiểm tra định kỳ thiết bị TBA
1.10.6.5.1 Kiểm tra định kỳ MBA
a) Kiểm tra bằng mắt
Kiểm tra máy biến áp có hoặc không có các hiện tượng bất thường như: rò rỉ dầu, nứt vỡ, lỏng ốc tại các bộ phận, v.v.;
b) Kiểm tra tình trạng cách điện tương ứng Điểm a Khoản 2 Điểm 1.10.4.1;
c) Kiểm tra tỷ số biến đổi của máy biến áp tương ứng Điểm b Khoản 2 Điểm 1.10.4.1 khi các hạng mục có liên quan không đạt;
d) Đo điện trở cuộn dây
Điện trở cuộn dây của máy biến áp kiểm tra tương ứng Điểm d Khoản 2 1.10.4.1; đ) Kiểm tra tình trạng cách điện của dầu máy biến áp để khẳng định các tính năng dầu phù hợp với quy định;
e) Phân tích khí hòa tan
Mục đích của phân tích này là nhằm chuẩn đoán những bất thường của máy biến áp bằng cách phân tích loại và hàm lượng khí bị hòa tan trong dầu cách điện. Hạng mục này chỉ áp dụng cho máy biến áp có điện áp từ 110 kV trở lên;
g) Kiểm tra bộ điều áp dưới tải (OLTC)
Kiểm tra bộ truyền động cơ khí, thử nghiệm cách điện, v.v. của bộ điều áp dưới tải bảo đảm các giá trị đo phù hợp với quy định;
h) Kiểm tra TI chân sứ tương ứng quy định trong Điểm f Khoản 2 Điểm 1.10.4.1 (ngoại trừ hạng mục thử nghiệm điện áp xoay chiều tăng cao, tỉ số biến);
i) Kiểm tra hệ thống làm mát và hệ thống phụ trợ như: bơm, quạt gió, hệ thống bảo vệ, v.v. tương ứng Điểm g Khoản 2 Điểm 1. 10.4.1;
1.10.6.5.2 Kiểm tra định kỳ TU
a) Kiểm tra bằng mắt
Kiểm tra TU có hoặc không có các hiện tượng bất thường như: rò rỉ dầu, nứt vỡ, lỏng ốc tại các bộ phận, v.v.;
b) Đo tình trạng cách điện của TU tương ứng Điểm a Khoản 2 Điểm 1.10.4.2;
c) Đo tỷ số biến đổi của TU tương ứng Điểm b Khoản 2 Điểm 1. 10.4.2;
d) Đo điện trở 1 chiều của TU tương ứng Điểm d Khoản 2 Điểm 1. 10.4.2;
đ) Kiểm tra mức dầu so với vạch chỉ thị trên máy đối với các loại ít dầu và kiểu kín;
e) Đo điện dung và tổn hao điện môi máy biến điện áp kiểu tụ;
g) Kiểm định định kỳ theo các quy định hiện hành đối với TU sử dụng cho mua bán, giao nhận điện năng.
1.10.6.5.3 Kiểm tra định kỳ TI
a) Kiểm tra bằng mắt
Kiểm tra TI có hoặc không có các hiện tượng bất thường như: rò rỉ dầu, nứt vỡ, lỏng ốc tại các bộ phận, v.v.;
b) Đo tình trạng cách điện
Kiểm tra tình trạng cách điện của TI tương ứng Điểm a Khoản 2 Mục 1.10.4.3;
c) Đo điện trở 1 chiều cuộn dây tương ứng cuộn dây tương ứng Điểm b Khoản 2 Điểm 1.10.4.3;
d) Kiểm tra mức dầu so với vạch chỉ thị trên máy;
đ) Kiểm định định kỳ theo các quy định hiện hành đối với TI sử dụng cho mua bán, giao nhận điện năng.
1.10.6.5.4 Kiểm tra định kỳ GIS
a) Kiểm tra bằng mắt
Kiểm tra GIS có hoặc không có các hiện tượng bất thường như: rò rỉ khí, nứt vỡ, lỏng ốc tại các bộ phận, v.v.;
b) Đo điện trở cách điện của GIS tương ứng Điểm a Khoản 2 Điểm 1.10.4.4;
c) Đo điện trở tiếp xúc của tiếp điểm GIS bằng dòng điện một chiều tương ứng Điểm b Khoản 2 Điểm 1. 10.4.4;
d) Đo các đặc tính đóng, cắt của các máy cắt theo các chu trình đã qui định.
đ) Đo và phân tích khí phân rã trong khí SF6 để xác định giá trị đo được phù hợp với quy định. Tiêu chuẩn đánh giá khí thông qua độ ẩm và khí phân rã;
e) Kiểm tra vận hành đóng và mở dao cách ly tương ứng Điểm c Khoản 2 Điểm 1.10.4.4;
g) Kiểm tra các thiết bị chống sét tương ứng với điện áp sử dụng;
h) Kiểm tra TU tương ứng Điểm 1.10.4.4;
i) Kiểm tra TI : đo điện trở cách điện; điện trở một chiều; đặc tính từ hóa cuộn thứ cấp (ngoại trừ hạng mục thử nghiệm điện áp xoay chiều tăng cao).
1.10.6.5.5 Kiểm tra định kỳ VCB
a) Kiểm tra bằng mắt
Kiểm tra VCB có hoặc không có các hiện tượng bất thường như: rò rỉ khí, nứt vỡ, lỏng ốc tại các bộ phận, v.v.;
b) Đo điện trở cách điện tương ứng với Điểm a Khoản 2 Điểm 1.10.4.5;
c) Đo điện trở tiếp xúc bằng dòng điện 1 chiều tương ứng với Điểm b Khoản 2 Điểm 1.10.4.5;
d) Kiểm tra thao tác đóng và mở tương ứng với Điểm c Khoản 2 Điểm 1.10.4.5;
đ) Đo đặc tính đóng và mở tương ứng với Điểm d Khoản 2 Điểm 1.10.4.5;
e) Kiểm tra tình trạng buồng chân không bằng thử nghiệm chịu đựng điện áp theo qui định của nhà chế tạo;
g) Kiểm tra TI chân sứ (nếu có) tương ứng với Điểm f Khoản 2 Điểm 1.10.4.1;
h) Kiểm tra TU chân sứ (nếu có) tương ứng với Điểm g Khoản 2 Điểm 1.10.4.1;
i) Kiểm tra cuộn dây đóng cắt và động cơ tích năng.
1.10.6.5.6 Kiểm tra định kỳ OCB
a) Kiểm tra bằng mắt
Kiểm tra OCB có hoặc không có các hiện tượng bất thường như: rò rỉ dầu, nứt vỡ, lỏng ốc tại các bộ phận, v.v.;
b) Đo điện trở cách điện tương ứng với Điểm a Khoản 2 Điểm 1.10.4.6;
c) Đo điện trở tiếp xúc bằng dòng điện 1 chiều tương ứng với Điểm b Khoản 2 Điểm 1.10.4.6;
d) Kiểm tra thao tác đóng và mở tương ứng với Điểm c Khoản 2 Điểm 1.10.4.6;
đ) Đo đặc tính đóng và mở tương ứng với Điểm d Khoản 2 Điểm 1.10.4.6;
e) Kiểm tra dầu cách điện để khẳng định các tính năng dầu phù hợp với quy định;
g) Kiểm tra biến TI chân sứ (nếu có) tương ứng với Điểm f Khoản 2 Điểm 1.10.4.2;
h) Kiểm tra biến TU chân sứ (nếu có) tương ứng với Điểm g Khoản 2 Điểm 1.10.4.2;
i) Kiểm tra cuộn dây đóng cắt và động cơ tích năng.
1.10.6.5.7 Kiểm tra định kỳ dao cách ly
a) Kiểm tra bằng mắt
Kiểm tra dao cách ly có hoặc không có các hiện tượng bất thường như: nứt vỡ, lỏng ốc tại các bộ phận, v.v.;
b) Đo điện trở cách điện
Kiểm tra điện trở cách điện của dao cách ly tương ứng với Điểm a Khoản 2 Điểm 1.10.4.7;
c) Đo điện trở tiếp xúc mạch chính của dao cách ly bằng dòng điện một chiều;
d) Kiểm tra thao tác đóng và mở tương ứng với Điểm c Khoản 2 Điểm 1.10.4.7.
1.10.6.5.8 Kiểm tra định kỳ tủ điện hợp bộ
a) Kiểm tra bằng mắt
Kiểm tra tủ hợp bộ có hoặc không có các hiện tượng bất thường như: nứt vỡ, lỏng ốc tại các bộ phận, v.v.;
b) Đo điện trở cách điện của tủ hợp bộ tương ứng với Điểm a Khoản 2 Điểm 1.10.4.8;
c) Kiểm tra trình tự liên động và khóa liện động của tủ hợp bộ tương ứng với Điểm b Khoản 2 Điểm 1.10.4.8.
1.10.6.5.9 Kiểm tra định kỳ tụ bù công suất
a) Kiểm tra bằng mắt
Kiểm tra hệ tụ có hoặc không có các hiện tượng bất thường như: nứt vỡ, lỏng ốc tại các bộ phận, v.v.;
b) Đo điện trở cách điện
Đo điện trở cách điện giàn tụ. Trường hợp có bất thường, thực hiện đo cách điện từng phần tử.;
c) Đo điện dung của tụ tương ứng với Khoản 3 1.10.4.9 khi giàn tụ không được trang bị TI không cân bằng.
1.10.6.5.10 Kiểm tra định kỳ chống sét van tương ứng với Điểm 1.10.4.10 (Không cần thực hiện hạng mục đo dòng điện rò nếu chống sét đã được lắp đồng hồ đo dòng rò online).
1.10.6.5.11 Kiểm tra định kỳ hệ thống ắc quy tương ứng với Điểm 1.10.4.11.
1.10.6.5.12 Kiểm tra định kỳ thiết bị rơ-le bảo vệ và điều khiển
Kiểm tra các rơ-le bảo vệ và thiết bị điều khiển cần thực hiện các thử nghiệm nêu dưới đây tương ứng với Điểm 1.10.4.12.
a) Kiểm tra đơn chiếc
- Kiểm tra trị số tác động rơ-le bảo vệ;
- Kiểm tra đặc tính điện áp và dòng điện;
- Kiểm tra đặc tính góc pha;
- Đo thời gian tác động.
b) Kiểm tra mạch một chiều
- Đo điện trở cách điện.
c) Kiểm tra mạch xoay chiều
- Kiểm tra mạch thứ cấp;
- Kiểm tra mạch đo lường và rơ-le;
- Đo điện trở cách điện;
- Kiểm tra mạch xoay chiều (Thí nghiệm mô phỏng);
- Kiểm tra mô phỏng sự cố.
d) Kiểm tra tổng hợp
Kiểm tra tổng hợp sự hoạt động của rơ-le và các tín hiệu cảnh báo.
1.10.6.5.13 Kiểm tra định kỳ hệ thống đo đếm
Yêu cầu tối thiểu tần suất kiểm tra định kỳ hệ thống đo đếm như sau:
a) Công tơ, TU, TI được kiểm định định kỳ theo quy định hiện hành;
b) Hệ thống đo đếm được kiểm tra định kỳ theo thỏa thuận, hoặc khi có yêu cầu, sự cố.
1.10.6.5.14 Kiểm tra định kỳ GCB
a) Kiểm tra bằng mắt
Kiểm tra GCB có hoặc không có các hiện tượng bất thường như: rò rỉ khí, nứt vỡ, lỏng ốc tại các bộ phận, v.v.;
b) Đo điện trở cách điện: Phải tiến hành phù hợp với Điểm 1.10.4.13.
c) Đo điện trở tiếp xúc bằng dòng điện 1 chiều: Phải tiến hành phù hợp với Điểm 1.10.4.13.
d) Kiểm tra thao tác đóng và mở: Phải tiến hành phù hợp với Điểm 1.10.4.13.
đ) Đo đặc tính đóng và mở: Phải tiến hành phù hợp với Điểm 1.10.4.13.
e) Thử nghiệm chịu đựng điện áp: Phải tiến hành phù hợp với Điểm 1.10.4.13.
g) Kiểm tra các mạch liên động (cảnh báo, khóa thao tác) của thiết bị giám sát áp lực (hoặc mật độ) khí cách điện. Phải tiến hành phù hợp với Điểm 1.10.4.13.
h) Kiểm tra áp lực (hoặc mật độ) khí cách điện của GCB: Phải tiến hành phù hợp với Điểm 1.10.4.13.
i) Kiểm tra các cuộn dây đóng cắt và động cơ tích năng: Phải tiến hành phù hợp với Điểm 1.10.4.13.
k) Kiểm tra TI chân sứ (nếu có) tương ứng với Điểm e Khoản 2 Điểm 1.10.4.1;
l) Kiểm tra TU chân sứ (nếu có) tương ứng với Điểm g Khoản 2 Điểm 1.10.4.1.
2 YÊU CẦU KỸ THUẬT ĐỐI VỚI HỆ DẪN ĐIỆN
2.1 YÊU CẦU KỸ THUẬT ĐỐI VỚI HỆ DẪN ĐIỆN BẰNG CÁP ĐIỆN ÁP ĐẾN 500 KV
2.1.1 Yêu cầu chung
2.1.1.1 Đường cáp điện áp đến 35 kV được thiết kế và lắp đặt theo các quy định trong Quy chuẩn kỹ thuật này.
2.1.1.2 Đường cáp điện điện áp 110 kV, 220 kV và 500 kV được thiết kế và lắp đặt theo phương thức quy định trong Quy chuẩn kỹ thuật này, các chỉ tiêu kỹ thuật của cáp được xác định cho từng công trình cụ thể, các yêu cầu lắp đặt chi tiết thực hiện theo yêu cầu của loại cáp được cung cấp và yêu cầu của tổ chức/đơn vị thiết kế.
2.1.1.3 Thiết kế và xây dựng đường cáp phải dựa trên cơ sở tính toán kinh tế - kỹ thuật có tính đến sự phát triển của lưới điện, tầm quan trọng của đường cáp, đặc điểm của tuyến, phương thức đặt cáp, cấu tạo của cáp và hướng dẫn của nhà chế tạo cáp. Để tránh cho đường cáp khỏi bị hư hỏng và bị các lực cơ học nguy hiểm trong quá trình lắp đặt, vận hành, phải thực hiện các giải pháp lắp đặt cáp phù hợp với chủng loại vật tư và điều kiện môi trường.
2.1.2 Yêu cầu đối với lựa chọn và phân biệt cáp
2.1.2.1 Cáp điện phải được lựa chọn phù hợp với nhu cầu tải điện, vị trí lắp đặt và môi trường.
2.1.2.2 Đối với đường cáp trong lưới điện 3 pha cho phép dùng cáp 1 ruột cho từng pha.
2.1.2.3 Sử dụng mã màu hoặc đánh số cho các dây bọc và cáp hạ áp trong các mạch điều khiển, mạch điện xoay chiều, mạch điện một chiều, v.v. để dễ phân biệt và tránh nhầm lẫn khi lắp đặt và xử lý.
Mã màu của dây bọc và cáp xem Phụ lục G-1.
2.1.3 Lựa chọn tiết diện cáp
2.1.3.1 Đối với cáp điện điện áp đến 1 kV, tiết diện dây dẫn được lựa chọn theo phát nóng cho phép và độ sụt áp cho phép.
2.1.3.2 Đối với cáp trên 1 kV lựa chọn theo mật độ dòng điện kinh tế, dòng điện lâu dài cho phép và được hiệu chỉnh theo cách lắp đặt, vị trí lắp đặt, điều kiện môi trường và hệ số đồng thời.
2.1.3.3 Dòng điện ngắn mạch cho phép của cáp theo nhiệt độ vận hành và nhiệt độ ngắn mạch bảo đảm cho cáp không bị phá hủy trong chế độ xác lập.
2.1.3.4 Dòng điện lâu dài cho phép của cáp điện áp đến 35 kV theo quy định trong Quy chuẩn kỹ thuật này, dòng điện lâu dài cho phép của cáp điện áp từ 110 kV trở lên theo yêu cầu của từng công trình và quy định của nhà chế tạo cáp.
Điện trở 1 chiều của lõi dây dẫn điện xem Phụ lục G-2.
Chi tiết dòng điện lâu dài cho phép của cáp điện áp đến 35 kV xem Phụ lục G-3.
2.1.4 Yêu cầu đối với các điều kiện môi trường khác nhau
Tuyến cáp dài được lắp trong những khu vực có điều kiện môi trường lắp đặt khác nhau thì phải chọn tiết diện và kết cấu của cáp tương ứng với mỗi đoạn.
Chiều dài của đoạn tuyến đi qua ngắn hơn chiều dài chế tạo của cáp, nếu có điều kiện môi trường lắp đặt khác nhau thì phải lựa chọn kết cấu và tiết diện cáp theo đoạn tuyến có điều kiện khắc nghiệt nhất.
2.1.5 Yêu cầu đối với đặc tính kỹ thuật và vị trí lắp đặt
2.1.5.1 Đặc tính kỹ thuật
a) Cáp đặt trực tiếp trong đất hoặc trong nước phải có lớp bảo vệ chịu va đập cơ học;
b) Cáp đặt trong hầm cáp, tầng cáp, mương cáp, máng cáp, giếng cáp phải là cáp có vỏ bọc bằng vật liệu khó cháy;
c) Cáp đặt trong khối cáp và ống cáp phải dùng loại có vỏ bọc tăng cường để chống sướt khi kéo cáp. Đối với đường cáp đặt trong đoạn khối cáp và ống cáp ngắn, cho phép dùng loại cáp không có vỏ bọc tăng cường;
d) Cáp đặt trong nhà máy điện, trạm biến áp, xưởng sản xuất, nơi có nhiều nguy cơ hư hỏng do cơ học phải dùng loại cáp bọc đai thép, nơi ít nguy cơ hư hỏng do cơ học nên dùng loại cáp không có đai thép nhưng phải có lớp bọc ngoài cùng bằng vật liệu có khả năng chịu lửa;
đ) Dòng điện lâu dài của cáp được điều chỉnh theo vị trí lắp đặt.
Hệ số điều chỉnh dòng điện lâu dài cho phép theo vị trí lắp đặt xem Phụ lục G-4.
Chi tiết tính toán dòng ngắn mạch cho phép của cáp xem Phụ lục G-5.
2.1.5.2 Cáp lắp đặt trong gian công nghiệp
Trong gian công nghiệp, cần bố trí hệ dẫn điện có cấp bảo vệ IP00 (dây trần) ở độ cao lớn hơn 3,5m so với sàn nhà hoặc sàn làm việc, còn đối với hệ dẫn điện có cấp bảo vệ IP31, độ cao này phải lớn hơn 2,5m.
Không quy định độ cao lắp đặt đối với hệ dẫn điện có cấp bảo vệ IP20 trở lên với các thanh dẫn cách điện, cũng như đối với hệ dẫn điện có cấp bảo vệ IP40 trở lên. Cũng không quy định độ cao lắp đặt hệ dẫn điện các kiểu với điện áp tới 42V xoay chiều và tới 110V DC.
2.1.5.3 Cáp lắp đặt trong gian khô và ẩm
Khi các dây bọc và cáp đi xuyên qua giữa các gian khô với nhau hoặc gian ẩm với nhau, cho phép đặt tất cả các dây dẫn trong cùng một ống cách điện.
Dây bọc và cáp đi xuyên từ gian khô sang gian rất ẩm hoặc từ một gian đi ra bên ngoài, mỗi dây dẫn phải được đặt trong ống cách điện riêng. Khi đi xuyên từ gian khô hoặc ẩm sang gian rất ẩm hoặc khi đi xuyên ra bên ngoài tòa nhà, mối nối dây dẫn phải thực hiện trong gian khô hoặc ít ẩm hơn.
2.1.6 Bảo vệ khỏi dòng điện lạc mạch
Nếu trên đường cáp xuất hiện dòng điện lạc mạch có trị số gây nguy hiểm, phải có biện pháp bảo vệ như sau:
2.1.6.1 Thay đổi tuyến cáp đi tránh vùng nguy hiểm đó.
2.1.6.2Trường hợp không thể thay đổi tuyến cáp, phải có biện pháp giảm tối đa dòng điện lạc mạch hoặc sử dụng vỏ cáp có độ chống ăn mòn cao hoặc có biện pháp nối đất vỏ cáp phù hợp.
2.1.7 Thông gió và chiếu sáng
2.1.7.1 Hầm cáp, tầng cáp, buồng cáp, hành lang cáp vận hành thường xuyên phải trang bị thông gió tự nhiên hoặc nhân tạo và phải phân chia thành nhiều ngăn độc lập với nhau;
2.1.7.2 Hầm cáp, tầng cáp, buồng cáp, hành lang cáp vận hành thường xuyên phải trang bị hệ thống chiếu sáng được cấp điện từ 2 nguồn, các bóng đèn được bố trí xen kẽ đến 2 nguồn đó và hệ thống ổ cắm điện dùng cho thiết bị cầm tay.
2.1.7.3 Đối với hầm cáp, tầng cáp, buồng cáp, hành lang cáp không có người thường xuyên làm việc và rất ít lui tới, chỉ lắp ổ cắm điện dọc hành lang để khi cần thiết mới thông gió cưỡng bức và chiếu sáng tạm thời phục vụ vận hành, sửa chữa.
2.1.8 Phòng chống cháy nổ
2.1.8.1 Phải trang bị thiết bị và phương tiện phòng chống cháy nổ trong công trình cáp theo quy định của cơ quan quản lý nhà nước về phòng cháy, chữa cháy.
2.1.8.2 Gần lối ra, cửa thoát và các giếng thông gió (trong vòng bán kính không quá 25m) trong nhà máy nhiệt điện phải đặt các họng chữa cháy bằng hợp chất chất chữa cháy chuyên dùng. Đối với cầu cáp, hành lang cáp phải tính toán sao cho tất cả các điểm có khoảng cách không quá 100m đến họng chữa cháy bằng hợp chất chất chữa cháy chuyên dụng gần nhất.
2.1.8.3 Đối với tổ hợp đường cáp của nhà máy điện công suất từ 25 MW trở lên, thiết bị phân phối và trạm biến áp có điện áp 220-500 kV, cũng như đối với các thiết bị phân phối và trạm biến áp có nhiệm vụ đặc biệt phải thực hiện yêu cầu:
Đối với sơ đồ đấu dây chính, sơ đồ tự dùng và sơ đồ thao tác điều khiển, các loại thiết bị và tổ hợp cáp của nhà máy điện hoặc trạm biến áp phải lắp đặt sao cho khi có hoả hoạn bên trong hay ngoài tổ hợp cáp thì một số tổ máy của nhà máy điện vẫn hoạt động bình thường, không làm gián đoạn việc nối dự phòng của các thiết bị phân phối và trạm biến áp cũng như hệ thống cảnh báo và chữa cháy;
b) Đối với các đường cáp điện:
- Ở những vị trí đường cáp điện nối thiết bị đóng cắt ngoài trời vào phòng điều khiển hoặc đấu nối với các tủ bảng điều khiển và bảo vệ tai chỗ phải có các vách ngăn có mức chịu lửa không nhỏ hơn 45 phút;
- Ở những nơi cáp đi qua tường ngăn hoặc mái che phải có các vách ngăn bằng vật liệu có khả năng chịu lửa, dễ khoan đục và có mức chịu lửa không nhỏ hơn 45 phút, thuận tiện cho việc thay thế, đặt thêm cáp;
- Trong nhà máy điện, cho phép công trình cáp có mức chịu lửa là 15 phút trong khu vực của tổ máy phát điện, nhưng phải ngăn cách với các thiết bị công nghệ có thể là nguồn phát sinh cháy (thùng chứa dầu, trạm chứa dầu, v.v.) bằng các tấm che có mức chịu lửa không nhỏ hơn 45 phút;
- Tầng cáp, hầm cáp đặt các loại cáp của các tổ máy khác nhau, kể cả tầng cáp và hầm cáp phía dưới tủ bảng điều khiển của các tổ máy phải phân chia theo từng tổ máy và ngăn cách riêng các phòng khác nhau vào tầng cáp, hầm cáp, giếng cáp, hộp cáp, mương cáp và các điểm cáp đi qua bằng vách ngăn, tấm che có mức chịu lửa không nhỏ hơn 45 phút;
- Tổ hợp cáp của nhà máy điện cần ngăn cách với hầm cáp của mạng lưới cáp đi ra từ nhà máy và thanh góp bằng các tấm ngăn chống cháy có mức chịu lửa không nhỏ hơn 45 phút;
- Các tầng cáp, hầm cáp, hành lang cáp, cầu cáp và giếng cáp phải phân cách với các phòng khác và các công trình cáp bên cạnh bằng vách ngăn chống cháy với mức chịu lửa không ít hơn 45 phút;
- Giếng cáp dài cần ngăn cách từng ngăn không dài quá 20 m bằng các vách ngăn chống cháy có mức chịu lửa không ít hơn 45 phút. Các giếng cáp phải được trang bị lối vào và thang hoặc móc để người có thể lên xuống;
- Cửa ra vào công trình cáp và tầng ngăn của các thiết bị điện điện áp 220-500 kV phải có mức chịu lửa 45 phút và 36 phút trong các thiết bị điện còn lại;
- Những tầng cáp, hành lang cáp ngoài trời và các kết cấu xây dựng chịu lực (cột, công son) bê tông cốt thép có mức chịu lửa không nhỏ hơn 45 phút hoặc bằng thép có mức chịu lửa không nhỏ hơn 15 phút.
2.1.9 Đường cáp dự phòng
Các đường cáp dự phòng phải được lắp đặt sao cho khi xảy ra hỏa hoạn, chúng không bị hỏng cùng một lúc. Vì vậy các tổ hợp cáp phải chia thành các phân nhóm nhỏ và cách ly chúng với nhau. Việc phân chia thành các nhóm tuỳ thuộc điều kiện của từng công trình.
2.1.10 Lắp đặt dây trung tính
Trong lưới điện xoay chiều điện áp đến 1 kV 3-pha-4-dây có trung tính nối đất, cho phép dùng cáp 3 ruột có vỏ bọc nhôm và dùng vỏ nhôm làm dây trung tính nối đất, trừ các trường hợp sau đây:
- Đặt ở những nơi có môi trường dễ nổ (trong nhà cũng như ngoài trời).
- Đặt ở những nơi mà trong điều kiện vận hành bình thường, dòng điện trong dây trung tính vượt quá 75 % dòng điện cho phép của dây pha.
2.1.11 Lắp đặt cáp
2.1.11.1 Phương thức lắp đặt cáp
a) Cáp phải có dự phòng theo chiều dài đủ để có thể co giãn được khi đất bị dịch chuyển hoặc biến dạng do nhiệt độ của bản thân cáp cũng như kết cấu đặt cáp. Cấm dự phòng cáp theo kiểu khoanh thành vòng tròn;
b) Cáp đặt nằm ngang trên các kết cấu, tường xà, phải được cố định chặt ở điểm cuối, ở cả hai phía của đoạn cáp uốn và tại hộp nối;
c) Cáp đặt thẳng đứng theo các kết cấu, theo tường phải được kẹp, gia cố để không bị biến dạng vỏ bọc, không làm hỏng cáp và chỗ nối do tác động của trọng lượng bản thân cáp;
d) Kết cấu đỡ cáp bằng thép cần phải tránh hư hỏng cơ học cho vỏ cáp, tại các điểm đặt cáp nên có đệm lót mềm;
đ) Các loại cáp (kể cả cáp bọc thép) đặt ở những chỗ ô-tô qua lại, chuyên chở máy móc, hàng hóa, người qua lại v.v. phải được bảo vệ chống va chạm; ví dụ: với các cáp đặt thẳng đứng theo các kết cấu, theo tường, sử dụng ống chịu lực để bảo vệ cáp đến độ cao 2 m trên mặt đất và đến độ sâu 0,25 m dưới mặt đất.
e) Khi đặt cáp mới bên cạnh cáp đang vận hành phải có biện pháp để không làm hỏng cáp đang vận hành;
g) Cáp từ ngoài trời vào trong nhà phải có biện pháp ngăn không cho nước hoặc sinh vật (chuột, rắn, v.v.) theo đường cáp vào nhà, vào hầm;
h) Cấm đặt cáp giao chéo nhau dưới nước (trừ cáp vượt biển); i) Phải bảo đảm khoảng cách của cáp đến nguồn nhiệt để tránh làm cáp nóng quá mức cho phép, phải có biện pháp bảo vệ cáp không để chất nóng bắn vào chỗ đặt các hộp nối;
i) Cáp lực điện áp đến 1 kV và cáp kiểm tra nên đặt phía trên cáp có điện áp cao hơn;
k) Cáp lực điện áp thấp nên đặt phía trên cáp có điện áp cao hơn;
l) Cáp uốn cong phải có bán kính uốn cong theo loại cáp sử dụng.
Bán kính uốn cong cho phép của cáp xem Phụ lục G-6.
2.1.11.2 Lắp đặt cáp lực đến 35 kV
a) Trong một hào cáp không đặt quá 6 sợi cáp lực. Nếu số lượng sợi cáp lớn hơn, nên đặt trong các hào riêng cách nhau lớn hơn 0,5 m hoặc trong các mương cáp, hộp cáp, khối cáp;
b) Khi số cáp lực đi cùng tuyến nhiều hơn 20 sợi cáp nên đặt trong hầm cáp, mương cáp, cầu cáp, hành lang cáp;
c) Đặt cáp trong khối cáp khi mật độ cáp theo tuyến lớn, tại các điểm giao chéo với đường sắt, đường ôtô phải có biện pháp để tránh khả năng gây đứt gãy vỏ cáp, v.v.;
2.1.11.3 Lắp đặt cáp lực từ 110 kV trở lên theo quy định của tổ chức/đơn vị thiết kế và nhà chế tạo cáp.
2.1.11.4 Lắp đặt cáp trong khu vực của nhà máy điện
Các đường cáp được lắp đặt trong hầm cáp, hộp cáp, mương cáp, khối cáp, sàn kép, cầu cáp, máng cáp và hành lang cáp. Chỉ cho phép lắp đặt cáp lực trong hào cáp ở công trình phụ trợ cách xa nhà máy (kho nhiên liệu, xưởng) với số lượng cáp không lớn hơn 6 và trong khu vực nhà máy điện có công suất đến 25 MW.
2.1.11.5 Lắp đặt cáp trong khu vực xí nghiệp công nghiệp
Các đường cáp được lắp đặt trong hào cáp, hầm cáp, khối cáp, mương cáp, sàn kép, cầu cáp, hành lang cáp, máng cáp và các tường của toà nhà.
2.1.11.6 Lắp đặt cáp trong các trạm biến áp và trạm cắt
Các đường cáp được lắp đặt trong mương cáp, sàn kép, ống cáp, cầu cáp, hành lang cáp, máng cáp và hào cáp.
2.1.11.7 Lắp đặt cáp trong khu đông dân cư
Trong khu vực đông dân cư có nhiều công trình ngầm, nếu số lượng cáp trong nhóm là 10 hoặc nhiều hơn, nên đặt trong khối cáp, ống cáp, hào cáp và mương cáp. Ở các đường phố, quảng trường (có mật độ xe qua lại cao) phải phối hợp với cơ quan quản lý công trình công cộng của địa phương đặt sẵn mương cáp, khối cáp hoặc ống cáp trước khi hoàn chỉnh ốp lát mặt đường để đi cáp khi cần thiết.
2.1.11.8 Lắp đặt cáp bên trong tòa nhà
Bên trong toà nhà có thể đặt cáp trực tiếp theo cấu trúc của nhà (đặt hở và đặt trong hộp, ống), trong mương cáp, hầm cáp, ống cáp dưới sàn nhà, dưới sàn che, dưới móng của các thiết bị và trong các sàn kép.
2.1.11.9 Lắp đặt cáp 1 pha
Cáp 1 pha dùng cho điện xoay chiều, nếu đặt trong ống thì ống phải bằng vật liệu không từ tính. Mỗi pha của đường cáp phải đặt trong từng ống riêng biệt.
2.1.12 Những nơi không cho phép lắp đặt cáp
Không cho phép xây dựng công trình cáp ở những nơi có thể có kim loại nóng chảy, chất lỏng có nhiệt độ cao chảy vào cáp hoặc các khu vực có hóa chất có thể làm hư hỏng vỏ cáp. Tại các vị trí đó cũng không cho phép đặt cửa ra vào của buồng cáp, hầm cáp.
2.1.13 Lắp đặt hộp nối cáp và hộp đầu cáp
2.1.13.1 Hộp nối cáp và hộp đầu cáp phải bảo đảm kết cấu phù hợp với sự làm việc của cáp và môi trường xung quanh, phải bảo đảm không lọt ẩm và chất có hại vào trong cáp và phải chịu được điện áp thử nghiệm theo quy định.
2.1.13.2 Khi lắp đặt hộp nối cáp, khoảng cách từ hộp nối cáp đến cáp gần nhất phải lớn hơn hoặc bằng 250 mm hoặc phải có các biện pháp bảo vệ an toàn.
2.1.13.3 Hộp nối cáp không được bố trí trên các tuyến nằm nghiêng. Nếu bắt buộc phải bố trí, thì phải tạo một đoạn nằm ngang để bố trí.
2.1.13.4 Để thay thế một hộp nối cáp bị hư hỏng, cần phải được bố trí chiều dài cáp dự trữ trên cả hai bên của hộp nối cáp.
2.1.13.5 Hộp nối cáp trong giếng cáp phải lắp đặt bộ treo hãm toàn bộ hoặc một nửa.
2.1.13.6 Hộp nối cáp đặt trong hào cáp phải được phủ đất mịn hoặc cát.
2.1.13.7 Ở vùng có các phương tiện giao thông chạy điện (xe điện ngầm, tàu điện) hoặc vùng đất có hại đến vỏ kim loại của cáp và hộp nối cáp thì hộp nối cáp phải bố trí để dễ kiểm tra.
2.1.14 Lắp đặt khối cáp, ống cáp và máng cáp
2.1.14.1 Số lượng ngăn trong khối cáp, khoảng cách giữa các ngăn và kích thước của ngăn phải được lựa chọn theo điều kiện phát nhiệt.
2.1.14.2 Mỗi khối cáp phải có 15 % ngăn dự phòng nhưng không được nhỏ hơn một ngăn.
2.1.14.3 Chiều sâu đặt ống và khối cáp trong đất phải lấy theo tình hình thực tế, nhưng không được nhỏ hơn chiều sâu đặt cáp theo quy định.
2.1.14.4 Không quy định chiều sâu đặt ống và khối cáp ở những chỗ không có người hoặc phương tiện qua lại hoặc dưới nền nhà sản xuất.
2.1.14.5 Khối cáp và ống cáp khi đặt phải có độ dốc ít nhất là 0,2 %.
2.1.14.6 TBPP ngoài trời ở vùng có mực nước ngầm cao, cần dùng phương pháp đặt cáp nổi (trong máng hoặc hộp cáp). Máng cáp và tấm đậy phải làm bằng bê tông cốt thép. Các máng cáp phải đặt trên trụ đỡ có độ dốc ít nhất 0,2 % theo tuyến để dễ thoát nước. Nếu trên máng cáp nổi có các lỗ thoát nước thì không cần tạo độ nghiêng.
2.1.15 Yêu cầu đối với công trình cáp
2.1.15.1 Công trình cáp phải dự trữ thêm khoảng 15 % dành cho mục đích lắp đặt thêm cáp.
2.1.15.2 Các công trình cáp phải có biện pháp chống cháy và phải có thể tiếp cận dễ dàng.
2.1.15.3 Các tầng cáp, hầm cáp, hành lang cáp, cầu cáp và giếng cáp phải phân cách với các phòng khác và các công trình cáp bên cạnh bằng vách ngăn chống cháy.
2.1.15.4 Giếng cáp dài cần ngăn cách từng ngăn không quá 20 m bằng các vách ngăn chống cháy.
2.1.15.5 Hầm cáp dài, tầng cáp dài, hành lang cáp dài phải chia thành từng đoạn, có cửa ra vào và cửa thoát hiểm cách nhau không quá 50 m.
2.1.15.6 Hành lang cáp ngoài trời có từng đoạn được che kín không cần theo quy định nêu trên.
2.1.15.7 Cửa vào công trình cáp phải là loại tự đóng và có gioăng kín. Các cửa thoát phải mở ra phía ngoài và phải mở được từ phía trong công trình cáp mà không cần chìa khóa, cửa giữa các ngăn mở về phía lối thoát gần nhất và phải tự đóng được.
2.1.15.8 Các cầu cáp, giá đỡ cáp có sàn kỹ thuật phải có lối vào bằng thang. Khoảng cách giữa các lối vào không quá 50 m. Khoảng cách từ chân cầu thang đến lối vào không được quá 25 m.
2.1.15.9 Lối ra từ công trình cáp phải bố trí hướng ra phía ngoài trời hoặc ra phòng có độ an toàn cao về phòng cháy chữa cháy. Số lượng và vị trí các lối thoát (các cửa thoát) khỏi công trình cáp xác định tại chỗ nhưng ít nhất là 2. Nếu độ dài của công trình cáp không quá 25 m cho phép có 1 lối thoát. Lối vào phải có cửa ngăn không cho người ngoài ra vào tự do. Các cửa phải có ổ khoá để mở từ phía trong không cần chìa khóa.
2.1.15.10 Trong hầm và mương cáp phải có biện pháp ngăn ngừa nước thải công nghiệp, dầu chảy vào và có hệ thống tự xả nước lẫn đất cát ra ngoài, hoặc phải có bơm thoát nước điều khiển đóng mở tự động tuỳ theo mực nước. Kích thước và trọng lượng cho việc lắp đặt công trình cáp phải tính đến khả năng sử dụng sức người.
Chi tiết công trình cáp xem Phụ lục G-7.
2.1.16 Yêu cầu đối với giếng cáp
Độ cao của giếng cáp phải đủ để lắp đặt hộp nối, hộp nối hãm hoặc bán hãm.
Giếng cáp trên bờ, nơi các đường cáp chuyển sang đi ngầm trong nước phải có kích thước phù hợp để đặt được cáp dự phòng và thiết bị khác.
Các giếng cáp phải có thang hoặc móc thang lên xuống.
Cửa lên xuống của giếng và hầm cáp phải có đường kính không được nhỏ hơn 650 mm và nắp đậy bằng kim loại có khoá mở được từ phía trong ra không cần chìa khóa.
2.1.17 Yêu cầu đối với giá đỡ cáp
Giá đỡ cáp trong hầm cáp, tầng cáp, buồng cáp, giếng cáp, cầu cáp, mương cáp, sàn kép được bố trí theo quy định trong bảng sau:
Bảng 2.1: Khoảng trống nhỏ nhất giữa các giá đỡ cáp trong công trình cáp
|
Mô tả khoảng cách |
Khoảng trống nhỏ nhất (mm) |
||
|
Trong các hầm cáp, tầng cáp, buồng cáp, cầu cáp |
Trong các mương cáp, máng cáp, giếng cáp và sàn kép |
||
|
Chiều cao |
1800 (1500*1) |
1800 |
|
|
Khoảng trống giữa các giá cáp khi đặt cáp ở cả hai phía |
800 |
200 đối với độ sâu đến 0,6 m 300 đối với độ sâu lớn hơn 0,6 m |
|
|
Khoảng trống từ giá cáp đến tường khi đặt cáp ở một phía |
800 |
200 đối với độ sâu đến 0,6 m 300 đối với độ sâu lớn hơn 0,6 m |
|
|
Khoảng cách thẳng đứng giữa các giá cáp |
Để đặt cáp đến 10 kV |
100 |
100 |
|
Để đặt cáp từ 22 đến 35 kV |
200 |
200 |
|
|
Để đặt cáp từ 110 kV đến 220 kV |
250 |
250 |
|
|
- Cáp nhị thứ, cáp thông tin - Cáp lực có tiết diện là 3x25mm2 và cáp lực điện áp đến 1 kV |
100 |
||
|
Khoảng cách giữa các giá đỡ (công son) theo chiều dài công trình*2 |
Từ 500 đến 1000 |
||
Ghi chú:
- (*1) Số liệu trên cho hầm cáp có chiều dài nhỏ hơn 100 m ở chỗ hẹp và có cửa ra ở cuối.
- (*2) Khoảng cách trên dùng cho giá đỡ cáp có chiều dài nhỏ hơn 500 mm ở tuyến thẳng.
Bố trí giá đỡ cáp trong hầm cáp và mương được thể hiện trong các hình sau:

2.1.18 Yêu cầu lắp đặt cáp trong công trình cáp
Khoảng cách giữa các cáp lắp đặt trong công trình cáp phải áp dụng theo yêu cầu của nhà sản xuất hoặc đơn vị thiết kế hệ thống cáp. Trong trường hợp nhà sản không quy định thì phải thực hiện như quy định trong bảng sau:
Bảng 2.2: Khoảng cách nhỏ nhất giữa các cáp
|
Các cáp song song hoặc giao chéo |
Vị trí lắp đặt |
Khoảng trống nhỏ nhất (mm) |
|
- Giữa các cáp điện có điện áp đến 10 kV - Giữa cáp điện có điện áp đến 10 kV và cáp nhị thứ, cáp thông tin |
Trong hầm cáp, tầng cáp, mương cáp, máng cáp, giếng cáp, sàn kép |
Không nhỏ hơn đường kính của cáp |
|
Trong đất, trong nước |
100 |
|
|
- Giữa các cáp điện có điện áp từ 22 kV đến 35 kV - Giữa cáp điện có điện áp từ 22 kV đến 35 kV và cáp nhị thứ, cáp thông tin |
Trong hầm cáp, tầng cáp, mương cáp, máng cáp, giếng cáp, sàn kép |
150 Không nhỏ hơn đường kính của cáp |
|
Trong đất, trong nước |
250 |
|
|
- Giữa các cáp có điện áp 110 kV và 220 kV - Giữa cáp có điện áp 110 kV và 220 kV và cáp điện khác |
Trong hầm cáp, tầng cáp, mương cáp, máng cáp, giếng cáp, sàn kép |
250 |
|
Trong đất, trong nước |
500 |
|
|
- Giữa cáp của các cơ quan khác nhau |
Trong đất, trong nước |
500 |
|
- Giữa các cáp nhị thứ, cáp thông tin |
Tất cả các vị trí |
Không quy định |
2.1.19 Yêu cầu lắp đặt cáp giao chéo với các công trình khác
2.1.19.1 Khoảng cách giữa các cáp đi gần hoặc giao chéo:
a) Ở nhà máy điện và trạm biến áp, cho phép đặt cáp với khoảng cách đến móng cột ĐDK trên 1 kV không được nhỏ hơn 0,5 m nếu trang bị nối đất của cột đó đã được nối với lưới nối đất của trạm;
b) Khi giao chéo với đường sắt và đường ôtô, cáp phải đặt trong khối cáp hoặc trong ống cáp suốt chiều ngang của đường cộng thêm mỗi phía 0,5 m tính từ mép đường; chiều sâu chôn cáp ít nhất là 1m kể từ mặt đường và thấp hơn đáy mương thoát nước ở hai bên đường ít nhất là 0,5 m;
c) Khi giao chéo với đường sắt chạy điện, các khối cáp hoặc ống cáp là loại cách điện; chỗ giao chéo phải cách chỗ bẻ ghi và cách chỗ nối dây điện (dây âm) vào đường ray không được nhỏ hơn 3 m. Việc lắp đặt cáp giao chéo với đường sắt chạy điện nên bố trí góc giao chéo từ 750 ÷ 900
2.1.19.2 Đường cáp điện được đặt song song và giao chéo với các đối tượng khác như: đường ống, đường ống dẫn nhiệt, đường sắt, đường xe điện, các đường cáp phải bảo đảm được khoảng cách an toàn nằm ngang giữa chúng và các đối tượng khác và phải có biện pháp bảo vệ ngăn ngừa những tác động có hại.
2.1.19.3 Khoảng cách từ công trình cáp đến các công trình xây dựng
Trong trường hợp lắp đặt trong phạm vi chỉ giới của đối tượng khác, phải có thoả thuận của các cơ quan quản lý các đối tượng đó.
Khoảng cách nhỏ nhất từ công trình cáp điện đến công trình xây dựng theo quy định tại Bảng 2.3
Bảng 2.3: Khoảng cách nhỏ nhất từ công trình cáp đến công trình xây dựng
|
Cách bố trí |
Các công trình |
Mô tả khoảng cách |
Khoảng cách nhỏ nhất (m) |
|
Giao chéo theo chiều nằm ngang |
Mép móng tòa nhà và công trình xây dựng |
Từ cáp, mương cáp, ống cáp, khối cáp |
0,6 |
|
Gốc cây to trong rừng (gốc cây to trong vườn) |
Từ cáp, mương cáp, ống cáp, khối cáp |
2,0 (0,75) |
|
|
Các tòa nhà và công trình có tường kín |
Từ cầu cáp và hành lang cáp đến tường nhà và tường công trình |
Không quy định |
|
|
Các tòa nhà và công trình có tường có lỗ |
Từ cầu cáp và hành lang cáp đến tường nhà và tường công trình |
2,0 |
|
|
Đường sắt không điện khí hóa trong khu vực nhà máy |
Từ cầu cáp và hành lang cáp đến chỗ ngoài gần nhất của công trình |
- Cầu cáp và hành lang cáp có người đi lại: 3,0 - Cầu cáp và hành lang cáp không có người đi lại: 1,0 |
|
|
Đường ô tô trong nhà máy và đường chữa cháy |
Từ cầu cáp và hành lang cáp đến mép ngoài của rãnh thoát nước của đường |
2,0 |
|
|
Đường cáp treo |
Từ cầu cáp và hành lang cáp đến mép ngoài của phần vận chuyển |
1,0 |
|
|
Đường ống đặt trên mặt đất |
Từ cầu cáp, hành lang cáp đến phần gần nhất của đường ống |
0,5 |
|
|
ĐDK |
Từ cầu cáp và hành lang cáp đến dây dẫn điện |
Khoảng cách hành lang an toàn của ĐDK |
|
|
Giao chéo theo chiều thẳng đứng |
Đường sắt không điện khí hóa trong khu vực nhà máy |
Từ điểm thấp nhất của cầu cáp và hành lang cáp đến mặt của đường ray |
5,6 |
|
Đường sắt chạy điện trong khu vực nhà máy |
Từ điểm thấp nhất của cầu cáp và hành lang cáp đến mặt của đường ray |
7,1 |
|
|
Từ điểm thấp nhất của cầu cáp và hành lang cáp đến đường dây điện của đường sắt |
3,0 |
||
|
Đường ô tô trong nhà máy và đường chữa cháy |
Từ điểm thấp nhất của cầu cáp, hành lang cáp đến mặt đường ô tô hoặc đường chữa cháy |
4,5 |
|
|
Đường ống đặt trên mặt đất |
Từ cầu cáp, hành lang cáp đến phần gần nhất của đường ồng |
0,5 |
|
|
ĐDK |
Từ cầu cáp và hành lang cáp đến dây dẫn điện |
Khoảng cách an toàn phóng điện của ĐDK |
|
|
Đường điện thoại và đường truyền thanh |
Từ cầu cáp và hành lang cáp đến dây dẫn điện |
0,5 |
Bảng 2.4: Khoảng cách nhỏ nhất từ đường cáp điện đến đối tượng khác
|
Mô tả khoảng cách |
Khoảng cách nhỏ nhất (m) |
|
Khoảng cách từ đường cáp điện có điện áp đến 35 kV đến ống (ống nước và kênh nước) và đường ống dẫn khí có áp suất từ 0,0049MPa đến 0,588MPa. |
1,00 |
|
Khoảng cách từ đường cáp điện có điện áp đến 35 kV đến đường ống dẫn khí có áp suất từ hơn 0,588MPa đến 1,176MPa. |
2,00 |
|
Khoảng cách từ các đường cáp điện đến 35 kV đến các đường ống dẫn nhiệt. |
0,50*3 |
|
Khoảng cách từ đường cáp điện có điện áp 110 kV và 220 kV đến các đường ống (trừ đường ống nhiên liệu lỏng và khí), được đặt gần các đường ống ở đoạn có chiều dài đến 50m có các vách ngăn để tránh tác động cơ học. |
0,50 |
|
Khoảng cách từ các đường cáp điện đặt trong ranh giới đường sắt đến trục tâm của đường ray. |
3,25*4 |
|
Khoảng cách từ các đường cáp điện đến trục tâm của đường sắt chạy điện. |
10,75*4 |
|
Khoảng cách từ các đường cáp điện đến trục tâm của các đường tàu điện. |
2,75*4 |
|
Khoảng cách từ các đường cáp điện đến mép đường ô tô cấp I và II. |
0,70*5 |
Ghi chú:
- (*1) Những số trên áp dụng cho khoảng cách từ các đường cáp điện có điện áp đến 35 kV đến các đường ống (trừ đường ống nhiên liệu lỏng và khí) ở những chỗ hẹp.
- (*2) Những số trên áp dụng cho các đường cáp được đặt trong ống dọc theo toàn bộ chiều dài.
- (*3) Ống dẫn nhiệt có lớp bọc cách nhiệt suốt chiều dài giao chéo cộng thêm mỗi phía 2 m.
- (*4) Đường cáp điện lắp đặt trong hành lang đường sắt, đường sắt chạy điện, đường ô tô điện phải được thoả thuận của các cơ quan quản lý các công trình đó.
- (*5) Khoảng cách này có thể giảm nếu được thỏa thuận của cơ quan quản lý đường bộ.
2.1.19.4 Nếu đặt đường cáp điện giao chéo với các đối tượng khác như: đường ống, đường ống dẫn nhiệt, đường sắt, đường ô tô, nhà để xe, suối, mương nước hoặc bãi phù sa đường cáp điện phải bảo đảm về khoảng cách an toàn thẳng đứng giữa đường cáp và các đối tượng khác, về độ sâu an toàn tính từ bề mặt đường và các đối tượng bảo vệ được quy định trong bảng sau:
Bảng 2.5: Khoảng cách nhỏ nhất giữa dây cáp và đối tượng khác
|
Đối tượng khác |
Loại cáp |
Điều kiện |
Khoảng cách nhỏ nhất (m) |
|
Từ mặt đường sắt, đường ô tô |
Các cáp được bảo vệ |
Cáp được đặt trong ống, trong hầm cáp, khối cáp dọc toàn bộ đoạn giao cắt và dài thêm 0,5 m về cả hai phía. |
1,0 |
|
Tất cả các đường ống, trừ ống dẫn nhiệt |
Cáp không đi trong khối cáp và ống |
- Đất xung quanh cáp ổn định |
1,0 |
|
- Đất xung quanh cáp không ổn định |
1,5 |
||
|
Cáp đi trong khối cáp |
- Điều kiện bình thường |
Không quy định |
|
|
Cáp đi trong ống |
- Điều kiện bình thường |
0,25 |
|
|
Ống dẫn nhiệt |
Cáp không đi trong khối cáp và ống |
- Điều kiện đất xung quanh cáp ổn định |
1,0 |
|
- Điều kiện đất xung quanh cáp không ổn định |
1,5 |
||
|
Cáp đi trong khối cáp |
- Ống nhiệt có cách nhiệt toàn bộ phần giao nhau và thêm 2m ở cả hai bên. - Ống dẫn nhiệt được cách nhiệt để nhiệt độ của cáp xung quanh mặt đất không tăng thêm 10 oC so với nhiệt độ cao nhất vào mùa hè và 15 oC so với nhiệt độ thấp nhất trong mùa đông. |
Không quy định |
|
|
Tất cả các cáp đi trong ống |
- Như trên |
0,25 |
2.1.20 Giao chéo với đường cáp viễn thông đi ngầm
2.1.20.1 Cáp viễn thông ngầm khi vượt qua cáp điện lực phải đi bên trên cáp ngầm điện lực. Trường hợp một trong hai cáp có vỏ bọc bằng kim loại hoặc được đặt trong ống kim loại thì khoảng cách tại chỗ giao chéo là 0,25 m.
2.1.20.2 Khoảng cách ngang giữa cáp viễn thông và cáp điện lực áp cao cùng chôn trực tiếp trong đất theo quy định trong bảng sau:
Bảng 2.6: Khoảng cách giữa cáp viễn thông và cáp điện lực cùng chôn trực
tiếp trong đất
|
Khoảng cách (m) |
|
|
Đất ổn định |
Đất không ổn định |
|
1,0 (0,5*) |
1,5 (0,5*) |
Ghi chú: (*) Khoảng cách nằm ngang được giảm, nếu 2 đường cáp đều đặt trong ống.
2.1.21 Lắp đặt đường cáp điện trong gian sản xuất
2.1.21.1 Đường cáp điện trong gian sản xuất phải được lắp đặt để dễ tiếp cận khi sửa chữa hoặc không gian hở để quan sát được.
2.1.21.2 Cáp lắp đặt ở những nơi thường có máy móc, thiết bị, hàng hoá xe cộ qua lại phải được bảo vệ tránh hư hỏng bằng cách chọn cáp có vỏ chịu được tác động cơ học hoặc đặt cáp trong ống chịu lực.
2.1.21.3 Không cho phép đặt cáp song song phía trên hoặc phía dưới các ống dẫn dầu và các ống nhiên liệu lỏng theo mặt phẳng thẳng đứng; trong hầm thông gió, đặt cáp hở trong buồng cầu thang, trường hợp cáp đi chéo qua các hầm thông gió, cáp phải được đặt trong ống.
2.1.22 Độ sâu chôn cáp
Đường cáp điện lắp đặt ở độ sâu được quy định trong bảng sau theo cấp điện áp. Khi cáp đi gần các tòa nhà hoặc cấu trúc dưới lòng đất, nếu chiều dài của tuyến cáp nhỏ hơn 5 m, độ sâu chôn cáp có thể giảm xuống còn 0,5 m, nhưng cáp phải được bảo vệ chống lại các tác động cơ học.
Bảng 2.7: Độ sâu chôn cáp nhỏ nhất
|
Điện áp ( kV) |
Độ sâu nhỏ nhất (m) |
|
Đến 22 |
0,7 |
|
35 |
1,0 |
|
110 |
1,5 |
|
220 |
Đối với đường cáp điện áp nhỏ hơn 1 kV cho phép lắp đặt trong ống theo TCVN 7997: 2009.
2.1.23 Lắp đặt cáp trong đất (trong hào cáp)
2.1.23.1 Khi lắp đặt cáp trong hào cáp, phía dưới và phía trên cáp được phủ lớp cát hoặc đất mịn không lẫn sỏi, đá, xỉ quặng hoặc rác.
2.1.23.2 Suốt chiều dài đường cáp phải đặt tấm bảo vệ tránh tác động về cơ học và băng báo hiệu có đường cáp điện phía dưới:
a) Đối với cáp điện áp 110 kV trở lên phải đặt cáp trong ống hoặc trong khối cáp, phía trên có các lớp bảo vệ và băng cảnh báo theo quy định của tổ chức/đơn vị thiết kế;
b) Đối với cáp điện áp 35 kV, phía trên cáp trong hào cáp phải phủ các tấm đan bê tông với chiều dày không được nhỏ hơn 50 mm;
c) Đối với cáp điện áp dưới 35 kV, phía trên cáp trong hào cáp lát bằng tấm đan hoặc phủ lớp gạch nằm ngang với đường cáp hoặc bằng vật liệu có độ cứng tương đương;
d) Đối với cáp điện áp đến 22 kV nếu lắp đặt dưới đất sâu hơn 1 m thì không cần phải bảo vệ tránh tác động về cơ học, trừ cáp của lưới điện đô thị, cáp chui qua đường sắt, đường xe điện và đường ôtô;
đ) Đối với cáp điện áp đến 1 kV, chỉ cần bảo vệ tránh tác động về cơ học ở những đoạn có khả năng bị các tác động về cơ học.
Các quy định trên đây không áp dụng đối với các trường hợp thi công bằng phương pháp khoan ngầm.
2.1.23.3 Tuyến cáp ngầm trong đất hoặc trong nước phải có bản vẽ mặt bằng ghi rõ và đầy đủ các tọa độ tương ứng so với các mốc có sẵn của công trình đã xây dựng hoặc so với các mốc xung quanh hiện có. Ở những chỗ có hộp cáp, chỗ chuyển hướng và khoảng 50m trên tuyến cáp phải đặt dấu hiệu đánh dấu cáp phía dưới.
2.1.24 Lắp đặt đường cáp điện trong nước
Đường cáp điện đi qua sông ngòi, kênh rạch, v.v. cần đặt ở đoạn có đáy và bờ ít bị nước làm xói lở. Trường hợp đặt cáp xuống nước mà dòng chảy thường thay đổi và các bờ thường bị ngập nước và xói lở, phải chọn vị trí an toàn để đặt cột trên bờ.
Tại cột trên bờ không có kè hoàn chỉnh thì chỗ cáp chuyển tiếp xuống nước phải có dự phòng chiều dài không được nhỏ hơn 10 m đối với sông ngòi và 30 m khi đặt ở biển.
Tại cột trên bờ đã được kè ốp hoàn chỉnh thì phần cáp trên bờ và đoạn chuyển tiếp xuống nước phải đặt trong ống cáp hoặc giếng cáp.
Cáp phải chôn sâu dưới đáy không được nhỏ hơn 1 m khi đi qua sông ngòi, kênh rạch, v.v. và không được nhỏ hơn 2 m khi đi qua khu vực tàu thuyền qua lại.
Tại khu vực thường hút nạo đáy theo chu kỳ và các khu vực tàu thuyền thả neo, độ sâu đặt cáp phải được sự thoả thuận của cơ quan quản lý.
2.1.25 Lắp đặt đường cáp điện dưới biển
Lắp đặt đường cáp điện dưới biển phải chú ý đến độ sâu, tốc độ và lực đẩy của nước, của gió tại vùng cáp bắt đầu chuyển từ bờ xuống nước. Phải chú ý đến thành phần hoá học và điều kiện địa hình của đáy biển, cũng như thành phần hoá học của nước. Đường cáp điện lắp đặt dưới biển thực hiện theo quy định của tổ chức/đơn vị thiết kế và nhà sản xuất cáp.
2.1.26 Giao chéo cáp đặt dưới nước
Không cho phép đường cáp điện giao chéo với đường cáp khác trong nước. Trường hợp đặc biệt đối với đường cáp điện dưới biển giao chéo với đường cáp khác phải có biện pháp chống ảnh hưởng lẫn nhau và phải thỏa thuận với tổ chức/đơn vị thiết kế, nhà sản xuất cáp và những đơn vị quản lý liên quan.
2.1.27 Biển cảnh báo trên bờ
Tại điểm cáp vượt kênh, sông, biển phải có biển báo ở trên bờ theo quy định của luật giao thông đường thuỷ và đường biển hiện hành.
2.1.28 Lắp đặt đường cáp điện trong nhà máy điện
Lắp đặt đường cáp điện trong nhà máy điện như cách lắp đặt đường cáp điện trong gian sản xuất.
2.1.28.1 Trong khu vực của tổ máy phát điện, cho phép đặt cáp bên ngoài công trình cáp chuyên dụng với điều kiện cáp đó chắc chắn không bị hư hỏng do cơ học, bụi, tia lửa trong khi sửa chữa các thiết bị công nghệ và bảo đảm vận hành cáp thuận tiện.
2.1.28.2 Cần xây dựng các lối đi có các điểm dừng để tiếp cận với đường cáp đặt ở độ cao trên 5m. Đối với loại cáp một sợi và nhóm cáp nhỏ (đến 20 sợi) không nhất thiết phải xây các điểm dừng, nhưng phải có khả năng thay thế nhanh và sửa chữa được cáp trong quá trình vận hành.
2.1.28.3 Khi đặt cáp trong vùng của một tổ máy phát điện ở bên ngoài công trình cáp chuyên dụng, cần bảo đảm khả năng phân nhóm nhỏ cáp đi theo các tuyến khác nhau. Ở những nơi cáp đi qua tường ngăn, vào phía dưới tủ bảng điều khiển, v.v. phải có vách ngăn chống cháy.
2.1.29 Lắp đặt cáp đi theo cầu
2.1.29.1 Cáp đi theo cầu đá, cầu bê tông cốt thép, cầu sắt phải lắp đặt ở vị trí theo thỏa thuận của cơ quan quản lý cầu và phải đặt cáp trong mương cáp hoặc trong ống chống cháy.
2.1.29.2 Cáp đi theo cầu bằng gỗ (kể cả đi qua các bến đỗ tàu thuyền, v.v.) phải lắp đặt trong ống thép (trường hợp sử dụng cáp đơn pha thì phải sử dụng ống được chế tạo bằng vật liệu phi từ tính) hoặc ống bằng vật liệu có khả năng chịu lửa.
2.1.29.3 Tại chỗ cáp đi qua khe giãn nở của cầu, giữa kết cấu của cầu và của đường cáp phải có biện pháp để tránh cáp bị hư hỏng cơ học.
2.1.29.4 Tất cả đường cáp khi đi theo cầu sắt, cầu bê tông cốt thép, phải được cách điện với các phần sắt thép của cầu.
2.1.29.5 Đường cáp đặt theo cầu nên dùng loại cáp có vỏ nhôm bọc đai thép.
2.2 YÊU CẦU KỸ THUẬT ĐỐI VỚI HỆ DẪN ĐIỆN BẰNG ĐDK ĐIỆN ÁP ĐẾN 1 kV
2.2.1 Yêu cầu đối với dây dẫn điện
ĐDK điện áp đến 1 kV dùng dây dẫn trần một sợi hay nhiều sợi bện hoặc cáp vặn xoắn có tiết diện phù hợp với nhu cầu của phụ tải. Đối với nhánh rẽ từ đường dây chính tới đầu vào hộ sử dụng điện, tiết diện dây dẫn tùy thuộc vào phụ tải và chiều dài dây dẫn.
Bảng 2.8: Tiết diện nhỏ nhất hoặc đường kính nhỏ nhất của dây dẫn của ĐDK
điện áp đến 1 kV
|
Loại dây dẫn |
Tiết diện nhỏ nhất hoặc đường kính nhỏ nhất (mm2) |
|
- Dây nhôm bện |
16 |
|
- Dây nhôm bện có lõi thép - Dây hợp kim nhôm bện có lõi thép |
10 |
|
- Dây đồng bện |
4 |
|
- Dây đồng một lõi |
3 mm |
|
- Dây đồng bọc cách điện cho các đường dây nhánh có chiều dài đến 10m |
4 |
|
- Dây đồng bọc cách điện cho các đường dây nhánh có chiều dài từ hơn 10 m đến 25 m |
6 |
2.2.2 Yêu cầu đối với cáp vặn xoắn
2.2.2.1 Cáp vặn xoắn cho ĐDK điện áp đến 1 kV sử dụng ruột nhôm hoặc đồng. Cáp vặn xoắn cho ĐDK 1 kV vùng ven biển và hải đảo nên sử dụng ruột đồng.
2.2.2.2 Cáp vặn xoắn không được chôn trực tiếp dưới đất.
2.2.2.3 Các phụ kiện của cáp vặn xoắn phải đồng bộ và phù hợp với các yêu cầu của cáp và của nhà chế tạo. Thông số kỹ thuật của cáp vặn xoắn hạ áp ruột nhôm sử dụng bảng 1 của TCVN 6447.
2.2.3 Các phương pháp và điều kiện tính toán lựa chọn tiết diện dây dẫn:
Tiết diện dây dẫn phải được lựa chọn theo điều kiện phát nóng cho phép, tổn thất điện áp cho phép, dòng điện lâu dài cho phép.
Chỉ kiểm tra theo chế độ ngắn mạch đối với bảng phân phối, đường dẫn điện và tủ động lực.
2.2.4 Yêu cầu bố trí dây dẫn điện
2.2.4.1 Bố trí dây dẫn trong khu vực
a) Khoảng cách an toàn thẳng đứng từ dây dẫn thấp nhất của ĐDK đến 1 kV trong chế độ vận hành bình thường đến mặt đất theo quy định trong bảng sau:
Bảng 2.9: Khoảng cách thẳng đứng nhỏ nhất từ dây dẫn đến mặt đất
|
Khoảng cách thẳng đứng nhỏ nhất (m) |
||
|
Khu vực dân cư |
Khu vực không có dân cư |
Rẽ trên mặt vỉa hè |
|
6 |
5 |
3,5 |
b) Khoảng cách nhỏ nhất từ dây dẫn điện ngoài trời giao chéo với mặt đường cho cứu hoả, tại phần cho xe đi qua không được nhỏ hơn 6 m, tại phần xe không đi qua không được nhỏ hơn 3,5 m;
c) Khoảng cách an toàn nhỏ nhất từ dây dẫn đến tòa nhà theo quy định trong bảng sau:
Bảng 2.10: Khoảng cách nhỏ nhất từ dây dẫn đến các tòa nhà
|
Hướng |
Nơi lắp đặt |
Khoảng cách nhỏ nhất (m) |
|
Bố trí nằm ngang |
Phía tường nhà xây kín |
0,75 (0,5)*) |
|
Hướng về cửa sổ |
1,0 (0,5)*) |
|
|
Hướng về ban công |
1,0 (0,5)*) |
|
|
Bố trí thẳng đứng |
Phía trên ban công, cầu thang và mái của tòa nhà công nghiệp |
1,5 (1,0)*) |
|
Phía trên cửa sổ |
1,0 (0,5)*) |
|
|
Phía dưới cửa sổ (tính từ bậu cửa) |
1,0 (0,5)*) |
|
|
Phía dưới ban công |
1,0 (0,5)*) |
|
|
Chiều cao |
Từ mặt đất (nơi đường dây đấu vào nhà) |
2,75 |
Ghi chú: *) Dùng cho dây bọc và cáp
2.2.4.2 Bố trí dây dẫn, dây trung tính và thiết bị
a) Dây pha và dây trung tính của ĐDK điện áp đến 1 kV không cùng độ cao, phải bố trí dây trung tính phía trên dây pha;
b) Dây mạch chiếu sáng mắc chung cột với ĐDK điện áp đến 1 kV bố trí dưới dây trung tính;
c) Cầu chảy, dao cách ly phân đoạn, v.v. đặt trên cột phải bố trí thấp hơn dây dẫn điện.
2.2.4.3 Bố trí dây dẫn trên cột
Khoảng cách nhỏ nhất giữa các dây dẫn điện của ĐDK 1 mạch và nhiều mạch bố trí trên cột không được nhỏ hơn các trị số quy định trong bảng sau:
Bảng 2.11: Khoảng cách nhỏ nhất giữa các dây dẫn gần nhất trên cột ĐDK
|
Bố trí trên đường dây |
Khoảng cách giữa các dây dẫn |
Khoảng cách nhỏ nhất (m) |
|
Bố trí thẳng đứng |
- Giữa các dây trần - Giữa dây trần với dây bọc và cáp |
0,40 |
|
- Giữa các dây bọc hoặc giữa các cáp |
0,20 |
|
|
Bố trí nằm ngang |
- Giữa các dây trần khi khoảng cột đến 30 m - Giữa các dây trần khi khoảng cột trên 30 m - Giữa dây trần với dây bọc và cáp |
0,20 0,30 0,20 |
|
- Giữa các dây bọc hoặc cáp khi khoảng cột đến 6 m - Giữa các dây bọc hoặc cáp khi khoảng cột quá 6 m |
0,10 0,15 |
2.2.4.4 Bố trí dây dẫn đi chung cột
a) Cho phép ĐDK đến 1 kV đi chung cột với ĐDK điện áp đến 35 kV. ĐDK đến 1 kV phải đặt dưới dây dẫn của ĐDK đến 35 kV và phải bảo đảm khoảng cách an toàn như sau:
- Nếu ĐDK đến 1 kV sử dụng dây trần, khoảng cách không nhỏ hơn 2 m;
- Nếu ĐDK đến 1 kV sử dụng dây bọc, khoảng cách không nhỏ hơn 1 m;
b) Cho phép đường dây thông tin trên không (ĐTT) và tín hiệu trên không (ĐTH) đi chung cột với ĐDK đến 1 kV, nhưng phải thực hiện các yêu cầu sau:
- Đối với ĐDK đến 1 kV dùng dây trần, ĐTT và ĐTH phải đặt dưới dây dẫn điện của ĐDK không được nhỏ hơn 1,0 m;
- Đối với ĐDK đến 1 kV dùng dây bọc hoặc cáp, ĐTT và ĐTH phải đặt cách dây dẫn điện của ĐDK không được nhỏ hơn 0,5 m.
2.2.4.5 Bố trí dây dẫn giao chéo hoặc song song
a) Các ĐDK đến 1 kV giao chéo với nhau có thể thực hiện trên cột giao chéo. Khoảng cách các dây dẫn giao chéo bằng khoảng cách giữa các pha của dây dẫn trên cột. Cho phép giao chéo với nhau ở trong khoảng cột, khi đó khoảng cách giữa các dây gần nhau nhất của các tuyến ĐDK có điện áp đến 1 kV giao chéo ở nhiệt độ không khí cao nhất, không có gió, phải bảo đảm theo quy định trong bảng sau:
Bảng 2.12: Khoảng cách giữa các dây dẫn điện gần nhau nhất
|
Loại dây dẫn |
Khoảng cách nhỏ nhất (m) |
|
Dây bọc và cáp |
0,5 |
|
Dây trần |
1,0 |
Dây trần giao chéo với dây trần hoặc dây bọc, nếu không bảo đảm khoảng cách theo quy định là 1 m thì từng dây trần phải bổ sung lớp bọc cách điện mỗi phía 0,5 m;
b) Dây bọc và cáp giao chéo, song song với đường ống và ống nóng phải được bảo vệ khỏi tác động của nhiệt độ cao hoặc phải có đặc tính kỹ thuật phù hợp và phải bảo đảm khoảng cách theo quy định trong bảng sau:
Bảng 2.13: Khoảng cách nhỏ nhất từ dây bọc và cáp đến ống
|
Vị trí của dây cách điện, cáp và ống |
Loại ống |
Khoảng cách nhỏ nhất (mm) |
|
Dây bọc và cáp |
Các ống (trừ những ống dưới đây) |
250 |
|
cắt ngang ống |
Các ống dẫn nhiên liệu và khí cháy |
250 |
|
Dây bọc và cáp đi song song gần ống |
Các ống (trừ những ống dưới đây) |
100 |
|
Các ống dẫn nhiên liệu và khí cháy |
400 |
Ghi chú: (*) Áp dụng cho các dây bọc và cáp được bảo vệ chống tác động cơ học có chiều dài hơn 250 mm ở mỗi phía của ống.
2.2.5 Bố trí thiết bị đóng cắt và thiết bị bảo vệ
Đối với các hệ dẫn điện trong nhà và ngoài trời có điện áp đến 1 kV, thiết bị đóng cắt và bảo vệ phải được bố trí trực tiếp trên đường dây điện hoặc trong tủ phân phối. Thiết bị đóng cắt và bảo vệ phải được bố trí sao cho loại trừ khả năng tiếp xúc ngẫu nhiên tới các phần có điện.
Để thao tác tới điểm không tiếp xúc được khi đứng trên mặt đất, phải trang bị các phương tiện thích hợp và phải nhìn thấy rõ trạng thái của thiết bị đóng cắt.
2.2.6 Nối dây dẫn
Dây dẫn của ĐDK đến 1 kV phải thực hiện bằng cách nối ép, hàn, hoặc kẹp nối dây. Dây dẫn một sợi phải nối vặn xoắn trước khi hàn, không cho phép hàn đính hai đầu. Nối các dây dẫn bằng kim loại khác nhau hoặc dây dẫn có tiết diện khác nhau điện áp đến 1 kV phải thực hiện ở lèo, các mối nối này không chịu lực, không bị ăn mòn điện hoá.
Việc nối những ống kim loại có chức năng làm dây nối đất hoặc dây trung tính phải đáp ứng các yêu cầu quy định trong phần nối đất.
2.2.7 Yêu cầu đối với vật cách điện
Hệ số an toàn cơ học (tỉ số giữa tải trọng cơ học phá hủy với tải trọng tiêu chuẩn lớn nhất) của vật cách điện không được nhỏ hơn 2,5.
2.2.8 Yêu cầu đối với cột
2.2.8.1 ĐDK đến 1 kV có thể dùng các loại cột sau đây:
Cột đỡ, cột néo thẳng, cột néo góc, cột cuối, cột nhánh, cột giao chéo. Cột nhánh và cột giao chéo có thể dùng mọi loại cột nêu trên.
2.2.8.2 Tất cả các loại cột đều có thể dùng thanh chống hoặc dây néo để tăng cường khả năng chịu lực. Dây néo không được làm cản trở việc đi lại của người và phương tiện.
2.2.8.3 Tất cả các loại cột chỉ cần tính theo tải trọng cơ học ứng với chế độ làm việc bình thường của ĐDK (dây dẫn không bị đứt) trong trường hợp: áp lực gió lớn nhất và nhiệt độ thấp nhất.
Trong tính toán, cho phép chỉ tính các tải trọng chủ yếu sau đây:
a) Đối với cột đỡ: tải trọng do gió tác động theo phương nằm ngang thẳng góc với tuyến dây dẫn và kết cấu cột;
b) Đối với cột néo thẳng: tải trọng do gió tác động theo phương nằm ngang thẳng góc với tuyến dây dẫn và kết cấu cột, tải trọng dọc dây dẫn theo phương nằm ngang do lực căng chênh lệch của dây dẫn ở các khoảng cột kề tạo ra;
c) Đối với cột góc: tải trọng theo phương nằm ngang do lực căng dây dẫn hợp thành (hướng theo trục của xà), tải trọng theo phương nằm ngang do gió tác động lên dây dẫn và kết cấu;
d) Đối với cột cuối: tải trọng theo phương nằm ngang tác động dọc tuyến ĐDK do lực căng về một phía của dây dẫn và do gió tác động;
2.2.8.4 ĐDK có thể dùng cột thép, cột bê tông cốt thép.
2.2.8.5 Khi đặt cột ở đoạn tuyến bị ngập nước, có thể bị xói lở, phải có biện pháp chống xói lở.
2.2.9 Khoảng cách từ mép móng của cột đến các vật thể khác
Khoảng cách từ mép ngoài móng cột của các ĐDK đến 1 kV tới các vật thể khác phải bảo đảm khoảng cách an toàn.
Bảng 2.14: Khoảng cách nhỏ nhất từ mép ngoài của móng cột đến vật thể khác
|
Vật thể khác |
Khoảng cách nhỏ nhất (m) |
|
Đường ống dẫn nước, khí, hơi nước, thải nhiệt hoặc nước |
0,5 |
|
Họng chữa cháy, hào nước hoặc giếng nước |
2,0 |
|
Trạm xăng dầu |
10,0 |
|
Cáp ngầm (trừ cáp thông tin và cáp tín hiệu) |
1,0 (0,5*) |
|
Cáp ngầm đặt trong ống |
0,5 |
Ghi chú: (*) Áp dụng cho móng cột có biện pháp không gây nguy hiểm cho cáp ngầm.
2.3 YÊU CẦU KỸ THUẬT ĐỐI VỚI HỆ DẪN ĐIỆN BẰNG ĐDK ĐIỆN ÁP TRÊN 1 kV
2.3.1 Quy định chung
2.3.1.1 Dây dẫn
a) ĐDK điện áp trên 1 kV đến 35 kV sử dụng dây dẫn trần, dây bọc cách điện, cáp vặn xoắn hoặc cáp bọc;
Đặc tính kỹ thuật cáp trung áp vặn xoắn và cáp bọc trung áp xem Phụ lục G-9.
b) Các pha của ĐDK điện áp 110 kV đến 500 kV sử dụng các dây dẫn trần đơn pha hoặc nhiều dây phân pha.
2.3.1.2 Điều kiện sử dụng
a) Tiết diện: Theo sức bền cơ học dựa vào điều kiện khí hậu và công suất truyền tải;
b) Số lượng dây dẫn nhiều sợi: Theo công suất truyền tải và vầng quang;
c) Khoảng cách giữa các dây dẫn nhiều sợi: Theo lực điện từ trong trường hợp ngắn mạch và khả năng chịu lực của vật đỡ.
2.3.2 Dây dẫn điện
2.3.2.1 Điều kiện tính toán và lựa chọn dây dẫn điện
2.3.2.1.1 Phương pháp tính toán về điện
a) Mật độ dòng điện kinh tế;
b) Tổn thất điện áp cho phép;
c) Độ phát nóng cho phép;
d) Dòng điện lâu dài cho phép;
đ) Điều kiện vầng quang;
e) Điều kiện ngắn mạch;
g) Điều kiện ổn định động, ổn định tĩnh, ổn định nhiệt.
2.3.2.1.2 Phương pháp tính toán về cơ lý
a) Dây dẫn: tính theo phương pháp ứng suất cho phép;
b) Cách điện và phụ kiện: tính theo phương pháp tải trọng phá huỷ;
c) Cột và móng: tính theo phương pháp trạng thái giới hạn.
Tải trọng tác động phải theo TCVN 2737:2023.
2.3.2.1.3 Điều kiện tính toán về khí hậu
a. Chế độ bình thường:
- Nhiệt độ không khí cao nhất Tmax, áp lực gió q = 0;
- Nhiệt độ không khí thấp nhất Tmin, áp lực gió q = 0;
- Nhiệt độ không khí trung bình năm Ttb, áp lực gió q = 0;
- Áp lực gió lớn nhất qmax, nhiệt độ không khí T = 25 oC.
b. Chế độ sự cố:
- Nhiệt độ không khí thấp nhất Tmin, áp lực gió q = 0;
- Nhiệt độ không khí trung bình năm Ttb, áp lực gió q = 0;
- Áp lực gió lớn nhất qmax, nhiệt độ không khí T = 25 oC.
Trong chế độ sự cố của ĐDK, áp lực gió tính toán lớn nhất qmax cho phép lấy theo Tiêu chuẩn tác động và tải trọng TCVN 2737:2023.
2.3.2.1.4 Điều kiện tính toán về cơ học
a) Chế độ bình thường của ĐDK là chế độ làm việc khi dây dẫn hoặc dây chống sét không bị đứt;
b) Chế độ sự cố đứt dây của ĐDK là chế độ làm việc khi một hoặc một số dây dẫn hoặc dây chống sét bị đứt;
c) Chế độ lắp đặt của ĐDK là trạng thái của đường dây trong quá trình dựng cột, lắp đặt dây dẫn hoặc dây chống sét.
2.3.2.1.5 Tính toán cơ lý cho trường hợp khu vực có băng tuyết:
- Tải trọng băng: Tải trọng băng thiết kế áp dụng theo công thức:
g= 27.7 t (d+t/1000)
t: chiều dày xuyên tâm lớp băng, giả định là đồng nhất xung quanh dây dẫn (mm)
d: đường kính dây dẫn (m)
g: Tải trọng đơn vị băng bám trên thiết bị (N/m).
- Nhiệt độ tính toán: Tbăng = -5oC
- Áp lực gió khi tính toán: q=25daN/m2
- Hệ số khí động học: Cx = 1.2;
- Tải trọng tính toán, hệ số tin cậy trong kết cấu xây dựng: Tuân thủ theo Tải trọng và tác động - Tiêu chuẩn thiết kế TCVN 2737:2023. Trong tổ hợp các thành phần tính toán này đối với khu vực băng tuyết thì: trọng lượng dây dẫn đã được bổ sung thêm thành phần trọng lượng băng, thành phần áp lực gió tác dụng lên dây dẫn được tính toán cho trường hợp dây dẫn có băng bám theo đường kính quy đổi do băng bám.
2.3.2.2 Lựa chọn tiết diện dây dẫn theo mật độ dòng điện kinh tế
Phải lựa chọn dây dẫn và cáp có điện áp trên 1 kV theo mật độ dòng điện kinh tế bằng công thức:

Trong đó:
I- là dòng điện tính toán lớn nhất của đường dây trong chế độ làm việc bình thường có tính đến tăng trưởng phụ tải theo qui hoạch, không kể đến dòng điện tăng do sự cố hệ thống hoặc phải cắt điện để sửa chữa bất kỳ phần tử nào trên lưới.
J- mật độ dòng điện kinh tế tham khảo bảng 2.15.
Sau đó tiết diện tính toán được quy về tiết diện tiêu chuẩn gần nhất và kiểm tra theo điều kiện phát nóng lâu dài, tổn thất điện điện áp, điều kiện ổn định nhiệt khi ngắn mạch, điều kiện cơ học cho phép và điều kiện mối trường và cách lắp đặt.
2.3.2.2.1 Lựa chọn tiết diện dây dẫn theo mật độ dòng điện kinh tế được quy định trong bảng sau:
Bảng 2.15: Mật độ dòng điện kinh tế
|
Vật liệu dẫn điện |
Mật độ dòng điện kinh tế Jkt (A/mm2) |
||
|
Số giờ sử dụng phụ tải lớn nhất trong năm (h) |
|||
|
Từ 1000 đến 3000 |
Từ trên 3000 đến 5000 |
Trên 5000 |
|
|
Thanh và dây trần: |
|
|
|
|
- Đồng |
2.5 |
2.1 |
1.8 |
|
- Nhôm (nhôm lõi thép) |
1.3 |
1.1 |
1.0 |
|
Dây bọc cách điện: |
|
|
|
|
- Đồng |
3,5 |
3,1 |
2,7 |
|
- Nhôm (nhôm lõi thép) |
1,9 |
1,7 |
1,6 |
2.3.2.2.2 Khi sử dụng các số liệu theo quy định ở bảng trên, được phép điều chỉnh như sau:
a) Nếu phụ tải lớn nhất xuất hiện vào ban đêm thì Jkt được tăng thêm 40%;
b) Với dây bọc cách điện có tiết diện đến 16 mm2 thì Jkt được tăng thêm 40%;
c) Đối với ĐDK tiết diện đồng nhất có n phụ tải rẽ nhánh dọc theo chiều dài thì Jkt ở đoạn đầu đường dây được tăng K1 lần. K1 xác định theo công thức:

Trong đó:
- I1, I2, ... In là các dòng điện của từng đoạn đường dây
- I1, I2, ... In là chiều dài từng đoạn đường dây
- L là chiều dài toàn bộ đường dây
d) Nếu ĐDK dài có nhiều phụ tải phân bố dọc đường dây thì nên chia đường dây thành 2 đoạn để lựa chọn 2 loại tiết diện khác nhau. Không nên chọn tới 3 loại tiết diện trên một trục của ĐDK;
đ) Khi chọn tiết diện dây dẫn cho nhiều hộ tiêu thụ cùng loại dự phòng lẫn nhau (ví dụ bơm nước, chỉnh lưu, v.v.) gồm n thiết bị, trong đó m thiết bị làm việc đồng thời, số thiết bị còn lại là dự phòng, thì Jkt được tăng K2 lần. K2 xác định theo công thức:

e) Trong quá trình cải tạo nâng cấp và vận hành trong thời gian ngắn khi chưa có thể tăng số đường dây hoặc số mạch, cho phép tăng mật độ dòng điện kinh tế lớn hơn mức nêu trên, nhưng phải kiểm tra theo điều kiện phát nóng cho phép và tính toán kinh tế kỹ thuật;
g) Dòng điện tải được tính theo phụ tải sử dụng và hệ số đồng thời khi sử dụng đồng thời nhiều phụ tải.
2.3.2.2.3 Hệ số đồng thời cho tính toán (Hộ tiêu thụ thuần)
Hệ số đồng thời để tính phụ tải lớn nhất của các hộ tiêu thụ thuần lấy như sau:
Phụ tải chiếu sáng công cộng: k = 1
Phụ tải sinh hoạt: k = 0,9
Phụ tải thương mại, dịch vụ, văn phòng: k = 0,85
Phụ tải tiểu thủ công nghiệp: k = 0,4 - 0,5
2.3.2.2.4 Công thức cho tính toán:
Nếu không có cơ sở lựa chọn hệ số đồng thời chắc chắn do phụ tải hỗn hợp, có thể áp dụng công thức gần đúng sau:
Pmax = Kđt (Passh + Pcn,tcn+ Pnn) = Kđt∑P
Trong đó:
Passh: tổng nhu cầu công suất cho ánh sáng sinh hoạt
Pcn,tcn: tổng nhu cầu công suất cho công nghiệp, tiểu thủ công nghiệp
Pnn: tổng nhu cầu công suất cho nông nghiệp
Kđt là hệ số đồng thời công suất của các phụ tải, có thể chọn như sau:
Khi Passh ≤ 0,5 ∑P, thì lấy Kđt = 0,6
Khi Passh = 0,7 ∑P, thì lấy Kđt = 0,7
Khi Passh = ∑P, thì lấy Kđt = 0,9
Các trường hợp khác, Kđt có thể ngoại suy.
2.3.2.2.5 Hệ số đồng thời để tính toán (Đường dây điện)
Hệ số đồng thời để tính phụ tải của đường dây có điện áp từ 6 kV đến 35 kV:
Đối với đường dây có 3-5 trạm biến áp, lấy Kđt = 0,9
Đối với đường dây có 6-10 trạm biến áp, lấy Kđt = 0,8
Đối với đường dây có 11-20 trạm biến áp, lấy Kđt = 0,75
Đối với đường dây có trên 20 trạm biến áp, lấy Kđt = 0,7
2.3.2.2.6 Không tính toán lựa chọn theo mật độ dòng điện kinh tế trong các trường hợp sau:
a) Thanh cái mọi cấp điện áp;
b) Dây dẫn đến biến trở, điện trở khởi động;
c) Lưới điện tạm thời và lưới điện có thời gian sử dụng dưới 5 năm.
2.3.2.3 Lựa chọn theo tổn thất điện áp cho phép
Tổn thất điện áp lớn nhất trên dây dẫn (∆Umax) được lựa chọn theo tổn thất điện áp cho phép (∆Ucp) và kiểm tra lại theo điều kiện phát nóng lâu dài cho phép, điều kiện ổn định nhiệt khi ngắn mạch, điều kiện cơ học và điều kiện môi trường và lắp đặt:
∆Umax ≤ ∆Ucp
Tổn thất điện áp cho phép cụ thể từng trường hợp phụ thuộc vào yêu cầu của loại hình phụ tải, kể cả khi khởi động các động cơ điện và có tính đến việc tăng trưởng phụ tải trong tương lai. Chi tiết tính toán độ tổn thất điện áp xem Phụ lục H-1.
2.3.2.4 Lựa chọn theo độ phát nóng cho phép
2.3.2.4.1 Các trường hợp dây dẫn được lựa chọn theo nhiệt độ phát nóng cho phép:
a) Các trường hợp sau đây dây dẫn được lựa chọn theo nhiệt độ phát nóng cho phép, sau đó kiểm tra thêm các chỉ tiêu khác, như độ sụt áp cho phép, độ ổn định điện động, giới hạn tiết diện về tổn thất vầng quang:
- Thanh cái mọi cấp điện áp;
- Dây dẫn đến biến trở, điện trở khởi động;
- Lưới điện tạm thời và lưới điện có thời gian sử dụng dưới 5 năm;
- Các trường hợp khác thì độ phát nóng cho phép chỉ dùng để kiểm tra lại dây dẫn sau khi đã được lựa chọn theo mật độ dòng điện kinh tế hoặc tổn thất điện áp cho phép.
b) Nhiệt độ phát nóng cho phép của dây trần hoặc cáp được xác định theo cách bố trí, theo vỏ bọc cách điện, theo điện áp của cáp.
2.3.2.4.2 Nhiệt độ độ phát nóng cho phép của dây dẫn và cáp theo điều kiện ngắn mạch:
Phải kiểm tra nhiệt độ phát nóng cho phép của dây dẫn và cáp để không bị phá huỷ hay bị biến dạng khi ngắn mạch, bảo đảm cho công trình vẫn tiếp tục vận hành bình thường.
Chi tiết xác định độ phát nóng cho phép khi ngắn mạch xem Phụ lục H-2.
2.3.2.5 Lựa chọn theo dòng điện lâu dài cho phép
Lựa chọn tiết diện của hệ dẫn điện trong nhà và ngoài trời theo dòng điện lâu dài cho phép phải bảo đảm ở điều kiện bình thường và sau sự cố. Phải tính đến khả năng tăng phụ tải, nhưng không cao hơn 25-30 % dòng điện tính toán.
Chi tiết xác định dòng điện lâu dài cho phép của dây dẫn điện trần xem Phụ lục H-3.
Đặc tính kỹ thuật và dòng điện lâu dài cho phép của dẫn điện trần ACSR xem Phụ lục H-4.
2.3.2.6 Lựa chọn dây dẫn trần và thanh dẫn với tiết diện lớn
Chọn dây dẫn và thanh dẫn với tiết diện lớn thì phải chọn theo mật độ dòng điện kinh tế và phải có cấu hình thích hợp để giảm tối đa tổn thất do hiệu ứng bề mặt, hiệu ứng ở gần và phải bảo đảm làm mát tốt nhất.
Chi tiết xác định dòng điện lâu dài cho phép của thanh dẫn xem Phụ lục H-5.
2.3.2.7 Lựa chọn theo độ bền cơ học
Theo độ bền cơ học, đối với ĐDK có điện áp trên 1 kV, phải dùng dây dẫn hoặc dây chống sét nhiều sợi loại bện có tiết diện nhỏ nhất theo bảng sau:
Bảng 2.16: Tiết diện nhỏ nhất của dây dẫn điện và dây chống sét của ĐDK điện
áp trên 1 kV
|
Mô tả ĐDK |
Tiết diện nhỏ nhất (mm2) |
|||
|
Nhôm |
Hợp kim nhôm hoặc nhôm lõi thép |
Thép |
Đồng |
|
|
Trong khoảng cột bình thường của ĐDK |
35 |
25 |
25 |
16 |
|
Trong khoảng cột của ĐDK vượt sông và kênh ở những nơi có tàu thuyền đi qua |
70 |
35 |
25 |
25 |
|
Trong khoảng cột của ĐDK giao cắt với đường dây thông tin, đường ống trên mặt đất, đường cáp và đường sắt. |
70 |
35 |
25 |
25 |
2.3.2.8 Lựa chọn theo ứng suất cho phép
2.3.2.8.1 Phải tính ứng suất dây dẫn hoặc dây chống sét theo các điều kiện sau đây:
a) Tải trọng ngoài lớn nhất;
b) Nhiệt độ thấp nhất và không có tải trọng ngoài;
c) Nhiệt độ trung bình năm và không có tải trọng ngoài.
Ứng suất cho phép lớn nhất của dây dẫn hoặc dây chống sét theo các điều kiện trên ghi trong bảng sau:
Bảng 2.17: Ứng suất cho phép của dây dẫn và dây chống sét tính theo % ứng
suất kéo đứt
|
Dây dẫn và dây chống sét |
Tiết diện (mm2) |
Ứng suất cho phép tính theo % ứng suất kéo đứt |
|
|
Khi tải trọng ngoài lớn nhất và nhiệt độ thấp nhất |
Khi nhiệt độ trung bình năm |
||
|
Dây nhôm |
16 ÷ 35 |
35 |
25 |
|
50 ÷ 70 |
40 |
||
|
95 |
40 |
||
|
≥ 120 |
45 |
||
|
Dây hợp kim nhôm |
16 ÷ 95 |
40 |
30 |
|
≥ 120 |
45 |
||
|
Dây chống sét bằng thép |
Không quy định |
50 |
30 |
|
Dây nhôm lõi thép và hợp kim nhôm thép tăng cường |
16 ÷ 25 |
35 |
25 |
|
35 ÷ 95 |
40 |
||
|
≥ 120 (A:C=6,11÷6,25) |
40 (50*1) |
||
|
≥ 120 (A:C=4,29÷4,39) |
45 (50*1) |
||
|
≥ 150 |
45 (50*1) |
||
|
Dây đồng |
Không quy định |
50 (40*2) |
30 |
Ghi chú:
- (*1) Đối với ĐDK dùng dây nhôm lõi thép có tiết diện 120 mm2 trở lên ứng suất cao nhất được phép lấy đến 50% ứng suất kéo đứt khi áp lực gió tính toán q ≥100daN/m2.
- (*2) Dây đồng có tiết diện đến 95 mm2 trong khu vực dân cư và tại chỗ giao chéo với công trình khác, ứng suất cho phép lấy bằng 40% ứng suất kéo đứt của dây dẫn.
2.3.2.8.2 Ứng suất phát sinh ở điểm mắc dây cao nhất trên mọi cột của ĐDK kể cả ở khoảng vượt lớn không được vượt quá 110% đối với dây nhôm lõi thép, 105% đối với các loại dây dẫn khác so với ứng suất cho phép.
2.3.2.9 Điều kiện khí hậu tính toán ảnh hưởng đối với dây dẫn
2.3.2.9.1 Điều kiện khí hậu để tính và lựa chọn kết cấu ĐDK phải căn cứ vào Quy chuẩn kỹ thuật Quốc gia về số liệu tự nhiên dùng trong xây dựng QCVN 02:2022/BXD.
2.3.2.9.2 Áp lực gió
Giá trị của áp lực gió cơ sở theo vùng theo Quy chuẩn Việt Nam QCVN 02:2022/BXD. Giá trị tiêu chuẩn của tải trọng gió phải được tính toán cụ thể cho từng vị trí theo điều kiện gió không đồng đều, theo điều kiện khí hậu, theo độ cao treo dây, theo đặc tính khoảng vượt, v.v.
Giá trị tiêu chuẩn của tải trọng gió áp dụng cho các dây dẫn điện và dây chống sét của ĐDK có điện áp trên 1 kV phải được tính theo công thức sau:
P = a * Cx * K1 * q * F * sin2φ * k(Ze)
P : Áp lực gió tiêu chuẩn (daN)
a: Hệ số không đồng đều áp lực gió trong khoảng cột
Cx: Hệ số khí động lực
- 1,1: Đường kính dây dẫn điện và dây chống sét là 20 mm và lớn hơn.
- 1,2: Đường kính dây dẫn điện và dây chống sét nhỏ hơn 20 mm.
K1: Hệ số biến đổi có tính đến ảnh hưởng của khoảng vượt lên áp lực gió
q: lấy bằng giá trị áp lực gió cơ sở W0 theo phân vùng gió trên lãnh thổ Việt Nam theo QC 02:2022/BXD.
F : Diện tích cản gió của dây dẫn điện hoặc dây chống sét (m2)
φ: Góc giữa hướng gió và trục của tuyến đường dây.
k(ze): là hệ số kể đến sự thay đổi áp lực gió theo độ cao và dạng địa hình tại độ cao tương đương Ze lấy theo TCVN 2737:2023.
Bảng 2.18: Hệ số “a” áp lực gió không đồng đều
|
Áp lực gió (daN/m2) |
Hệ số áp lực gió không đồng đều (*) |
|
27 |
1,00 |
|
40 |
0,85 |
|
55 |
0,75 |
|
76 và lớn hơn |
0,70 |
Ghi chú: (*) Các giá trị trung gian tính nội suy.
Bảng 2.19: Hệ số “K1” biến đổi có tính đến ảnh hưởng của khoảng vượt lên áp
lực gió
|
Chiều dài khoảng vượt (m) |
Hệ số biến đổi (*) |
|
Đến 50 |
1,20 |
|
100 |
1,10 |
|
150 |
1,05 |
|
250 và lớn hơn |
1,00 |
Ghi chú: (*) Các giá trị trung gian tính nội suy.
2.3.2.9.3 Giá trị tính toán của tải trọng gió lên dây dẫn, dây chống sét
Hệ số độ tin cậy của tải trọng gió lấy bằng 1,2 đối với công trình có thời gian sử dụng dự kiến là 50 năm. Khi thời gian sử dụng dự kiến khác đi thì giá trị tính toán của tải trọng gió phải thay đổi bằng cách nhân với hệ số trong bảng sau:
|
Thời gian sử dụng dự kiến, năm |
5 |
10 |
20 |
30 |
40 |
50 |
|
Hệ số điều chỉnh tải trọng gió |
0,61 |
0,72 |
0,83 |
0,91 |
0,96 |
1 |
Thời gian sử dụng dự kiến áp dụng theo các giá trị cho trong bảng sau:
Bảng 2.20: Thời gian sử dụng dự kiến
|
Điện áp ( kV) |
Thời gian sử dụng dự kiến (năm) |
|
Trên 1 đến 35 |
15 |
|
110 |
20 |
|
220 |
30 |
|
500 |
40 |
2.3.2.9.4 Yêu cầu đặc biệt của áp lực gió tiêu chuẩn
Áp lực gió tiêu chuẩn của các ĐDK có điện áp trên 1 kV đến 22 kV lên dây dẫn ở độ cao dưới 12 m được phép giảm 15 %, trừ trường hợp đã vận dụng hệ số che chắn để giảm áp lực gió trong các vùng khuất gió.
2.3.2.9.5 Chiều cao quy đổi của dây dẫn điện và dây chống sét
a) Dây dẫn ở khoảng cột bình thường
Áp lực gió tác động vào dây dẫn của ĐDK được xác định ở độ cao trọng tâm quy đổi của tất cả các dây. Độ cao trọng tâm quy đổi của dây dẫn xác định theo công thức:

hqd : Độ cao quy đổi về điểm trọng tâm của tất cả các dây dẫn (m)
htb : Độ cao trung bình mắc dây dẫn vào cách điện (m)
f : Độ võng lớn nhất của các dây dẫn (ở nhiệt độ cao nhất) (m)
b) Dây chống sét ở khoảng cột bình thường
Áp lực gió tác động lên dây chống sét phải được xác định theo độ cao bố trí trọng tâm của các dây chống sét;
c) Áp lực gió tác động lên các dây dẫn và dây chống sét ở khoảng vượt lớn phải được xác định theo các quy định bổ sung sau:
- Trong trường hợp khoảng vượt chỉ có một khoảng cột, độ cao trọng tâm quy đổi của các dây dẫn điện và dây chống sét được tính theo công thức sau:

hqd : Độ cao quy đổi về điểm trọng lực của các dây dẫn điện và dây chống sét ở khoảng vượt (m)
h1, h2 : Độ cao từ điểm mắc dây dẫn điện hoặc dây chống sét tính từ mặt đất hoặc mặt nước bình thường của sông, vịnh, vv. (m)
f : Độ võng lớn nhất của các dây dẫn (ở nhiệt độ cao nhất) (m)
- Trong trường hợp khoảng vượt bao gồm nhiều khoảng cột, độ cao trọng tâm quy đổi của dây dẫn hoặc dây chống sét phải tính chung cho cả khoảng vượt (giới hạn bằng 2 cột néo hãm), theo công thức:

hqd, hqd2, ...hqdn : Độ cao quy đổi về điểm trọng lực của các dây dẫn điện và dây chống sét ở từng khoảng vượt (m)
l1, l2, ... ln : Chiều dài từng khoảng vượt (m)
2.3.2.9.6 Hướng gió tính toán
- Gió tác động vào dây dẫn điện và dây chống sét phải lấy hướng góc 90o, 45o và 0o với tuyến đường dây;
- Gió tác động vào cột điện phải lấy hướng gió hợp với tuyến đường dây góc 90o và 45o
2.3.2.9.7 Các chế độ thiết kế theo điều kiện khí hậu
Điều kiện khí hậu khi thiết kế ĐDK có điện áp trên 1 kV phải tuân thủ các nội dung trong bảng sau:
Bảng 2.21: Nhiệt độ không khí và áp lực gió khi thiết kế
|
Điều kiện |
Nhiệt độ không khí |
Áp lực gió |
|
Chế độ bình thường |
Cao nhất Tmax |
q=0 |
|
Thấp nhất Tmin |
q=0 |
|
|
Trung bình năm Ttb |
q=0 |
|
|
25 0C |
q = W0 |
|
|
-5 oC (nếu có băng tuyết) |
q=25 daN/m2 (nếu có băng tuyết) |
|
|
Chế độ sự cố |
Thấp nhất Tmin |
q=0 |
|
Trung bình năm Ttb |
q=0 |
|
|
25 oC |
q = W0 |
Ghi chú: W0 là giá trị áp lực gió cơ sở theo phân vùng gió trên lãnh thổ Việt Nam lấy theo QCVN 02:2022/BXD.
2.3.2.9.8 Điều kiện kiểm tra khoảng cách từ các phần mang điện đến các kết cấu cột
Khoảng cách từ các phần mang điện của ĐDK có điện áp trên 1 kV đến các phần không mang điện của các kết cấu cột phải được kiểm tra bằng tính toán trong các điều kiện khí hậu cho trong bảng sau:
Bảng 2.22: Nhiệt độ không khí và áp lực gió khi kiểm tra khoảng cách
|
Điện áp |
Nhiệt độ không khí |
Áp lực gió |
|
Điện áp làm việc |
25 oC |
q = W0 |
|
Quá điện áp khí quyển |
20 oC |
q = 0.1 W0 |
|
Quá điện áp nội bộ |
20 oC |
Q = 0.1 W0 |
Góc lệch γ theo hướng thẳng đứng của chuỗi sứ treo do tác động của gió được tính theo công thức sau:

γ : Góc lệch theo hướng thẳng đứng của chuỗi sứ do tác động của gió
K: Hệ số dao động của dây dẫn. Giá trị này phụ thuộc vào áp lực gió cho trong bảng tiếp theo.
P2: Giá trị tính toán của áp lực gió tác động lên dây dẫn có tính đến lực nằm ngang do kéo căng trong trường hợp góc đỡ (daN/m2)
Gd: Tải trọng của dây dẫn tác động lên chuỗi sứ (daN)
Gc: Trọng lượng của chuỗi sứ (daN)
Bảng 2.23: Hệ số dao động “K” của dây dẫn
|
Áp lực gió (daN/m2) |
Hệ số dao động của dây dẫn K |
|
40 |
1,00 |
|
45 |
0,95 |
|
55 |
0,90 |
|
65 |
0,85 |
|
80 |
0,80 |
|
100 và lớn hơn |
0,75 |
2.3.2.10 Kiểm tra theo điều kiện vầng quang
Đối với cấp điện áp 110 kV trở lên, dây dẫn phải được kiểm tra theo điều kiện vầng quang, theo nhiệt độ trung bình và mật độ không khí phụ thuộc độ cao so với mặt biển. Độ cao đến 1000m so với mực nước biển, dây dẫn không phân pha phải có tiết diện không được nhỏ hơn quy định trong bảng sau:
Bảng 2.24: Tiết diện nhỏ nhất của 1 dây dẫn điện theo điều kiện vầng quang
|
Điện áp ( kV) |
Tiết diện nhỏ nhất (mm2) |
|
110 |
70 |
|
220 |
240 |
|
500 |
330 |
Chi tiết kiểm tra theo điều kiện vầng quang xem Phụ lục I.
2.3.2.11 Kiểm tra theo điều kiện ngắn mạch
2.3.2.11.1 Sơ đồ tính toán dòng ngắn mạch
Phải tính dòng ngắn mạch ở sơ đồ phát triển nguồn, lưới ít nhất cho giai đoạn 10 năm sau khi đưa thiết bị vào vận hành (cho phép tính gần đúng).
Phải xét đến các trường hợp ngắn mạch sau:
a) Ngắn mạch 3 pha để kiểm tra ổn định điện động của thiết bị, thanh dẫn, dây dẫn và kết cấu đỡ;
b) Ngắn mạch 3 pha để kiểm tra ổn định nhiệt của thiết bị, thanh dẫn, dây dẫn. Ở điện áp máy phát, chọn dòng ngắn mạch 3 pha hoặc 2 pha theo dạng nào gây phát nhiệt lớn hơn;
c) Dòng ngắn mạch 3 pha và 1 pha chạm đất, chọn giá trị lớn hơn để kiểm tra khả năng đóng cắt dòng ngắn mạch của thiết bị. Nếu máy cắt có hai trị số dòng cắt 3 pha và 1 pha thì phải chọn cả hai dòng ngắn mạch trên.
2.3.2.11.2 Tính toán thời gian ổn định nhiệt
Khi kiểm tra ổn định nhiệt, thời gian tính toán bằng tổng thời gian tác động của rơ-le và thời gian cắt của máy cắt bao gồm cả thời gian dập hồ quang. Nếu bộ bảo vệ chính có vùng chết (theo dòng điện, điện áp, điện trở, v.v.) thì phải kiểm tra ổn định nhiệt theo thời gian tác động của bộ bảo vệ dự phòng cộng thêm thời gian cắt của máy cắt.
2.3.2.11.3 Kiểm tra tăng nhiệt độ do thiết bị tự đóng lại không thành công
Khi kiểm tra ổn định nhiệt của thiết bị và dây dẫn của đường dây có thiết bị tự đóng lại tác động nhanh, phải tính đến việc tăng nhiệt độ do tăng tổng thời gian ngắn mạch khi đóng lặp lại không thành công.
2.3.2.11.4 Kiểm tra dây dẫn phát nóng theo điều kiện ngắn mạch, các dây phân pha được coi như một dây có tiết diện bằng tổng tiết diện các dây phân pha.
2.3.2.11.5 Chọn dòng điện ngắn mạch
a) Các thiết bị và dây dẫn của mạch điện phải chọn theo dòng điện ngắn mạch lớn nhất chạy qua và phải chịu được dòng điện ngắn mạch lớn nhất trong thời gian 1 giây;
b) Dòng điện ngắn mạch lớn nhất tại một điểm phải tính tất cả các nguồn điện nối vào điểm đó khi xảy ra sự cố ngắn mạch 3 pha;
c) Phải kiểm tra khả năng hệ dẫn điện mềm bị chập nhau khi ngắn mạch, kiểm tra khả năng bị phá huỷ hay bị biến dạng để công trình vẫn tiếp tục vận hành bình thường;
d) Lực điện động tác động lên dây dẫn, truyền đến cách điện và kết cấu đỡ phải được tính toán kiểm tra theo dòng điện ngắn mạch 3 pha tức thời lớn nhất, có xét đến sự lệch pha giữa các dòng điện và bỏ qua dao động cơ học của kết cấu thanh dẫn;
đ) Lực cơ học do dòng điện ngắn mạch truyền qua dây dẫn, thanh dẫn đến cách điện không được vượt quá 60 % lực phá huỷ nhỏ nhất của cách điện nếu là cách điện đơn và không được quá 100 % lực phá huỷ của cách điện nếu là cách điện bố trí kép.
2.3.2.11.6 Phải kiểm tra theo điều kiện ngắn mạch:
a) Thiết bị điện, cáp, dây dẫn, kết cấu đỡ và kết cấu chịu lực của chúng;
b) ĐDK có dòng điện ngắn mạch xung kích từ 50 kA trở lên để tránh chập dây do lực điện động khi ngắn mạch. Ngoài ra, đối với đường dây phân pha còn phải kiểm tra khoảng cách giữa các khung định vị trong từng pha. Đối với ĐDK có thiết bị tự đóng lại tác động nhanh, phải kiểm tra về ổn định nhiệt.
2.3.2.11.7 Không phải kiểm tra theo điều kiện ngắn mạch:
a) Ổn định động cho dây dẫn được bảo vệ bằng cầu chảy có dòng điện danh định đến 60A và ổn định nhiệt đối với dây dẫn được bảo vệ bằng mọi loại cầu chảy;
b) Các dây dẫn cấp điện cho các hộ dùng điện lẻ, kể cả cho các máy biến áp phân xưởng có tổng công suất đến 1 MVA, điện áp sơ cấp đến 22 kV, nếu đồng thời thoả mãn các điều kiện sau:
- Hộ tiêu thụ đã có biện pháp dự phòng để không làm ảnh hưởng tới quá trình công nghệ khi mất điện;
- Khi ngắn mạch, dù dây dẫn có bị hỏng cũng không gây nổ;
- Có thể thay dây dẫn dễ dàng;
c) Dây dẫn các ĐDK trừ các dây dẫn nêu ở Khoản 6 Điều này;
d) Thanh dẫn và thiết bị của mạch biến điện áp đặt trong ngăn riêng biệt hoặc đặt sau điện trở phụ.
Chi tiết kiểm tra theo điều kiện ngắn mạch cho thanh dẫn xem Phụ lục K.
2.3.2.12 Dây dẫn điện hợp kim nhôm chịu nhiệt
Dây dẫn điện hợp kim nhôm chịu nhiệt có 4 loại với các đặc tính kỹ thuật như sau:
2.3.2.12.1 Cho phép làm việc liên tục trong thời hạn 40 năm với nhiệt độ:
Loại 1: 150 oC; Loại 2: 150 oC; Loại 3: 210 oC; Loại 4: 230 oC;
2.3.2.12.2 Cho phép làm việc trong thời hạn 400 giờ với nhiệt độ:
Loại 1: 180 oC; Loại 2: 180 oC; Loại 3: 240 oC; Loại 4: 310 oC.
Chi tiết đặc tính kỹ thuật của dây dẫn hợp kim chịu nhiệt theo quy định của nhà chế tạo.
2.3.2.13 Lựa chọn dây chống sét
Dây chống sét, ngoài việc bảo đảm các điều kiện về tính toán cơ lý, phải kiểm tra điều kiện ổn định nhiệt trong trường hợp xảy ra ngắn mạch 1 pha.
Trên đoạn ĐDK có mắc dây chống sét qua cách điện thì không cần phải kiểm tra ổn định nhiệt. Dây chống sét cáp quang (OPGW) được chọn theo độ bền cơ học và kiểm tra ổn định nhiệt như với dây chống sét thường.
Tính toán lựa chọn dây chống sét được quy định như sau:
Dây chống sét được chọn phải thỏa mãn điều kiện ổn định nhiệt khi ngắn mạch 1 pha. Dòng điện ngắn mạch cho phép trong dây chống sét được tính theo công thức sau:

Trong đó:
I: Dòng điện ngắn mạch cho phép (A)
t: Thời gian ngắn mạch (s)
S: Tiết diện của dây chống sét (mm2).
K: Hằng số phụ thuộc vào vật liệu của dây chống sét:
Đối với dây nhôm lõi thép: k = 93.
Đối với dây thép mạ kẽm: k = 56.
Đối với dây thép phủ nhôm: k= 91-117.
Những dây ở trên thường được sử dụng làm dây chống sét kết hợp với cáp sợi quang. Khả năng ổn định nhiệt của dây chống sét khi ngắn mạch 1 pha được so sánh bằng đại lượng đặc trưng (kA2s).
Trong thực tế, có thể sử dụng biểu đồ để tính dòng điện tức thời cho phép và so sánh nó với dòng điện ngắn mạch IN(1) của 1 pha của lưới điện tại vị trí kiểm tra. Tính ổn định nhiệt sẽ được bảo đảm khi I ≤ IN(1).
Dòng điện tức thời cho phép của dây chống sét bằng thép mạ kẽm (kA), của dây nhôm lõi thép và dây thép phủ nhôm (kA) xem Phụ lục L.
2.3.3 Lắp đặt dây dẫn và phụ kiện
2.3.3.1 Bảo vệ chống rung
Dây dẫn và dây chống sét của ĐDK phải được bảo vệ chống rung khi ứng suất ở nhiệt độ trung bình năm có giá trị lớn hơn quy định trong bảng tiếp theo.
Đối với những đoạn ĐDK không bị gió tác động theo hướng ngang vào dây (đường dây dọc thung lũng, qua rừng cây, v.v.) thì không phải chống rung.
Đối với ĐDK có phân pha 3 dây trở lên, nếu ứng suất dây dẫn ở nhiệt độ trung bình năm không vượt quá 67,5 N/mm2, khoảng cách giữa các khung định vị không vượt quá 60m và khoảng vượt không lớn hơn 500m thì không cần bảo vệ chống rung.
Bảng 2.25: Quy định lựa chọn bảo vệ chống rung
|
Chiều dài khoảng cột (m) |
Loại dây dẫn điện hoặc dây chống sét |
Tiết diện (mm2) |
Ứng suất của dây dẫn điện hoặc dây chống sét (N/mm2) |
|
120 ÷ 500 |
Dây nhôm |
Không quy định |
≥ 40 |
|
Dây nhôm lõi thép và dây hợp kim nhôm lõi thép |
Đến 95 |
≥ 60 |
|
|
Như trên |
≥ 120 |
≥ 50 |
|
|
Dây chống sét bằng thép |
Không quy định |
≥ 240 |
|
|
Hơn 500 |
Tất cả các loại dây dẫn điện và dây chống sét |
Không quy định |
Tất cả |
2.3.3.2 Lắp đặt khung định vị
Trên ĐDK có phân pha, trong khoảng cột và tại dây lèo trên cột néo dây dẫn phải lắp các khung định vị. Khoảng cách giữa các khung định vị được xác định theo tính toán thiết kế.
2.3.3.3 Lắp đặt mối nối và phân nhánh của hệ dẫn điện trong nhà và ngoài trời
2.3.3.3.1 Dây dẫn và dây chống sét đường dây 110 kV trở lên phải nối bằng ống nối chuyên dùng mà không được dùng kẹp bulông.
a) Trong khoảng cột giao chéo với đường cao tốc, đường ô tô cấp I, II, đi qua sông ngòi, kênh rạch khu vực có tàu thuyền qua lại, dây dẫn và dây chống sét không được có mối nối trừ trường hợp dây dẫn có tiết diện từ 240 mm2 trở lên được phép có một mối nối trên mỗi dây dẫn trong một khoảng cột;
b) Trong khoảng cột giao chéo với đường ô tô cấp III trở lên, dây dẫn và dây chống sét được phép có một mối nối trên mỗi dây trong một khoảng cột;
c) Trong khoảng vượt bên trên đường ống dẫn, đường cáp vận chuyển trên không, đường sắt, dây dẫn và dây chống sét không được có mối nối trừ trường hợp dây dẫn có tiết diện từ 240 mm2 trở lên được phép có một mối nối trên mỗi dây dẫn trong một khoảng vượt.
2.3.3.3.2 Các mối nối và rẽ nhánh của dây dẫn và cáp điện của hệ dẫn điện trong nhà và ngoài trời phải được lắp theo phương pháp hàn, ống nối, đầu cốt, kẹp cực thiết bị, kẹp rẽ nhánh, v.v. để bảo đảm độ bền và độ chịu lực. Mối nối các rẽ nhánh hệ dẫn điện mềm cho phép áp dụng kiểu kẹp ép hoặc kẹp rẽ bắt bulông. Trong trường hợp cần thiết đối với hệ dẫn điện đến 35 kV được lắp đặt trong hộp rẽ nhánh hoặc hộp nối để dễ bảo trì, kiểm tra và sửa chữa.
2.3.3.3.3 Mối nối các đường dây dẫn điện trong nhà và ngoài trời bằng vật liệu khác nhau phải loại trừ hiện tượng ăn mòn bề mặt tiếp xúc.
Nhiệt độ tối đa của bề mặt tiếp xúc tham khảo Phụ lục M.
2.3.3.4 Kết cấu và vật liệu của mối nối, hộp rẽ nhánh và đầu kẹp nối
Kết cấu của mối nối, hộp nối, hộp rẽ nhánh và đầu kẹp nối phải phù hợp với phương pháp lắp đặt và điều kiện môi trường.
Hộp nối, hộp rẽ nhánh, vỏ cách điện của đầu kẹp nối phải được chế tạo bằng vật liệu có khả năng chịu lửa.
2.3.3.5 Đảo pha
Để hạn chế dòng điện và điện áp không đối xứng của ĐDK, dây dẫn của ĐDK điện áp 110-500 kV dài trên 100 km phải đảo pha một chu kỳ trọn vẹn; chiều dài của mỗi bước trong một chu kỳ đảo pha phải gần bằng nhau. Trong lưới điện 110 - 500 kV, bao gồm nhiều đoạn ĐDK chiều dài dưới 100 km thì việc đảo pha có thể thực hiện trực tiếp tại các trạm điện (ở thanh cái, ở các khoảng cột cuối đường dây vào cột cổng trạm, v.v.), trong đó việc đảo pha phải thực hiện sao cho chiều dài của mỗi bước trong 1 chu kỳ đảo pha phải gần bằng nhau.
Việc đảo pha các ĐDK nhằm mục đích chống ảnh hưởng của ĐDK đối với đường dây thông tin cần có tính toán riêng.
2.3.3.6 Độ cao lắp đặt
Độ cao lắp đặt dây dẫn và dây chống sét của hệ dẫn điện trong nhà và ngoài trời điện áp trên 1 kV đến 500 kV thực hiện theo điều kiện lắp đặt, khu vực lắp đặt, môi trường lắp đặt và được quy định chi tiết trong Điểm 2.3.4 của Quy chuẩn kỹ thuật này.
2.3.3.7 Khoảng cách giữa các dây dẫn trong cùng một mạch
Khoảng cách giữa các dây dẫn ĐDK sử dụng dây dẫn trần trong cùng một mạch phải tính toán theo điều kiện làm việc trong khoảng cột và được thực hiện theo quy định sau:
2.3.3.7.1 Khoảng cách giữa các dây dẫn nối vào cách điện loại treo:
a) Khoảng cách nằm ngang
Khoảng cách nằm ngang giữa các dây dẫn của ĐDK sử dụng cách điện loại treo không được nhỏ hơn các giá trị tính toán theo công thức sau:

b) Khoảng cách thẳng đứng giữa các dây dẫn của ĐDK sử dụng cách điện loại treo không được nhỏ hơn các giá trị tính toán theo công thức sau:

c) Khoảng cách giữa các dây dẫn của ĐDK bố trí không cùng trên một mặt phẳng sử dụng cách điện loại treo không được nhỏ hơn các giá trị tính toán theo công thức sau:
Khi chênh lệch độ cao của các dây dẫn ![]()
Khi chênh lệch độ cao của các dây dẫn 
2.3.3.7.2 Khoảng cách giữa các dây dẫn nối vào cách điện đứng cho ĐDK điện áp đến 35 kV có giá trị tính toán theo công thức sau:

|
Trong đó: |
D: Khoảng cách giữa các dây dẫn (m); |
2.3.3.8 Khoảng cách giữa các dây dẫn gần nhất của ĐDK nhiều mạch
Trên cột của ĐDK nhiều mạch, khoảng cách tại cột giữa các dây dẫn gần nhất của hai mạch liền kề cùng điện áp theo quy định trong bảng sau:
Bảng 2.26: Khoảng cách nhỏ nhất trên cột giữa các dây dẫn liền kề
|
Điện áp ( kV) |
Dây dẫn |
Cách điện |
Khoảng cách nhỏ nhất (m) |
|
Trên 1 đến 22 |
Dây trần |
Loại đứng hoặc treo |
2,0 |
|
Dây bọc và cáp |
Loại đứng hoặc treo |
1,0 |
|
|
35 |
Dây trần |
Loại đứng |
2,5 |
|
Loại treo |
3,0 |
||
|
110 |
Dây trần |
Loại treo |
4,0 |
|
220 |
Dây trần |
Loại treo |
6,0 |
|
500 |
Dây trần |
Loại treo |
8,5 |
Khoảng cách tại cột giữa các dây dẫn gần nhất của hai mạch liền kề có điện áp khác nhau thì lấy khoảng cách của mạch có điện áp cao hơn.
2.3.3.9 Lắp đặt các dây dẫn của ĐDK với điện áp khác nhau
Các ĐDK điện áp khác nhau cho phép bố trí trên cùng một cột:
- Các ĐDK 0,4 kV, 10 kV, 15 kV, 22 kV, 35 kV.
- Các ĐDK điện áp 22 kV, 35 kV, 110 kV.
- Các ĐDK điện áp 110 kV, 220 kV, 500 kV.
Cho phép bố trí dây dẫn của ĐDK có điện áp 110 kV trở lên lắp đặt phía trên dây dẫn của ĐDK có điện áp cao hơn, nhưng dây dẫn phải có tiết diện lớn hơn 120 mm2 đối với ĐDK 110 kV, lớn hơn 300 mm2 đối với ĐDK 220 kV và dùng cách điện bố trí kép.
2.3.3.10 Khoảng cách từ các phần mang điện trên cột khi sửa chữa
Đối với ĐDK vẫn mang điện khi sửa chữa, để bảo đảm an toàn cho công nhân vận hành treo người thao tác được, khoảng cách từ phần mang điện đến thân cột kim loại hoặc cột bê tông mà người có thể trèo đến được khi dây dẫn không dao động phải đủ khoảng cách an toàn theo quy định trong bảng sau:
Bảng 2.27: Khoảng cách nhỏ nhất từ các phần mang điện trên các cột đến thân
cột
|
Điện áp ( kV) |
Khoảng cách nhỏ nhất (m) |
|
Trên 1 đến 110 |
1,5 |
|
220 |
2,5 |
|
500 |
4,0 |
2.3.3.11 Cách điện
2.3.3.11.1 Sử dụng cách điện
a) Cách điện tăng cường hoặc cách điện đặc biệt được sử dụng ở những điểm rẽ nhánh, vị trí đảo pha của ĐDK, các khoảng vượt lớn, các khoảng cột trong vùng ô nhiễm nặng;
b) Chuỗi cách điện đỡ, chuỗi cách điện néo được sử dụng cho ĐDK điện áp 110 kV trở lên;
c) Cách điện silicon được sử dụng cho tất cả các loại ĐDK;
d) Cách điện loại đứng được sử dụng tại các điểm đảo pha hoặc gần các chống sét hoặc dao cách ly của ĐDK có điện áp 110 kV trở lên;
đ) ĐDK điện áp đến 35 kV sử dụng chuỗi cách điện hoặc cách điện đứng.
e) Đối với cột có xà cách điện composite phù hợp thì không cần dùng vật cách điện;
2.3.3.11.2 Số bát cách điện treo
a) Số bát trong chuỗi cách điện của ĐDK điện áp đến 35 kV
Số bát của chuỗi cách điện loại đỡ của ĐDK điện áp đến 35 kV được chọn như sau (chiều dài đường rò điện của mỗi bát không được nhỏ hơn 250 mm).
- Chuỗi cách điện đến 10 kV: 1 bát
- Chuỗi cách điện từ 15 kV đến 22 kV: 2 bát
- Chuỗi cách điện 35 kV: 3 bát
Số bát của chuỗi cách điện loại néo được cộng thêm 01 bát.
Số bát cách điện trong một chuỗi cách điện của ĐDK điện áp đến 35 kV được lựa chọn không phụ thuộc vào độ cao của ĐDK so với mực nước biển.
b) Số bát của chuỗi cách điện cho ĐDK điện áp 15 kV có hệ thống trung tính nối đất trực tiếp được chọn như đối với ĐDK điện áp 10 kV có hệ thống trung tính cách ly;
c) Số bát cách điện của chuỗi cách điện treo của ĐDK có điện áp từ 110 kV đến 500 kV ở độ cao đến 1000m so với mực nước biển được tính toán theo công thức sau: Số bát cách điện tính toán được làm tròn lên đến số nguyên lớn hơn gần nhất.
![]()
n: là số bát cách điện treo trong một chuỗi cách điện
d: Chiều dài đường rò lựa chọn (mm/ kV):
- 16 mm/ kV: môi trường ô nhiễm nhẹ
- 20 mm/ kV: môi trường ô nhiễm trung bình
- 25 mm/ kV: môi trường ô nhiễm nặng
- 31 mm/ kV: môi trường ô nhiễm rất nặng
Umax: Điện áp làm việc lớn nhất ( kV)
D: Chiều dài đường rò của một bát cách điện, lấy theo đặc tính kỹ thuật (mm). Khi tính toán số bát cách điện cho mỗi chuỗi cách điện, nếu có chiều dài đường rò lớn hơn 2,3 lần chiều dài cấu tạo của chuỗi cách điện theo điều kiện điện áp làm việc bình thường, phải kiểm tra lại theo điều kiện quá điện áp thao tác cho trong bảng sau hoặc tăng số bát sứ để thỏa mãn với điều kiện tính toán.
Bảng 2.28: Quá điện áp thao tác lớn nhất
|
Điện áp danh định ( kV) |
Quá điện áp thao tác lớn nhất ( kV) |
|
110 |
312 |
|
220 |
620 |
|
500 |
1175 |
Đối với cách điện silicon, trị số chiều dài đường rò được chọn tương đương với chiều dài đường rò của cách điện gốm và cách điện thủy tinh.
2.3.3.11.3 Số bát cách điện của chuỗi cách điện néo:
a) Số bát cách điện trong chuỗi cách điện néo của ĐDK có điện áp 110 kV đến 500 kV phải cộng thêm một (01) bát so với chuỗi cách điện đỡ;
b) ĐDK có điện áp 110 kV đi qua khu vực có độ cao trên 1000 m tới 2500 m so với mực nước biển và ĐDK có điện áp 220 kV, 500 kV đi qua khu vực có độ cao trên 1000 m tới 2000m so với mực nước biển, phải tăng thêm 01 bát trong một chuỗi cách điện.
2.3.3.11.4 Số bát cách điện trong trạm điện 110 kV trở lên cộng thêm một (01) bát so với số bát cách điện tính toán.
2.3.3.11.5 Độ bền cơ học của cách điện
a) Hệ số an toàn cơ học của vật cách điện có điện áp đến 1 kV
Hệ số an toàn cơ học của vật cách điện (là tỉ số giữa tải trọng cơ học phá hủy với tải trọng tiêu chuẩn lớn nhất tác động lên vật cách điện) không được nhỏ hơn 2,5;
Hệ số an toàn cơ học của chân cách điện và móc cách điện không được nhỏ hơn 2,0;
b) Hệ số an toàn cơ học của vật cách điện có điện áp trên 1 kV
Hệ số an toàn cơ học của cách điện loại đứng (là tỉ số giữa tải trọng phá hủy với tải trọng tiêu chuẩn lớn nhất tác động lên vật cách điện); hệ số an toàn cơ học của cách điện loại treo (là tỉ số giữa độ bền cơ điện với tải trọng tiêu chuẩn lớn nhất tác động lên vật cách điện) không được nhỏ hơn 2,7 trong điều kiện làm việc bình thường và không được nhỏ hơn 5,0 ở nhiệt độ trung bình năm, không có gió.
Hệ số an toàn cơ học của chân cách điện không được nhỏ hơn 2,0 trong điều kiện làm việc bình thường và không được nhỏ hơn 1.3 trong điều kiện sự cố.
Hệ số an toàn của cách điện treo của ĐDK có điện áp 220 kV trong điều kiện sự cố không được nhỏ hơn 1,8, và hệ số an toàn của cách điện treo của ĐDK có điện áp 500 kV trong điều kiện sự cố không được nhỏ hơn 2,0.
2.3.3.11.6 Những yêu cầu đặc biệt đối với ĐDK qua công trình giao thông
Khi ĐDK vượt qua đường ô tô loại I, loại II, các đường ô tô trong khu đô thị, đường sắt và đường thủy có tàu thuyền thường xuyên qua lại, thì cách điện của đường dây ở đoạn giao chéo phải là cách điện bố trí kép.
2.3.3.12 Phụ kiện
Phụ kiện đường dây phải có độ bền cơ học dự phòng trong điều kiện làm việc bình thường và có phương pháp lắp đặt thích hợp.
Hệ số an toàn cơ học của phụ kiện khi ĐDK làm việc ở chế độ bình thường không nhỏ hơn 2,5 và trong chế độ sự cố không nhỏ hơn 1,7. (Hệ số an toàn cơ học là tỷ số giữa tải trọng cơ học phá hủy với tải trọng lớn nhất tác động lên phụ kiện). Hệ số an toàn của chân cách điện đứng khi ĐDK làm việc ở chế độ bình thường không nhỏ hơn 2, trong chế độ sự cố không nhỏ hơn 1,3.
2.3.3.13 Dây chống sét bảo vệ quá điện áp khí quyển.
2.3.3.13.1 Treo dây chống sét
a) ĐDK điện áp 110 kV trở lên phải được bảo vệ chống sét đánh trực tiếp bằng dây chống sét trên suốt chiều dài đường dây, trừ một số đoạn tuyến đặc biệt không thể bố trí được dây chống sét thì phải có biện pháp chống sét khác bổ sung.
b) Góc bảo vệ đối với dây dẫn điện ngoài cùng của ĐDK có điện áp 110 kV trở lên mắc trên cột bê tông cốt thép không được lớn hơn 30o; ĐDK 22, 35 kV đoạn đấu vào TBA có điện áp từ 110 kV trở lên phải treo dây chống sét có chiều dài từ 1km đến 2 km và góc bảo vệ ≤ 30o; Đối với các đoạn tuyến ĐDK 22, 35 kV tại các khu vực địa hình trống trải, độ cao dây dẫn cao hơn nhà cửa, công trình, cây cối xung quanh, trong khu vực có số giờ sét đánh lớn hơn 40 giờ/năm hoặc mật độ sét trung bình 10,9 lần/km2/năm, kết hợp với số liệu sự cố do sét đã xảy ra trong quá khứ của đường dây trên địa bàn để tính toán giải pháp treo dây chống sét, thiết bị bảo vệ chống sét để hạn chế suất cắt khi sét đánh trực tiếp vào đường dây;
c) Góc bảo vệ đối với dây dẫn điện ngoài cùng mắc nằm ngang trên cột kim loại một trụ có một hoặc hai dây chống sét của ĐDK có điện áp 110 kV trở lên không được lớn hơn 20o;
d) Góc bảo vệ đối với dây dẫn điện ngoài cùng mắc nằm ngang trên cột kim loại một trụ có hai dây chống sét của ĐDK có điện áp 110 kV trở lên ở khu vực có mật độ sét đánh lớn hơn 40 giờ/năm hoặc mật độ sét trung bình 10,9 lần/km2/năm phải nhỏ hơn hoặc bằng 0o (≤ 0o);
đ) Trị số góc bảo vệ thiết kế được phép lấy thấp hơn các trị số trên, tuỳ theo số ngày sét và địa hình của khu vực mà ĐDK có điện áp 110 kV trở lên đi qua, chiều cao cột và tầm quan trọng của ĐDK;
e) Trên khoảng cột của ĐDK có mắc dây chống sét, độ võng của dây chống sét không được lớn hơn độ võng của dây dẫn.
2.3.3.13.2 Khoảng cách thẳng đứng giữa dây chống sét và dây dẫn ở giữa khoảng cột của ĐDK có điện áp từ 35 kV trở lên không tính đến sự chao lệch của các dây do gió tác động theo điều kiện bảo vệ khi quá điện áp khí quyển không nhỏ hơn quy định trong bảng sau:
Bảng 2.29: Khoảng cách giữa dây chống sét và dây dẫn
|
Chiều dài khoảng cột* (m) |
Khoảng cách (m) |
Chiều dài khoảng cột* (m) |
Khoảng cách (m) |
|
100 |
2,0 |
700 |
11,5 |
|
150 |
3,2 |
800 |
13,0 |
|
200 |
4,0 |
900 |
14,5 |
|
300 |
5,5 |
1000 |
16,0 |
|
400 |
7,0 |
1200 |
18,0 |
|
500 |
8,5 |
1500 |
21,0 |
|
600 |
10,0 |
- |
- |
Ghi chú:
(*) Nếu chiều dài khoảng cột nằm giữa các trị số trên thì áp dụng phương pháp nội suy.
2.3.3.13.3 Nối đất dây chống sét: Dây chống sét của ĐDK có điện áp từ 110 kV trở lên phải được nối đất tất cả các cột trừ những đoạn dây chống sét sử dụng để lấy điện bằng phương pháp điện dung hoặc thông tin tải ba.
Khi sử dụng dây chống sét có lõi cáp quang đi song song với dây chống sét không có lõi cáp quang thì tất cả các dây chống sét trên đều phải nối đất ở tất cả các cột.
2.3.3.14 Trang bị chống sét
Các thiết bị dùng để chống sét là kim thu sét, dây chống sét, khe hở phóng điện, chống sét van và dây nối đất.
2.3.3.14.1 Đầu cáp nối vào ĐDK điện áp trên 1 kV phải bảo vệ quá điện áp khí quyển bằng thiết bị chống sét đặt tại vị trí ghép nối ở đầu đoạn cáp.
2.3.3.14.2 ĐDK điện áp trên 1 kV vượt sông lớn, vượt khe núi với cột cao trên 40m mà trên cột không mắc dây chống sét, phải đặt chống sét van trên dây dẫn điện.
2.3.3.14.3 ĐDK điện áp từ 22 kV đến 110 kV trong khu vực có số giờ sét đánh lớn hơn 40 giờ/năm hoặc mật độ sét trung bình 10,9 lần/km2/năm phải tính toán lắp đặt thiết bị chống sét cho dây dẫn điện với khoảng cách khoảng 3 đến 5 km.
2.3.3.15 Khoảng cách cách điện
2.3.3.15.1 Khi ĐDK có điện áp trên 1 kV đi qua vùng có độ cao đến 1000m so với mực nước biển, khoảng cách cách điện giữa dây dẫn và phụ kiện mắc dây có mang điện đến bộ phận nối đất, cột phải có khoảng cách an toàn theo quy định trong bảng sau:
Bảng 2.30: Khoảng cách cách điện nhỏ nhất tại cột giữa phần mang điện và
các phần nối đất của ĐDK ở vùng có độ cao đến 1000m
|
Điều kiện tính toán |
Khoảng cách cách điện nhỏ nhất (m) tại cột theo điện áp của ĐDK (kV) |
|||||
|
Đến 10 |
22 |
35 |
110 |
220 |
500 |
|
|
Quá điện áp khí quyển với cách điện loại đứng |
0,15 |
0,25 |
0,35 |
- |
- |
- |
|
Quá điện áp khí quyển với cách điện loại treo |
0,20 |
0,35 |
0,40 |
1,00 |
1,80 |
3,20 |
|
Quá điện áp nội bộ |
0,10 |
0,15 |
0,30 |
0,80 |
1,60 |
3,00 |
|
Điện áp vận hành lớn nhất |
- |
0,07 |
0,10 |
0,25 |
0,55 |
1,15 |
2.3.3.15.2 Khi ĐDK đi qua khu vực cao trên 1000m so với mực nước biển, khoảng cách cách điện nhỏ nhất phải tăng lên cứ mỗi khoảng 100m tăng 1,4%, kể từ độ cao 1000m so với mức quy định nêu trên.
2.3.3.16 Khoảng cách nhỏ nhất giữa các dây dẫn điện trên cột đảo pha, cột đấu nối, cột rẽ nhánh hoặc cột thay đổi cách bố trí dây dẫn
Khoảng cách cách điện nhỏ nhất giữa các dây dẫn điện của ĐDK tại cột đảo pha, tại chỗ đấu nối, tại chỗ rẽ nhánh hoặc cột thay đổi cách bố trí dây dẫn phải bảo đảm khoảng cách an toàn theo quy định trong bảng sau:
Bảng 2.31: Khoảng cách cách điện nhỏ nhất giữa các dây dẫn tại cột đảo pha,
cột đấu nối, cột rẽ nhánh hoặc cột thay đổi cách bố trí dây dẫn
|
Điều kiện tính toán |
Khoảng cách cách điện nhỏ nhất (m) giữa các dây dẫn điện theo điện áp của ĐDK (kV) |
|||||
|
Đến 10 |
22 |
35 |
110 |
220 |
500 |
|
|
Quá điện áp khí quyển |
0,20 |
0,45 |
0,50 |
1,35 |
2,50 |
4,00 |
|
Quá điện áp nội bộ |
0,22 |
0,33 |
0,44 |
1,00 |
2,00 |
4,20 |
|
Điện áp vận hành lớn nhất |
- |
0,15 |
0,20 |
0,45 |
0,95 |
2,00 |
2.3.4 Cột, xà, dây néo
2.3.4.1 Các loại cột
ĐDK được sử dụng các loại cột sau: cột đỡ, cột néo, cột góc, cột hãm, cột cuối, cột nhánh, cột giao chéo, cột đảo pha, và cột đặc biệt.
ĐDK phải được dùng các loại cột thích hợp dựa trên điều kiện lắp đặt của ĐDK, vị trí cột và sức chịu lực của cột.
2.3.4.2 Vật liệu và kết cấu cột
Cột của ĐDK có thể là cột tháp bằng thép, cột ống thép hoặc cột bê tông cốt thép.
Cột có điểm mắc dây trên cùng có độ cao trên 70 m phải có thang lên xuống và sàn nghỉ được bảo vệ xung quanh bằng chấn song.
2.3.4.3 Vị trí đặt cột
2.3.4.3.1 Cột của ĐDK phải được bố trí sao cho không chắn lối đi vào nhà và không cản trở việc đi lại của người và xe cộ.
2.3.4.3.2 Cột ĐDK nên đặt cách bờ sông bị xói lở mạnh có xét đến sự biến đổi của lòng sông và tác hại của lũ lụt càng xa càng tốt. Khi bố trí cột tại các tuyến đi qua vùng ven sông, ven hồ, qua núi đồi và vùng đất bazan, đặc biệt là rừng nguyên sinh phải điều tra, đánh giá tình trạng sụt lở, xói mòn.
Tần suất mức nước lũ để tính toán đối với ĐDK 35 kV trở xuống chọn 5% (20 năm lặp lại một lần), đối với ĐDK 110 kV và 220 kV chọn 2% (50 năm lặp lại một lần) đối với ĐDK 500 kV, chọn 1% (100 năm lặp lại một lần).
Lấy mức nước lũ lịch sử cao nhất nếu không có số liệu điều tra cụ thể.
Trường hợp phải đặt cột ở các vị trí nguy hiểm, phải có biện pháp bảo vệ móng và cột (móng đặc biệt, đắp bờ, làm kè, rãnh thoát nước, v.v.).
2.3.4.3.3 Cột của ĐDK phải được bố trí sao cho thuận lợi cho quản lý vận hành và bảo dưỡng. ĐDK điện áp 110 - 220 kV phải có lối đi vào được gần tuyến ĐDK và gần chân cột của đường dây. ĐDK 500 kV phải có đường bảo đảm cho xe cơ giới có thể tiếp cận đến gần tuyến ĐDK.
2.3.4.4 Tính toán về cột
2.3.4.4.1 Tất cả các loại cột dùng cho ĐDK điện áp đến 1 kV chỉ cần tính theo tải trọng cơ học ứng với chế độ làm việc bình thường của ĐDK dây dẫn không bị đứt trong trường hợp: áp lực gió lớn nhất và nhiệt độ thấp nhất.
2.3.4.4.2 Cột ĐDK điện áp trên 1 kV phải được tính toán với các tải trọng khi đường dây làm việc trong chế độ bình thường, chế độ sự cố theo các điều kiện khí hậu với các điều kiện tính toán như sau:
a) Áp lực gió tác động lên cột phải được xác định theo chiều cao tính từ mặt đất. Phải chia chiều cao cột thành từng dải không lớn hơn 15 m, trong mỗi dải áp lực gió được lấy bằng nhau và tính với trị số áp lực gió ở độ cao trung bình của dải;
b) Phải kiểm tra cột của ĐDK theo chế độ lắp đặt ở điều kiện nhiệt độ không khí 15oC và áp lực gió theo QCVN 02:2022/BXD.
2.3.4.4.3 Tính toán cột của ĐDK có điện áp trên 1 kV
a) Cột néo: Tải trọng dọc theo tuyến của ĐDK theo phương nằm ngang do chênh lệch về lực căng của dây dẫn và dây chống sét giữa hai khoảng cột ở về hai phía của cột;
b) Cột hai mạch: Tải trọng phải được kiểm tra ở điều kiện chỉ mắc dây một mạch. Phải kiểm tra tải trọng theo các điều kiện lắp, dựng cột cũng như theo điều kiện lắp đặt dây dẫn và dây chống sét.
2.3.4.4.4 Điều kiện bình thường đối với cột của ĐDK có điện áp trên 1 kV
Cột trong điều kiện bình thường phải được tính toán theo các điều kiện sau:
a) Dây dẫn hoặc dây chống sét không bị đứt, có tính đến áp lực gió lớn nhất (qmax);
b) Khi khoảng cột đại biểu của các cột néo nhỏ hơn khoảng cột tới hạn, thì cột phải được tính toán với điều kiện nhiệt độ thấp nhất (Tmin);
c) Cột cuối (cột hãm) phải được tính toán theo điều kiện lực căng của tất cả dây dẫn và dây chống sét ở về một phía, còn phía trạm biến áp hoặc phía liền kề với khoảng vượt lớn coi như không mắc dây dẫn và dây chống sét.
2.3.4.4.5 Điều kiện sự cố đối với cột của ĐDK có điện áp trên 1 kV
a) Cột đỡ
Mômen uốn và mômen xoắn lớn nhất trên cột đỡ có dây dẫn cố định bằng cách điện treo phải được tính toán theo các điều kiện sự cố sau đây:
- Đứt dây dẫn và dây chống sét:
+ Đứt một hoặc nhiều dây dẫn điện của 1 pha (với bất kỳ số dây trên một cột là bao nhiêu). Dây chống sét không bị đứt.
+ Tất cả các dây dẫn điện không bị đứt. Một dây chống sét bị đứt.
- Phải tính đến tải trọng của các dây dẫn và dây chống sét không bị đứt.
- Lực căng tiêu chuẩn của ĐDK không phân pha, mắc dây bằng khóa đỡ kiểu cố định, khi đứt một dây dẫn lấy bằng các trị số quy ước sau:
Bảng 2.32: Điều kiện sự cố đối với dây dẫn đơn
|
Cột |
Tiết diện (mm2) |
Lực căng* |
|
Cột cứng (cột kim loại đứng tự do, cột bê tông cốt thép có néo, cột cứng khác) |
Đến 185 |
0,50 Tmax |
|
Từ 240 trở lên |
0,40 Tmax |
|
|
Cột bê tông cốt thép đứng tự do |
Đến 185 |
0,30 Tmax |
|
Từ 240 trở lên |
0,25 Tmax |
* Ghi chú: Tmax là lực căng lớn nhất của một dây dẫn trong điều kiện sự cố.
- Trong tính toán cột đỡ ĐDK 220 kV trở xuống, có phân pha khi đứt dây, lực căng tiêu chuẩn của dây dẫn trên khóa đỡ kiểu cố định của ĐDK có phân pha cũng xác định như đối với ĐDK không phân pha nhưng nhân với số dây trong 1 pha và nhân thêm với hệ số:
+ 0,8 khi 1 pha phân ra 2 dây
+ 0,7 khi 1 pha phân ra 3 dây
+ 0,6 khi 1 pha phân ra 4 dây
- Lực căng tiêu chuẩn của dây chống sét lấy bằng 0,5TLmax. TLmax là lực căng lớn nhất của dây chống sét trong chế độ sự cố;
- Đối với cột kiểu mềm (cột bê tông cốt thép không có dây néo), cho phép xác định lực căng tiêu chuẩn khi đứt dây chống sét có xét đến độ uốn cột;
- Trong chế độ sự cố, các dây phân pha trong 1 pha trên cột đỡ của ĐDK có điện áp 500 kV bị đứt, thì tải trọng của 1 pha tại điểm mắc dây dẫn không được nhỏ hơn 0,15 Tmax và 18 kN;
b) Cột néo và cột cuối (cột hãm)
Cột néo và cột cuối trong chế độ sự cố phải được tính toán có xét đến mô men uốn cong lớn nhất và mô men xoắn lớn nhất trong các trường hợp sau:
- Tất cả các dây dẫn của 1 pha trong một khoảng cột ở mạch bất kỳ bị đứt. Các dây chống sét không bị đứt;
- Tất cả các dây dẫn không bị đứt. Một dây chống sét bị đứt;
c) Cột vượt
Lực căng tiêu chuẩn trên cột vượt trong điều kiện sự cố mà các dây dẫn không bị đứt còn dây chống sét bị đứt phải bằng tổng các lực căng lớn nhất của từng dây chống sét.
d) Cột trong khoảng vượt lớn
- Trong chế độ sự cố mà dây dẫn treo trên cột đỡ của ĐDK ở khoảng cột vượt lớn bị đứt, thì lực căng bằng tổng lực căng của các dây dẫn tính theo điều kiện khí hậu quy định tại Điểm 2.3.4.4;
- Lực căng dọc theo tuyến của ĐDK có dây dẫn hoặc dây chống sét treo trên ròng rọc trong chế độ sự cố là như sau:
+ 20 kN: một dây dẫn trong 1 pha
+ 35 kN: hai dây dẫn trong 1 pha
+ 50 kN: ba dây dẫn trong 1 pha
- Cột đỡ một mạch phải được tính trong trường hợp sự cố mà các dây dẫn của một pha bị đứt. Cột đỡ hai mạch được tính với trường hợp sự cố mà các dây dẫn của hai pha bị đứt còn các dây chống sét không bị đứt;
- Lực tiêu chuẩn của dây chống sét mắc bằng khóa cố định, khi bị đứt tác động vào các cột đỡ vượt lấy bằng lực căng tối đa toàn phần của dây chống sét, dây dẫn không bị đứt;
- Các cột néo hãm một mạch của khoảng vượt lớn trong chế độ sự cố phải tính với điều kiện đứt dây của 1 pha, còn cột néo nhiều mạch tính với đứt dây dẫn của 2 pha, dây chống sét không bị đứt;
- Lực tiêu chuẩn của dây chống sét khi bị đứt tác động vào cột néo vượt trong chế độ sự cố lấy bằng lực căng tối đa toàn phần của dây chống sét, dây dẫn không bị đứt.
2.3.4.4.6 Kiểm tra theo điều kiện lắp đặt
a) Kiểm tra điều kiện lắp đặt cột néo ĐDK đến 220 kV
Một trong các khoảng cột với số dây dẫn trên cột bất kỳ chỉ lắp dây dẫn của một mạch, không mắc dây chống sét;
Một trong các khoảng cột có mắc dây chống sét, không lắp dây dẫn;
Khi kiểm tra theo điều kiện khí hậu quy định tại Điểm 2.3.4.4;
Trong điều kiện lắp đặt (dựng cột, mắc dây dẫn hoặc dây chống sét v.v.) khi cần thiết có thể tăng độ vững chắc (tạm thời) của từng bộ phận cột và đặt dây néo tạm;
b) Kiểm tra điều kiện lắp đặt cột néo ĐDK 500 kV
Ở một khoảng cột đã lắp tất cả dây dẫn hoặc dây chống sét, còn ở khoảng cột khác dây dẫn hoặc dây chống sét chưa lắp;
Lực căng của dây dẫn hoặc dây chống sét đã lắp quy định tính bằng 2/3 trị số lớn nhất, điều kiện khí hậu lấy theo nhiệt độ không khí T = 15 oC và áp lực gió Q=7daN/m2. Trong trường hợp cột và toàn bộ các chi tiết bắt chặt xuống móng cần phải có độ bền đúng theo tiêu chuẩn khi không dùng dây néo tạm;
Trong một khoảng cột với số lượng dây dẫn trên cột bất kỳ, các dây dẫn của một mạch được lắp theo thứ tự và theo trình tự bất kỳ, các dây chống sét chưa lắp;
Trong một khoảng cột với số lượng dây chống sét trên cột bất kỳ, các dây chống sét được lắp theo thứ tự và trình tự bất kỳ, các dây chống sét chưa lắp.
Trong điều kiện lắp đặt (dựng cột, mắc dây dẫn hoặc dây chống sét v.v.) khi cần thiết có thể tăng cường độ vững chắc tạm thời của từng bộ phận cột và đặt dây néo tạm;
c) Tải trọng bổ sung khi thi công xây lắp
Khi tính các lực tác động lên các kết cấu, tại các điểm lắp đặt cách điện, phải tính trọng lượng của công nhân, dụng cụ và phương tiện sử dụng để lắp đặt với khối lượng thêm vào như sau:
- 250 kg: cho cột điện 500 kV;
- 200 kg: trong trường hợp sử dụng sứ treo cho cột néo khóa có điện áp đến 220 kV;
- 150 kg: trong trường hợp sử dụng sứ treo cho cột đỡ có điện áp đến 220 kV;
- 100 kg: trong trường hợp sử dụng sứ đỡ.
2.3.4.5 Xà và giá đỡ
Xà và giá đỡ dây dẫn, dây chống sét của tất cả các cột phải được kiểm tra với tải trọng tương ứng theo phương pháp lắp đặt ghi trong thiết kế, có tính đến thành phần lực căng của dây néo, trọng lượng của dây dẫn, dây chống sét và cách điện, phụ kiện lắp đặt và công nhân lắp đặt có mang dụng cụ. Những tải trọng này được quy vào vị trí lắp cách điện. Tải trọng tiêu chuẩn của phụ kiện lắp đặt và thợ lắp đặt có mang dụng cụ lấy như sau:
- 100 daN: cột dùng cách điện đứng;
- 150 daN: cột đỡ, dùng cách điện treo đến 220 kV;
- 200 daN: cột néo, dùng cách điện treo đến 220 kV;
- 250 daN: cột 500 kV.
2.3.4.6 Dây néo
Đối với các cột đều có thể dùng thanh chống hoặc dây néo để tăng cường khả năng chịu lực. Dây néo, thanh chống không được làm cản trở việc đi lại của người và phương tiện.
Dây néo của ĐDK được nối đất chung với nối đất của cột. Nếu dây néo không được nối đất, phải cách ly bằng cách điện kiểu néo và lắp đặt ở độ cao nhỏ nhất là 2,5m từ mặt đất.
Ứng suất của dây néo khi đứt dây dẫn hoặc dây chống sét không được lớn hơn 70% lực kéo đứt của vật liệu làm dây néo.
2.3.4.7 Lắp biển hiệu và sơn báo hiệu
2.3.4.7.1 Biển hiệu cột
Tất cả các cột của ĐDK phải lắp biển hiệu ở vị trí dễ nhìn thấy. Biển hiệu ghi số cột, tên mạch đường dây theo quy định.
2.3.4.7.2 Sơn báo hiệu và đèn báo hiệu
Cột ĐDK có chiều cao 80 m trở lên phải được sơn báo hiệu (báo hiệu ban ngày) và có đèn báo hiệu (báo hiệu ban đêm) để bảo đảm an toàn cho máy bay và tàu thuyền phù hợp với các quy định của Nhà nước.
Các cột phải được sơn màu trắng và đỏ từ độ cao 50 m trở lên.
Các đèn cảnh báo (đèn báo hiệu) phải được lắp trên đỉnh cột trong những trường hợp sau:
a) Cột có chiều cao 80 m trở lên;
b) Các cột ở các vị trí đặc biệt có chiều cao từ 50 m trở lên (cột nằm trên đỉnh đồi, núi cao hơn so với địa hình khu vực lân cận).
Chi tiết sơn cột và đèn hiệu trên cột được thể hiện trong hình sau:

Hình 2.2: Sơn báo hiệu và đèn báo hiệu trên cột
2.3.4.7.3 Bảo vệ đối với các phương tiện giao thông
Cần phải có biển báo hiệu và biện pháp bảo vệ các móng và chân cột điện ở những vị trí gần đường giao thông, nơi giao chéo và chỗ ngoặt của đường phố để xe cộ khỏi va chạm.
2.3.4.7.4 Bảo vệ chống ăn mòn
Ngoài bảo vệ chống ăn mòn cho kết cấu của đường dây theo quy định chung, phải áp dụng các biện pháp chống ăn mòn thích hợp đối với chân cột kim loại lắp ở vùng thường xuyên ngập nước và lụt lội.
2.3.4.8 Phần được chôn dưới mặt đất
Chiều sâu của móng và cột chôn dưới mặt đất phải được tính toán theo điều kiện địa hình, địa chất vị trí đặt cột cũng như đặc tính cơ lý của cột để lựa chọn cho phù hợp. Khi đặt cột ở đoạn tuyến bị ngập nước, đất bị xói lở, phải có các biện pháp chống xói lở.
2.3.5 ĐDK đi qua các khu vực
2.3.5.1 Yêu cầu đối với ĐDK đi qua khu vực không có dân cư
Khoảng cách an toàn thẳng đứng từ dây dẫn thấp nhất của ĐDK ở trạng thái tĩnh, trong chế độ vận hành bình thường đến mặt đất theo quy định trong bảng sau:
Bảng 2.33: Khoảng cách thẳng đứng nhỏ nhất từ dây dẫn đến mặt đất
|
Điện áp ( kV) |
Khoảng cách thẳng đứng nhỏ nhất (m) |
||
|
Khu vực phương tiện cơ giới có thể qua lại được |
Khu vực khó đến |
Khu vực rất khó đến |
|
|
Trên 1 đến 35 |
6,5 |
4,5 |
2,5 |
|
110 |
7,5 |
5,0 |
3,0 |
|
220 |
8,5 |
6,0 |
4,0 |
|
500 |
10,5 |
8,0 |
6,0 |
2.3.5.2 Yêu cầu đối với ĐDK đi qua khu vực ở bên ngoài khu vực phải tăng cường các biện pháp an toàn
2.3.5.2.1 Khoảng cách thẳng đứng từ điểm thấp nhất của dây dẫn điện của ĐDK, trong chế độ vận hành bình thường, khi dây dẫn điện ở trạng thái võng lớn nhất đến mặt đất không được nhỏ hơn quy định trong bảng sau:
Bảng 2.34: Khoảng cách thẳng đứng nhỏ nhất từ dây dẫn trần đến mặt đất đi
qua khu vực ở bên ngoài khu vực phải tăng cường các biện pháp an toàn
|
Điện áp ( kV) |
Khoảng cách thẳng đứng nhỏ nhất (m) |
|
Từ trên 1 đến 35 |
6,5 |
|
110 |
7,0 |
|
220 |
8,0 |
2.3.5.2.2 Khoảng cách an toàn từ dây dẫn gần nhất của các ĐDK có điện áp trên 1 kV ở trạng thái tĩnh đến phần nhô ra gần nhất của các công trình phải bảo đảm đủ khoảng cách không được nhỏ hơn quy định trong bảng sau:
Bảng 2.35: Khoảng cách nhỏ nhất từ dây dẫn gần nhất tới các phần nhô ra gần
nhất của các công trình
|
Điện áp ( kV) |
Khoảng cách nhỏ nhất (m) |
|
Trên 1 đến 22 |
2,0 (1,0*) |
|
35 |
3,0 (1,5*) |
|
110 |
4,0 |
|
220 |
6,0 |
|
500 |
7,0 |
Ghi chú: (*) Các số trên áp dụng cho các dây bọc và cáp.
2.3.5.3 Yêu cầu đối với ĐDK đi qua khu vực phải tăng cường các biện pháp an toàn
2.3.5.3.1 Khoảng cách từ điểm thấp nhất của dây dẫn điện ở trạng thái võng lớn nhất đến mặt đất không nhỏ hơn quy định trong bảng sau:
Bảng 2.36: Khoảng cách từ dây dẫn đến mặt đất trong khu vực phải tăng
cường các biện pháp an toàn
|
Điện áp |
Trên 1 kV đến 35 kV |
110 kV |
220 kV |
|
Khoảng cách (m) |
14 |
15 |
18 |
2.3.5.3.2 ĐDK đi qua khu vực phải tăng cường các biện pháp an toàn về điện và xây dựng như sau:
Cột phải là cột thép hoặc bê tông cốt thép; hệ số an toàn của cột, xà, móng cột không nhỏ hơn 1,2;
Trong một khoảng cột, dây dẫn điện không được phép có mối nối, trừ dây dẫn có tiết diện từ 240 mm2 trở lên cho phép có một mối nối cho một dây. Hệ số an toàn của dây dẫn không được nhỏ hơn 2,5;
Cách điện phải bố trí kép cùng chủng loại, cùng đặc tính kỹ thuật và cùng khả năng chịu lực. Dây dẫn điện, dây chống sét nếu mắc trên cách điện kiểu treo phải sử dụng khóa đỡ kiểu cố định. Hệ số an toàn của cách điện và các phụ kiện phải bảo đảm tiêu chuẩn theo quy định hiện hành;
Trường hợp đặc biệt, khi xây dựng, cải tạo ĐDK điện áp đến 35 kV dọc theo hành lang đường giao thông đường bộ ở các khu dân cư, khu công nghiệp, khu công nghệ cao, khu chế xuất, nếu sử dụng dây bọc thì cho phép khoảng cách từ điểm thấp nhất của dây dẫn ở trạng thái võng lớn nhất đến mặt đất không nhỏ hơn 11 m.
2.3.5.4 Điều kiện tồn tại nhà ở, công trình trong hành lang bảo vệ an toàn đường dây dẫn điện trên không đến 220 kV
Điều kiện được được tồn tại trong hành lang bảo vệ an toàn ĐDK điện áp đến 220 kV được thực hiện theo Luật Điện lực và Nghị định quy định chi tiết thi hành Luật Điện lực đang có hiệu lực về an toàn điện với các điều kiện như sau:
2.3.5.4.1 Mái lợp và tường bao (xung quanh khu vực nhà ở, công trình) phải làm bằng vật liệu không cháy.
2.3.5.4.2 Không gây cản trở đường ra vào để kiểm tra, bảo dưỡng, thay thế các bộ phận công trình lưới điện áp cao.
2.3.5.4.3 Khoảng cách từ bất kỳ bộ phận nào của nhà ở, công trình đến dây dẫn điện gần nhất khi dây ở trạng thái võng lớn nhất không nhỏ hơn quy định trong bảng sau:
Bảng 2.37: Khoảng cách từ dây dẫn điện đến nhà ở và công trình
|
Điện áp |
Đến 35 kV |
Đến 110 kV |
220 kV |
|
Khoảng cách (m) |
3,0 |
4,0 |
6,0 |
2.3.5.4.4 Cường độ điện trường nhỏ hơn 5 kV/m tại điểm bất kỳ ở ngoài nhà cách mặt đất 01 mét và nhỏ hơn hoặc bằng 1 kV/m tại điểm bất kỳ ở bên trong nhà cách mặt đất một (01) mét.
2.3.5.4.5 Đối với nhà ở, công trình trong hành lang bảo vệ an toàn ĐDK có điện áp 220 kV, ngoài đáp ứng các điều kiện trên, các kết cấu kim loại của nhà ở, công trình còn phải được nối đất theo quy định trong Điểm 1.7.3.4.
2.3.6 ĐDK giao chéo, đi gần hoặc đi chung cột với ĐDK khác
2.3.6.1 Yêu cầu đối với nơi giao chéo hoặc đi gần ĐDK khác
2.3.6.1.1 ĐDK giao chéo và đi gần ĐDK khác phải có cấu trúc phù hợp tuân thủ theo yêu cầu về kiểu và vị trí cột, dây dẫn, cách điện, khoảng cách từ các dây dẫn đến cột và cấu trúc khác phụ thuộc vào điện áp làm việc.
2.3.6.1.2 Khoảng cách thẳng đứng nhỏ nhất giữa các dây dẫn hoặc giữa dây dẫn và dây chống sét của những ĐDK tại nơi giao chéo nhau với dây dẫn phía trên có độ võng lớn nhất theo quy định trong bảng sau:
Bảng 2.38: Khoảng cách thẳng đứng nhỏ nhất giữa các dây dẫn điện hoặc giữa
dây dẫn điện và dây chống sét tại nơi giao nhau của các ĐDK
|
Tình trạng giao chéo |
Khoảng cột của ĐDK phía dưới (m) |
Khoảng cách thẳng đứng nhỏ nhất (m) ở nơi giao nhau của dây dẫn ĐDK phía trên với độ võng lớn nhất đến cột gần nhất của ĐDK phía dưới (m) |
|||||
|
30 |
50 |
70 |
100 |
120 |
≥150 |
||
|
Các ĐDK có điện áp 500 kV giao chéo với các ĐDK có điện áp đến 500 kV |
200 |
5,0 |
5,0 |
5,0 |
5,5 |
|
|
|
300 |
5,0 |
5,0 |
5,5 |
6,0 |
6,5 |
7,0 |
|
|
450 |
5,0 |
5,5 |
6,0 |
7,0 |
7,5 |
8,0 |
|
|
Các ĐDK có điện áp 220 kV giao chéo với các ĐDK có điện áp đến 220 kV |
Đến 200 |
4,0 |
4,0 |
4,0 |
4,0 |
|
|
|
300 |
4,0 |
4,0 |
4,0 |
4,5 |
5,0 |
5,5 |
|
|
450 |
4,0 |
4,0 |
5,0 |
6,0 |
6,5 |
7,0 |
|
|
Các ĐDK có điện áp 110 kV giao chéo với các ĐDK có điện áp đến 110 kV |
Đến 200 |
3,0 |
3,0 |
3,0 |
4,0 |
|
|
|
300 |
3,0 |
3,0 |
4,0 |
4,5 |
5,0 |
5,5 |
|
|
Các ĐDK có điện đến 35 kV giao chéo với các ĐDK có điện áp đến 35 kV |
Đến 100 |
2,0 |
2,0 |
|
|
|
|
|
150 |
2,0 |
2,5 |
2,5 |
|
|
|
|
Ghi chú: Nếu nằm giữa hoặc ngoài những giá trị trên thì áp dụng phương pháp nội suy.
2.3.6.1.3 Cho phép ĐDK điện áp 110 kV đi dưới dây dẫn của ĐDK điện áp dưới 110 kV vượt phía trên, nếu khoảng cách thẳng đứng nhỏ nhất từ dây dẫn của ĐDK phía trên đến dây dẫn của ĐDK phía dưới lấy theo trị số tương ứng trong bảng trên cộng thêm 2m.
2.3.6.1.4 Khi xác định khoảng cách giữa các dây dẫn của ĐDK giao chéo nhau, phải tính đến khả năng sét đánh vòng vào ĐDK phía dưới để có giải pháp bổ sung chống sét phù hợp.
2.3.6.1.5 Chỗ giao chéo ĐDK đến 220 kV phải lựa chọn gần với cột của đường dây phía trên, nhưng khoảng cách ngang từ cột này đến dây dẫn của đường dây phía dưới khi dây lệch nhiều nhất không được nhỏ hơn 6 m, còn từ đỉnh cột của đường dây phía dưới đến dây dẫn của đường dây phía trên không được nhỏ hơn 6 m.
Đối với cột của ĐDK 500 kV thì khoảng ngang từ cột này đến dây dẫn của đường dây phía dưới khi dây lệch nhiều nhất không được nhỏ hơn 10 m.
2.3.6.2 Khoảng cách ngang giữa các ĐDK đi gần hoặc đi song song
Khoảng cách giữa các ĐDK điện áp trên 1 kV đi gần nhau và song song với nhau, khoảng cách giữa các dây dẫn ngoài cùng của các ĐDK khi dây dẫn ở trạng thái tĩnh, không được nhỏ hơn khoảng cách ngang của hành lang bảo vệ an toàn của ĐDK đó; nếu các ĐDK có điện áp khác nhau thì lấy khoảng cách ngang của ĐDK có điện áp cao hơn.
2.3.7 ĐDK giao chéo với mạng cáp ngoại vi viễn thông
2.3.7.1 Giao chéo với mạng cáp ngoại vi viễn thông đi trên không
2.3.7.1.1 Cáp ngoại vi viễn thông phải bố trí phía dưới dây dẫn thấp nhất của ĐDK khi đi chung cột.
ĐDK giao chéo với mạng cáp ngoại vi viễn thông phải tuân thủ các yêu cầu bảo đảm an toàn ở nơi giao chéo theo quy định trong bảng sau:
Bảng 2.39: Khoảng cách thẳng đứng nhỏ nhất cho phép từ cáp viễn thông cao
nhất đến dây điện lực thấp nhất tại điểm giao chéo
|
Điện áp của đường dây điện lực ( kV) |
Khoảng cách thẳng đứng cho phép (m) |
|
Đến 1 dây trần (dây bọc) |
1,0 (0,6) |
|
Đến 10 |
2,0 |
|
Đến 35 |
3,0 |
|
110 |
3,0 |
|
220 |
4,0 |
|
500 |
5,0 |
2.3.7.1.2 Cho phép cáp viễn thông giao chéo đi trên ĐDK có điện áp đến 1 kV, với điều kiện cáp viễn thông phải bảo đảm các quy định sau:
a) Cáp phải có hệ số an toàn cơ học lớn hơn 1,5;
b) Vỏ bọc cáp phải bảo đảm chịu được điện áp lớn hơn 2 lần điện áp của dây điện lực;
c) Khoảng cột thông tin vượt chéo phải rút ngắn, cột ở 2 đầu khoảng vượt chéo phải chôn vững chắc và có gia cố.
2.3.7.1.3 Yêu cầu về cột cho các loại cáp viễn thông đi gần ĐDK:
a) Khoảng cách nằm ngang từ cột của các ĐDK đến dây dẫn của mạng cáp ngoại vi viễn thông và khoảng cách từ cột của các loại cáp viễn thông treo dưới ĐDK đến dây dẫn thấp nhất của ĐDK không nhỏ hơn quy định trong bảng sau:
Bảng 2.40: Khoảng cách nhỏ nhất giữa cột và đường dây của ĐDK và mạng
cáp ngoại vi viễn thông
|
Mô tả chi tiết khoảng cách |
Khoảng cách nhỏ nhất (m) |
|
Khoảng cách nằm ngang từ cột của các ĐDK có điện áp trên 1 kV đến 220 kV đến dây dẫn của mạng cáp ngoại vi viễn thông |
6 |
|
Khoảng cách nằm ngang từ cột của mạng cáp ngoại vi viễn thông đến dây dẫn của ĐDK có điện áp trên 1 kV đến 220 kV |
7 |
b) Cáp quang OPGW được phép treo trên tất cả các ĐDK;
c) Cáp quang non-metalic được đi chung cột với ĐDK đến 220 kV và chỉ được treo trên thân cột;
d) Không được treo cáp viễn thông trên cột của ĐDK điện áp 500 kV;
đ) Cột treo cáp viễn thông đi gần ĐDK điện áp 500 kV phải tuân thủ các điều kiện sau đây:
- Khoảng cách từ các đầu dây cáp của viễn thông đến dây dẫn thấp nhất của ĐDK điện áp 500 kV không được nhỏ hơn 20 m;
- Khoảng cách hình chiếu trên mặt phẳng ngang của các cột cáp viễn thông và dây dẫn gần nhất ĐDK 500 kV không được nhỏ hơn 15 m.
2.3.7.2 Đi gần các công trình thông tin, tín hiệu
Khi ĐDK điện áp trên 1 kV đi gần với đường ĐTT, ĐTH ngay cả khi chôn ngầm dưới đất, trạm phát thanh truyền hình, trạm phát tín hiệu, trung tâm thu sóng vô tuyến có nhiều trạm và trạm phát thanh truyền hình địa phương, phải bảo đảm khoảng cách an toàn giữa dây dẫn điện với bộ phận gần nhất của các công trình nêu trên.
Bảng 2.41: Khoảng cách nhỏ nhất từ các ĐDK đến cột ăng ten của đài phát
thanh phát hình
|
Ăng ten phát |
Khoảng cách nhỏ nhất (m) |
|
|
Trên 1 kV đến 110 kV |
220 kV và 500 kV |
|
|
Phát sóng dài và sóng trung |
100 |
100 |
|
Phát sóng ngắn ở hướng chính |
200 |
300 |
|
Phát sóng ngắn ở hướng thấp và vô hướng |
150 |
200 |
|
Phát sóng ngắn bên ngoài hướng chính |
50 |
50 |
2.3.7.3 Bảo vệ chống cảm ứng điện từ và nhiễu vầng quang
ĐDK có dây trung tính nối đất, giao chéo hoặc đi gần ĐTT, ĐTH phải có biện pháp bảo vệ ngăn ngừa cảm ứng điện từ và nhiễu vầng quang ảnh hưởng tới công trình thông tin, tín hiệu; trong trường hợp đặc biệt phải thỏa thuận với cơ quan quản lý công trình thông tin.
Chi tiết tính toán nhiễu vầng quang xem Phụ lục N.
2.3.8 ĐDK giao chéo hoặc đi gần các công trình giao thông
2.3.8.1 ĐDK giao chéo hoặc đi gần đường ô tô
ĐDK giao chéo và đi gần đường ô tô phải có kết cấu phù hợp, tuân thủ theo các quy định về cột, cách điện và dây dẫn có tính tới cấp kỹ thuật của đường. ĐDK giao chéo hoặc đi gần đường ôtô phải có khoảng cách an toàn theo quy định trong bảng sau:
Bảng 2.42: Khoảng cách thẳng đứng nhỏ nhất từ dây dẫn đến mặt đường ô tô
và khoảng cách nằm ngang nhỏ nhất từ cột đến đường ô tô theo phân cấp kỹ
thuật và phân loại khu vực
|
Mô tả chi tiết khoảng cách |
Khoảng cách nhỏ nhất (m) |
|||||
|
Đến 1 kV |
Trên 1 kV đến 35 kV |
110 kV |
220 kV |
500 kV |
||
|
Khoảng cách thẳng đứng từ điểm thấp nhất của dây dẫn tại điểm giao chéo khi dây dẫn ở trạng thái võng lớn nhất đến bề mặt đường ô tô |
Khu vực không có dân cư |
5,0 |
5,5 |
6,0 |
7,0 |
10,0 |
|
Khu vực phải tăng cường các biện pháp an toàn |
6,0 |
14,0 |
15,0 |
18,0 |
14,0 |
|
|
Bên ngoài khu vực phải tăng cường các biện pháp an toàn |
6,0 |
7,0 |
7,0 |
8,0 |
14,0 |
|
|
Đường cao tốc |
7,5 |
7,5 |
7,5 |
8,5 |
10,5 |
|
|
Khoảng cách thẳng đứng từ dây dẫn điện trong trường hợp sự cố (dây dẫn ở khoảng cột liền kề có tiết diện nhỏ hơn 185mm2 bị đứt) đến mặt đường ô tô |
5,0 |
5,0 |
5,0 |
5,5 |
10,0 |
|
|
Khoảng cách nằm ngang từ dây dẫn điện ở trạng thái tĩnh đến mép đường cao tốc, đường loại I, II |
1,0 |
2,0 |
4,0 |
5,0 |
10,0 |
|
|
Khoảng cách nằm ngang từ dây dẫn điện ở trạng thái tĩnh đến mép đường đường loại III đến V |
1,0 |
1,5 |
2,5 |
2,5 |
6,0 |
|
|
Khoảng cách từ mép trụ móng gần nhất của đường dây dẫn điện đến mép đường cao tốc, đường loại I, II |
1,0 |
3,0 |
5,0 |
6,0 |
10,0 |
|
|
Khoảng cách từ mép trụ móng gần nhất của đường dây dẫn điện đến mép đường từ loại III đến V |
1,0 |
2,0*) |
3,0*) |
4,0*) |
6,0*) |
|
*): Đối với khu vực có địa hình phức tạp, núi cao, vực sâu, khu vực không có mặt bằng xây dựng và quốc lộ đi qua đô thị, dải phân cách đường cho phép giảm 1m khoảng cách nêu trong bảng.
Khoảng cách từ chân cột của đường dây dẫn điện đến mép đường trong khu vực chật hẹp, nếu phải bố trí nhỏ hơn khoảng cách nêu trên thì phải được sự thỏa thuận của cơ quan quản lý giao thông có thẩm quyền.
2.3.8.2 ĐDK giao chéo hoặc đi gần đường sắt
ĐDK điện áp trên 1 kV giao chéo hoặc đi gần đường sắt phải có kết cấu phù hợp, tuân thủ các yêu cầu về góc giao chéo, giới hạn cột và móng, khoảng cách tới đường sắt.
Bảng 2.43: Khoảng cách từ ĐDK đến công trình đường sắt
|
Điện áp Khoảng cách an toàn phóng điện (m) |
Đến 35 kV |
110 kV |
220 kV |
500 kV |
|
Khoảng cách thẳng đứng từ dây dẫn ở trạng thái võng lớn nhất đến điểm cao nhất của phương tiện, công trình giao thông đường sắt (4,5 m); đến điểm cao nhất của phương tiện, công trình giao thông đường sắt chạy điện (7,5 m). |
3,0 |
3,0 |
4,0 |
7,5 |
|
- Khoảng cách từ dây dẫn ngoài cùng ở trạng thái tĩnh đến hành lang an toàn giao thông đường sắt. - Khoảng cách từ mép ngoài cùng của cột đường dây dẫn điện đến hành lang an toàn giao thông đường sắt. |
1,5 |
2,5 |
3,5 |
4,5 |
2.3.8.3 ĐDK đi gần sân bay
ĐDK điện áp trên 1 kV đi gần sân bay phải có cấu trúc phù hợp và có sự thỏa thuận với cơ quan quản lý hàng không nếu chiều cao cột của ĐDK cao hơn mức quy định và khoảng cách từ ĐDK đến sân bay.
Bảng 2.44: Điều kiện cột cần có thỏa thuận của cơ quan quản lý hàng không
|
Khoảng cách từ ĐDK đên đường ranh giới của sân bay (km) |
Chiều cao của cột |
|
Đến 10 |
Cột có chiều đến đỉnh cột cao hơn 30m |
|
Từ hơn 10 đến 30 |
Cột có chiều cao tuyệt đối đến đỉnh cột bằng hoặc cao hơn chiều cao tuyệt đối của sân bay cộng thêm 50 m |
|
Từ hơn 30 đến 75 |
Cột có chiều cao đến đỉnh cột 100 m hoặc cao hơn |
2.3.9 ĐDK giao chéo với đường cáp treo, đường ống
2.3.9.1 Giao chéo hoặc đi gần đường cáp treo vận tải hoặc đường ống kim loại ĐDK điện áp trên 1 kV giao chéo hoặc đi gần đường cáp vận chuyển trên không và đường ống kim loại đặt nổi phải bảo đảm khoảng cách theo quy định trong bảng sau:
Bảng 2.45: Khoảng cách nhỏ nhất từ dây dẫn có điện áp đến 500 kV đến
đường cáp vận chuyển trên không và đường ống
|
Mô tả khoảng cách |
Điện áp ( kV) |
Khoảng cách nhỏ nhất (m) |
|
Khoảng cách từ dây dẫn điện của ĐDK giao chéo hoặc đi gần đến mép ngoài cùng của phương tiện trên đường cáp vận chuyển trên không và đường ống |
Trên 1 đến 22 |
3 |
|
35,110 |
4 |
|
|
220 |
5 |
|
|
500 |
6,5 |
2.3.9.2 Giao chéo hoặc đi gần đường đường ống khí, dầu và sản phẩm dầu khí
2.3.9.2.1 ĐDK điện áp trên 1 kV giao chéo hoặc đi gần đường ống khí, dầu và sản phẩm dầu khí, van xả khí phải bảo đảm khoảng cách an toàn phòng chống cháy, nổ theo quy định cho công trình dầu khí.
2.3.9.2.2 Khoảng cách nhỏ nhất từ cạnh của móng hoặc phần nối đất (nếu có) của ĐDK đến đường ống dẫn hơi nước, dầu hoặc các sản phẩm dầu khí, vị trí lắp đặt các mối hàn phải bảo đảm khoảng cách an toàn theo áp suất của đường ống.
Bảng 2.46: Khoảng cách nhỏ nhất từ cạnh của móng hoặc phần gần nhất nối
đất của ĐDK đến đường ống dẫn hơi nước, dầu hoặc các sản phẩm dầu khí
|
Áp suất của đường ống (MPa) |
Điện áp ( kV) |
Khoảng cách nhỏ nhất (m) |
|
Đến 1,2 |
Trên 1 đến 35 |
5 |
|
110, 220, 500 |
10 |
|
|
Trên 1,2 |
Trên 1 đến 35 |
5 |
|
110, 220 |
10 |
|
|
500 |
15 |
2.3.9.3 Đi gần ngọn lửa đốt dầu, khí
ĐDK đi gần ngọn lửa đốt dầu, khí khoảng cách an toàn nhỏ nhất từ ĐDK điện áp trên 1 kV đến ngọn lửa phải bảo đảm không nhỏ hơn 60 m.
2.3.9.4 Đi gần công trình chứa chất dễ cháy, nổ
ĐDK điện áp trên 1 kV đi gần nhà và công trình chứa chất cháy, nổ, phải có kết cấu phù hợp và phải có khoảng cách an toàn theo quy định của cơ quan quản lý phòng cháy chữa cháy.
2.3.10 ĐDK đi qua khu vực có nước
2.3.10.1 Giao chéo với khu vực có nước
2.3.10.1.1 ĐDK có điện áp trên 1 kV vượt qua khu vực có nước, nơi tàu, thuyền, phương tiện giao thông qua lại bình thường hoặc khu vực vào mùa lũ lụt, nước tràn vào, các phương tiện giao thông vẫn có thể hoạt động bình thường thì khoảng cách an toàn điện thẳng đứng nhỏ nhất từ dây dẫn điện dưới cùng khi độ võng lớn nhất đến điểm cao nhất của phương tiện giao thông đường thủy nội địa phải theo khoảng cách được quy định trong bảng sau:
Bảng 2.47: Khoảng cách an toàn điện thẳng đứng nhỏ nhất đến điểm cao nhất
của phương tiện giao thông đường thủy nội địa
|
Điện áp |
Đến 35 kV |
110 kV |
220 kV |
500 kV |
|
Khoảng cách an toàn điện đến điểm cao nhất của phương tiện giao thông đường thuỷ nội địa (m) |
1,5 |
2,0 |
3,0 |
4,5 |
2.3.10.1.2 ĐDK có điện áp trên 1 kV vượt qua khu vực không có tàu thuyền qua lại phải bảo đảm theo quy định trong bảng sau:
Bảng 2.48: Khoảng cách thẳng đứng nhỏ nhất từ dây dẫn điện dưới cùng khi
độ võng lớn nhất đến mặt nước nơi không có tàu, thuyền qua lại
|
Đặc điểm của khu vực giao nhau |
Khoảng cách nhỏ nhất (m) |
|||
|
Đến 35 kV |
110 kV |
220 kV |
500 kV |
|
|
- Đến mức nước ngập úng hoặc ngập lụt cao nhất hàng năm trên đồng ruộng. - Đến mực nước cao nhất của sông, suối, hồ, kênh, lạch nơi không có tàu thuyền qua lại |
5,5 |
6,0 |
7,0 |
8,0 |
2.3.10.2 Bố trí tín hiệu và dấu hiệu cho ĐDK trong vùng có nước
Chỗ ĐDK điện áp trên 1 kV giao chéo qua sông, kênh, v.v. nơi có tàu thuyền qua lại, phải bố trí tín hiệu và dấu hiệu phù hợp cả hai bên bờ.
2.3.10.3 Giao chéo với đập và đê
ĐDK điện áp trên 1 kV giao chéo với đập, đê, khoảng cách từ dây dẫn điện với độ võng lớn nhất ở trạng thái tĩnh đến bộ phận của đê hoặc đập phải bảo đảm khoảng cách an toàn theo quy định trong bảng sau:
Bảng 2.49: Khoảng các nhỏ nhất từ dây dẫn đến mặt đê hoặc đập
|
Mô tả chi tiết khoảng cách |
Khoảng cách nhỏ nhất (m) |
||
|
Trên 1 kV đến 110 kV |
220 kV |
500 kV |
|
|
Khoảng cách từ dây dẫn đến mặt đê |
6 |
7 |
10 |
|
Khoảng cách từ dây dẫn đến bờ đê |
5 |
6 |
8 |
|
Khoảng cách từ dây dẫn đến mặt đập tràn |
4 |
5 |
7 |
ĐDK đi qua đê, đập dùng làm đường giao thông thì phải thực hiện theo quy định tương ứng đối với ĐDK giao chéo hoặc đi gần đường ô tô.
Cột của ĐDK nằm trong hành lang bảo vệ của đê, đập phải có sự thỏa thuận của cơ quan quản lý đê, đập.
2.3.10.4 ĐDK đi qua cầu
Khoảng cách nhỏ nhất từ dây dẫn điện của ĐDK đến bề mặt đường của cầu và khoảng cách an toàn phóng điện đến kết cấu của cầu theo các quy định trong quy định hiện hành.
2.3.10.5 Khoảng cách ĐDK đi kết hợp trên cầu
Khoảng cách nhỏ nhất từ dây dẫn điện của ĐDK có điện áp trên 1 kV đi kết hợp trên cầu, đến các bộ phận của cầu phải được lựa chọn theo quy định cho khoảng cách an toàn về điện, khoảng cách an toàn về lưu thông và phải được sự thỏa thuận của cơ quan quản lý giao thông vận tải.
3 YÊU CẦU KỸ THUẬT ĐỐI VỚI TRANG BỊ PHÂN PHỐI VÀ TRẠM BIẾN ÁP
3.1 YÊU CẦU KỸ THUẬT ĐỐI VỚI TBPP ĐIỆN ÁP ĐẾN 1 kV (AC VÀ DC)
3.1.1 Yêu cầu chung
3.1.1.1 Phải lựa chọn dây dẫn, thanh cái, thiết bị điện và các kết cấu theo điều kiện làm việc bình thường (điện áp và dòng điện làm việc, cấp chính xác, v.v.) và khi ngắn mạch (tác động nhiệt và điện, công suất cắt giới hạn, v.v.).
Phải bố trí các mạch của thiết bị sao cho có thể phân biệt được rõ ràng mạch xoay chiều, một chiều, mạch có mức điện áp khác nhau, v.v.
Vị trí tương ứng giữa các pha, các cực trong một TBPP phải được bố trí giống nhau.
3.1.1.2 Tủ bảng phân phối phải đánh số ký hiệu của từng mạch và từng tủ bảng. Nội dung ghi phải đặt ở mặt trước hoặc mặt trong của tủ bảng điện. Trường hợp vận hành ở cả hai mặt, nội dung phải ghi ở cả mặt trước và mặt sau.
3.1.1.3 Tất cả các bộ phận kim loại của TBPP phải được sơn, mạ hay phủ lớp chống ăn mòn. Thanh cái phải được phân biệt bằng màu sắc đúng màu và đánh số theo quy định tại điểm b Điểm 1.2.11 và Điểm 1.9.4.3.
3.1.2 Lắp đặt thiết bị điện điện áp đến 1 kV
3.1.2.1 Lắp đặt an toàn thiết bị điện
Thiết bị điện thường được bố trí sao cho không có tia lửa hay hồ quang điện gây nguy hiểm cho nhân viên vận hành, gây cháy hoặc hư hỏng thiết bị lân cận dẫn đến ngắn mạch giữa các pha và giữa pha với đất trong quá trình vận hành.
Thiết bị đóng cắt điện được bố trí sao cho phần động của thiết bị đóng cắt không mang điện sau khi ngắt điện (Trừ trường hợp do thiết kế thiết bị hoặc do đặc thù bố trí TBPP).
3.1.2.2 Thiết bị đóng cắt điều khiển trực tiếp bằng tay
Thiết bị đóng cắt thao tác trực tiếp bằng tay (không có bộ truyền động) dùng để đóng cắt dòng điện phụ tải và có các tiếp điểm hướng về phía người thao tác, phải đặt trong hộp kín làm bằng vật liệu không cháy.
Nếu thiết bị đóng cắt chỉ dùng để cách ly điện thì được phép đặt hở với điều kiện là người không có nhiệm vụ không thể tiếp cận được.
Trên vỏ và bộ truyền động của thiết bị đóng cắt phải có ký hiệu chỉ rõ vị trí “đóng” - “cắt”.
3.1.3 Tủ bảng phân phối điện điện áp đến 1 kV
3.1.3.1 Khoảng trống nhỏ nhất trong không khí của phần dẫn điện không bọc cách điện
Khoảng trống giữa các phần dẫn điện không bọc cách điện được lắp cố định với các cực tính khác nhau, cũng như giữa chúng với các bộ phận bằng kim loại không mang điện không bọc cách điện phải bảo đảm không nhỏ hơn 20 mm theo bề mặt của vật cách điện và 12 mm trong không khí.
Từ các bộ phận mang điện không bọc cách điện đến rào chắn phải bảo đảm khoảng cách không nhỏ hơn 100 mm với rào bằng tấm lưới và 40 mm với rào bằng tấm kín .
3.1.3.2 Những yêu cầu lắp đặt cáp trong tủ điện
Các dây dẫn không có lớp bảo vệ cơ học nhưng có bọc cách điện chịu được điện áp làm việc 660 V trở lên có thể đặt trên bề mặt kim loại đã được bảo vệ chống ăn mòn và đặt sát nhau. Khi đó, đối với dây dẫn cấp nguồn cho các mạch động lực phải tính đến hệ số giảm dòng điện theo qui định nêu trong Phụ lục O.
3.1.3.3 Thiết bị điều khiển, đo lường
Các thiết bị điều khiển, đo lường phải thỏa mãn với các yêu cầu theo quy định trong phần điều khiển, đo lường.
3.2 YÊU CẦU KỸ THUẬT ĐỐI VỚI TBPP VÀ TBA ĐIỆN ÁP TRÊN 1 KV
3.2.1 Quy định chung
3.2.1.1 Phạm vi áp dụng
Phần này áp dụng cho trang bị phân phối (TBPP) và trạm biến áp (TBA) cố định, điện áp xoay chiều trên 1 kV đến 500 kV; không áp dụng cho TBPP và TBA chuyên dùng được quy định theo các điều kiện kỹ thuật đặc biệt và các thiết bị điện di động.
Trang bị phân phối cách điện khí (GIS) thực hiện theo yêu cầu của nhà chế tạo và tổ chức/đơn vị thiết kế.
3.2.1.2 Yêu cầu chung
3.2.1.2.1 Yêu cầu lựa chọn
a) Phải lựa chọn dây dẫn, thanh cái, thiết bị điện và các kết cấu theo điều kiện làm việc bình thường (điện áp và dòng điện làm việc, cấp chính xác, v.v.) và khi ngắn mạch (tác động nhiệt và điện, công suất cắt giới hạn, v.v.);
b) Chọn máy cắt phù hợp với điện áp sử dụng, dòng điện tải, khả năng cắt, khả năng đóng và các điều kiện môi trường lắp đặt ;
Chi tiết yêu cầu kỹ thuật lựa chọn máy cắt xem Phụ lục P-1.
c) Chọn cầu chảy phải theo điện áp sử dụng, khả năng cắt, xem xét ổn định nhiệt và các điều kiện môi trường lắp đặt ;
Chi tiết yêu cầu kỹ thuật lựa chọn cầu chảy xem Phụ lục P-2.
3.2.1.2.2 Thiết bị điện, các phần dẫn điện, cách điện, phụ kiện kẹp giữ, rào chắn, các kết cấu chịu lực, khoảng cách cách điện và khoảng cách khác phải được lựa chọn và lắp đặt sao cho:
a) Trong điều kiện làm việc bình thường, các lực tĩnh và động, phát nóng, hồ quang điện và các hiện tượng khác (đánh lửa, sinh khí, v.v.) không gây hư hỏng thiết bị, kết cấu và gây ngắn mạch giữa các pha hoặc giữa pha với đất và không gây nguy hiểm cho người;
b) Trong điều kiện làm việc không bình thường phải có khả năng hạn chế những hư hỏng do hiện tượng ngắn mạch gây ra;
c) Khi cắt điện một mạch điện bất kỳ, các thiết bị điện, phần dẫn điện và kết cấu thuộc mạch ấy, có thể kiểm tra, thay thế và sửa chữa một cách an toàn mà không ảnh hưởng đến chế độ làm việc bình thường của các mạch điện lân cận;
d) Bảo đảm khả năng vận chuyển dễ dàng và an toàn các thiết bị trong trạm.
3.2.1.2.3 Khi lựa chọn các thiết bị điện, phần dẫn điện, cách điện, phải xét theo điều kiện ổn định động, ổn định nhiệt, còn đối với máy cắt phải xét thêm khả năng đóng cắt và phải tuân theo các quy định nêu trong Quy chuẩn kỹ thuật này.
a) Phải đặt máy cắt đầu vào tại các trạm 110 kV trở lên và các trạm đến 35 kV có công suất máy biến áp lớn hơn 1600 kVA.
b) Phải đặt máy cắt hoặc cầu chảy tự rơi (hoặc cầu chảy kết hợp với cầu dao/cầu dao phụ tải) cho máy biến áp từ 35 kV công suất 1600 kVA trở xuống và các tụ điện.
3.2.1.2.4 Kết cấu để lắp đặt thiết bị điện phải chịu được lực tác động do trọng lượng thiết bị, do lực tác động phát sinh khi thao tác, ngắn mạch và các điều kiện tự nhiên bất lợi. Kết cấu xây dựng ở gần các phần dẫn điện mà người có thể chạm tới, không được nóng quá 50°C do dòng điện và khi không chạm tới được thì không được nóng quá 70°C. Không cần kiểm tra độ nóng các kết cấu ở gần các phần dẫn điện có dòng điện xoay chiều danh định 1 kA trở xuống.
3.2.1.2.5 Khi bố trí TBPP và TBA ở nơi môi trường có tác hại cho thiết bị và thanh dẫn hoặc làm giảm mức cách điện thì phải có biện pháp bảo đảm thiết bị làm việc tin cậy và an toàn như:
a) Dùng cách điện tăng cường;
b) Dùng thanh dẫn bằng vật liệu chịu được ảnh hưởng của môi trường hoặc có biện pháp bảo vệ;
c) Bố trí tránh hướng gió gây tác hại;
d) Dùng TBPP và TBA kiểu kín hoặc trạm GIS, ...
đ) Chống bụi, các chất khí có hại và hơi nước lọt vào khu vực lắp đặt TBPP.
3.2.1.2.6 Ký hiệu pha của thiết bị điện, thanh dẫn của TBPP và TBA phải có màu phù hợp với những quy định nêu trong điểm b Điểm 1.2.11. MBA, cuộn kháng, tụ điện và các thiết bị điện khác đặt ngoài trời phải có màu sáng để giảm nhiệt độ do bức xạ mặt trời trực tiếp gây ra.
3.2.1.2.7 TBPP và TBA 110 kV trở lên phải được trang bị hệ thống chiếu sáng cho vận hành, giám sát và bảo dưỡng. Phải lắp đèn chiếu sáng sự cố khi mất nguồn cấp điện AC. Đèn chiếu sáng sự cố được sử dụng nguồn điện DC của trạm và cường độ chiếu sáng phải phù hợp với khu vực công tác.
Cường độ chiếu sáng trong từng khu vực phù hợp các quy định hiện hành.
3.2.1.2.8 TBPP và TBA phải trang bị hệ thống thông tin liên lạc phù hợp với yêu cầu vận hành.
3.2.1.2.9 Phải thử nghiệm khả năng chịu đựng điện áp của thiết bị theo các điều kiện được quy định tương ứng với cấp điện áp tại vị trí lắp đặt.
3.2.1.2.10 Việc nối đất TBPP và TBA phải được thực hiện theo quy định tại Điểm 1.7.4. Các phần mang điện của TBPP khi cắt điện để sửa chữa cần trang bị thiết bị nối đất cố định hoặc có chỗ để có thể lắp nối đất di động theo yêu cầu thiết kế cụ thể của công trình.
3.2.1.2.11 Các TBPP phải được bố trí và lắp đặt sao cho những chấn động phát sinh khi thiết bị hoạt động, kể cả sự rung lắc do tác động từ lực bên ngoài, không làm hư hỏng các mối nối tiếp xúc, không gây ra sự nhiễu loạn và sự làm việc bất bình thường của thiết bị trong giới hạn chịu đựng theo thiết kế.
3.2.1.2.12 Phải bố trí tổng mặt bằng của TBPP, TBA sao cho không bị ngập lụt, sụt lở, v.v.
3.2.1.2.13 Đối với TBPP và TBA bố trí ở khu dân cư và công trình công nghiệp phải có biện pháp giảm tiếng ồn do thiết bị điện (máy biến áp, máy bù đồng bộ, v.v.) gây ra theo theo mức quy định trong Điểm 1.5.1.
3.2.1.2.14 Khu vực TBPP và TBA ngoài trời phải có rào chắn bên ngoài cao ít nhất 2,0 m. Rào chắn nội bộ trong trạm (nếu có) cao 1,8 m. Rào chắn có thể là loại kín, loại hở, hoặc loại lưới. Không cần rào chắn với các TBA trên cột, trạm trong nhà, trạm trọn bộ.
3.2.1.2.15 Tại TBPP và TBA có thiết bị có dầu (trừ TBPP và TBA trên cột) phải có hệ thống thu gom dầu theo quy định trong Điểm 1.5.3.
3.2.2 Trang bị phân phối điện ngoài trời
3.2.2.1 Lắp đặt ngoài trời
Khi lắp đặt các TBPP ở ngoài trời cần phải tuân theo các yêu cầu sau đây:
3.2.2.1.1 Thiết bị (kể cả giá lắp) cần phải được bố trí trên mặt nền phẳng ở độ cao ít nhất là 0,3 m so với nền, và ít nhất là 0,5 m đối với tủ bảng điện.
3.2.2.1.2 Trong các tủ điện, nếu có yêu cầu, phải bố trí sấy tại chỗ để bảo đảm sự hoạt động bình thường của các thiết bị, rơ-le, khí cụ đo lường và đo đếm điện năng.
3.2.2.2 Giao chéo của các hệ thanh dẫn
Nhánh rẽ từ hệ thống thanh dẫn thường bố trí phía dưới thanh dẫn. Nhánh rẽ trong cùng một khoảng cột không được phép vượt bên trên hai hoặc nhiều phân đoạn hoặc hệ thống thanh dẫn khác.
3.2.2.3 Nối rẽ nhánh giữa khoảng cột
Phải sử dụng dây dẫn mềm để nối rẽ nhánh ở trong các khoảng cột. Mối nối dây lèo ở cột, mối nối rẽ nhánh trong khoảng cột, mối nối với các đầu kẹp dây dẫn tới thiết bị thực hiện bằng cách ép, hàn chảy hoặc kẹp bắt bulông.
Khi nối rẽ nhánh, không được cắt dây dẫn chính trong khoảng cột.
3.2.2.4 Tính toán dây dẫn điện và kết cấu
Tải trọng gió tác động lên thanh dẫn và kết cấu, cũng như nhiệt độ tính toán của không khí phải xác định theo quy định nêu trong Điểm 2.3.2.9.
Khi xác định lực tác động lên thanh dẫn mềm và lên đầu vật cách điện của thiết bị hoặc MBA, phải tính khối lượng các chuỗi cách điện và các nhánh rẽ xuống các thiết bị và MBA.
Khi xác định lực tác động lên kết cấu phải tính thêm lực do khối lượng của người có mang dụng cụ và phương tiện lắp ráp như sau:
- 250 kg đối với cột 500 kV.
- 200 kg khi dùng cách điện treo cho cột néo đến 220 kV.
- 150 kg khi dùng cách điện treo cho cột đỡ đến 220 kV.
- 100 kg khi dùng cách điện đứng.
3.2.2.5 Hệ số an toàn
3.2.2.5.1 Thanh dẫn mềm: Hệ số an toàn cơ học (so với ứng suất kéo đứt tạm thời) đối với các thanh dẫn mềm, khi có lực tác động không được nhỏ hơn 3.
3.2.2.5.2 Cách điện treo: Hệ số an toàn cơ học (so với tải trọng phá hủy cho phép) đối với cách điện treo không được nhỏ hơn 4.
3.2.2.5.3 Thanh dẫn cứng: Lực cơ học tính toán truyền từ thanh dẫn cứng lên cách điện đứng, phải tính toán dựa trên theo quy định nêu trong Điểm 2.3.2.7, Phụ lục K.
3.2.2.5.4 Phụ kiện thanh dẫn mềm: Hệ số an toàn cơ học (so với tải trọng phá hủy cho phép) đối với phụ kiện để lắp cầu thanh dẫn mềm không được nhỏ hơn 3.
3.2.2.6 Vật liệu chế tạo cột
Cột của TBPP ngoài trời chế tạo bằng bê tông cốt thép hoặc bằng thép.
3.2.2.7 Lựa chọn vật cách điện
3.2.2.7.1 Cách điện kiểu đỡ và treo của trạm phải chọn theo tiêu chuẩn đường rò bề mặt cách điện của vùng khí hậu xây dựng công trình, theo điện áp dây hiệu dụng lớn nhất khi vận hành và theo tính toán nêu trong Điểm 2.3.3.12.
Đối với cách điện treo trong trạm được tăng cường cách điện so với tính toán nêu trên:
a) Thêm 01 bát cho chuỗi 110 kV và 220 kV;
b) Thêm 02 bát cho chuỗi đỡ và 03 bát cho chuỗi néo 500 kV;
c) Thêm 02 bát của chuỗi đấu với ĐDK 35 kV có dây chống sét không kéo vào trạm.
3.2.2.7.2 Cách điện đầu vào và cách điện đỡ thanh dẫn hở ngoài trời của máy phát điện điện áp đầu cực 6 kV và 10 kV phải chọn 20 kV; 13,8-24 kV phải chọn 35 kV. Khi bố trí các vật cách điện kể trên trong vùng có không khí nhiễm bẩn, thì việc chọn tiêu chuẩn đường rò bề mặt phải tính đến mức độ nhiễm bẩn.
3.2.2.8 Khoảng trống cách điện nhỏ nhất trong không khí của các thiết bị phân phối và trạm biến áp trong nhà và ngoài trời

Hình 3.1: Khoảng trống cách điện nhỏ nhất (N) giữa các phần mang điện và
giữa các phần mang điện với đất đối với thanh cái cứng
Khoảng trống cách điện nhỏ nhất trong không khí (N) của các TBPP và TBA ngoài trời và trong nhà ở độ cao đến 1000m trên mực nước biển, giữa các phần mang điện và giữa các phần mang điện với đất phải lớn hơn hoặc bằng khoảng trống cách điện nhỏ nhất được quy định trong bảng sau:
Bảng 3.1: Khoảng trống nhỏ nhất của trạm cho cấp điện áp đến 220 kV
|
Điện áp danh định của hệ thống |
Điện áp cao nhất đối với thiết bị |
Điện áp chịu tần số công nghiệp ngắn hạn(1) |
Điện áp chịu đựng xung sét định mức(2) |
Khoảng trống nhỏ nhất giữa pha-đất (p-đ) và pha-pha (p-p)(3) |
|
(kV) |
(kV) |
(kV) |
(kV) |
(mm) |
|
6 |
7,2 |
20 |
60 |
90 |
|
10 |
12 |
28 |
75 |
120 |
|
15 |
17,5 |
38 |
95 |
160 |
|
22 |
24 |
50 |
125 |
220 |
|
35 |
38,5 |
70 |
170 |
320 |
|
40,5 |
80 |
185 |
350 |
|
|
66 |
72,5 |
140 |
325 |
630 |
|
110 |
123 |
230 |
550 |
1100 |
|
220 |
245 |
460 |
1050 |
2100 |
Ghi chú:
- (1) Tần số công nghiệp ngắn hạn: Tần số từ 45 Hz đến 65 Hz, thời gian 60 giây.
- (2) Xung sét định mức áp dụng cho pha-pha và pha-đất (Xung điện áp tiêu chuẩn).
- (3) Khoảng trống nhỏ nhất (p-đ, p-p) được xác định từ điện áp chịu đựng xung sét định mức (Mức cách điện cơ bản - BIL). Đối với các TBPP, TBA lắp sẵn đến 35 kV, được chế tạo theo các tiêu chuẩn kỹ thuật quốc tế riêng (IEC ...), thì cho phép các khoảng trống p-p, p-đ thấp hơn quy định này nếu các thử nghiệm điển hình trên cấu hình thực tế của chúng hoặc cấu hình tương tự đã chứng minh được rằng chúng đáp ứng yêu cầu về xung điện áp tiêu chuẩn, có xét đến các điệu kiện môi trường liên quan.
- Đối với thiết bị được lắp đặt ở độ cao trên 1000m trên mực nước biển, thì các khoảng trống nhỏ nhất của N phải tăng thêm 1,4% cho mỗi 100m tăng cao trên độ cao 1000m.
Bảng 3.2: Khoảng trống nhỏ nhất của trạm cho cấp điện áp 500 kV
|
Điện áp danh định của hệ thống |
Điện áp cao nhất đối với thiết bị |
Điện áp chịu tần số công nghiệp ngắn hạn *2) |
Điện áp chịu đựng xung sét định mức *1) |
Điện áp chịu xung đóng cắt định mức |
Khoảng trống nhỏ nhất giữa pha-đất (Np-đ) |
Khoảng trống nhỏ nhất giữa pha-pha (Np-p) |
|||
|
Pha | đất |
Pha | pha |
Dây dẫn | cấu trúc công trình |
Thanh dẫn | cấu trúc công trình |
Dây dẫn | dây dẫn song song |
Thanh dẫn | dây dẫn |
||||
|
kV |
kV |
kV |
kV |
kV |
mm |
mm |
|||
|
500 |
550 |
680/620 |
1550 |
1175 |
1763 |
3100 |
4100 |
4200 |
5000 |
Ghi chú: (*1) Xung sét định mức áp dụng cho pha-pha và pha-đất
(*2) 48Hz ≤ tần số điện ≤ 52Hz, thời gian = 60giây
Khoảng trống nhỏ nhất (Np-đ, Np-p) được xác định từ điện áp chịu xung đóng cắt định mức.
3.2.2.9 Khoảng trống nhỏ nhất trong các điều kiện riêng biệt:
3.2.2.9.1 Khoảng trống nhỏ nhất giữa các phần mang điện mà chúng có thể chịu tình trạng đối pha thì phải lấy 20 % cao hơn các giá trị cho trong Bảng 3.1 và Bảng 3.2.
3.2.2.9.2 Nếu các dây dẫn bị dịch chuyển do ảnh hưởng của các lực ngắn mạch thì khoảng trống nhỏ nhất vẫn phải ít nhất bằng 50 % giá trị cho trong Bảng 3.1 và Bảng 3.2.
3.2.2.9.3 Nếu các dây dẫn bị dịch chuyển do ảnh hưởng của gió, trong trường hợp bất lợi nhất, phải duy trì khoảng trống nhỏ nhất ít nhất bằng 75 % giá trị cho trong Bảng 3.1 và Bảng 3.2.
3.2.2.9.4 Đối với hệ thống sử dụng hệ dẫn điện mềm, khoảng trống nhỏ nhất giữa các phần mang điện của các pha và giữa các phần mang điện với đất gọi là Nm (ở điện áp U ≤ 220 kV) sẽ không được nhỏ hơn Nm = N + a
Trong đó:
a = f sin x
f = độ võng của dây dẫn ở nhiệt độ trung bình tính toán năm là 25 oC (m)
x = arctang (P/Q)
Q = trọng lượng của 1m dây dẫn (N/m)
P = lực gió trên 1m dây dẫn (N/m), trong đó vận tốc gió được chọn bằng 60% giá trị sử dụng trong tính toán công trình.
Đối với điện áp 500 kV, khi dùng thanh cái mềm, khoảng trống pha-pha và pha- đất là: Nm(p-p) = N(p-p)+a và Nm(p-đ) = N(p-đ)+a.

Hình 3.2: Khoảng trống nhỏ nhất giữa các phần mang điện của các pha và giữa các phần mang điện với đất trong trường hợp sử dụng hệ dẫn điện mềm
3.2.2.9.5 Trường hợp đứt một chuỗi trong nhiều chuỗi cách điện, khoảng trống thực tế khi đó phải ít nhất bằng 75% khoảng trống nhỏ nhất trong Bảng 3.1 và Bảng 3.2.
3.2.2.9.6 Trường hợp hư hỏng một hoặc nhiều phần tử trong một chuỗi cách điện, tổng chiều dài dòng rò thực tế khi đó phải ít nhất bằng 75% rò thiết kế.
3.2.2.9.7 Yêu cầu cách điện của điểm trung tính được xác định theo phương pháp nối đất điểm trung tính đã sử dụng. Nếu điểm trung tính không được nối đất hiệu quả trong công trình được cấp điện qua máy biến áp tự ngẫu, thì mức cách điện của phía điện áp thấp phải lấy theo mức cách điện của phía điện áp cao.
3.2.2.9.8 Khoảng trống nhỏ nhất giữa các phần mang điện áp khác nhau, phải ít nhất bằng 125% khoảng trống của mức cách điện cao hơn.
Bảng 3.3: Khoảng trống nhỏ nhất giữa phần mang điện của một TBPP với các
phần của TBPP khác ở ngoài trời
|
Hình vẽ số: |
Khoảng cách |
Ký hiệu |
Khoảng trống cách điện nhỏ nhất (mm) theo điện áp danh định ( kV) |
|||||
|
Đến 15 |
22 |
35 |
110 |
220 |
500 |
|||
|
3.1 |
Pha-đất Pha-pha |
Np-đ Np-p |
160 |
330 |
400 |
1100 |
2100 |
(*1) |
|
3.3 |
Từ phần mang điện đến mép trong hàng rào nội bộ: Rào kín,cao ≥ 1,8m Rào lưới, cao ≥ 1,8m |
B1 B2,3 |
160 240 |
270 350 |
400 480 |
1100 1200 |
2100 2200 |
4100 4200 |
|
3.4 |
Từ phần mang điện đến đỉnh hàng rào quanh trạm: Rào kín,cao ≥ 2,0m Rào lưới,cao ≥ 2,0m |
C E |
1160 1660 |
1270 1770 |
1400 1900 |
2100 2600 |
3100 3600 |
5100 5600 |
|
3.4 |
Từ phần mang điện đến mặt bằng chỗ có đường ô tô trong trạm |
H' |
4300 |
4300 |
4300 |
6000 |
6600 |
8600 |
|
3.4 3.5 3.6 |
Từ phần mang điện đến mặt bằng trong khu vực đi lại |
H |
2500 |
2520 |
2650 |
3350 |
4350 |
6350 |
|
3.5 |
Khoảng trống sửa chữa mạch này không phải cắt điện mạch kia |
Dv |
1160 |
1270 |
1400 |
2100 |
4100 |
6100 |
|
3.6 |
Khoảng trống giữa khung vận chuyển và phần mang điện |
T |
500 |
500 |
500 |
1200 |
2200 |
4200 |
|
Ghi chú: (*1) Khoảng trống nhỏ nhất theo quy định trong Bảng 3.2 |
||||||||
3.2.2.10 Các khoảng trống tới rào chắn bảo vệ
Khoảng trống nhỏ nhất giữa các phần mang điện đến rào chắn bảo vệ:
3.2.2.10.1 Đối với rào chắn kín, chiều cao nhỏ nhất 1800 mm, thì khoảng trống bảo vệ là B1 = N.
3.2.2.10.2 Đối với thiết bị Um lớn hơn 35 kV, rào chắn bằng lưới hoặc tường cứng có các ô mở, có chiều cao tổi thiểu là 1800mm thì khoảng trống bảo vệ nhỏ nhất là B2 = N + 100mm.
3.2.2.10.3 Đối với thiết bị Um đến 35 kV, rào chắn bằng lưới hoặc tường cứng có các ô mở, có chiều cao tổi thiểu là 1800 mm thì khoảng trống bảo vệ nhỏ nhất là B3 = N + 80 mm.

Hình 3.3: Bảo vệ chống tiếp xúc trực tiếp với phần mang điện bằng rào chắn
3.2.2.11 Chiều cao nhỏ nhất trên khu vực gần hàng rào TBA
3.2.2.11.1 Khoảng cách từ đỉnh hàng rào có chiều cao nhỏ nhất là 2000 mm của PNTđến phần mang điện trong trạm:
a) Hàng rào kín: C = N + 1000 mm;
b) Hàng rào lưới sợi sắt/lưới mắt cáo: E = N + 1500 mm;
Lỗ mở lớn nhất của lưới sợi sắt/lưới mắt cáo không vượt quá 50 mm.
3.2.2.11.2 Chiều cao nhỏ nhất giữa các phần mang điện phía trên mặt đường ô tô trong trạm phải bảo đảm như sau:
a) H' = 4300 mm đối với điện áp định mức Um đến 35 kV;
b) H' = N + 4500 mm (nhỏ nhất 6000 mm) đối với điện áp định mức Um trên 35 kV, H' được tính với độ võng lớn nhất của dây dẫn.
|
|
N: Khoảng trống nhỏ nhất (mm) H’: Khoảng trống nhỏ nhất giữa phần mang điện và mặt bằng đi lại ở trong trạm (mm) H: Nếu khoảng trống này nhỏ hơn quy định thì phải có rào chắn a: Nếu khoảng trống này nhỏ hơn 2250 mm thì phải có rào chắn |
Hình 3.4: Khoảng trống giới hạn và chiều cao nhỏ nhất ở hàng rào/tường trạm
3.2.2.12 Khoảng trống làm việc nhỏ nhất
3.2.2.12.1 Chiều cao nhỏ nhất trên khu vực tiếp cận
a) H: Chiều cao nhỏ nhất giữa các phần mang điện phía trên mặt bằng hoặc nền, nơi chỉ cho phép người đi bộ tiếp cận;
b) Phần thấp nhất của cách điện, mép dưới cùng của cách điện, không được nhỏ hơn 2250mm đến mặt nền.
N: Khoảng trống nhỏ nhất (Xem Bảng 3.3);
Dv: Khu vực làm việc nhỏ nhất.
Khi các mạch có các điện áp khác nhau, áp dụng giá trị (Dv) của mạch điện áp cao hơn.
DV = N + 1000 mm cho Un ≤ 110 kV;
DV = N + 2000 mm cho Un > 110 kV;
DL - Vùng nguy hiểm: Khu vực giới hạn nhỏ nhất xung quanh các phần mang điện không được bảo vệ để tránh tiếp xúc trực tiếp.
DV-N: Khu vực làm việc an toàn đối với các hoạt động bình thường.
Un: Điện áp định mức của hệ thống;

Hình 3.5: Chiều cao nhỏ nhất và khoảng cách làm việc nhỏ nhất
3.2.2.13 Các tuyến vận chuyển
3.2.2.13.1 Trong khu vực bố trí thiết bị của các hệ thống phân phối điện ngoài trời và các trạm biến áp phải xây dựng các tuyến đường để vận chuyển, lắp ráp, sửa chữa và kiểm tra các thiết bị phân phối điện điện áp đến 500 kV.
3.2.2.13.2 Chiều rộng nhỏ nhất của đường vận chuyển là ≥ 3,5 m.
3.2.2.13.3 Khung vận chuyển tối thiểu của đường trong trạm có chiều rộng là 4,0 m và chiều cao là 4,30 m. Khoảng cách từ phần mang điện đến khung vận chuyển là T = N+100 mm (nhỏ nhất là 500 mm).
3.2.2.13.4 Các phần mang điện ở bên trên khu vực có thể đi lại được phải bảo đảm chiều cao nhỏ nhất là H. Đối với các phần mang điện không có phương tiện bảo vệ, chiều cao nhỏ nhất H = N + 2250 mm (nhỏ nhất là 2500 mm) đến mặt nền. Chiều cao H được tính với độ võng lớn nhất của dây dẫn.

Hình 3.6: Khoảng cách tiếp cận nhỏ nhất đến khung vận chuyển
3.2.2.14 Khoảng cách gần với tòa nhà

Hình 3.7: Khoảng cách gần với tòa nhà
Ở những vị trí dây dẫn trần đi qua tòa nhà nằm bên trong TBA, khoảng cách từ dây dẫn có độ võng lớn nhất đến mái và đến tường nhà phải bảo đảm như sau:
- H: Khoảng cách đối với mái có thể tiếp cận khi dây dẫn mang điện;
- N + 500 mm: đối với mái không thể tiếp cận khi dây dẫn mang điện;
- Dv: khoảng cách từ phần mang điện đến tường ngoài có cửa sổ không có lưới bảo vệ;
- B2: khoảng cách từ phần mang điện đến tường ngoài có cửa sổ có lưới bảo vệ;
- N: khoảng cách từ phần mang điện đến tường không có cửa sổ;
- O2 ≥ N+300 mm (nhỏ nhất là 600 mm): theo chiều ngang, tính từ mép mái nhà mà người có thể tiếp cập được đến phần mang điện.
3.2.2.15 Khoảng cách phòng cháy chữa cháy của trạm biến áp ngoài trời
Các trạm biến áp ngoài trời phải đảm bảo khoảng cách phòng cháy, chữa cháy theo quy định phòng cháy chữa cháy hiện hành.
3.2.3 Trang bị phân phối điện trong nhà
3.2.3.1 Hành lang vận chuyển
Trong các khu vực vận hành thiết bị điện bố trí trong nhà, lối đi của phương tiện vận chuyển hoặc các thiết bị di động ở bên dưới hoặc ở gần các phần mang điện (không có các biện pháp bảo vệ) phải thỏa mãn những điều kiện sau:
- Khoảng trống nhỏ nhất từ phần mang điện đến phần nhô ra gần nhất của thiết bị trên phương tiện vận chuyển là T = N + 100 (nhỏ nhất là 500 mm);
- Các phần mang điện ở bên trên khu vực có thể đi lại được phải bảo đảm chiều cao nhỏ nhất là H.

Hình 3.8: Khoảng trống tiếp cận nhỏ nhất đến phần vận chuyển
3.2.3.2 Khoảng trống nhỏ nhất trong không khí của các thiết bị của trạm biến áp trong nhà
Khoảng trống nhỏ nhất trong không khí của các thiết bị của trạm biến áp trong nhà phải thỏa mãn những yêu cầu quy định trong bảng sau:
Bảng 3.4: Khoảng trống nhỏ nhất giữa phần mang điện của một TBPP với các
phần của TBPP khác ở trong nhà
|
Hình |
Ghi chú |
Ký hiệu |
Khoảng trống cách điện nhỏ nhất (mm) theo điện áp danh định ( kV) |
||||||
|
6 |
10 |
15 |
22 |
35 |
110 |
220 |
|||
|
3.1 |
Pha-đất Pha-pha |
Np-đ |
60 |
120 |
120 |
220 |
320 |
900 |
1900 |
|
3.9 |
Từ phần mang điện đến rào chắn kín |
B |
60 |
120 |
120 |
220 |
320 |
900 |
1900 |
|
3.9 |
Từ phần mang điện đến rào chắn lưới |
C |
140 |
200 |
200 |
300 |
400 |
1000 |
2000 |
|
3.9 |
Giữa các phần mang điện không rào chắn của các mạch khác nhau |
D |
2000 |
2000 |
2000 |
2200 |
2200 |
2900 |
3800 |
|
3.10 |
Từ phần mang điện không rào chắn tới sàn nhà |
E |
2500 |
2500 |
2500 |
2520 |
2570 |
3350 |
4350 |
|
3.9 |
Từ má và lưỡi dao cách ly ở vị trí cắt đến dây nối vào má kia |
F |
90 |
160 |
160 |
270 |
320 |
1100 |
2100 |
|
3.10 |
Từ đầu ra không rào chắn của nhà TBPP đến đất không thuộc địa phận TBPP ngoài trời và không có đường đi |
I |
4300 |
4300 |
4300 |
4300 |
4300 |
6000 |
6600 |
|
|
- L: theo Mục 3.2.3.8 - D: khoảng trống nhỏ nhất giữa các mạch khác nhau không có rào chắn bảo vệ - F: khoảng cách từ má và lưỡi dao cách ly ở vị trí cắt đến dây nối vào má kia - B: khoảng trống từ phần mang điện đến rào kín - C: khoảng cách từ phần mang điện đến rào lưới |
Hình 3.9: Khoảng trống nhỏ nhất giữa phần mang điện của một TBPP với các phần của TBPP khác ở trong nhà
|
|
- Từ đầu ra không rào chắn của nhà TBPP đến đất bên ngoài không thuộc địa phận TBPP ngoài trời và không có đường đi không nhỏ hơn giá trị hơn I: I: Chiều cao nhỏ nhất: - Um ≤ 35kV: 4300 mm - Um > 35kV: N + 4500 mm (nhỏ nhất 6000 mm) Nếu khoảng cách từ phần mang điện đến mặt đất nhỏ hơn giá trị I thì phải có tấm rào chắn bảo vệ đặt phía dưới ở độ cao là 2500 mm. - Khoảng cách từ phần mang điện trong nhà đến sàn nhà E, giá trị E được tính như sau: E = N + 2250 mm (nhỏ nhất là 2500 mm) Nếu khoảng cách từ phần mang điện đến sàn nhà nhỏ hơn giá trị E thì phải có tấm rào chắn bảo vệ đặt phía dưới ở độ cao là 1900 mm. |
Hình 3.10: Chiều cao nhỏ nhất trên hành lang đi lại trong nhà và khu vực không
có đường đi lại bên ngoài TBA
3.2.3.3 Mức chịu lửa của các buồng phân phối và tủ bảng điện
3.2.3.3.1 Nhà và buồng phân phối, buồng MBA phải được làm bằng vật liệu có mức chịu lửa theo những quy định liên quan.
3.2.3.3.2 Khung bảng điện, vỏ và các bộ phận khác được chế tạo bằng vật liệu theo các quy định phòng cháy chữa cháy. Yêu cầu này không bao hàm các bảng sơ đồ điều độ lưới điện hoặc bảng loại tương tự.
3.2.3.4 Buồng phân phối riêng
TBPP trong nhà điện áp đến 1 kV và trên 1 kV nên được bố trí trong các buồng riêng. Yêu cầu trên không áp dụng cho TBA trọn bộ điện áp đến 35 kV. Cho phép bố trí thiết bị đến 1 kV và trên 1 kV trong phòng chung, nếu TBPP hoặc TBA do cùng một cơ quan quản lý. Các buồng TBPP, MBA, v.v. nên đặt cách biệt với các phòng điều khiển và phụ trợ khác.
3.2.3.5 Điều kiện về vị trí lắp đặt
Không được bố trí MBA và hệ thống phân phối tại các vị trí như sau:
3.2.3.5.1 Ở dưới các dây chuyền công nghệ ẩm ướt, phòng tắm, phòng vệ sinh, v.v. trừ khi không thể khắc phục. Trong trường hợp như vậy, phải có biện pháp chống nước thấm vào buồng MBA và thiết bị phân phối;
3.2.3.5.2 Ở ngay bên dưới hoặc trên các phòng tập trung trên 50 người trong thời gian trên 1 giờ. Yêu cầu này không bắt buộc áp dụng cho MBA khô hoặc chứa chất không cháy.
3.2.3.6 Khoảng cách từ các bộ phận mang điện với rào chắn
Khi bộ phận mang điện hở được bố trí thấp hơn độ cao H, nơi con người có thể tiếp cận, thì phải đặt vách ngăn hoặc được rào bảo vệ. Trường hợp đó, khoảng cách giữa bộ phận mang điện và rào chắn phải bảo đảm khoảng cách B hoặc C.
Bộ phận mang điện hở đặt thấp hơn giá trị E mà phía dưới là hành lang đi lại thì phải lắp đặt rào chắn bảo vệ. Chiều cao của rào chắn bảo vệ không được nhỏ hơn 1900mm (xem Hình 3.10).
Không cần đặt chắn bảo vệ đối với thiết bị nếu khoảng cách từ mép thấp nhất của sứ cách điện đến sàn lớn hơn 2200 mm và phần mang điện hở cao hơn E (xem Hình 3.10).
3.2.3.7 Khoảng cách giữa bộ phận mang điện không có vách ngăn
Khoảng cách phần mang điện của hai ngăn kề nhau không có vách ngăn không được nhỏ hơn giá trị D cho trong Bảng 3.4 (xem Hình 3.9).
Khoảng cách D đồng thời là khoảng cách làm việc Dv khi sửa chữa mạch này không phải cắt điện mạch kia.
3.2.3.8 Hành lang cho người vận hành tủ bảng điện
3.2.3.8.1 Hành lang vận hành phía trước và phía sau tủ bảng điện phải lớn hơn hoặc bằng 0,8m, trong hành lang đó không được để các vật làm cản trở người đi lại và di chuyển thiết bị. Ở các chỗ cá biệt như kết cấu xây dựng nhô ra cản lối đi lại, chiều rộng lối đi tại những chỗ đó không được nhỏ hơn 0,6m.
3.2.3.8.2 Chiều rộng của hành lang vận hành giữa các rào chắn không được nhỏ hơn:
a) 1 m khi bố trí thiết bị ở một bên;
b) 1,2 m khi bố trí thiết bị ở hai bên.
Nếu trong hành lang vận hành có các bộ truyền động của máy cắt điện, dao cách ly, các kích thước trên phải tăng lên tới 1,5 m đến 2 m.
3.2.3.8.3 Chiều rộng hành lang vận hành trong phòng bố trí các TBPP trọn bộ, GIS và TBA trọn bộ bằng kích thước của xe đẩy và phần kéo ra để sửa chữa cộng với ít nhất là 0,6 m khi bố trí thành 1 dãy và cộng với ít nhất là 0,8 m khi bố trí thành 2 dãy. Chiều cao các phòng của TBPP trọn bộ, GIS và TBA trọn bộ bằng kích thước phần cao nhất cộng thêm 0,8 m đến trần nhà và 0,3 m đến dầm nhà.
3.2.3.8.4 Chiều rộng của hành lang thoát nổ không được nhỏ hơn 1,2 m.
Trong hành lang vận hành và hành lang thoát nổ cho phép kết cấu kiến trúc nhô ra không quá 0,2 m.
3.2.4 Hệ thống phụ trợ trong TBA
3.2.4.1 Cửa ra vào của TBA trong nhà
Buồng TBPP phải có cửa ra vào theo quy định sau:
3.2.4.1.1 Khi buồng TBPP dài tới 7 m, được bố trí 1 cửa.
3.2.4.1.2 Khi buồng TBPP dài từ 7 m tới 60 m, phải bố trí 2 cửa ở hai đầu. Cho phép bố trí cửa cách đầu hồi tới 7 m.
3.2.4.1.3 Khi buồng TBPP dài quá 60 m, ngoài cửa ở hai đầu phải bố trí thêm các cửa phụ sao cho khoảng cách từ một điểm bất kỳ của hành lang quản lý hoặc hành lang nổ đến cửa không quá 30 m. Cửa có thể mở ra ngoài, ra cầu thang, sang phòng sản xuất khác có tường và trần không cháy, không chứa thiết bị, vật liệu dễ cháy, dễ nổ, sang buồng TBPP khác. Cửa phải bằng vật liệu có giới hạn chịu lửa không nhỏ hơn 36 phút. Cửa phải bố trí khóa chốt tự động đóng lại và có thể mở ra từ bên trong mà không cần chìa khóa.
Trong nhà đặt TBPP nhiều tầng, một trong hai cửa ở hai đầu và cửa phụ có thể mở ra ban công có thang thoát hiểm bên ngoài.
3.2.4.2 Bố trí máy biến áp dầu đặt trong nhà
Các máy biến áp dầu lắp đặt trong nhà, mỗi máy biến áp được lắp đặt trong một gian riêng biệt và làm bằng vật liệu với giới hạn chịu lửa là 60 phút.
Trong cùng một gian cho phép lắp đặt 2 MBA có dầu công suất mỗi máy đến 400 kVA, nhưng phải ngăn cách với nhau bằng vách ngăn với giới hạn chịu lửa là 60 phút.
3.2.4.3 Hố thu gom dầu
TBA trong nhà phải xây dựng hệ thống thu gom dầu theo các quy định như sau:
3.2.4.3.1 Khi khối lượng dầu trong máy MBA hoặc của thiết bị nhỏ hơn 60kg thì chỉ cần xây gờ hoặc làm dốc để giữ toàn bộ khối lượng dầu;
3.2.4.3.2 Khi khối lượng dầu từ 60 đến 600 kg: Xây hố chứa toàn bộ khối lượng dầu, hoặc xây gờ làm nền dốc vào phía trong để giữ được toàn bộ khối lượng dầu.
3.2.4.3.3 Khi khối lượng dầu lớn hơn 600 kg áp dụng 1 trong 2 giải pháp sau:
a) Xây hố thu dầu chứa được ít nhất là 20 % toàn bộ khối lượng dầu của MBA hoặc của thiết bị và có đường thoát dầu vào hệ thống thoát chung. Ống thải dầu từ hố thu dầu dưới MBA phải có đường kính ít nhất là 10 cm. (hình 1.4);
b) Xây hố thu dầu chứa toàn bộ lượng dầu dưới bệ móng MBA, khi đó hố thu dầu phải có lưới chắn, bên trên lưới chắn rải lớp đá dăm hoặc sỏi dày 25 cm. Hố thu dầu phải chứa được toàn bộ khối lượng dầu và mức dầu phải thấp hơn lưới chắn 5 cm. Mặt trên cùng của lớp đá dăm hoặc sỏi trong hố thu dầu phải thấp hơn lỗ thông gió 7,5cm. Đáy hố thu dầu có độ dốc 2% về phía rốn thu. (hình 1.3).
3.2.4.3.4 Cửa (cổng) của ngăn đặt thiết bị có dầu với khối lượng dầu từ 60kg trở lên phải làm bằng vật liệu có giới hạn chịu lửa không nhỏ hơn 45 phút.
3.2.4.4 Hệ thống thông gió
Trong gian lắp đặt thiết bị phải được trang bị với hệ thống thông gió cho chế độ hoạt động bình thường (có tính đến yếu tố quá tải) và khi nhiệt độ của môi trường cao nhất cũng không làm cho thiết bị vượt quá nhiệt độ tối đa cho phép.
Khi không thể bảo đảm trao đổi nhiệt bằng thông gió tự nhiên thì phải thực hiện thông gió cưỡng bức hoặc lắp điều hòa không khí.
Nhiệt độ trong các phòng đặt bảng điều khiển và thiết bị phân phối phải được bảo đảm theo yêu cầu của nhà chế tạo thiết bị.
Nhiệt độ trong các phòng có người làm việc từ 6 giờ trở lên không thấp hơn 18 oC và không cao hơn 28 oC.
3.2.5 Trạm biến áp phân xưởng
3.2.5.1 Phạm vi áp dụng
Phần này áp dụng cho TBA phân xưởng có điện áp đến 35 kV.
3.2.5.2 Vị trí của TBA phân xưởng
TBA phân xưởng có thể bố trí ở tầng một (tầng trệt) và tầng hai của gian sản xuất chính hoặc phụ bảo đảm các quy định về phòng cháy, chữa cháy tương ứng.
Trường hợp TBA phân xưởng được lắp đặt trong gian nhiều bụi hoặc có hóa chất độc hại, cần áp dụng biện pháp thích hợp để bảo đảm hoạt động an toàn của thiết bị.
3.2.5.3 Buồng lắp đặt MBA và TBPP
MBA, TBPP có thể bố trí trong buồng riêng hoặc đặt hở trong các gian sản xuất. Khi đặt hở, các phần dẫn điện của MBA phải che chắn và TBPP phải có rào bảo vệ.
3.2.5.4 Hố thu dầu
Hố thu dầu được xây bên dưới các MBA và thiết bị dầu khác theo Điểm 3.2.4.3.
3.2.5.5 Biện pháp thông gió và phòng cháy, chữa cháy của ngăn MBA
Trong TBA phân xưởng, các biện pháp thông gió và phòng cháy, chữa cháy phải được kết hợp với hệ thống thông gió và phòng cháy, chữa cháy của phân xưởng và phải tính đến khả năng bảo dưỡng, sửa chữa sau này.
3.2.6 Thiết bị phân phối và trạm biến áp trên cột
3.2.6.1 Phạm vi áp dụng
Phần này áp dụng cho thiết bị phân phối và TBA lắp trên cột, điện áp đến 35 kV, công suất đến 1000 kVA.
3.2.6.2 Cấu hình thiết bị phân phối và trạm biến áp trên cột
a) Thiết bị phân phối như máy biến áp, máy cắt, dao cách ly, thiết bị đo lường, v.v. được phép lắp trên cột, nhưng phải bảo đảm các điều kiện cách điện và điều kiện an toàn.
b) Các máy biến áp lắp trên cột được nối vào lưới điện áp cao qua cầu chảy tự rơi hoặc qua cầu chảy kèm với dao cách ly. Bộ truyền động của dao cách ly phải có khóa.
c) Để vận hành trạm biến áp trên cột, tùy theo vị trí trạm, có thể lắp ghế cách điện, sàn vận hành; trong mọi trường hợp, phải có vị trí thao tác đảm bảo an toàn cho người vận hành.
d) Trạng thái mở hoặc đóng của thiết bị đóng cắt phải nhìn thấy được từ vị trí thao tác.
đ) Trạm biến áp trên cột có thể được lắp đặt kết hợp với cột của ĐDK, nếu các yêu cầu kỹ thuật cho phép.
e) Ở khu vực xe cộ có thể va chạm vào trạm biến áp phải có cảnh báo, có biện pháp bảo vệ (nếu cần).
3.2.6.3 An toàn của TBA trên cột
Các biện pháp bảo đảm an toàn điện được áp dụng cho trạm biến áp trên cột như sau:
3.2.6.3.1 Chiều cao nhỏ nhất từ các phần mang điện điện áp trên 1 kV đến 35 kV đến mặt đất phía dưới TBA không được nhỏ hơn 4 m. Nếu có ghế hoặc sàn vận hành, thì ghế hoặc sàn phải ở độ cao từ 2,5 m trở lên.
3.2.6.3.2 Hành lang bảo vệ an toàn trạm điện được giới hạn bởi không gian bao quanh trạm điện có khoảng cách đến các bộ phận mang điện gần nhất của trạm điện theo quy định trong bảng sau:
Bảng 3.5: Khoảng trống nhỏ nhất đến phần mang điện gần nhất của trạm biến
áp trên cột.
|
Điện áp danh định |
Khoảng trống nhỏ nhất (m) |
|
Đến 22 kV |
2,0 |
|
35 kV |
3,0 |
3.2.6.4 Khoảng cách nhỏ nhất từ sàn vận hành hoặc sàn ghế cách điện Khoảng cách từ phần mang điện điện áp trên 1 kV đến 35 kV đến sàn vận hành được quy định trong bảng sau:
Bảng 3.6: Khoảng cách nhỏ nhất giữa các phần mang điện và sàn vận hành
|
Điện áp danh định |
Khoảng cách nhỏ nhất (mm) |
|
Đến 22 kV |
2500 |
|
35 kV |
3100 |
3.2.6.5 Tủ phân phối điện hạ áp
Toàn bộ thiết bị phần hạ áp của TBA trên cột phải đặt trong tủ kín. Đáy tủ hạ áp cách mặt đất ít nhất là 1,20 m.
3.2.6.6 Đấu nối dây
Cáp điện nối máy biến áp với tủ điện hạ áp phải được bảo vệ chống hư hỏng cơ học (bằng cách đặt trong ống hoặc có vỏ bảo vệ thích hợp, v.v.) và phải tuân thủ những yêu cầu lựa chọn tiết diện lõi cáp quy định trong Mục 2.1.
Điểm treo dây xuất tuyến ĐDK đến 1 kV phải có độ cao đến mặt đất không nhỏ hơn 4,0m đối với dây dẫn trần và 3,5 m đối với dây bọc.
3.2.6.7 Khoảng trống nhỏ nhất cho phòng cháy, chữa cháy
Khoảng trống nhỏ nhất từ máy biến áp tới phần kiến trúc của nhà hoặc công trình liền kề phải bảo đảm an toàn dựa trên độ chịu lửa của nhà hoặc công trình đó.
3.2.7 Bảo vệ chống sét cho TBA điện áp trên 1 kV đến 500 kV
3.2.7.1 Bảo vệ chống sét đánh trực tiếp lên TBA
3.2.7.1.1 TBA và TBPP ngoài trời điện áp từ 110 kV trở lên phải được bảo vệ chống sét đánh trực tiếp. Đối với các TBA và TBPP có điện áp dưới 110 kV tùy theo địa hình, đặc điểm tự nhiên mà bố trí bảo vệ chống sét trực tiếp cho phù hợp.
3.2.7.1.2 Nhà đặt TBPP và TBA nên được bảo vệ chống sét đánh trực tiếp. Mái các nhà đặt TBPP và TBA bằng kim loại phải được nối đất.
3.2.7.2 Bố trí kim thu sét và dây nối đất
3.2.7.2.1 Bảo vệ chống sét đánh trực tiếp vào hệ thống phân phối ngoài trời và nhà điều khiển bằng cách dùng kim thu sét độc lập hoặc dây thu sét độc lập, kim thu sét lắp trên các kết cấu xây dựng, dây chống sét treo trên các kết cấu xây dựng. Có thể sử dụng các cột cao như cột ĐDK, cột lắp đèn pha, v.v. để lắp kim thu sét.
Từ các cột có kim thu sét ở TBPP ngoài trời điện áp 110 kV trở lên phải bảo đảm cho dòng điện sét chạy đến mạch nối đất chung không ít hơn 2-3 tia. Ngoài ra còn phải đóng thêm 1-2 cọc nối đất dài 3-5 m và cách cột có kim thu sét không ngắn hơn chiều dài cọc nối đất.
3.2.7.2.2 Kim thu sét có thể lắp trên cột cổng MBA, cột cổng của điện kháng và kết cấu của TBPP ngoài trời nếu khoảng cách trong đất từ dây nối đất xuống đất đến điểm nối đất của MBA hoặc điện kháng nhỏ hơn 15 m và điện trở suất tương đương của đất vào mùa sét nhỏ hơn 350 Ωm, nhưng phải bổ sung các điều kiện sau:
a) Bố trí chống sét van (CSV) ngay trên các đầu ra của các cuộn dây MBA hoặc cách các đầu ra không quá 5m theo chiều dài dây dẫn;
b) Dây nối đất từ cột đặt kim thu sét đến mạch nối đất chung bằng 3-4 tia. Ngoài ra còn phải đóng thêm 2-3 cọc nối đất dài 3-5 m và cách cột có kim chống sét không ngắn hơn chiều dài cọc nối đất.
3.2.7.2.3 Dây nối đất của CSV phía điện áp cao nhất của MBA đấu vào khoảng giữa dây nối đất từ kim thu sét đến điểm nối đất của MBA.
3.2.7.2.4 Khoảng cách trong không khí từ các kết cấu của TBPP ngoài trời có đặt kim thu sét đến các phần dẫn điện không được nhỏ hơn chiều dài chuỗi cách điện.
3.2.7.2.5 Khi dùng cột đèn pha lắp kim thu sét, đoạn dây dẫn cấp điện cho đèn pha (kể từ đoạn chui ra khỏi mương cáp tới tận đèn pha) phải dùng cáp có vỏ bọc kim loại hoặc nếu cáp không có vỏ bọc kim loại thì phải luồn trong ống kim loại. Vỏ cáp và ống luồn cáp phải được nối vào nối đất chung của trạm.
3.2.7.3 Dây chống sét của ĐDK từ trên 1 kV đấu nối vào TBA
3.2.7.3.1 ĐDK 35 kV xuất tuyến từ các TBA 110 kV trở lên, ĐDK 22 kV xuất tuyến từ các MBA 220 kV phải được bảo vệ chống sét đánh trực tiếp bằng dây chống sét. Chiều dài đoạn ĐDK được bảo vệ chống sét từ 1 đến 2 km.
3.2.7.3.2 Đoạn ĐDK đến 22 kV xuất tuyến từ các TBA 110 kV trở lên và đoạn ĐDK nối vào các TBA đến 35 kV thì tùy theo đặc điểm tự nhiên và địa hình để bố trí bảo vệ chống sét trực tiếp cho phù hợp. Chiều dài đoạn ĐDK được bảo vệ chống sét không quá 2 km.
3.2.7.3.3 Dây chống sét (nếu có) phải đảm bảo góc bảo vệ ≤ 30° và điện trở nối đất tuân theo Điểm 1.7.3.3. Ở những vùng có điện trở suất lớn hơn 1000 Ωm cho phép bảo vệ các đoạn ĐDK vào trạm bằng cột thu sét độc lập, điện trở nối đất của cột không quy định.
3.2.7.3.4 Dây chống sét của ĐDK đến 35 kV phải dừng lại ở cột cuối đường dây; chuỗi cách điện tại cột này phải tăng thêm 2 bát so với chuỗi cách điện của đường dây.
3.2.7.3.5 Nếu dây chống sét của ĐDK đến 35 kV kéo tiếp vào trạm, điểm đấu của dây chống sét trong trạm phải cách ly bằng một chuỗi cách điện theo tiêu chuẩn cách điện của ĐDK tương ứng.
3.2.7.3.6 Dây chống sét của ĐDK 110 kV trở lên được nối vào kết cấu nối đất của TBA ngoài trời khi điện trở nối đất của trạm đạt tiêu chuẩn.
3.2.7.4 Chống sét van
3.2.7.4.1 TBA 6kV trở lên có nối với ĐDK phải đặt CSV.
Khi chọn CSV phải phối hợp đặc tính bảo vệ của nó với cách điện thiết bị và điện áp dập tắt phóng điện của CSV phải phù hợp với điện áp tại vị trí đặt chống sét, khi chạm đất 1 pha. Khi tăng khoảng cách giữa chống sét và thiết bị cần bảo vệ để giảm số lượng chống sét cần lắp đặt, có thể dùng chống sét có đặc tính cao hơn so với yêu cầu nhưng vẫn phải phối hợp với cách điện thiết bị.
3.2.7.4.2 Khoảng cách theo dây dẫn từ CSV đến MBA và thiết bị càng gần càng tốt nhưng không được lớn hơn 10 m. Khi không thực hiện được yêu cầu này, việc tính toán khoảng cách cho phép lớn nhất giữa CSV và thiết bị được bảo vệ căn cứ theo số lượng đường dây và CSV nối với TBA trong chế độ làm việc bình thường. Nếu việc đặt CSV tại vị trí có khoảng cách lớn hơn khoảng cách tính toán nêu trên thì phải đặt thêm CSV trên thanh cái.
3.2.7.4.3 Số lượng và vị trí lắp đặt CSV cần chọn theo sơ đồ nối điện tính toán, số lượng đường dây trên không và MBA với mọi phương thức vận hành của trạm. Chế độ sự cố và sửa chữa không cần tính đến.
3.2.7.4.4 Cuộn dây không dùng đến của MBA phải lắp CSV. Đối với cuộn dây đấu tam giác không dùng đến của MBA cho phép nối đất một cực và không cần lắp chống sét van.
3.2.7.4.5 Tại điểm đấu nối cáp với thiết bị ngoài trời phải lắp CSV.
3.2.7.4.6 Phải đặt CSV để bảo vệ điểm trung tính các cuộn dây 110 - 220 kV của MBA có cách điện giảm thấp khi vận hành với chế độ điểm trung tính không nối đất.
3.2.7.5 Phối hợp cách điện
Đối với ĐDK vận hành tạm thời với điện áp thấp hơn điện áp danh định, tại cột đầu tiên của đoạn nối vào trạm, tính từ phía đường dây phải đặt CSV có điện áp tương ứng với điện áp làm việc tạm thời của ĐDK. Nối tắt một số bát của chuỗi cách điện trên 1 đến 2 cột liền kề. Số lượng cách điện không nối tắt trong chuỗi cách điện phải bảo đảm mức cách điện phù hợp với điện áp làm việc tạm thời của ĐDK.
3.2.7.6 Chống sét cho đoạn ĐDK rẽ nhánh
ĐDK từ TBA có MBA đến 40 MVA đấu với ĐDK 35 kV phải được bảo vệ theo sơ đồ sau:
3.2.7.6.1 Đấu trực tiếp vào ĐDK 35 kV
a) Nhánh đấu nối ≤ 150 m
- Bảo vệ toàn bộ chiều dài nhánh dây đấu nối bằng dây chống sét;
- Bảo vệ cả 2 phía từ điểm đấu nối bằng dây chống sét dài khoảng 150-200 m;
- Lắp đặt CSV1 ở điểm cuối của 2 dây chống sét nêu trên;
- Lắp đặt CSV2 ở cách điểm cuối của 2 dây chống sét nêu trên 150-200 m.
b) Nhánh đấu nối >150-500 m
- Bảo vệ toàn bộ chiều dài nhánh đấu nối bằng dây chống sét;
- Lắp đặt CSV1 tại điểm đấu nối với ĐDK;
- Lắp đặt CSV2 ở cả 2 phía cách điểm đấu nối 150-200 m.
3.2.7.6.2 Đấu chuyển tiếp vào ĐDK 35 kV
a) Nhánh đấu nối ≤ 150 m
- Bảo vệ toàn bộ chiều dài nhánh đấu nối cộng với 2 bên, mỗi bên 150-200 m bằng dây chống sét;
- Lắp đặt CSV1 ở điểm cuối của 2 dây chống sét nêu trên;
- Lắp đặt CSV2 ở cách điểm cuối của 2 dây chống sét nêu trên 150-200 m.
b) Nhánh đấu nối >150-500 m
- Bảo vệ toàn bộ chiều dài nhánh đấu nối bằng dây chống sét;
- Lắp đặt CSV1 tại điểm đấu nối với ĐDK;
- Lắp đặt CSV2 ở cả 2 phía cách điểm đấu nối 150-200 m.
Sơ đồ trên chỉ cho phép đấu nối vào ĐDK 35 kV hiện tại. Sơ đồ đấu nối chi tiết được thể hiện trong các hình sau:

Hình 3.11: Nhánh rẽ đấu nối trực tiếp vào ĐDK

Hình 3.12: Nhánh rẽ đấu nối chuyển tiếp vào ĐDK
3.2.8 Bảo vệ chống sét cho máy điện quay
3.2.8.1 Đấu nối với ĐDK
Các ĐDK sử dụng cột thép hoặc bê tông cốt thép có thể đấu nối trực tiếp vào thanh cái máy phát và máy bù đồng bộ có công suất đến 50 MW/50 MVA. Đấu nối ĐDK trực tiếp vào thanh cái máy phát, máy bù đồng bộ có công suất lớn hơn 50 MW/50 MVA chỉ được phép trong trường hợp nối qua máy biến áp cách ly.
3.2.8.2 Bảo vệ máy điện quay nối vào ĐDK
Bảo vệ máy phát điện, máy bù đồng bộ, động cơ điện công suất lớn hơn 3 MW /3 MVA nối vào ĐDK được dùng CSV kèm với tụ điện có điện dung không nhỏ hơn 0,5μF mỗi pha.
Đấu nối với ĐDK bằng cáp mỗi pha đạt được ≥ 0,5μF thì không cần đặt tụ điện bảo vệ.
CSV nên đặt ở thanh cái (phân đoạn thanh cái) điện áp máy phát để bảo vệ máy phát điện (máy bù đồng bộ) công suất từ 15 MW/15 MVA trở xuống, ở thanh cái trạm phân phối để bảo vệ động cơ điện công suất lớn hơn 3 MW, ở ngay các đầu ra của máy phát (máy bù đồng bộ) cho công suất lớn hơn 15 MW/15 MVA.
3.2.8.3 Bảo vệ ĐDK đấu nối với máy điện quay
3.2.8.3.1 ĐDK nối vào nhà máy điện cần phải bảo vệ với mức chịu sét không nhỏ hơn 50 kA.
3.2.8.3.2 ĐDK đấu nối trực tiếp vào thanh cái của nhà máy điện hoặc được nối qua đoạn cáp dài đến 0,5 km thì đoạn đầu ĐDK phải có dây chống sét dài ít nhất 300 m. Điểm đầu của ĐDK phải đặt trên cách điện có cấp cách điện 35 kV và phải lắp CSV với điện áp thanh cái đấu nối, điện trở nối đất không được quá 5 Ω. Trên dây dẫn ở điểm cuối của dây chống sét cũng phải lắp CSV, điện trở nối đất của CSV và cột có dây chống sét không quá 10 Ω.
3.2.8.3.3 Nếu đoạn ĐDK lớn hơn hoặc bằng 300 m đã được các nhà cao, cây hoặc công trình cao bảo vệ chống sét đánh trực tiếp thì không cần đặt dây chống sét. Khi đó chỉ cần đặt CSV ở đầu ĐDK phải bảo vệ. Điện trở nối đất của CSV không được quá 3 Ω.
3.2.9 Bảo vệ chống quá điện áp nội bộ
3.2.9.1 Bảo vệ quá điện áp nội bộ cho lưới điện 6-35 kV
Trong lưới điện 6-35 kV có yêu cầu bù dòng điện điện dung các pha với đất, phải cân bằng dòng điện điện dung đó bằng cách bố trí các pha và tụ điện bù một cách hợp lý. Mức chênh lệch điện dung của các pha với đất không được lớn hơn 0,75%.
Vị trí đặt cuộn dập hồ quang phải chọn theo kết cấu của lưới, khả năng chia lưới ra từng phần độc lập, mức ảnh hưởng tới các mạch tự động của đường sắt và đường dây thông tin.
3.2.9.2 Bảo vệ quá điện áp nội bộ cho lưới điện 110-220 kV
Trong lưới điện với trung tính nối đất và các máy biến áp, máy biến áp tự ngẫu 110-220 kV mà cuộn dây được tăng cường cách điện, không yêu cầu áp dụng các biện pháp để giới hạn quá điện áp nội bộ.
Đối với các máy biến áp, biến áp tự ngẫu 220 kV mà cuộn dây có cách điện thông thường thì phải được bảo vệ chống quá điện áp nội bộ bằng chống sét van.
3.2.9.3 Bảo vệ quá điện áp nội bộ cho lưới điện 500 kV
Trong lưới điện 500 kV, phải áp dụng các phương pháp thích hợp để ngăn ngừa sự tăng điện áp bất thường và tăng điện áp trong vận hành bình thường.
3.2.10 Lắp đặt máy biến áp lực
3.2.10.1 Yêu cầu đối với MBA lực
Mục này áp dụng cho việc lắp đặt MBA cố định và cuộn kháng có dầu (kể cả cuộn dập hồ quang) có điện áp 6 kV trở lên (gọi chung là MBA) bố trí trong nhà và ngoài trời. Không áp dụng cho MBA chuyên dùng.
3.2.10.2 Lắp đặt thiết bị ngâm dầu
Để lắp đặt, vận hành và bảo dưỡng các thiết bị ngâm dầu của TBA, có thể tổ chức hệ thống dầu lưu động gồm các thùng để chứa dầu và xử lý dầu, máy bơm dầu, trang bị lọc và tái sinh dầu, các thiết bị lọc và khử khí lưu động, thùng vận chuyển dầu, v.v.
Quy mô của hệ thống dầu lưu động phải theo quy mô và nhu cầu của từng công trình.
3.2.10.3 Chế độ vận hành MBA lực
Phải chọn thông số các cuộn dây của MBA thỏa mãn với chế độ vận hành bình thường và khả năng vận hành quá tải ngắn hạn và lâu dài.
3.2.10.4 Quan sát mức dầu và rơ-le hơi
3.2.10.4.1 MBA phải bố trí để có thể quan sát được mức dầu và rơ-le hơi một cách dễ dàng và an toàn bằng mắt mà không phải cắt điện. Khi chiếu sáng chung không đủ, phải bố trí chiếu sáng tại chỗ để quan sát vào lúc tối trời.
3.2.10.4.2 Cố gắng bố trí để tiếp cận được rơ-le hơi của MBA một cách an toàn để quan sát và lấy mẫu khí mà không phải cắt điện. Khi độ cao từ mặt bằng đặt máy đến mặt MBA từ 3m trở lên phải có thang cố định.
3.2.10.5 Chống sét van cho MBA
Cho phép lắp các CSV điện áp 35 kV trở xuống ở trên nắp và thân MBA.
3.2.10.6 Bệ đỡ MBA
Đối với MBA lắp bánh xe, bệ máy phải có tấm dẫn hướng. Để cố định MBA trên tấm dẫn hướng phải có tấm chắn bố trí ở hai phía bánh xe MBA.
Trên bệ máy cần phải có chỗ để đặt kích MBA.
3.2.10.7 Độ nghiêng của MBA
Nếu nhà chế tạo MBA có yêu cầu về độ nghiêng của MBA dầu khi lắp đặt thì phải thực hiện đúng chỉ dẫn để khí phát sinh đến được rơ-le hơi.
3.2.10.8 Lắp thùng dầu phụ
Khi lắp thùng dầu phụ trên kết cấu riêng, phải bố trí sao cho không cản trở việc chuyển MBA khỏi móng. Trong trường hợp đó, rơ-le hơi phải bố trí gần MBA để khi đứng ở thang cố định có thể tiếp cận được thuận lợi và an toàn. Có thể lắp thùng dầu phụ trên cột cổng của ngăn lộ MBA.
3.2.10.9 Ống phòng nổ
3.2.10.10 Nếu MBA có ống phòng nổ thì ống phòng nổ không được hướng về phía thiết bị ở gần. Khi cần thiết, cho phép bố trí tấm chắn đối diện với miệng ống phòng nổ.Thiết bị tự động phòng cháy và chữa cháy
Các trạm biến áp phải thực hiện các biện pháp phòng chống cháy theo quy định phòng cháy chữa cháy hiện hành.
3.2.10.11 MBA dầu trong nhà
MBA dầu trong nhà phải đặt ở buồng riêng trong tầng một (còn gọi là tầng trệt) được ngăn cách với phòng khác và có cửa mở trực tiếp ra phía ngoài nhà; được phép đặt MBA dầu ở tầng hai hoặc thấp hơn sàn nhà của tầng một ở vùng không bị ngập nước nhưng vị trí đó phải có khả năng vận chuyển MBA ra ngoài nhà và phải có hệ thống thoát và chứa dầu sự cố theo quy định trong Điểm 3.2.4.3.
3.2.10.12 Khoảng cách an toàn từ MBA dầu trong nhà
Khi đặt MBA trong nhà thì khoảng cách đến tường nhà, đến trần nhà và kết cấu xây dựng nhà phải bảo đảm các quy định về an toàn.
3.2.10.13 Đường vận chuyển MBA
Phải có đường vận chuyển MBA đến bệ móng của TBA ngoài trời.
3.2.11 Hệ thống ắc quy
3.2.11.1 Quy định áp dụng cho hệ thống ắc quy
- Không được dùng ắc quy axit kiểu hở trong các công trình điện.
- Phần thông tin trong trạm điện từ 220 kV trở lên phải sử dụng bộ ắc quy riêng.
- TBA từ 110 kV trở lên phải có 2 hệ thống ắc quy độc lập.
3.2.11.2 Vị trí lắp đặt bộ ắc quy
3.2.11.2.1 Bộ ắc quy được lắp đặt trong gian riêng phải lắp hệ thống thông gió cưỡng bức thoát gió ra ngoài với lưu lượng gió ≥ thể tích gian lắp ắc quy đó trong vòng 1giờ.
3.2.11.2.2 Bộ ắc quy kiểu kín tổng dung lượng không quá 100 Ah có thể đặt trong tủ kim loại bố trí chung trong gian lắp tủ bảng điều khiển hoặc đặt trong gian sản xuất không có nguy hiểm cháy nổ, nhưng tủ lắp ắc quy phải có ống thông khí thoát ra ngoài gian lắp tủ bảng điều khiển, gian sản xuất.
3.2.11.3 Dung lượng của bộ ắc quy
Bộ ắc quy phải có dung lượng bảo đảm khả năng cung cấp điện cho các phụ tải liên tục tối thiểu sau 5 giờ phóng điện với dòng điện của phụ tải thường xuyên (bao gồm cả hệ thống chiếu sáng sự cố) mà giá trị điện áp của hệ thống không thấp hơn 15% giá trị điện áp định mức.
Đặc tính kỹ thuật đối với hệ thống ắc quy phải được lựa chọn phù hợp theo mức độ quan trọng của phụ tải.
3.2.11.4 Thiết bị nạp điện cho ắc quy
Thiết bị nạp điện cho bộ ắc quy axít phải có công suất và điện áp đủ để nạp điện cho các ắc quy đến 90% dung lượng danh định trong khoảng thời gian không quá 8 giờ, trước khi đó ắc quy đã được phóng điện hết theo quy trình.
Thiết bị nạp cho bộ ắc quy kiềm theo hướng dẫn của nhà chế tạo.
3.2.11.5 Giá đỡ và tủ đựng ắc quy
Các ắc quy phải được đặt trên giá đỡ hoặc tủ tin cậy. Các giá đỡ và các tủ, v.v. phải tuân thủ với đặc điểm kỹ thuật thích hợp và phải chắc chắn để chịu đựng được trọng lượng của hệ thống ắc quy.
3.2.11.6 Thanh cái và cáp của ắc quy
3.2.11.6.1 Thanh cái của giàn ắc quy phải bằng thanh đồng trần hoặc bằng cáp đồng một ruột có cách điện bền với hoá chất ăn mòn.
3.2.11.6.2 Các chỗ nối và chỗ rẽ nhánh của thanh cái, cáp đồng phải hàn chảy hoặc hàn vẩy (thiếc, đồng v.v.). Chỗ nối thanh cái và cáp vào bình ắcquy phải được mạ thiếc. Chỗ nối thanh cái với thanh dẫn xuyên tường cũng phải hàn chảy.
3.2.11.6.3 Thanh cái điện một chiều phải có thiết bị thường xuyên kiểm tra cách điện để biết trị số điện trở cách điện và báo tín hiệu khi điện trở cách điện của mỗi cực giảm đến 20 kΩ với cấp điện áp 220 VDC, 10 kΩ với cấp điện áp 110 VDC, 5 kΩ với cấp điện áp 48 VDC, 3kΩ với cấp điện áp 24 VDC.
4 HỆ THỐNG ĐIỀU KHIỂN, BẢO VỆ VÀ ĐO LƯỜNG
4.1 HỆ THỐNG ĐIỀU KHIỂN
4.1.1 Thiết bị điều khiển và tự động
4.1.1.1 Các chức năng và nhiệm vụ của hệ thống điều khiển
Phần này áp dụng cho thiết bị tự động và điều khiển từ xa của hệ thống điện, nhà máy điện, lưới điện, mạng điện cung cấp cho các xí nghiệp công nghiệp và các thiết bị điện khác để:
a) Tự động đóng lại (TĐL) 3 pha hoặc 1 pha của đường dây và phần tử khác sau khi chúng bị cắt từ hệ thống bảo vệ.
b) Tự động đóng nguồn dự phòng (TĐD).
c) Hoà đồng bộ (HĐB), đóng máy phát điện đồng bộ và máy bù đồng bộ đưa chúng vào chế độ làm việc đồng bộ.
d) Điều chỉnh kích thích, điện áp và công suất phản kháng giữa các máy điện đồng bộ và các nhà máy điện, phục hồi điện áp trong và sau thời gian cắt ngắn mạch.
đ) Điều chỉnh tần số và công suất tác dụng, công suất phản kháng.
e) Ngăn ngừa phá vỡ ổn định.
g) Chấm dứt chế độ không đồng bộ.
h) Điều chỉnh tần số.
i) Điều chỉnh điện áp.
k) Ngăn ngừa quá tải thiết bị điện.
l) Kiểm tra thiết bị điều độ và hệ thống điều khiển.
m) Điều khiển và giám sát các thiết bị trong hệ thống điện.
Chức năng của các thiết bị từ điểm d đến điểm s được thực hiện toàn bộ hoặc một phần tuỳ theo chế độ làm việc của hệ thống điện.
4.1.1.2 Hệ thống điều khiển bảo vệ tích hợp
4.1.1.2.1 Trạm điện 500 kV, 220 kV và 110 kV khi đấu nối vào Hệ thống điện Quốc gia phải được trang bị hệ thống điều khiển bảo vệ tích hợp tự động hóa trạm biến áp (SAS-Substation Automation System).
SAS là hệ thống các thiết bị và sử dụng các phần mềm thích hợp để kết nối với các thiết bị rơ-le bảo vệ, điều khiển và đo lường tại các trạm biến áp. Các thiết bị rơ-le bảo vệ, điều khiển và đo lường sử dụng các thiết bị kỹ thuật số liên kết trên mạng cục bộ (LAN) của trạm và trao đổi dữ liệu giữa các thiết bị ngang hàng (peer-to-peer) cũng như với hệ thống máy tính theo các tiêu chuẩn Quốc tế hiện hành và yêu cầu kỹ thuật chi tiết của các đơn vị quản lý trong hệ thống điện. Dữ liệu vận hành được thu thập, lưu trữ và xử lý bằng hệ thống máy tính hoặc thiết bị chuyên dụng, có trang bị giao diện người máy (HMI) trên màn hình điều khiển tại trạm, các ứng dụng nâng cao tại chỗ và trao đổi với các hệ thống điều khiển của các Trung tâm SCADA và trung tâm điều khiển xa.
Cấu hình hệ thống SAS xem Phụ lục Q.
Đối với lưới điện trung áp trong trường hợp cần thiết có thể được trang bị hệ thống SAS hoặc các hệ thống tự động hóa lưới điện khác (DAS, FLIRS,...)
4.1.1.3 Yêu cầu chung về trang bị các chức năng tự động đóng lại
4.1.1.3.1 Bảo vệ tự động đóng lại không được gây nguy cơ phá hoại thiết bị điện; gây các tác động không mong muốn như: ảnh hưởng đến an toàn của nhân viên vận hành trong quá trình thực hiện bảo dưỡng sửa chữa, ảnh hưởng đến vận hành của nhóm các tổ máy phát điện đấu nối vào lưới điện truyền tải, hiệu suất chung của lưới điện truyền tải.
4.1.1.3.2 Sự cố trong máy biến áp, cáp ngầm, thanh cái, thiết bị bù, các thiết bị điện có cách điện bằng dầu, vật liệu cách điện rắn (XPLE), khí SF6 được coi như sự cố vĩnh cửu, do đó không thực hiện tự động đóng lại trong các trường hợp này.
4.1.1.3.3 Áp dụng tự động đóng lại đối với các trường hợp sau:
- Đường dây trên không;
- Đường dây hỗn hợp trên không và cáp ngầm 220, 110 kV trong trường hợp bảo vệ xác định điểm sự cố không nằm trong phạm vi đoạn cáp ngầm và có sự đồng ý của đơn vị quản lý vận hành;
- Đường dây hỗn hợp trên không và cáp ngầm 110 kV có đường cáp chỉ là một đoạn ngắn của đường dây trên không nếu có sự đồng ý của đơn vị quản lý vận hành;
- Đường dây hỗn hợp trên không và cáp ngầm trung áp.
4.1.1.3.4 Tự động đóng lại một pha được khởi động từ lệnh cắt một pha của bảo vệ chống sự cố. Cho phép tự động đóng lại một pha không cần kiểm tra điều kiện điện áp và không cần cắt gián đoạn hai pha còn lại.
4.1.1.3.5 Tự động đóng lại ba pha được khởi động từ lệnh cắt ba pha của bảo vệ chống sự cố:
a) Tự động đóng lại ba pha cấp điện áp 220 kV, 110 kV phải được thực hiện có kiểm tra điện áp hoặc/và kiểm tra hòa đồng bộ theo các quy định hiện hành.
b) Tự động đóng lại ba pha cấp điện áp trung áp phải kiểm tra hòa đồng bộ theo các quy định hiện hành khi đóng hòa đồng bộ/khép vòng.
4.1.1.4 Điều kiện kiểm tra hòa đồng bộ/khép vòng
4.1.1.4.1 Cần thực hiện kiểm tra đồng bộ/khép vòng cho máy cắt trên lưới điện 500, 220, 110 kV, trung áp có nguồn cấp từ hai phía, máy cắt nối tổ máy phát điện với hệ thống điện.
4.1.1.4.2 Việc kiểm tra hòa đồng bộ/khép vòng bao gồm các điều kiện sau:
a) Kiểm tra độ lệch điện áp hai phía máy cắt;
b) Kiểm tra độ lệch góc pha của điện áp hai phía máy cắt;
c) Kiểm tra độ lệch tần số giữa hai hệ thống điện.
4.1.1.4.3 Khoảng thời gian để máy cắt phục hồi (reclaim time) sau một chu trình đóng cắt (được cài đặt trong bảo vệ) cần đảm bảo yêu cầu kỹ thuật của máy cắt và yêu cầu nhanh chóng đưa đường dây vào vận hành theo yêu cầu của hệ thống điện.
4.1.2 Tự động đóng nguồn dự phòng
4.1.2.1 Điều kiện áp dụng thiết bị tự động khôi phục nguồn cung cấp điện
4.1.2.1.1 Thiết bị TĐD dùng để khôi phục nguồn cung cấp điện cho hộ tiêu thụ điện bằng cách tự đóng nguồn dự phòng trong trường hợp khi nguồn đang làm việc bị mất gây mất điện thiết bị điện của hộ tiêu thụ.
4.1.2.1.2 Thiết bị TĐD cũng dùng để tự động đóng thiết bị dự phòng trong trường hợp thiết bị chính đang làm việc bị hư hỏng gây phá vỡ quy trình công nghệ.
4.1.2.1.3 Thiết bị TĐD cũng có thể được lắp đặt ở máy biến áp, trên đường dây, cho động cơ điện, máy cắt thanh cái và máy cắt phân đoạn, v.v.
4.1.2.1.4 Khi máy cắt của nguồn cung cấp tác động cắt, thiết bị TĐD phải đóng tức thời máy cắt của nguồn dự phòng, phải đảm bảo thiết bị tác động đóng một lần. Ngoài ra, nếu không đòi hỏi thêm những thiết bị phức tạp, TĐD phải kiểm tra cả trạng thái cắt của máy cắt ở phía nguồn cung cấp.
4.1.2.1.5 Để đảm bảo TĐD tác động khi lộ cung cấp mất điện do mất điện áp từ phía nguồn cung cấp hoặc tác động khi máy cắt ở phía nhận điện cắt (Ví dụ như trường hợp bảo vệ rơ-le của phần tử làm việc chỉ cắt máy cắt từ phía nguồn cung cấp) thì trong sơ đồ TĐD theo khoản 4 Mục này phải bổ sung thêm bộ phận khởi động điện áp. Bộ phận khởi động này khi mất điện áp trên phần tử cung cấp và có điện áp ở phần tử dự phòng phải tác động cắt máy cắt từ phía nhận điện. Không cần đặt bộ phận khởi động điện áp cho TĐD nếu phần tử làm việc và phần tử dự phòng có chung một nguồn cung cấp.
4.1.2.1.6 Đối với MBA và đường dây không dài, để tăng tốc tác động của TĐD nên thực hiện bảo vệ rơ-le tác động đi cắt không chỉ máy cắt ở phía nguồn cung cấp mà còn ở máy cắt phía nhận điện. Cũng với mục đích đó đối với trường hợp quan trọng (Ví dụ đối với hệ tự dùng của nhà máy điện), khi cắt máy cắt phía nguồn cung cấp do bất kỳ nguyên nhân nào cũng phải cắt ngay máy cắt ở phía nhận điện bằng mạch liên động.
4.1.2.2 Yêu cầu nâng cao độ tin cậy
Thiết bị TĐD phải bảo đảm khả năng tác động khi mất điện áp trên thanh cái cấp điện cho những phần tử có nguồn dự phòng, bất kể do nguyên nhân nào, kể cả ngắn mạch trên thanh cái.
4.1.2.3 Chức năng yêu cầu xem xét hiện tượng quá tải
Khi thực hiện TĐD phải kiểm tra khả năng quá tải ở nguồn cung cấp dự phòng và kiểm tra sự tự khởi động của các động cơ, nếu có hiện tượng quá tải tạm thời không cho phép và động cơ không thể tự khởi động được thì phải sa thải bớt phụ tải khi TĐD tác động (ví dụ, cắt các động cơ không quan trọng và đôi khi, một phần các động cơ quan trọng; đối với trường hợp sau sử dụng TĐL).
4.1.3 Tự động ngăn ngừa mất ổn định
4.1.3.1.1 Thiết bị tự động ngăn ngừa mất ổn định của hệ thống điện được trang bị tuỳ thuộc theo từng điều kiện cụ thể, ở những nơi mà xét về kinh tế và kỹ thuật là hợp lý, để giữ được độ ổn định động tốt nhất và bảo đảm dự phòng ổn định tĩnh ở chế độ sau sự cố.
4.1.3.1.2 Thiết bị tự động ngăn ngừa mất ổn định có thể được áp dụng trong những trường hợp:
a) Cắt đường dây không có sự cố, cũng như đường dây bị sự cố do ngắn mạch 1 pha khi bảo vệ chính và TĐL1P làm việc trong các trường hợp sau:
- Đường dây mang tải lớn: Việc cắt đường dây không có sự cố nhằm ngăn ngừa mất ổn định lan truyền khi đường dây mang tải lớn, hoặc khi một pha bị sự cố và bảo vệ chính tác động cắt 1 pha (TĐL1P - Tự động đóng lại 1 pha).
- Sửa chữa lưới điện: Việc cắt đường dây (có thể không có sự cố) nhằm đảm bảo an toàn trong quá trình sửa chữa, bảo vệ tránh mất ổn định khi lưới điện vận hành trong sơ đồ lưới điện sự cố.
Việc sử dụng các thiết bị tự động này được cho phép trong cả sơ đồ lưới điện sự cố và sơ đồ ở chế độ làm việc bình thường của hệ thống, với điều kiện việc mất ổn định do thiết bị tự động từ chối làm việc không dẫn đến việc cắt phần lớn các phụ tải của hệ thống. Ví dụ, việc cắt đường dây có thể được bù đắp bằng tác động sa thải phụ tải theo tần số, giúp duy trì ổn định cho hệ thống.
b) Cắt các đường dây do ngắn mạch nhiều pha khi bảo vệ chính làm việc trong chế độ làm việc bình thường và chế độ sự cố của lưới điện; cho phép không tính đến trường hợp đường dây mang tải lớn;
c) Máy cắt từ chối cắt theo tác động của thiết bị khi ngắn mạch trong chế độ làm việc bình thường của hệ thống điện và trong sơ đồ bình thường của lưới điện;
d) Tách ra khỏi hệ thống điện những đường dây làm việc không đồng bộ trong chế độ bình thường;
đ) Thiếu công suất nghiêm trọng hoặc thừa công suất ở một trong các phần nối vào hệ thống hợp nhất;
e) Có các thiết bị tự động đóng lại nhanh (TĐLN) hoặc TĐL làm việc trong sơ đồ và chế độ bình thường.
4.1.4 Tự động ngăn ngừa quá tải của thiết bị điện
Thiết bị tự động ngăn ngừa quá tải dùng để hạn chế thời gian quá tải trên đường dây, trong MBA, trong tụ bù dọc, trong trường hợp thời gian này vượt quá mức quy định cho phép.
4.1.5 Điều khiển từ xa
4.1.5.1 Chức năng yêu cầu đối với hệ thống điều khiển từ xa
Điều khiển từ xa (gồm điều khiển từ xa, tín hiệu từ xa, thu thập số liệu từ xa, đo lường từ xa), trong đó có hệ thống SCADA được dùng để điều hành những công trình điện phân tán có liên hệ với nhau trong chế độ vận hành chung và kiểm soát chúng. Điều kiện bắt buộc khi dùng điều khiển từ xa là tính hợp lý về kinh tế kỹ thuật, nâng cao hiệu quả công tác điều độ và tính bảo mật của hệ thống (làm cho chế độ vận hành và quá trình sản xuất tốt hơn, xử lý sự cố nhanh, nâng cao tính kinh tế và độ tin cậy làm việc của các thiết bị điện, tăng chất lượng điện năng, giảm số lượng nhân viên vận hành, không cần người trực ca thường xuyên, giảm mặt bằng sản xuất, v.v.).
Các phương tiện điều khiển từ xa cũng có thể dùng để truyền các tín hiệu của hệ thống tự động điều chỉnh tần số, thiết bị tự động chống sự cố và các hệ thống thiết bị điều chỉnh và điều khiển khác.
4.1.5.2 Yêu cầu đối với tín hiệu thông tin
4.1.5.2.1 Tín hiệu từ xa được dùng để:
a) Phản ánh lên các trung tâm điều độ, điều khiển, giám sát về trạng thái, tình trạng của thiết bị đóng cắt và các tín hiệu: P, Q, U, I, v.v. của công trình điện thuộc cơ quan quản lý trực tiếp hoặc phản ánh lên trung tâm điều độ cấp trên, có vai trò quyết định đến chế độ làm việc của hệ thống điện;
b) Nạp các thông tin vào máy tính hoặc vào thiết bị xử lý thông tin;
c) Truyền các tín hiệu sự cố, các tín hiệu cảnh báo và tín hiệu điều khiển.
4.1.5.2.2 Đo lường từ xa phải bảo đảm truyền các thông số chính về điện hoặc về công nghệ (các thông số đặc trưng cho chế độ làm việc của từng công việc).
4.1.5.3 Yêu cầu về đường truyền
Đường truyền phải đáp ứng các yêu cầu về số lượng thiết bị điều khiển, giám sát, chất lượng tín hiệu, băng thông, cũng như các yêu cầu về độ chính xác, độ tin cậy và thời gian trễ của thông tin truyền tải. Đặc biệt, điều này trở nên quan trọng trong các hệ thống tự động điều chỉnh tần số và công suất, nơi yêu cầu cao về hiệu suất và độ ổn định của đường truyền.
4.2 HỆ THỐNG BẢO VỆ
4.2.1 Hệ thống bảo vệ cho hệ thống điện điện áp đến 1 kV
4.2.1.1 Phạm vi áp dụng
Phần này áp dụng cho các thiết bị bảo vệ hệ thống điện điện áp đến 1 kV đặt trong nhà và ngoài trời.
4.2.1.2 Lựa chọn khả năng cắt của thiết bị
Khả năng cắt của thiết bị phải phù hợp với dòng điện ngắn mạch lớn nhất trên đoạn lưới điện được bảo vệ.
4.2.1.3 Lựa chọn dòng điện định mức
Trong mọi trường hợp, dòng điện định mức của dây chảy của cầu chảy và dòng điện chỉnh định của aptomat để bảo vệ cho mạch điện (dây hoặc cáp điện) phải được chọn theo dòng điện định mức nhỏ nhất của mạch điện hoặc của các thiết bị nhận điện. Tuy nhiên, thiết bị bảo vệ không được tác động do quá dòng ngắn hạn của từng thiết bị (như dòng điện khởi động, đỉnh phụ tải công nghệ, dòng điện tự khởi động, v.v.).
4.2.1.4 Dùng aptomat và cầu chảy
Aptomat hoặc cầu chảy được sử dụng làm thiết bị bảo vệ trong các trường hợp thông thường. Trong trường hợp đặc biệt để bảo đảm yêu cầu về độ nhanh, độ nhạy hoặc độ chọn lọc, thì phải dùng các thiết bị rơ-le bảo vệ (tác động gián tiếp).
4.2.1.4.1 Sử dụng aptomat hoặc cầu chảy bảo vệ cho lưới điện có trung tính cách ly, phải đặt aptomat hoặc cầu chảy ở trên tất cả các pha.
4.2.1.4.2 Sử dụng aptomat hoặc cầu chảy bảo vệ lưới điện có trung tính nối đất 3 pha 4 dây hoặc 1 pha 3 dây, phải đặt aptomat hoặc cầu chảy ở trên tất cả các pha, không được lắp đặt trên dây trung tính. Trong trường hợp bắt buộc phải cắt cả dây trung tính thì bộ cắt của aptomat trên dây trung tính phải cắt đồng thời với các pha.
4.2.1.4.3 Aptomat, cầu chảy bảo vệ lưới điện 3 pha 3 dây hoặc 1 pha 2 dây hoặc lưới điện một chiều:
- Đối với lưới điện 3 pha 3 dây (trung tính cách ly), Bộ cắt (aptomat, cầu chảy) tối thiểu phải đặt trên 2 pha.
- Đối với lưới điện 1 pha 2 dây: Chỉ cần đặt bảo vệ trên dây pha.
- Đối với lưới điện một chiều từ 110VDC trở lên: Phải đặt bảo vệ trên cả hai cực.
Lưu ý: Trên cùng một lưới điện, các aptomat, cầu chảy nên được lắp đặt bảo vệ trên các pha hoặc cực có cùng tên (ví dụ: pha A hoặc cực dương) để đảm bảo đồng bộ.
4.2.1.5 Hiển thị dòng điện định mức
Trên mỗi thiết bị bảo vệ phải có nhãn riêng, yêu cầu ghi rõ trị số dòng điện định mức.
4.2.1.6 Bảo vệ sự cố ngắn mạch
Lưới điện phải được trang bị bảo vệ chống dòng điện sự cố ngắn mạch (bảo vệ ngắn mạch) với thời gian cắt nhỏ nhất và cắt chọn lọc.
Bảo vệ phải bảo đảm cắt mạch của các dạng ngắn mạch sau đây:
- 1 pha và nhiều pha với lưới điện trung tính nối đất trực tiếp;
- 2 pha và 3 pha với lưới điện trung tính cách ly.
4.2.1.7 Bảo vệ quá tải
Phải trang bị bảo vệ quá tải cho:
a) Lưới điện trong nhà bao gồm lưới điện chiếu sáng nhà ở, nhà công cộng, cửa hàng, nhà phục vụ công cộng của cơ sở công nghiệp, lưới điện của các thiết bị dùng điện xách tay hoặc di chuyển được (bàn là, ấm điện, bếp điện, tủ lạnh, máy hút bụi, máy giặt, máy may công nghiệp, v.v.) hoặc trong các gian sản xuất dễ cháy.
b) Lưới điện động lực trong cơ sở công nghiệp, nhà ở, nhà công cộng, cửa hàng, v.v. trong quá trình vận hành có thể gây quá tải lâu dài ở dây dẫn và cáp.
c) Lưới điện ở các gian hoặc khu vực dễ nổ trong mọi trường hợp.
4.2.1.8 Vị trí đặt thiết bị bảo vệ
4.2.1.8.1 Thiết bị bảo vệ phải đặt ở nơi thuận tiện cho vận hành, bảo dưỡng tránh bị hư hỏng do cơ học. Vị trí lắp đặt phải bảo đảm khi vận hành hoặc khi thao tác không gây nguy hiểm cho người và không gây hư hỏng các vật xung quanh.
Phải đặt thiết bị bảo vệ tại các điểm sau:
a) Điểm nối của đường nhánh vào thanh cái hoặc đường dây chính có tiết diện nhỏ hơn tiết diện của thanh cái hoặc đường dây chính.
b) Điểm nối vào phần tử cần bảo vệ.
c) Điểm cần thiết bảo đảm độ nhạy và tính chất chọn lọc.
4.2.1.8.2 Không được đặt thiết bị bảo vệ tại chỗ nối đường dây cung cấp với các mạch điều khiển, tín hiệu và đo lường nếu khi các mạch này bị cắt điện có thể dẫn đến hậu quả nguy hiểm (cắt điện máy bơm chữa cháy, quạt gió dùng để tránh hình thành các hỗn hợp nổ, thiết bị máy móc của hệ thống tự dùng trong nhà máy điện v.v.). Trong mọi trường hợp, dây dẫn của các mạch này phải đặt trong ống hoặc có vỏ không chảy.
4.2.1.8.3 Phải đặt thiết bị bảo vệ ngay tại chỗ đấu phần tử được bảo vệ với đường dây cung cấp. Khi cần thiết, cho phép chiều dài của đoạn dây rẽ nhánh giữa thiết bị bảo vệ và đường dây cung cấp đến 6m. Đối với các nhánh dây đặt ở chỗ không thuận tiện (Ví dụ đặt ở chỗ quá cao), cho phép lấy chiều dài đoạn nối tới thiết bị bảo vệ đến 30m.
4.2.1.9 Các trường hợp không cần đặt thiết bị bảo vệ
Nếu thấy hợp lý cho vận hành, không cần đặt thiết bị bảo vệ ở các vị trí sau:
4.2.1.9.1 Nhánh rẽ từ thanh cái trong tủ điện đến các thiết bị cùng đặt trong tủ này, nhánh rẽ phải được chọn theo dòng điện tính toán của nhánh.
4.2.1.9.2 Chỗ có tiết diện giảm dọc theo đường dây cung cấp hoặc chỗ nhánh rẽ khi:
- Thiết bị bảo vệ của đoạn đường dây phía trước bảo vệ được đoạn giảm tiết diện đó;
- Đoạn giảm tiết diện hoặc nhánh rẽ có tiết diện không nhỏ hơn một nửa tiết diện của đoạn đường dây được bảo vệ.
4.2.1.9.3 Nhánh rẽ từ đường dây cung cấp cho mạch đo lường, điều khiển, tín hiệu khi:
- Những dây dẫn này không đi ra ngoài phạm vi các máy hoặc tủ điện;
- Những dây dẫn này đi ra ngoài phạm vi các máy hoặc tủ điện nhưng được đặt trong ống hoặc có vỏ không cháy.
4.2.2 Hệ thống bảo vệ cho hệ thống điện điện áp trên 1 kV
4.2.2.1 Phối hợp chọn lọc của hệ thống bảo vệ
4.2.2.1.1 Chọn lọc là khả năng của bảo vệ phát hiện và loại trừ đúng phần tử bị sự cố ra khỏi hệ thống điện. Theo nguyên lý làm việc, các bảo vệ được phân ra thành bảo vệ có độ chọn lọc tuyệt đối và bảo vệ có độ chọn lọc tương đối.
4.2.2.1.2 Bảo vệ có độ chọn lọc tuyệt đối là bảo vệ chỉ làm việc khi sự cố xảy ra trong một phạm vi xác định, bảo vệ này không có nhiệm vụ dự phòng cho các phần ngoài phạm vi bảo vệ.
4.2.2.1.3 Bảo vệ có độ chọn lọc tương đối là bảo vệ có nhiệm vụ bảo vệ cho chính đối tượng được bảo vệ và dự phòng cho các bảo vệ của các phần tử lân cận.
4.2.2.1.4 Lưới điện cấp điện áp 220 kV, 500 kV phải được trang bị hệ thống bảo vệ đảm bảo các yêu cầu về tính chọn lọc như sau:
a) Chọn lọc tuyệt đối trong các trường hợp: (i) hệ thống bảo vệ làm việc đầy đủ (không có bất cứ bảo vệ nào hư hỏng hoặc bị tách ra); (ii) hư hỏng một bảo vệ đường dây.
b) Chọn lọc tương đối trong các trường hợp: (i) hư hỏng bảo vệ thanh cái; (ii) hư hỏng bảo vệ máy biến áp, (iii) hư hỏng máy cắt.
4.2.2.1.5 Lưới điện cấp điện áp 110 kV phải được trang bị hệ thống bảo vệ đảm bảo tính chọn lọc tương đối trong trường hợp mất một thiết bị bảo vệ đường dây.
4.2.2.2 Yêu cầu về độ tin cậy của hệ thống bảo vệ
4.2.2.2.1 Độ tin cậy là khả năng của hệ thống bảo vệ hoặc thiết bị bảo vệ có thể thực hiện các chức năng theo yêu cầu trong các điều kiện và khoảng thời gian cụ thể. Độ tin cậy được phân thành độ tin cậy tác động và độ tin cậy không tác động.
4.2.2.2.2 Độ tin cậy tác động là khả năng của hệ thống bảo vệ hoặc thiết bị bảo vệ làm việc đúng khi có sự cố xảy ra trong phạm vi bảo vệ đã được tính toán xác định với một khoảng thời gian cụ thể.
4.2.2.2.3 Độ tin cậy không tác động là khả năng của hệ thống bảo vệ hoặc thiết bị bảo vệ không tác động nhầm trong chế độ vận hành bình thường hoặc sự cố xảy ra ngoài phạm vi bảo vệ đã được tính toán xác định với một khoảng thời gian cụ thể.
4.2.2.2.4 Để đánh giá độ tin cậy tác động khi thiết kế hệ thống rơ-le bảo vệ của phần tử hệ thống điện thì phải xét tới các dạng hư hỏng như sau:
a) Hư hỏng thiết bị bảo vệ;
b) Hư hỏng mạch cắt;
c) Hư hỏng nguồn điện một chiều của hệ thống bảo vệ;
d) Hư hỏng thiết bị đo lường (TI, biến điện áp).
4.2.2.2.5 Ưu tiên áp dụng các biện pháp để tăng cường độ tin cậy tác động như:
a) Dự phòng chức năng bảo vệ: trang bị bảo vệ kép, dự phòng 3 chức năng bảo vệ;
b) Trang bị bảo vệ dự phòng cho bảo vệ chính; trang bị bảo vệ chống hư hỏng máy cắt; trang bị bảo vệ dự phòng xa.
c) Tăng cường cấu trúc hệ thống bảo vệ bao gồm: Hệ thống nối đất phải đảm bảo tránh sự ảnh hưởng của các yếu tố bên ngoài như đóng cắt thiết bị, quá độ điện áp lên các thiết bị của hệ thống bảo vệ; Ưu tiên trang bị dự phòng cho các thành phần nguồn điện một chiều, xoay chiều của hệ thống bảo vệ.
4.2.2.2.6 Độ tin cậy của hệ thống bảo vệ phải đảm bảo bằng cách sử dụng các thiết bị có các thông số và kết cấu tương ứng với nhiệm vụ cũng như phù hợp với việc vận hành các thiết bị này.
4.2.2.2.7 Khi cần thiết có thể áp dụng các biện pháp để tăng cường độ tin cậy tác động bằng cách trang bị tăng cường chức năng bảo vệ nhưng biện pháp này có thể làm giảm độ tin cậy không tác động của hệ thống bảo vệ.
4.2.2.3 Yêu cầu về mức độ trang bị dự phòng của hệ thống bảo vệ
4.2.2.3.1 Bảo vệ dự phòng gần và dự phòng xa phải được trang bị nhằm:
a) Loại trừ sự cố trong các trường hợp hư hỏng một trong các bảo vệ của cùng một phần tử hệ thống điện;
b) Dự phòng một phần hay toàn bộ phần tử hệ thống điện kế tiếp.
4.2.2.3.2 Phải thực hiện bảo vệ dự phòng bằng thiết bị trọn bộ riêng sao cho có thể kiểm tra riêng rẽ hoặc sửa chữa bảo vệ chính hoặc bảo vệ dự phòng riêng ngay khi phần tử được bảo vệ đang làm việc. Trong trường hợp đó bảo vệ chính và bảo vệ dự phòng thường được cung cấp từ các cuộn dây nhị thứ khác nhau của máy biến dòng và đấu mạch cắt của rơ-le vào hai cuộn cắt riêng biệt của máy cắt.
4.2.2.3.3 Bảo vệ dự phòng khi máy cắt từ chối tác động (50BF) phải được đặt ở các thiết bị điện có cấp điện áp từ trung áp trở lên. 50BF có tác dụng đi cắt toàn bộ các máy cắt lân cận khi bảo vệ của phần tử bị sự cố tác động mà không cắt ngắn mạch sau thời gian đã định.
4.2.2.3.4 Hệ thống rơ-le bảo vệ cho lưới điện 220 kV, 500 kV phải bao gồm tối thiểu 02 bảo vệ chính độc lập về mặt vật lý về: mạch dòng nhị thứ, mạch cắt và kênh truyền bảo vệ. Trong đó, sự hư hỏng một trong hai mạch bảo vệ không được ảnh hưởng đến khả năng làm việc an toàn, tin cậy của bảo vệ chính còn lại.
4.2.2.3.5 Hệ thống rơ-le bảo vệ cho lưới điện 110 kV phải bao gồm tối thiểu 01 bảo vệ chính và 01 bảo vệ dự phòng độc lập về mặt vật lý về: mạch dòng nhị thứ, mạch cắt. Trong đó, sự hư hỏng một trong hai mạch bảo vệ không được ảnh hưởng đến khả năng làm việc an toàn, tin cậy của bảo vệ còn lại.
4.2.2.4 Yêu cầu về tác động của hệ thống bảo vệ đối với các trạng thái vận hành của phần tử hệ thống điện
4.2.2.4.1 Các chế độ làm việc không bình thường của hệ thống điện bao gồm:
a) Sự cố hệ thống điện: bao gồm các dạng sự cố một pha/nhiều pha chạm đất, sự cố pha - pha, sự cố 3 pha.
b) Bất thường hệ thống điện bao gồm các dạng: quá tải phần tử hệ thống điện, thay đổi đột ngột công suất truyền tải do chế độ phụ tải thay đổi hoặc do sự cố gây tách phần tử khác, điện áp cao, điện áp thấp, mất đồng bộ, tần số cao, tần số thấp; mất cân bằng điện áp, dòng điện trên lưới điện do các chế độ mất cân bằng tải, pha không đối xứng, máy cắt không toàn pha, tụt lèo.
Tùy theo mục đích nhằm phát hiện/ngăn ngừa các chế độ không bình thường như trên của hệ thống điện, bảo vệ được phân ra thành bảo vệ chống sự cố hệ thống điện và bảo vệ chống bất thường hệ thống điện.
4.2.2.4.2 Hệ thống bảo vệ chống sự cố hệ thống điện phải đảm bảo các yêu cầu sau:
a) Hệ thống bảo vệ chống sự cố phải có khả năng phát hiện và tác động với các dạng sự cố: sự cố một pha/nhiều pha chạm đất, sự cố pha - pha, sự cố 3 pha; sự cố qua điện trở thấp, sự cố qua điện trở cao; sự cố thoáng qua, sự cố duy trì.
b) Hệ thống bảo vệ chống sự cố không được tác động trong các chế độ bất thường như: quá tải, thay đổi công suất truyền tải, điện áp thấp, mất áp nhị thứ, dao động công suất; dòng điện xung kích, dòng điện bão hòa từ; mất cân bằng điện áp, dòng điện.
4.2.2.4.3 Hệ thống bảo vệ chống bất thường hệ thống điện bao gồm các bảo vệ được thiết kế nhằm phát hiện/ngăn ngừa các dạng bất thường hệ thống điện như: quá tải, thay đổi đột ngột công suất truyền tải, điện áp cao, điện áp thấp, mất đồng bộ, tần số cao, tần số thấp; mất cân bằng điện áp, mất cân bằng dòng điện trên lưới điện (do các chế độ mất cân bằng tải, pha không đối xứng, máy cắt không toàn pha, tụt lèo). Hệ thống bảo vệ chống bất thường hệ thống điện phải đảm bảo không được tác động trong chế độ sự cố.
4.2.2.5 Thiết lập độ nhạy
Hệ số độ nhạy được tính bằng tỷ lệ giữa giá trị tính toán, giá trị làm việc khi sự cố và được dùng để đánh giá độ nhạy của các loại rơ-le bảo vệ chính. Hệ số độ nhạy được xác định như sau:
4.2.2.5.1 Đối với rơ-le bảo vệ phản ứng theo trị số tăng khi sự cố, hệ số độ nhậy là tỷ số giữa trị số tính toán (dòng điện hoặc điện áp) khi ngắn mạch trực tiếp trong vùng bảo vệ và trị số khởi động của bảo vệ đang xét.
4.2.2.5.2 Đối với rơ-le bảo vệ phản ứng theo trị số giảm khi sự cố, hệ số độ nhạy là tỷ số giữa trị số khởi động của bảo vệ đang xét và trị số tính toán (điện trở hoặc điện áp) khi ngắn mạch trực tiếp trong vùng bảo vệ.
Những trị số tính toán phải được tính theo dạng sự cố bất lợi nhất có thể xảy ra trong thực tế.
4.2.3 Hệ thống bảo vệ máy biến áp
4.2.3.1 Quy định chung về bảo vệ MBA
4.2.3.1.1 Yêu cầu của hệ thống bảo vệ máy biến áp:
a) Hệ thống bảo vệ máy biến áp phải có khả năng phát hiện và chống các dạng sự cố và bất thường của máy biến áp như:
- Các dạng sự cố ngắn mạch;
- Sự cố chạm đất tại các cuộn dây máy biến áp;
- Quá tải;
- Điện áp cao và quá kích thích;
- Các sự cố nội bộ bên trong MBA.
b) Thời gian loại trừ sự cố: Hệ thống bảo vệ cắt nhanh với sự cố trong vùng bảo vệ (đoạn thanh dẫn, máy biến áp). Bảo vệ dự phòng của hệ thống bảo vệ máy biến áp phải phối hợp chọn lọc với bảo vệ của các phần tử bên ngoài.
c) Tính chọn lọc:
- Máy biến áp 500, 220 kV: Đảm bảo chọn lọc tuyệt đối ngay cả với trường hợp hư hỏng một thiết bị bảo vệ; chọn lọc tương đối trong trường hợp hư hỏng máy cắt;
- Máy biến áp 110 kV: Đảm bảo chọn lọc tuyệt đối trong trường đầy đủ hệ thống bảo vệ; chọn lọc tương đối trong trường hợp hư hỏng máy cắt.
d) Độ tin cậy:
- Phải đảm bảo được trang bị bảo vệ dự phòng gần và dự phòng xa;
- Máy biến áp 500, 220 kV: Các bảo vệ chính phải được trang bị mạch dòng nhị thứ, nguồn điện một chiều độc lập với nhau, gửi cắt độc lập hoặc đồng thời đến các cuộn cắt của máy cắt đảm bảo việc hư hỏng một trong hai bảo vệ không được làm ảnh hưởng đến thiết bị còn lại;
- Máy biến áp 110 kV: Bố trí các thiết bị bảo vệ, mạch dòng nhị thứ, nguồn điện một chiều và cuộn cắt phải đảm bảo tính chất dự phòng tương đối trong trường hợp hư hỏng một thiết bị bảo vệ.
4.2.3.1.2 Các chức năng bảo vệ máy biến áp:
a) Tất cả các máy biến áp 500 kV, 220 kV, 110 kV đều phải được trang bị bảo vệ so lệch máy biến áp 87T và bảo vệ chống quá tải 49.
b) Chức năng bảo vệ chống chạm đất hạn chế 87N phải được trang bị cho tất cả các cuộn dây đấu Y và có trung tính nối đất trực tiếp hoặc qua tổng trở.
c) Hệ thống bảo vệ máy biến áp phải được trang bị các chức năng bảo vệ dự phòng có chức năng dự phòng gần cho máy biến áp và dự phòng xa cho phía ngoài máy biến áp.
d) Đối với máy biến áp 500/220 kV yêu cầu trang bị bảo vệ so lệch thanh dẫn 87S cho đoạn thanh dẫn các phía 500 kV và phía 220 kV.
đ) Bảo vệ 27/59 có thể được sử dụng để giám sát hiện tượng điện áp thấp/ cao các phía máy biến áp.
e) Chức năng bảo vệ quá kích thích (quá từ thông) 24 có thể được trang bị cho cuộn cao áp máy biến áp.
g) Chức năng bảo vệ quá áp thứ tự không 59N phải được trang bị cho tất cả các cuộn dây đấu Δ, hoặc đấu Y và có trung tính cách ly. Đối với cuộn dây đấu Δ không nối với phụ tải hoặc nguồn bên ngoài (chỉ sử dụng làm cuộn cân bằng), cho phép không cần trang bị bảo vệ 59N.
h) Các chức năng bảo vệ công nghệ như: bảo vệ nhiệt độ dầu/cuộn dây MBA (26O/26W), rơ-le áp lực MBA (63), rơ-le gas cho bình dầu chính và ngăn điều áp dưới tải (96/80), rơ-le mức dầu thấp (71) và các chức năng bảo vệ công nghệ khác được trang bị và cài đặt đồng bộ với MBA.
4.2.3.2 Cấu hình hệ thống rơ-le bảo vệ MBA 500/220 kV
4.2.3.2.1 Thiết bị rơ-le bảo vệ số 1: Được tích hợp các chức năng bảo vệ 87T, 87N, 49, 50/51, 50/51N (hoặc 50/51G), 24, FR. Tín hiệu dòng của bảo vệ được lấy từ máy biến dòng chân sứ (cho phép phía trung áp lấy từ máy biến dòng ngăn máy cắt đầu vào) và biến dòng trung tính MBA.
4.2.3.2.2 Thiết bị rơ-le bảo vệ số 2: Được tích hợp các chức năng bảo vệ 87T, 87N, 49, 50/51, 50/51N (hoặc 50/51G), FR. Tín hiệu dòng điện được lấy từ máy biến dòng ngăn máy cắt đầu vào các phía và biến dòng trung tính MBA.
4.2.3.2.3 Thiết bị rơ-le bảo vệ số 3: Được tích hợp các chức năng bảo vệ 87S, FR. Tín hiệu dòng điện được lấy từ máy biến dòng ngăn máy cắt đầu vào và biến dòng chân sứ phía 500 kV MBA.
4.2.3.2.4 Thiết bị rơ-le bảo vệ số 4: Được tích hợp các chức năng bảo vệ 87S, FR. Tín hiệu dòng điện được lấy từ máy biến dòng ngăn máy cắt đầu vào và biến dòng chân sứ phía 220 kV MBA.
4.2.3.2.5 Thiết bị rơ-le bảo vệ số 5 (bảo vệ dự phòng cho cuộn dây 500 kV): Được tích hợp các chức năng bảo vệ 21/21N, 67/67N, 50/51, 50/51N, 59/27, SOTF, 60, FR. Tín hiệu dòng điện được lấy từ máy biến dòng ngăn máy cắt đầu vào phía 500 kV của MBA, tín hiệu điện áp được lấy từ máy biến điện áp thanh cái 500 kV hoặc biến điện áp phía 500 kV MBA. Các chức năng bảo vệ 21/21N, 67/67N, 50/51, 50/51N phải có tối thiểu 04 vùng/cấp bảo vệ.
4.2.3.2.6 Thiết bị rơ-le bảo vệ số 6 (bảo vệ dự phòng cho cuộn dây 220 kV): Được tích hợp các chức năng bảo vệ 21/21N, 67/67N, 50/51, 50/51N, 59/27, SOTF, 60, FR. Tín hiệu dòng điện được lấy từ máy biến dòng ngăn máy cắt đầu vào phía 220 kV của MBA hoặc biến dòng chân sứ phía 220 kV MBA, tín hiệu điện áp được lấy từ máy biến điện áp thanh cái 220 kV hoặc biến điện áp phía 220 kV MBA. Các chức năng bảo vệ 21/21N, 67/67N, 50/51,50/51N phải có tối thiểu 04 vùng/cấp bảo vệ.
4.2.3.2.7 Thiết bị rơ-le bảo vệ số 7 (bảo vệ dự phòng cho cuộn dây trung áp): Được tích hợp các chức năng bảo vệ 50/51,50/51N, 59N, 27/59, 60, FR. Tín hiệu dòng điện được lấy từ máy biến dòng chân sứ cuộn trung áp MBA hoặc biến dòng máy cắt phía trung áp, tín hiệu điện áp được lấy từ máy biến điện áp phía trung áp MBA. Trong trường hợp ngăn trung áp của máy biến áp có nguồn cấp từ hai phía thì chức năng bảo vệ quá dòng có hướng (67/67N) phải được tích hợp trong thiết bị bảo vệ số 7. Các chức năng bảo vệ 67/67N, 50/51, 50/51N phải có tối thiểu 04 cấp bảo vệ.
4.2.3.2.8 Trong trường hợp khai thác tự dùng phía trung áp cần có biện pháp kỹ thuật ngăn ngừa khi sự cố phía sau MBA tự dùng để không làm ảnh hưởng đến vận hành an toàn của MBA chính.
4.2.3.2.9 Thiết bị rơ-le bảo vệ số 1 và số 2 phải gửi cắt độc lập hoặc đồng thời đến các cuộn cắt của máy cắt. Việc cô lập một trong hai thiết bị rơ-le bảo vệ số 1 và 2 không được ảnh hưởng đến bất kỳ chức năng nào của thiết bị rơ-le bảo vệ còn lại.
4.2.3.2.10 Chức năng bảo vệ quá kích thích (24) cho phía cao áp MBA có thể được tích hợp trong thiết bị rơ-le bảo vệ số 1,2, 5 hoặc sử dụng rơ-le riêng và phải đảm bảo đấu nối tín hiệu điện áp phía 500 kV vào rơ-le.
4.2.3.2.11 Chức năng rơ-le bảo vệ nhiệt độ dầu/cuộn dây MBA (26O/26W), rơ-le áp lực MBA (63), rơ-le gas/dòng dầu cho bình dầu chính và ngăn điều áp dưới tải (96/80), rơ-le mức dầu thấp (71) và các chức năng bảo vệ công nghệ khác được trang bị và cài đặt đồng bộ với MBA. Trong đó đối với các chức năng bảo vệ đi cắt máy cắt (khi tác động), lệnh cắt được gửi đi cắt trực tiếp máy cắt các phía thông qua rơ-le chỉ huy cắt (hoặc rơ-le 86) và được gửi đi cắt đồng thời thông qua thiết bị rơ-le bảo vệ số 1 hoặc số 2 của MBA.
4.2.3.3 Cấu hình hệ thống rơ-le bảo vệ MBA 220/110 kV
4.2.3.3.1 Thiết bị rơ-le bảo vệ số 1: Được tích hợp các chức năng bảo vệ 87T, 87N, 49, 50/51, 50/51N (hoặc 50/51G), 24, FR. Tín hiệu dòng điện các phía được lấy từ máy biến dòng chân sứ và biến dòng trung tính MBA.
4.2.3.3.2 Thiết bị rơ-le bảo vệ số 2: Được tích hợp các chức năng bảo vệ 87T, 87N, 49, 50/51, 50/51N (hoặc 50/51G), FR. Tín hiệu dòng điện được lấy từ máy biến dòng ngăn máy cắt đầu vào các phía và biến dòng trung tính MBA.
4.2.3.3.3 Thiết bị rơ-le bảo vệ số 3 (bảo vệ dự phòng cho cuộn dây 220 kV): Được tích hợp các chức năng bảo vệ 21/21N, 67/67N, 50/51, 50/51N, 51/27, SOTF, 27/59, 60, FR. Tín hiệu dòng điện được lấy từ máy biến dòng ngăn máy cắt đầu vào phía 220 kV của MBA hoặc biến dòng chân sứ phía 220 kV MBA, tín hiệu điện áp được lấy từ máy biến điện áp thanh cái 220 kV hoặc biến điện áp phía 220 kV MBA. Các chức năng bảo vệ 21/21N, 67/67N, 50/51, 50/51N phải có tối thiểu 04 vùng/cấp bảo vệ.
4.2.3.3.4 Thiết bị rơ-le bảo vệ số 4 (bảo vệ dự phòng cho cuộn dây 110 kV): Được tích hợp các chức năng bảo vệ 67/67N, 50/51, 50/51N, 27/59, SOTF, 60, FR. Tín hiệu dòng điện được lấy từ máy biến dòng chân sứ phía 110 kV của MBA, tín hiệu điện áp được lấy từ máy biến điện áp thanh cái 110 kV hoặc biến điện áp phía 110 kV MBA. Các chức năng bảo vệ 21/21N, 67/67N, 50/51, 50/51N phải có tối thiểu 04 vùng/cấp bảo vệ.
4.2.3.3.5 Thiết bị rơ-le bảo vệ số 5 (bảo vệ dự phòng cho cuộn dây trung áp): Được tích hợp các chức năng bảo vệ 50/51, 50/51N, 59N, 27/59, FR. Tín hiệu dòng điện được lấy từ máy biến dòng chân sứ cuộn trung áp của MBA, tín hiệu điện áp được lấy từ máy biến điện áp phía trung áp MBA. Trong trường hợp ngăn trung áp của máy biến áp có nguồn cấp từ hai phía thì chức năng bảo vệ quá dòng có hướng (67/67N) phải được tích hợp trong thiết bị bảo vệ số 5. Các chức năng bảo vệ 67/67N, 50/51, 50/51N phải có tối thiểu 04 vùng/cấp bảo vệ.
4.2.3.3.6 Trong trường hợp khai thác tự dùng phía trung áp cần có biện pháp kỹ thuật ngăn ngừa khi sự cố phía sau MBA tự dùng để không làm ảnh hưởng đến vận hành an toàn của MBA chính.
4.2.3.3.7 Thiết bị rơ-le bảo vệ số 1 và số 2 phải gửi cắt độc lập hoặc đồng thời đến các cuộn cắt cảu máy cắt. Việc cô lập một trong hai thiết bị rơ-le bảo vệ số 1 và 2 không được ảnh hưởng đến bất kỳ chức năng nào của thiết bị rơ-le bảo vệ còn lại.
4.2.3.3.8 Chức năng bảo vệ quá kích thích (24) cho phía cao áp MBA có thể được tích hợp trong thiết bị rơ-le bảo vệ số 1, số 2, số 3 hoặc sử dụng rơ-le riêng và phải đảm bảo đấu nối tín hiệu điện áp phía 220 kV vào rơ-le.
4.2.3.3.9 Chức năng rơ-le bảo vệ nhiệt độ dầu/cuộn dây MBA (26O/26W), rơ-le áp lực MBA (63), rơ-le gas/dòng dầu cho bình dầu chính và ngăn điều áp dưới tải (96/80), rơ-le mức dầu thấp (71) và các chức năng bảo vệ công nghệ khác được trang bị và cài đặt đồng bộ với MBA. Trong đó đối với các chức năng bảo vệ đi cắt máy cắt (khi tác động), lệnh cắt được gửi đi cắt trực tiếp máy cắt các phía thông qua rơ-le chỉ huy cắt (hoặc rơ-le 86) và được gửi đi cắt đồng thời thông qua thiết bị rơ-le bảo vệ số 1 hoặc số 2 của MBA.
4.2.3.4 Cấu hình hệ thống rơ-le bảo vệ MBA phân phối 500 kV hoặc 220 kV (HV/MV hoặc HV/MV1/MV2)
4.2.3.4.1 Thiết bị rơ-le bảo vệ số 1: Được tích hợp các chức năng bảo vệ 87T, 87N, 50/51,50/51N (hoặc 50/51G), 49, FR. Tín hiệu dòng của bảo vệ được lấy từ máy biến dòng chân sứ (đối với MBA 500 kV cho phép phía trung áp lấy từ máy biến dòng ngăn máy cắt đầu vào) và biến dòng trung tính các cuộn dây nối Y có trung tính nối đất trực tiếp hoặc qua tổng trở.
4.2.3.4.2 Thiết bị rơ-le bảo vệ số 2: Được tích hợp các chức năng bảo vệ 87T, 87N 50/51,49, 50/51N (hoặc 50/51G), SOTF, FR. Tín hiệu dòng điện được lấy từ máy biến dòng ngăn máy cắt đầu vào các phía MBA và biến dòng trung tính các cuộn dây nối Y có trung tính nối đất trực tiếp hoặc qua tổng trở.
4.2.3.4.3 Thiết bị rơ-le bảo vệ dự phòng cho cuộn cao áp: Được tích hợp các chức năng bảo vệ 67/67N, 50/51, 51/27, 50/51N, SOTF, 27/59, FR. Tín hiệu dòng điện được lấy từ máy biến dòng ngăn máy cắt đầu vào phía cao áp của MBA, tín hiệu điện áp được lấy từ máy biến điện áp thanh cái cao áp hoặc biến điện áp phía cao áp MBA. Các chức năng bảo vệ dự phòng 67/67N, 50/51, 50/51N phải có tối thiểu 03 vùng/cấp bảo vệ.
4.2.3.4.4 Thiết bị rơ-le bảo vệ dự phòng cho mỗi cuộn dây trung áp: Được tích hợp các chức năng bảo vệ 67/67N, 50/51, 50/51N, 27/59, SOTF, 60, FR. Tín hiệu dòng điện được lấy từ máy biến dòng ngăn máy cắt đầu vào phía trung áp hoặc TI chân sứ phía trung áp của MBA, tín hiệu điện áp được lấy từ máy biến điện áp thanh cái trung áp hoặc biến điện áp phía trung áp MBA. Các chức năng bảo vệ dự phòng 67/67N, 50/51,50/51N phải có tối thiểu 03 vùng/cấp bảo vệ.
4.2.3.4.5 Chức năng 59N phải được trang bị cho tất cả các cuộn dây đấu Δ, hoặc đấu Y và có trung tính cách ly. Đối với cuộn dây đấu Δ không nối với phụ tải hoặc nguồn bên ngoài (chỉ sử dụng làm cuộn cân bằng), cho phép không cần trang bị bảo vệ 59N.
4.2.3.4.6 Thiết bị rơ-le bảo vệ số 1 và số 2 phải gửi cắt độc lập hoặc đồng thời đến các cuộn cắt của máy cắt. Việc cô lập một trong hai thiết bị rơ-le bảo vệ số 1 và 2 không được ảnh hưởng đến bất kỳ chức năng nào của thiết bị rơ-le bảo vệ còn lại.
4.2.3.4.7 Chức năng rơ-le bảo vệ nhiệt độ dầu/cuộn dây MBA (26O/26W), rơ-le áp lực MBA (63), rơ-le gas/dòng dầu cho bình dầu chính và ngăn điều áp dưới tải (96/80), rơ-le mức dầu thấp (71) và các chức năng bảo vệ công nghệ khác được trang bị và cài đặt đồng bộ với MBA. Trong đó đối với các chức năng bảo vệ đi cắt máy cắt (khi tác động), lệnh cắt được gửi đi cắt trực tiếp máy cắt các phía thông qua rơ-le chỉ huy cắt (hoặc rơ-le 86) và được gửi đi cắt đồng thời thông qua thiết bị rơ-le bảo vệ số 1 hoặc số 2 của MBA.
4.2.3.5 Cấu hình hệ thống rơ-le bảo vệ MBA phân phối 110 kV (HV/MV hoặc HV/MV1/MV2)
4.2.3.5.1 Thiết bị rơ-le bảo vệ số 1: Được tích hợp các chức năng bảo vệ 87T, 87N, 50/51, 50/51N (hoặc 50/51G), 49, FR. Tín hiệu dòng điện được lấy từ máy biến dòng ngăn máy cắt đầu vào các phía và biến dòng trung tính các cuộn dây nối Y có trung tính nối đất trực tiếp hoặc qua tổng trở.
4.2.3.5.2 Với máy biến áp 110 kV tại các trạm biến áp 220 kV, 500 kV, cho phép trang bị 02 bộ bảo vệ so lệch 87T để đảm bảo tính dự phòng và độ tin cậy. Trong trường hợp này, các thiết bị bảo vệ phải độc lập về mặt vật lý, lấy mạch dòng từ các máy biến dòng/ cuộn dòng khác nhau, gửi cắt độc lập hoặc đồng thời đến hai cuộn cắt. Việc cô lập một trong hai thiết bị rơ-le bảo vệ số không được ảnh hưởng đến bất kỳ chức năng nào của thiết bị rơ-le bảo vệ còn lại.
4.2.3.5.3 Thiết bị rơ-le bảo vệ số 2: (bảo vệ dự phòng cho cuộn dây 110 kV): Được tích hợp các chức năng bảo vệ 67/67N, 50/51,51/27, 50/51N, SOTF, 27/59, FR. Tín hiệu dòng điện được lấy từ biến dòng chân sứ hoặc máy biến dòng ngăn máy cắt đầu vào phía 110 kV của MBA, tín hiệu điện áp được lấy từ máy biến điện áp thanh cái 110 kV hoặc biến điện áp phía 110 kV MBA. Các chức năng bảo vệ dự phòng 67/67N, 50/51,50/51N phải có tối thiểu 03 vùng/cấp bảo vệ.
4.2.3.5.4 Thiết bị rơ-le bảo vệ dự phòng cho mỗi cuộn dây trung áp: Được tích hợp các chức năng bảo vệ 67/67N, 50/51, 50/51N, SOTF, 27/59, 60, FR. Tín hiệu dòng điện được lấy từ TI chân sứ phía trung áp tương ứng hoặc từ TI ngăn máy cắt đầu vào phía trung áp tương ứng của MBA, tín hiệu điện áp được lấy từ máy biến điện áp thanh cái trung áp hoặc biến điện áp phía trung áp MBA. Các chức năng bảo vệ dự phòng 67/67N, 50/51,50/51N phải có tối thiểu 03 vùng/cấp bảo vệ..
4.2.3.5.5 Chức năng 87N, 50/51G phải được trang bị cho tất cả các cuộn dây đấu Y và có trung tính nối đất trực tiếp hoặc qua tổng trở. Chức năng 59N phải được trang bị cho tất cả các cuộn dây đấu Δ, hoặc đấu Y và có trung tính cách ly. Đối với cuộn dây đấu Δ không nối với phụ tải hoặc nguồn bên ngoài (chỉ sử dụng làm cuộn cân bằng), cho phép không cần trang bị bảo vệ 59N.
4.2.3.5.6 Thiết bị rơ-le bảo vệ số 1 phải gửi cắt đồng thời đến hai cuộn cắt. Việc cô lập một trong hai thiết bị rơ-le bảo vệ số 1 và 2 không được ảnh hưởng đến bất kỳ chức năng nào của thiết bị rơ-le bảo vệ còn lại.
4.2.3.5.7 Chức năng rơ-le bảo vệ nhiệt độ dầu/cuộn dây MBA (26O/26W), rơ-le áp lực MBA (63), rơ-le gas/dòng dầu cho bình dầu chính và ngăn điều áp dưới tải (96/80), rơ-le mức dầu thấp (71) và các chức năng bảo vệ công nghệ khác được trang bị và cài đặt đồng bộ với MBA. Trong đó đối với các chức năng bảo vệ đi cắt máy cắt (khi tác động), lệnh cắt được gửi đi cắt trực tiếp máy cắt các phía thông qua rơ-le chỉ huy cắt (hoặc rơ-le 86) và được gửi đi cắt đồng thời thông qua thiết bị rơ-le bảo vệ số 1 hoặc số 2 của MBA.
4.2.4 Hệ thống bảo vệ thanh cái
4.2.4.1 Quy định chung về bảo vệ thanh cái
4.2.4.1.1 Yêu cầu của hệ thống bảo vệ thanh cái:
a) Hệ thống bảo vệ thanh cái phải có khả năng phát hiện và chống các dạng sự cố trong vùng bảo vệ thanh cái.
b) Thời gian loại trừ sự cố: thời gian loại trừ sự cố phải đảm bảo nhỏ nhất có thể và nhỏ hơn yêu cầu thời gian loại trừ sự cố lớn nhất của thanh cái.
c) Tính chọn lọc: Thanh cái 500 kV phải được trang bị 02 bảo vệ chính. Đối với thanh cái 220 kV, 110 kV trang bị tối thiểu 01 bộ bảo vệ chính.
d) Độ tin cậy:
- Bảo vệ so lệch thanh cái phải đảm bảo không được tác động với sự cố ngoài vùng bảo vệ, ngay cả trong trường hợp TI bị bão hòa do sự cố bên ngoài gần vị trí thanh cái.
- Thiết kế hệ thống bảo vệ thanh cái phải đảm bảo giảm thiểu tác động sai của hệ thống bảo vệ do lỗi tiếp điểm, thao tác sai, hư hỏng mạch nhị thứ.
4.2.4.1.2 Yêu cầu về trang bị bảo vệ thanh cái:
a) Có thể sử dụng bảo vệ so lệch thanh cái theo nguyên tắc tổng trở thấp hoặc tổng trở cao làm bảo vệ chính thanh cái.
b) Trong trường hợp thanh cái có dạng sơ đồ hai thanh cái có máy cắt phân đoạn thì bảo vệ dự phòng gần cho thanh cái là bảo vệ khoảng cách hoặc bảo vệ quá dòng tại vị trí máy cắt phân đoạn.
c) Thanh cái từ cấp điện áp 110 kV trở lên phải trang bị rơ-le bảo vệ so lệch thanh cái, trừ trường hợp thanh cái có dạng đa giác.
d) Không cần trang bị bảo vệ thanh cái cho trường hợp thanh cái có dạng đa giác.
đ) Tín hiệu dòng điện đầu vào của các bảo vệ so lệch thanh cái được lấy từ các cuộn dòng (cuộn nhị thứ TI) khác nhau, trong đó tối thiểu một bộ bảo vệ so lệch thanh cái sử dụng mạch dòng độc lập với bảo vệ của các xuất tuyến nối với thanh cái.
e) Các TI sử dụng cho bảo vệ thanh cái phải có đặc tính phù hợp với yêu cầu của bảo vệ.
4.2.4.2 Cấu hình hệ thống rơ-le bảo vệ thanh cái 500 kV, 220 kV
4.2.4.2.1 Thanh cái 500 kV được trang bị 02 bộ rơle bảo vệ so lệch. Thanh cái 220 kV được trang bị 01 bộ rơle bảo vệ so lệch, trường hợp yêu cầu đảm bảo tính dự phòng và độ tin cậy, cho phép trang bị 02 bộ rơle bảo vệ so lệch.
Đối với hệ thống được trang bị 02 bộ rơle bảo vệ so lệch, mỗi bộ rơle bảo vệ số 1 và số 2 gửi cắt độc lập hoặc đồng thời đến hai cuộn cắt. Việc cô lập một trong hai bộ rơle bảo vệ số 1 và số 2 không được ảnh hưởng đến bất kỳ chức năng nào của bộ rơle bảo vệ còn lại.
4.2.4.2.2 Tín hiệu dòng điện đầu vào của các bảo vệ so lệch thanh cái được lấy từ các cuộn dòng (cuộn nhị thứ TI) khác nhau, trong đó tối thiểu một bộ bảo vệ so lệch thanh cái sử dụng mạch dòng độc lập với bảo vệ của các xuất tuyến nối với thanh cái.
4.2.4.2.3 Trường hợp sử dụng sơ đồ thanh cái có máy cắt phân đoạn hoặc máy cắt liên lạc thì phải trang bị 01 thiết bị rơ-le bảo vệ tích hợp các chức năng 21/21N, 67/67N, 50/51,50/51N, 60, FR dự phòng tại vị trí máy cắt phân đoạn hoặc liên lạc. Thiết bị rơ- le bảo vệ này lấy tín hiệu dòng từ TI của máy cắt phân đoạn hoặc liên lạc, tín hiệu điện áp được lấy từ biến điện áp thanh cái tương ứng. Chức năng bảo vệ khoảng cách trong rơ-le phải có tối thiểu 04 cấp bảo vệ (02 cấp hướng thuận, 02 cấp hướng nghịch).
4.2.4.2.4 Trong trường hợp cần thiết, các chức năng 27, 59, 60, 81 (O/U) của mỗi thanh cái được tích hợp vào một trong hai thiết bị bảo vệ so lệch hoặc nằm trong thiết bị rơ-le bảo vệ riêng.
4.2.4.3 Cấu hình hệ thống rơ-le bảo vệ thanh cái 110 kV
4.2.4.3.1 Thanh cái 110 kV phải được trang bị 01 bộ rơ-le bảo vệ so lệch. Tín hiệu dòng điện đầu vào của rơ-le bảo vệ so lêch phải lấy từ các cuộn dòng (cuộn nhị thứ TI) độc lập với các bảo vệ của các xuất tuyến nối với thanh cái. Rơ-le bảo vệ phải gửi cắt đồng thời đến các cuộn cắt của các máy cắt có liên quan.
4.2.4.3.2 Trường hợp trang bị 02 bộ bảo vệ so lệch thanh cái thì cho phép 01 bộ được lấy tín hiệu dòng điện đầu vào nối tiếp với mạch dòng của các bảo vệ khác, 02 rơ-le bảo vệ gửi cắt độc lập hoặc đồng thời đến các cuộn cắt của máy cắt.
4.2.4.3.3 Trường hợp thanh cái 110 kV sử dụng sơ đồ thanh cái có máy cắt phân đoạn hoặc máy cắt liên lạc thì phải trang bị 01 thiết bị rơle bảo vệ tích hợp các chức năng 21/21N, 67/67N, 50/51, 50/51N, 60, FR dự phòng tại vị trí máy cắt phân đoạn hoặc liên lạc. Thiết bị rơle bảo vệ này lấy tín hiệu dòng từ TI của máy cắt phân đoạn hoặc liên lạc, tín hiệu điện áp được lấy từ biến điện áp thanh cái tương ứng, chức năng bảo vệ khoảng cách 21/21N trong rơle phải có tối thiểu 04 vùng/cấp bảo vệ (02 vùng/cấp hướng thuận, 02 vùng/cấp hướng nghịch).
4.2.4.3.4 Trong trường hợp cần thiết, các chức năng 27, 59, 60, 81 (O/U) của mỗi thanh cái được tích hợp trong thiết bị bảo vệ so lệch hoặc khoảng cách hoặc trong thiết bị rơ le bảo vệ riêng.
4.2.4.4 Cấu hình hệ thống rơ-le bảo vệ thanh cái trung áp (thuộc các trạm 500 kV, 220 kV, 110 kV)
4.2.4.4.1 Trường hợp thanh cái trung áp có máy cắt phân đoạn, trang bị 01 thiết bị bảo vệ được tích hợp các chức năng bảo vệ: 50/51,50/51N, SOTF, FR. Tín hiệu dòng điện của bảo vệ được lấy từ TI của máy cắt phân đoạn. Các chức năng 50/51,50/51N phải có tối thiểu 02 vùng/cấp bảo vệ. Đối với tủ hợp bộ có thể bổ sung chức năng bảo vệ phát hiện hồ quang.
4.2.4.4.2 Trong trường hợp cần thiết, các chức năng 27, 59, 60 của mỗi thanh cái được trang bị tích hợp trong một thiết bị rơ-le bảo vệ hoặc trong thiết bị rơ-le bảo vệ riêng. Tín hiệu điện áp được lấy từ biến điện áp thanh cái tương ứng.
4.2.4.4.3 Rơ-le bảo vệ tần số F81 (O/U) cho từng thanh cái phải được trang bị rơ-le bảo vệ riêng (chức năng bảo vệ tần số F81 được khai thác trên rơ-le này hoặc trên rơ-le xuất tuyến), tín hiêu điện áp được lấy từ biến điện áp thanh cái tương ứng hoặc biến điện áp phía cao áp của MBA.
4.2.5 Hệ thống bảo vệ máy phát điện
4.2.5.1 Quy định chung về bảo vệ máy phát
4.2.5.1.1 Quy trình này quy định cấu hình tối thiểu của máy phát điện liên quan đến phần điện. Việc trang bị hệ thống bảo vệ máy phát thuộc về chủ sở hữu nhà máy điện.
4.2.5.1.2 Hệ thống bảo vệ máy phát điện phải có khả năng chống các dạng sự cố, chế độ bất thường của máy phát (sự cố, quá tải, tần số cao/thấp, điện áp cao/thấp, quá kích thích, mất đồng bộ ...) và bảo vệ tổ máy phát điện khỏi các sự cố trên lưới điện và trong nhà máy điện.
4.2.5.1.3 Yêu cầu về mức độ dự phòng hệ thống bảo vệ máy phát:
a) Máy phát đồng bộ có công suất đặt dưới 10MW: cho phép trang bị một mạch bảo vệ.
b) Máy phát đồng bộ có công suất đặt từ 10MW đến 80MW: cho phép trang bị tối thiểu hai mạch bảo vệ, trong đó mỗi mạch phải bao gồm tối thiểu 01 thiết bị bảo vệ.
c) Máy phát đồng bộ có công suất đặt trên 80MW: phải trang bị hai mạch bảo vệ, trong đó mỗi mạch bảo vệ phải bao gồm tối thiểu 02 thiết bị bảo vệ.
4.2.5.1.4 Quy định chung về ma trận cắt:
a) Ma trận cắt phải thể hiện rõ tác động của các bảo vệ trong hệ thống bảo vệ máy phát (bao gồm các thành phần: máy phát, máy biến áp tăng áp, máy biến áp tự dùng, máy cắt) trong các trường hợp sự cố, bất thường.
b) Ma trận cắt phải phù hợp với dạng máy phát, các yêu cầu riêng của tổ máy, cấp điện áp đấu nối, công suất định mức của khối tổ máy, sơ đồ một sợi của khối tổ máy.
4.2.5.2 Cấu hình khối máy phát - máy biến áp công suất đặt ≥ 80MW
4.2.5.2.1 Bảo vệ máy phát điện gồm 2 mạch bảo vệ:
a) Mạch bảo vệ 1 bao gồm các thiết bị bảo vệ:
- Thiết bị rơ-le bảo vệ số 1: được tích hợp các chức năng bảo vệ 87G, 5 (50/27), 27, 46, 49R (*), 51V, 59, 60, 64R, 64S-95%, 81, 50BF, FR.
- Thiết bị rơ-le bảo vệ số 2: được tích hợp các chức năng bảo vệ 21,24, 32, 37, 40, 49, 59N, 60, 78, 51LF (*), 59LF (*), FR.
- Chức năng 87I có thể được trang bị nếu cần thiết (tùy thuộc vào cấu trúc cuộn stator máy phát).
b) Mạch bảo vệ 2 bao gồm các thiết bị bảo vệ:
- Thiết bị rơ-le bảo vệ số 1: được tích hợp các chức năng bảo vệ 87G, 5 (50/27), 27, 46, 51V, 59, 60, 64S-100%, 81, 50BF, FR.
- Thiết bị rơ-le bảo vệ số 2: được tích hợp các chức năng bảo vệ 21, 24, 32, 37, 40, 49, 59N, 60, 78, 51LF (*), 59LF (*), 64DC (*), FR.
c) Mạch bảo vệ 1 và 2 phải đảm bảo có mạch dòng, mạch áp, nguồn nuôi một chiều, mạch cắt, mạch báo tín hiệu độc lập với nhau. Việc hư hỏng ở một trong hai mạch bảo vệ không được làm ảnh hưởng đến sự làm việc của mạch bảo vệ còn lại.
(Các chức năng đánh dấu (*) được xem xét áp dụng theo yêu cầu công nghệ máy phát)
d) Trong trường hợp giữa máy phát và máy biến áp chính có trang bị máy cắt, thì máy cắt đầu cực máy phát phải được trang bị thiết bị hòa đồng bộ 25 (bằng tay, tự động), 50BF. Các chức năng này được tích hợp trong bảo vệ máy phát hoặc nằm trong rơ-le riêng.
4.2.5.2.2 Bảo vệ máy biến áp chính gồm các bảo vệ:
a) Thiết bị rơ-le bảo vệ số 1: được tích hợp các chức năng bảo vệ 87T, 87N, 21/21N, 50/51,60, FR.
b) Thiết bị rơ-le bảo vệ số 2: được tích hợp các chức năng 87T, 21/21N, 50/51,50/51G, 60, FR.
c) Trong trường hợp giữa máy phát và máy biến áp chính có trang bị máy cắt, cuộn hạ áp của máy biến áp chính được trang bị các chức năng bảo vệ: 24, 59N, 60 tích hợp trong các thiết bị rơ-le bảo vệ trên của máy biến áp hoặc nằm trong rơ-le bảo vệ riêng.
d) Thiết bị bảo vệ số 1 và số 2 phải đảm bảo có mạch dòng, mạch áp, nguồn nuôi một chiều và mạch cắt độc lập. Việc hư hỏng ở một trong hai mạch bảo vệ không được làm ảnh hưởng đến sự làm việc của mạch bảo vệ còn lại.
đ) Các chức năng rơ-le bảo vệ 26, 63, 71, 96 và các bảo vệ công nghệ khác được trang bị và cài đặt đồng bộ với MBA (nếu cần thiết).
e) Máy cắt phía cao áp máy biến áp chính phải được trang bị thiết bị hòa đồng bộ 25 (bằng tay, tự động).
4.2.5.2.3 Bảo vệ máy biến áp tự dùng gồm các bảo vệ:
a) Thiết bị rơ-le bảo vệ số 1: được tích hợp các chức năng bảo vệ 87T, 50/51, FR.
b) Thiết bị rơ-le bảo vệ số 2: được tích hợp các chức năng bảo vệ 87T, 49, 50/51, FR.
c) Các chức năng 87N (50REF hoặc 64REF), 50/51G phải được trang bị cho cuộn dây đấu Y và có trung tính nối đất trực tiếp hoặc qua tổng trở.
d) Các chức năng rơ-le bảo vệ 26, 63, 96, 71 và các bảo vệ công nghệ khác được trang bị và cài đặt đồng bộ với MBA (nếu cần thiết).
4.2.5.2.4 Bảo vệ máy biến áp kích từ gồm các bảo vệ (nếu có):
a) Thiết bị rơ-le bảo vệ số 1: Được tích hợp các chức năng bảo vệ 87E (với máy biến áp có công suất ≥ 6.3MVA), 49, 50/51, FR.
b) Thiết bị rơ-le bảo vệ số 2: 49, 50/51, FR.
4.2.5.2.5 Đối với các tổ máy có công suất nhỏ hơn 300MW, cho phép sử dụng thiết bị rơ-le bảo vệ so lệch khối được tích hợp các chức năng bảo vệ: 87GT, 21/21N, 50/51, 50/51N, 60, FR thay thế thiết bị rơ-le bảo vệ số 2 của máy biến áp tăng áp. Trong trường hợp tín hiệu dòng điện của bảo vệ so lệch khối lấy từ biến dòng trung tính máy phát, phía cao áp máy biến áp tăng áp và các phía hạ áp của máy biến áp tự dùng thì cho phép không cần trang bị chức năng 87T trong thiết bị bảo vệ số 2 của máy biến áp tự dùng.
4.2.5.3 Cấu hình bảo vệ khối máy phát - máy biến áp có công suất đặt 10÷80MW, máy biến áp tăng áp đấu nối vào cấp điện áp 500/220 kV
4.2.5.3.1 Bảo vệ máy phát bao gồm các bảo vệ:
a) Thiết bị rơ-le bảo vệ số 1: được tích hợp các chức năng bảo vệ 87G, 5 (50/27), 27, 59TN (hoặc 27TN), 32, 40, 46, 51V, 59, 59N, 60, 64R, 81, 50BF, FR.
b) Thiết bị rơ-le bảo vệ số 2: được tích hợp các chức năng bảo vệ 21, 24, 32, 37, 40, 46, 49, 60, 64S-95%, 78, 51LF(*), 59LF (*), 64DC (*), FR.
c) Chức năng 87I có thể được trang bị nếu cần thiết (tùy thuộc vào cấu trúc cuộn stator máy phát).
(Các chức năng đánh dấu (*) được xem xét áp dụng theo yêu cầu công nghệ máy phát).
d) Thiết bị rơ-le bảo vệ số 1 và số 2 phải đảm bảo có mạch dòng, mạch áp độc lập. Việc hư hỏng ở một trong hai thiết bị bảo vệ không được làm ảnh hưởng đến sự làm việc của thiết bị bảo vệ còn lại.
đ) Trong trường hợp giữa máy phát và máy biến áp chính có trang bị máy cắt, thì máy cắt đầu cực máy phát phải trang bị các chức năng bảo vệ: thiết bị hòa đồng bộ 25 (bằng tay, tự động), 50BF. Các chức năng này được tích hợp trong bảo vệ máy phát hoặc nằm trong rơ-le riêng.
4.2.5.3.2 Bảo vệ máy biến áp chính gồm các bảo vệ:
a) Thiết bị rơ-le bảo vệ số 1: Được tích hợp các chức năng bảo vệ 87T, 87N, 21/21N, 50/51,60,FR.
b) Thiết bị rơ-le bảo vệ số 2: được tích hợp các chức năng bảo vệ 87GT, 21/21N, 50/51, 50/51G, 60, FR.
c) Thiết bị bảo vệ 1 và 2 phải đảm bảo có mạch dòng, mạch áp độc lập. Việc hư hỏng ở một trong hai thiết bị bảo vệ không được làm ảnh hưởng đến sự làm việc của thiết bị bảo vệ còn lại.
d) Máy cắt phía cao áp máy biến áp chính phải được trang bị thiết bị hòa đồng bộ 25 (bằng tay, tự động).
đ) Trong trường hợp giữa máy phát và máy biến áp chính có trang bị máy cắt thì cuộn hạ áp của máy biến áp chính phải được trang bị các chức năng bảo vệ: 24, 59N, 60.
e) Các chức năng rơ-le bảo vệ 26, 63, 96, 71 và các bảo vệ công nghệ khác được trang bị và cài đặt đồng bộ với MBA (nếu cần thiết).
4.2.5.3.3 Bảo vệ máy biến áp tự dùng:
a) Thiết bị rơ-le bảo vệ số 1: Được tích hợp các chức năng bảo vệ 87T, 50/51, FR.
b) Thiết bị rơ-le bảo vệ số 2: Được tích hợp các chức năng bảo vệ 49, 50/51, FR.
c) Các chức năng 87N (50REF hoặc 64REF), 50/51G phải được trang bị cho cuộn dây đấu Y và có trung tính nối đất trực tiếp hoặc qua tổng trở.
d) Các chức năng rơ-le bảo vệ 26, 63, 96, 71 và các bảo vệ công nghệ khác được trang bị và cài đặt đồng bộ với MBA (nếu cần thiết).
4.2.5.3.4 Bảo vệ máy biến áp kích từ (nếu có): Được tích hợp các chức năng bảo vệ 87E (với máy biến áp có công suất ≥ 6.3MVA), 49, 50/51, FR.
4.2.5.4 Cấu hình bảo vệ khối máy phát - máy biến áp có công suất đặt 10÷80MW, máy biến áp tăng áp đấu nối vào cấp điện áp 110 kV
4.2.5.4.1 Bảo vệ máy phát bao gồm các thiết bị bảo vệ:
a) Thiết bị rơ-le bảo vệ số 1: được tích hợp các chức năng bảo vệ 87G, 5 (50/27), 27, 59TN (hoặc 27TN), 32, 40, 46, 51V, 59, 59N, 60, 64R, 81, 50BF, FR.
b) Thiết bị rơ-le bảo vệ số 2: được tích hợp các chức năng bảo vệ 21, 24, 32, 37, 40, 46, 49, 60, 64S-95%, 78, 51LF(*), 59LF (*), 64DC (*), FR.
c) Chức năng 87I có thể được trang bị nếu cần thiết (tùy thuộc vào cấu trúc cuộn stator máy phát).
(Các chức năng đánh dấu (*) được xem xét áp dụng theo yêu cầu công nghệ máy phát)
d) Thiết bị rơ-le bảo vệ số 1 và số 2 phải đảm bảo có mạch dòng, mạch áp độc lập. Việc hư hỏng ở một trong hai thiết bị bảo vệ không được làm ảnh hưởng đến sự làm việc của thiết bị bảo vệ còn lại.
đ) Trong trường hợp giữa máy phát và máy biến áp chính có trang bị máy cắt, thì máy cắt đầu cực máy phát phải trang bị các chức năng bảo vệ: thiết bị hòa đồng bộ 25 (bằng tay, tự động), 50BF. Các chức năng này được tích hợp trong bảo vệ máy phát hoặc nằm trong rơ-le riêng.
4.2.5.4.2 Bảo vệ máy biến áp chính gồm các bảo vệ:
a) Thiết bị rơ-le bảo vệ số 1: được tích hợp các chức năng bảo vệ 87T, 87N, 50/51, FR.
b) Thiết bị rơ-le bảo vệ số 2: được tích hợp các chức năng bảo vệ 87GT, 50/51, 50/51G, FR.
c) Thiết bị bảo vệ 1 và 2 phải đảm bảo có mạch dòng, mạch áp độc lập. Việc hư hỏng ở một trong hai thiết bị bảo vệ không được làm ảnh hưởng đến sự làm việc của thiết bị bảo vệ còn lại.
d) Máy cắt phía cao áp máy biến áp chính phải được trang bị thiết bị hòa đồng bộ 25 (bằng tay, tự động).
đ) Trong trường hợp giữa máy phát và máy biến áp chính có trang bị máy cắt thì cuộn hạ áp của máy biến áp chính phải được trang bị các chức năng bảo vệ: 24, 59N, 60.
e) Các chức năng rơ-le bảo vệ 26, 63, 96, 71 và các bảo vệ công nghệ khác được trang bị và cài đặt đồng bộ với MBA (nếu cần thiết).
4.2.5.4.3 Bảo vệ máy biến áp tự dùng gồm các bảo vệ:
a) Thiết bị rơ-le bảo vệ số 1: Được tích hợp các chức năng bảo vệ 87T, 50/51, FR.
b) Thiết bị rơ-le bảo vệ số 2: Được tích hợp các chức năng bảo vệ 49, 50/51, FR.
c) Các chức năng 87N (50REF hoặc 64REF), 50/51G phải được trang bị cho cuộn dây đấu Y và có trung tính nối đất trực tiếp hoặc qua tổng trở.
d) Các chức năng rơ-le bảo vệ 26, 63, 96, 71 và các bảo vệ công nghệ khác được trang bị và cài đặt đồng bộ với MBA (nếu cần thiết).
4.2.5.4.4 Bảo vệ máy biến áp kích từ (nếu có): Được tích hợp các chức năng bảo vệ 87E (với máy biến áp có công suất ≥ 6.3MVA), 49, 50/51, FR.
4.2.5.5 Cấu hình bảo vệ khối máy phát - máy biến áp có công suất đặt dưới 10MW, máy biến áp tăng áp đấu nối vào cấp điện áp 110 kV
4.2.5.5.1 Bảo vệ máy phát bao gồm các thiết bị bảo vệ:
a) Thiết bị rơ-le bảo vệ máy phát được tích hợp các chức năng bảo vệ 87G, 5 (50/27), 27, 32, 40, 46, 49, 50, 51V, 59, 59N, 60, 64R, 78, 81, 50BF, FR.
b) Chức năng 87I có thể được trang bị nếu cần thiết (tùy thuộc vào cấu trúc cuộn stator máy phát).
c) Trong trường hợp giữa máy phát và máy biến áp chính có trang bị máy cắt, thì máy cắt đầu cực máy phát phải trang bị các chức năng bảo vệ: thiết bị hòa đồng bộ 25 (bằng tay, tự động), 50BF. Các chức năng này được tích hợp trong bảo vệ máy phát hoặc nằm trong rơ-le riêng.
4.2.5.5.2 Bảo vệ máy biến áp chính gồm các bảo vệ:
a) Thiết bị rơ-le bảo vệ: được tích hợp các chức năng bảo vệ 87T, 87N, 50/51, 50/51G, FR.
b) Máy cắt phía cao áp máy biến áp chính phải được trang bị thiết bị hòa đồng bộ 25 (bằng tay, tự động).
c) Trong trường hợp giữa máy phát và máy biến áp chính có trang bị máy cắt thì cuộn hạ áp của máy biến áp chính phải được trang bị các chức năng bảo vệ: 24, 59N, 60.
d) Các chức năng rơ-le bảo vệ 26, 63, 96, 71 và các bảo vệ công nghệ khác được trang bị và cài đặt đồng bộ với MBA (nếu cần thiết).
4.2.5.5.3 Bảo vệ máy biến áp tự dùng được tích hợp các chức năng bảo vệ 87T (với máy biến áp có công suất ≥ 6.3MVA), 50/51, 49, FR.
a) Các chức năng 87N (với máy biến áp có công suất ≥ 6.3MVA), 50/51G phải được trang bị cho cuộn dây đấu Y và có trung tính nối đất trực tiếp hoặc qua tổng trở.
b) Các chức năng rơ-le bảo vệ 26, 63, 96, 71 và các bảo vệ công nghệ khác được trang bị và cài đặt đồng bộ với MBA (nếu cần thiết).
4.2.5.5.4 Bảo vệ máy biến áp kích từ (nếu có): Được tích hợp các chức năng bảo vệ 49, 50/51, FR.
4.2.5.6 Cấu hình bảo vệ tổ máy phát điện có công suất đặt 10÷80MW, đấu nối vào thanh cái trung áp
4.2.5.6.1 Bảo vệ máy phát: bao gồm các thiết bị bảo vệ:
a) Thiết bị rơ-le bảo vệ số 1: Được tích hợp các chức năng bảo vệ 87G, 5 (50/27), 27, 32, 40, 46, 50, 50G, 51V, 59, 60, 64R, 67G, 81, 50BF, FR.
b) Thiết bị rơ-le bảo vệ số 2: Được tích hợp các chức năng bảo vệ 21, 24, 32, 37, 40, 46, 49, 59N, 60, 78, 51LF(*), 59LF (*), 64DC (*), FR.
c) Thiết bị rơ-le bảo vệ số 1 và số 2 phải đảm bảo có mạch dòng, mạch áp độc lập. Việc hư hỏng ở một trong hai thiết bị bảo vệ không được làm ảnh hưởng đến sự làm việc của thiết bị bảo vệ còn lại.
d) Chức năng 87I có thể được trang bị nếu cần thiết (tùy thuộc vào cấu trúc cuộn stator máy phát).
đ) Máy cắt đầu cực máy phát phải được trang bị thiết bị hòa đồng bộ 25 (bằng tay, tự động). (Các chức năng đánh dấu (*) được xem xét áp dụng theo yêu cầu công nghệ máy phát).
4.2.5.6.2 Bảo vệ máy biến áp kích từ (nếu có): Được tích hợp các chức năng bảo vệ 49, 50/51, FR.
4.2.5.7 Cấu hình bảo vệ tổ máy phát điện có công suất đặt dưới 10MW, đấu nối vào thanh cái trung áp và có trung tính nối đất (hoặc nối đất qua điện trở)
4.2.5.7.1 Bảo vệ máy phát bao gồm các thiết bị bảo vệ:
a) Thiết bị rơ-le bảo vệ máy phát được tích hợp các chức năng bảo vệ 87G, 5 (50/27), 21,27, 32, 40, 46, 49, 50, 50G, 51V, 59, 60, 64R, 67G, 78, 81, 50BF, FR.
b) Chức năng 87I có thể được trang bị nếu cần thiết (tùy thuộc vào cấu trúc cuộn stator máy phát).
c) Máy cắt đầu cực máy phát phải được trang bị thiết bị hòa đồng bộ 25 (bằng tay, tự động).
4.2.5.7.2 Bảo vệ máy biến áp kích từ (nếu có): Được tích hợp các chức năng bảo vệ 49, 50/51, FR.
4.2.5.8 Cấu hình bảo vệ tổ máy phát điện có công suất đặt dưới 10MW, đấu nối vào thanh cái trung áp và có trung tính cách ly
4.2.5.8.1 Bảo vệ máy phát bao gồm các thiết bị bảo vệ:
a) Thiết bị rơ-le bảo vệ máy phát được tích hợp các chức năng bảo vệ 87G, 5 (50/27), 21,27, 32, 40, 46, 49, 50, 51V, 59, 59N, 60, 64R, 67G, 78, 81, 50BF, FR.
b) Chức năng 87I có thể được trang bị nếu cần thiết (tùy thuộc vào cấu trúc cuộn stator máy phát).
c) Máy cắt đầu cực máy phát phải được trang bị thiết bị hòa đồng bộ 25 (bằng tay, tự động).
4.2.5.8.2 Bảo vệ máy biến áp kích từ (nếu có): Được tích hợp các chức năng bảo vệ 49, 50/51, FR.
4.2.5.9 Cấu hình bảo vệ tổ máy phát điện không đồng bộ đấu nối vào thanh cái trung áp
Thiết bị rơ-le bảo vệ máy phát được tích hợp các chức năng bảo vệ: 87G, 27, 46, 48, 49, 50, 50G, 50BF, FR.
4.2.5.10 Cấu hình bảo vệ MBA tăng áp (của một nhóm tổ máy) đấu nối vào cấp điện áp 220 kV; hoặc MBA tăng áp (của một nhóm tổ máy) có công suất đặt > 80MW và đấu nối vào cấp điện áp 110 kV
4.2.5.10.1 Thiết bị rơ-le bảo vệ số 1: được tích hợp các chức năng bảo vệ 87T, 87N, 24, 49, 50/51, 60, 25, FR.
4.2.5.10.2 Thiết bị rơ-le bảo vệ số 2: được tích hợp các chức năng bảo vệ 87T, 21/21N, 50/51, 50/51G, 60, FR.
4.2.5.10.3 Thiết bị rơ-le bảo vệ số 3 (bảo vệ cuộn trung áp và bảo vệ máy cắt): được tích hợp các chức năng bảo vệ 27, 50/51, 50/51N, 59, 59N, 60, 25, FR.
4.2.5.10.4 Chức năng 21/21N phải được tích hợp vào một trong hai thiết bị bảo vệ số 1 và số 2.
4.2.5.10.5 Thiết bị bảo vệ số 1 và số 2 phải đảm bảo có mạch dòng, mạch áp, nguồn nuôi một chiều và mạch cắt độc lập. Việc hư hỏng ở một trong hai thiết bị bảo vệ không được làm ảnh hưởng đến sự làm việc của thiết bị bảo vệ còn lại.
4.2.5.10.6 Các chức năng rơ-le bảo vệ 26, 63, 96, 71 và các bảo vệ công nghệ khác được trang bị và cài đặt đồng bộ với MBA (nếu cần thiết).
4.2.5.11 Cấu hình bảo vệ MBA tăng áp (của một nhóm tổ máy) có công suất ≤ 80MW đấu nối vào cấp điện áp 110 kV
4.2.5.11.1 Thiết bị rơ-le bảo vệ số 1: được tích hợp các chức năng bảo vệ 87T, 87N, 24, 49, 50/51, 60, 25, FR.
4.2.5.11.2 Thiết bị rơ-le bảo vệ số 2: được tích hợp các chức năng bảo vệ 87T, 50/51, 50/51G, 60, FR.
4.2.5.11.3 Thiết bị rơ-le bảo vệ số 3 (bảo vệ cuộn trung áp và bảo vệ máy cắt): được tích hợp các chức năng bảo vệ 27, 50/51, 50/51N, 59, 59N, 60, 25, FR.
4.2.5.11.4 Các chức năng rơ-le bảo vệ 26, 63, 96, 71 và các bảo vệ công nghệ khác được trang bị và cài đặt đồng bộ với MBA (nếu cần thiết)
4.2.6 Hệ thống bảo vệ thiết bị bù
4.2.6.1 Yêu cầu kỹ thuật với hệ thống bảo vệ kháng bù ngang và các thiết bị phụ trợ
4.2.6.1.1 Trong trường hợp kháng điện nối với đường dây/thanh cái thông qua máy cắt thì máy cắt phải có khả năng cắt dòng ngắn mạch, bảo vệ kháng điện khi tác động sẽ đi cắt máy cắt kháng. Trong trường hợp hư hỏng máy cắt kháng, bảo vệ chống hư hỏng máy cắt kháng (50BF) sẽ gửi tín hiệu liên động cắt toàn bộ các máy cắt đường dây/ thanh cái liên quan.
4.2.6.1.2 Trong trường hợp kháng điện nối trực tiếp với đường dây/thanh cái, bảo vệ kháng điện khi tác động sẽ đi cắt toàn bộ các máy cắt đường dây/ thanh cái liên quan.
4.2.6.1.3 Kháng điện 500 kV, 220 kV phải được trang bị bảo vệ kép.
4.2.6.1.4 Máy cắt kháng phải trang bị các chức năng 50BF, 74, 86, FR. Nên trang bị thiết bị lựa chọn thời điểm đóng, mở máy cắt kháng.
4.2.6.1.5 Chức năng rơ-le bảo vệ nhiệt độ dầu (26O), nhiệt độ cuộn dây kháng điện (26W), rơ-le áp lực dầu (63), rơ-le gas (96), rơ-le mức dầu thấp (71) và các chức năng bảo vệ công nghệ khác được trang bị và cài đặt đồng bộ với kháng điện. Trong đó đối với các chức năng bảo vệ đi cắt máy cắt (khi tác động), lệnh cắt được gửi đi cắt trực tiếp máy cắt thông qua rơ-le chỉ huy cắt (hoặc rơ-le 86) và được gửi đi cắt đồng thời thông qua thiết bị rơ-le bảo vệ số 1 hoặc số 2 của kháng điện.
4.2.6.2 Yêu cầu kỹ thuật với hệ thống bảo vệ tụ bù ngang và các thiết bị phụ trợ
4.2.6.2.1 Trong trường hợp tụ điện nối với thanh cái thông qua máy cắt thì bảo vệ tụ điện khi tác động sẽ đi cắt máy cắt tụ. Trong trường hợp hư hỏng máy cắt tụ, bảo vệ chống hư hỏng máy cắt tụ (50BF) sẽ gửi tín hiệu liên động cắt toàn bộ các máy cắt liên quan.
4.2.6.2.2 Trong trường hợp tụ điện nối trực tiếp vào thanh cái, bảo vệ tụ khi tác động sẽ đi cắt toàn bộ các máy cắt nối với thanh cái.
4.2.6.2.3 Tụ bù ngang 500 kV, 220 kV phải được trang bị bảo vệ kép.
4.2.6.2.4 Máy cắt tụ phải được trang bị các chức năng 50BF, 74, 86, FR. Nên trang bị thiết bị lựa chọn thời điểm đóng, mở máy cắt tụ.
4.2.6.3 Cấu hình hệ thống rơ-le bảo vệ kháng bù ngang 500 kV, 220 kV
4.2.6.3.1 Thiết bị rơ-le bảo vệ số 1: Được tích hợp các chức năng bảo vệ 87R (nếu có TI từng pha tại vị trí điểm trung tính), 87N, 46, 49, 50/51, 50/51N (hoặc 50/51G), SOTF, FR. Tín hiệu dòng điện đầu vào thiết bị rơ-le bảo vệ được lấy từ các biến dòng từng pha phía cao áp, biến dòng từng pha tại điểm trung tính (nếu có) và TI trung tính của kháng.
4.2.6.3.2 Thiết bị rơ-le bảo vệ số 2: Được tích hợp các chức năng bảo vệ 87R (nếu có TI từng pha tại vị trí điểm trung tính), 87N, 27/59, 46, 49, 50/51, 50/51N (hoặc 50/51G), 60, SOTF, FR. Tín hiệu dòng điện đầu vào thiết bị rơ-le bảo vệ được lấy từ các biến dòng từng pha phía cao áp, biến dòng từng pha tại điểm trung tính (nếu có) và TI trung tính của kháng.
4.2.6.3.3 Thiết bị bảo vệ 1 và 2 phải đảm bảo có mạch dòng, mạch áp, nguồn nuôi một chiều và mạch cắt độc lập. Thiết bị rơ-le bảo vệ số 1 và số 2 phải gửi cắt độc lập hoặc đồng thời đến hai cuộn cắt. Việc hư hỏng ở một trong hai thiết bị bảo vệ không được làm ảnh hưởng đến sự làm việc của thiết bị bảo vệ còn lại.
4.2.6.3.4 Trong trường hợp kháng có máy cắt, các chức năng 50BF được tích hợp trong hai thiết bị bảo vệ số 1 và số 2, hoặc nằm trong thiết bị bảo vệ riêng.
4.2.6.3.5 Chức năng rơ-le bảo vệ nhiệt độ dầu (26O), nhiệt độ cuộn dây kháng điện (26W), rơ-le áp lực dầu (63), rơ-le gas (96), rơ-le mức dầu thấp (71) và các chức năng bảo vệ công nghệ khác được trang bị và cài đặt đồng bộ với kháng điện. Trong đó đối với các chức năng bảo vệ đi cắt máy cắt (khi tác động), lệnh cắt được gửi đi cắt trực tiếp máy cắt thông qua rơ-le chỉ huy cắt (hoặc rơ-le 86) và được gửi đi cắt đồng thời thông qua thiết bị rơ-le bảo vệ số 1 hoặc số 2 của kháng điện.
4.2.6.4 Cấu hình hệ thống rơ-le bảo vệ kháng điện bù ngang 110 kV
4.2.6.4.1 Thiết bị bảo vệ số 1: được trang bị thiết bị rơ-le bảo vệ tích hợp các chức năng 87R (nếu có TI từng pha tại vị trí điểm trung tính), 87N, 50/51, 50/51N (hoặc 50/51G), SOTF, FR.
4.2.6.4.2 Thiết bị rơ-le bảo vệ số 2 (bảo vệ dự phòng): được tích hợp các chức năng bảo vệ 67/67N, 50/51, 50/51N (hoặc 50/51G), 27/59, 60, SOTF FR.
4.2.6.4.3 Việc hư hỏng ở một trong hai thiết bị bảo vệ không được làm ảnh hưởng đến sự làm việc của thiết bị bảo vệ còn lại.
4.2.6.4.4 Trong trường hợp kháng có máy cắt, các chức năng 50BF được tích hợp trong thiết bị bảo vệ trên hoặc nằm trong thiết bị bảo vệ riêng.
4.2.6.4.5 Chức năng rơ-le bảo vệ nhiệt độ dầu (26O), nhiệt độ cuộn dây kháng điện (26W), rơ-le áp lực dầu (63), rơ-le gas (96), rơ-le mức dầu thấp (71) và các chức năng bảo vệ công nghệ khác được trang bị và cài đặt đồng bộ với kháng điện. Trong đó đối với các chức năng bảo vệ đi cắt máy cắt (khi tác động), lệnh cắt được gửi đi cắt trực tiếp máy cắt thông qua rơ-le chỉ huy cắt (hoặc rơ-le 86) và được gửi đi cắt đồng thời thông qua thiết bị rơ-le bảo vệ số 1 hoặc số 2 của kháng điện.
4.2.6.5 Cấu hình hệ thống rơ-le bảo vệ tụ bù ngang 500 kV, 220 kV, 110 kV
4.2.6.5.1 Thiết bị rơ-le bảo vệ số 1: Được tích hợp chức năng bảo vệ 50/51, 50/51N, 50Ub (bảo vệ dòng không cân bằng giữa các giàn tụ), 49, 27/59, 50BF, FR.
4.2.6.5.2 Thiết bị rơ-le bảo vệ số 2: Được tích hợp chức năng bảo vệ 50/51, 50/51N, 50Ub (bảo vệ dòng không cân bằng giữa các giàn tụ), 49, 27/59, 50BF, FR.
4.2.6.5.3 Việc hư hỏng ở một trong hai thiết bị bảo vệ không được làm ảnh hưởng đến sự làm việc của thiết bị bảo vệ còn lại.
4.2.6.5.4 Trong trường hợp tụ có máy cắt, các chức năng 50BF, được tích hợp trong hai thiết bị bảo vệ trên hoặc nằm trong thiết bị bảo vệ riêng.
4.2.6.5.5 Tín hiệu dòng điện đầu vào của hai thiết bị rơ-le bảo vệ phải lấy từ các cuộn dòng (nhị thứ TI) khác nhau.
4.2.7 Bảo vệ máy cắt
4.2.7.1 Yêu cầu chung đối với bảo vệ máy cắt
4.2.7.1.1 Các yêu cầu chung của bảo vệ chống hư hỏng máy cắt (50BF):
a) Bảo vệ chống hư hỏng máy cắt được khởi động từ lệnh cắt của các bảo vệ chống sự cố, không được khởi động từ lệnh cắt bằng tay.
b) Bảo vệ chống hư hỏng máy cắt có khả năng phát hiện chế độ hư hỏng máy cắt dựa trên dòng điện và/hoặc tiếp điểm máy cắt.
c) Bảo vệ chống hư hỏng máy cắt phải có khả năng kiểm tra trạng thái 1 pha máy cắt trong trường hợp bảo vệ chống sự cố tác động cắt 1 pha máy cắt; kiểm tra trạng thái 3 pha máy cắt trong trường hợp hệ thống bảo vệ chống sự cố cắt 3 pha máy cắt.
d) Bảo vệ chống hư hỏng máy cắt có 02 cấp tác động: (i) Cấp 1 - cắt lại (gửi cắt tất cả các cuộn cắt) máy cắt bị hư hỏng; (ii) Cấp 2 - cắt các máy cắt nối trực tiếp tới máy cắt bị hư hỏng tại trạm, trong trường hợp cần thiết theo yêu cầu thời gian loại trừ sự cố bảo vệ này phải có khả năng cắt máy cắt ở trạm kế tiếp nối trực tiếp tới máy cắt bị sự cố.
4.2.7.1.2 Các máy cắt từ cấp điện áp 110 kV trở lên hoặc các MC nối lưới tại các NMĐ yêu cầu phải được trang bị chức năng kiểm tra đồng bộ. Đối với cấp điện áp trung áp khi kết nối trong cùng hệ thống điện cho phép kiểm tra đồng vị pha hoặc kiểm tra đồng bộ để thực hiện khép mạch vòng. Chức năng 25 phải cho phép cài đặt nhiều chế độ chỉnh định để phù hợp với lưới điện có nhiều chế độ kiểm tra đồng bộ (hòa điện, khép vòng).
4.2.7.1.3 Các máy cắt có bộ truyền động riêng từng pha phải được trang bị rơ-le bảo vệ chống chế độ không toàn pha.
4.2.7.1.4 Máy cắt phải được trang bị các chức năng giám sát mạch cắt (74) tương ứng với số cuộn cắt của máy cắt và mạch bảo vệ. Đối với cấp điện áp từ 110 kV trở lên chức năng 74 phải sử dụng rơ-le giám sát mạch cắt riêng và không được tích hợp trong các khối thiết bị rơ-le bảo vệ khác. Đối với máy cắt có cấp điện áp dưới 110 kV, cho phép sử dụng chức năng F74 được tích hợp trong các thiết bị rơ-le bảo vệ.
4.2.7.1.5 Máy cắt phải được trang bị rơ-le lockout (86) nhằm cắt và khóa đóng lại máy cắt trong các trường hợp cần thiết. Rơ-le lockout phải được trang bị tương ứng với số cuộn cắt của máy cắt và mạch bảo vệ. Đối với cấp điện áp từ 110 kV trở lên, chức năng 86 phải trang bị trong rơ-le riêng và không được tích hợp trong các khối thiết bị rơ-le bảo vệ khác. Đối với máy cắt có cấp điện áp dưới 110 kV, cho phép sử dụng chức năng rơ-le lockout được tích hợp trong các thiết bị rơ-le bảo vệ.
4.2.7.2 Cấu hình hệ thống rơ-le bảo vệ cho máy cắt 500 kV
4.2.7.2.1 Ngăn máy cắt đường dây, máy biến áp: Các chức năng 50BF, F25 phải được trang bị trong hai bảo vệ riêng biệt, có thể được tích hợp trong các thiết bị rơ-le bảo vệ của đường dây, máy biến áp, thanh cái hoặc trong các thiết bị rơ-le bảo vệ riêng. Đối với máy cắt đường dây, chức năng 50BF phải có khả năng kiểm tra chống hư hỏng máy cắt ở chế độ cắt 1 pha và cắt 3 pha máy cắt bởi bảo vệ.
4.2.7.2.2 Ngăn máy cắt kháng điện bù ngang, tụ điện bù ngang: Chức năng 50BF phải được trang bị trong hai bảo vệ riêng biệt, có thể được tích hợp trong các thiết bị rơ-le bảo vệ của kháng điện, tụ điện, thanh cái hoặc trong các thiết bị rơ-le bảo vệ riêng.
4.2.7.2.3 Máy cắt liên lạc hoặc máy cắt phân đoạn: Các chức năng 50BF, F25 phải được trang bị trong hai bảo vệ riêng biệt, có thể được tích hợp trong các thiết bị rơ-le bảo vệ thanh cái (bảo vệ chính hoặc bảo vệ dự phòng) hoặc trong thiết bị rơ-le bảo vệ riêng.
4.2.7.2.4 Chức năng F25 (nếu được trang bị) phải cho phép cài đặt nhiều chế độ chỉnh định.
4.2.7.2.5 Các máy cắt 500 kV phải được trang bị rơ-le bảo vệ chống chế độ không toàn pha.
4.2.7.3 Cấu hình hệ thống rơ-le bảo vệ cho máy cắt 220 kV
4.2.7.3.1 Mỗi ngăn máy cắt 220 kV phải được trang bị các chức năng 50BF, F25 được tích hợp trong các thiết bị rơ-le bảo vệ tương ứng của thiết bị (đường dây, máy biến áp, thanh cái, tụ điện, kháng điện, ....) hoặc trong rơ-le bảo vệ riêng. Chức năng F25 phải cho phép cài đặt nhiều chế độ chỉnh định. Đối với máy cắt đường dây, chức năng 50BF phải có khả năng kiểm tra chống hư hỏng máy cắt trong chế độ cắt 1 pha và cắt 3 pha máy cắt bởi bảo vệ.
4.2.7.3.2 Các máy cắt 220 kV có bộ truyền động riêng từng pha phải được trang bị rơ-le bảo vệ chống chế độ không toàn pha.
4.2.7.3.3 Ngăn máy cắt vòng được trang bị các rơ-le bảo vệ sau:
a) Thiết bị rơ-le bảo vệ số 1: được tích hợp các chức năng bảo vệ 21/21N, 68 (B/T), 67/67N, 50/51, 50/51N, 79, 50BF, SOTF, 85, FR, FL.
b) Thiết bị rơ-le bảo vệ số 2: được tích hợp các chức năng bảo vệ 67/67N, SOTF, 50/51, 50/51N, 27/59, FR, FL.
c) Các chức năng bảo vệ và tự động 79, 27/59 không phải dự phòng và được tích hợp vào một trong hai thiết bị rơ-le bảo vệ trên hoặc nằm trong rơ-le riêng.
d) Các chức năng 50BF, 25 không phải dự phòng và được tích hợp vào một trong hai thiết bị rơ-le bảo vệ trên hoặc thiết bị rơ-le bảo vệ của thanh cái hoặc nằm trong rơ-le riêng.
đ) Thiết bị rơ-le bảo vệ trang bị cho máy cắt vòng phải có đủ nhóm chỉnh định đáp ứng khi thay thế các ngăn lộ. Cho phép trang bị nhiều thiết bị rơ-le bảo vệ để đảm bảo đủ số nhóm chỉnh định.
e) Nên trang bị các mạch chuyển đổi nhị thứ (TI, mạch cắt,...) trong trường hợp dùng máy cắt vòng thay thế cho bất kỳ máy cắt nào nối vào thanh cái vẫn đảm bảo thời gian loại trừ sự cố bằng bảo vệ chính.
g) Cấu hình rơ-le bảo vệ cho máy cắt vòng làm chức năng liên lạc thanh cái (hoặc máy cắt phân đoạn) phải giống như của máy cắt vòng và máy cắt liên lạc (hoặc máy cắt phân đoạn) khi chúng làm chức năng tương ứng.
4.2.7.4 Cấu hình hệ thống rơ-le bảo vệ cho máy cắt 110 kV
4.2.7.4.1 Mỗi ngăn máy cắt 110 kV phải được trang bị các chức năng 50BF, 25 được tích hợp trong các thiết bị rơ-le bảo vệ tương ứng của thiết bị (đường dây, máy biến áp, thanh cái, tụ điện, kháng điện, ...) hoặc trong rơ-le bảo vệ riêng. Chức năng 25 phải cài đặt được nhiều chế độ chỉnh định.
4.2.7.4.2 Các máy cắt 110 kV có bộ truyền động riêng từng pha phải được trang bị rơ-le bảo vệ chống không toàn pha cho máy cắt.
4.2.7.4.3 Máy cắt vòng được trang bị các rơ-le bảo vệ sau:
a) Thiết bị rơ-le bảo vệ số 1: Được tích hợp các chức năng bảo vệ 21/21N, 68 (B/T), 67/67N, 50/51, 50/51N, 79, 50BF, 85, FR, FL.
b) Thiết bị rơ-le bảo vệ số 2: Được tích hợp các chức năng bảo vệ 67/67N, 50/51, 50/51N, 27/59, FR, FL.
c) Các chức năng bảo vệ và tự động 79, 27/59 không phải dự phòng và được tích hợp vào một trong hai thiết bị rơ-le bảo vệ trên hoặc nằm trong thiết bị rơ-le bảo vệ riêng.
d) Các chức năng 50BF, 25 không phải dự phòng và được tích hợp vào một trong hai thiết bị rơ-le bảo vệ trên hoặc thiết bị rơ-le bảo vệ của thanh cái hoặc nằm trong rơ-le riêng.
đ) Thiết bị rơ-le bảo vệ trang bị cho máy cắt vòng phải đủ nhóm chỉnh định đáp ứng khi thay thế các ngăn lộ. Cho phép trang bị nhiều thiết bị rơ-le bảo vệ để đảm bảo đủ số nhóm chỉnh định.
e) Nên trang bị các mạch chuyển đổi nhị thứ (TI, mạch cắt,….) trong trường hợp dùng máy cắt vòng thay thế cho bất kỳ máy cắt nào nối vào thanh cái vẫn đảm bảo thời gian loại trừ sự cố bằng bảo vệ chính.
g) Cấu hình rơ-le bảo vệ cho máy cắt vòng làm chức năng liên lạc thanh cái (hoặc máy cắt phân đoạn) phải giống như của máy cắt vòng và máy cắt liên lạc (hoặc máy cắt phân đoạn) khi chúng làm chức năng tương ứng.
4.2.7.5 Cấu hình hệ thống rơ-le bảo vệ cho ngăn máy cắt trung áp
4.2.7.5.1 Ngăn máy cắt máy biến áp, kháng điện bù ngang, tụ điện bù ngang, ngăn máy cắt liên lạc/ phân đoạn: Các chức năng 50BF, FR được tích hợp trong thiết bị rơ- le bảo vệ của máy biến áp, kháng điện, tụ điện hoặc trong rơ-le riêng và không phải dự phòng. Trong trường hợp máy biến áp có nguồn cấp từ hai phía, máy cắt máy biến áp, ngăn máy cắt liên lạc/ phân đoạn phải được trang bị chức năng 25 và được tích hợp trong thiết bị rơ-le bảo vệ máy biến áp hoặc trong rơ-le riêng và không phải dự phòng.
4.2.7.5.2 Ngăn máy cắt ngăn lộ trung áp lưới trung tính nối đất trực tiếp được trang bị thiết bị rơ-le bảo vệ tích hợp các chức năng bảo vệ 67/67N, 50/51, 50/51N, 50BF, 81,79, 27/59, 46/46BC, FR. Nếu không có nguồn cấp ngược thì không cần chức năng quá dòng có hướng 67/67N.
4.2.7.5.3 Ngăn máy cắt ngăn lộ trung áp lưới trung tính cách ly hoặc qua tổng trở được trang bị thiết bị rơ-le bảo vệ tích hợp các chức năng bảo vệ 67, 67Ns (bảo vệ chạm đất có hướng độ nhạy cao), 50/51, 50/51G hoặc 50/51Ns (bảo vệ chống chạm đất có độ nhạy cao, 50BF, 81,79, 27/59, 46/46BC, FR. Nếu không có nguồn cấp ngược thì không cần chức năng quá dòng có hướng 67 (Yêu cầu vẫn có chức năng 67Ns).
4.2.7.5.4 Đối với tủ hợp bộ có thể bổ sung chức năng bảo vệ phát hiện hồ quang.
4.2.8 Hệ thống bảo vệ đường dây
4.2.8.1 Phân loại đường dây ngắn, trung bình và dài
4.2.8.1.1 Phân loại độ dài các đường dây 500 kV, 220 kV, 110 kV được dựa trên giá trị tính toán tỷ số điện trở SIR (source impedance ratio - là tỷ số giữa điện trở nguồn phía sau rơ-le và điện trở đường dây), cụ thể như sau:
Bảng 4.1: Phân loại đường dây theo tỷ số điện trở SIR
|
Đường dây ngắn |
Đường dây trung bình |
Đường dây dài |
|
SIRs > 4 |
0.5 < SIRs < 4 |
SIRs < 0.5 |
4.2.8.1.2 Trong trường hợp không đủ cơ sở thực hiện phân loại đường dây theo tính toán SIR, có thể phân loại đường dây một cách tương đối theo độ dài vật lý như sau:
a) Đối với đường dây trên không
Bảng 4.2: Phân loại đường dây trên không theo chiều dài và cấp điện áp
|
Cấp điện áp |
Đường dây ngắn |
Đường dây trung bình |
Đường dây dài |
|
500 kV |
L < 40km |
40km ≤ L ≤ 120km |
L >120km |
|
220 kV |
L < 20km |
20km ≤ L ≤ 80km |
L > 80km |
|
110 kV |
L <10km |
10km ≤ L ≤ 50km |
L > 50km |
b) Đối với đường dây cáp ngầm
Bảng 4.3: Phân loại đường dây theo chiều dài
|
Đường dây ngắn |
Đường dây trung bình |
Đường dây dài |
|
L <10km |
10km ≤ L ≤ 30km |
L > 30km |
4.2.8.1.3 Ảnh hưởng của việc phân loại độ dài đường dây đến việc xác định cấu hình hệ thống bảo vệ:
a) Đường dây ngắn: Các bảo vệ quá dòng, khoảng cách vùng độc lập có thể không đảm bảo phối hợp chọn lọc, do đó cần thiết trang bị bảo vệ sử dụng kênh truyền nhằm đảm bảo tính chọn lọc của bảo vệ.
b) Đối với đường dây trung bình: Các bảo vệ quá dòng, khoảng cách vùng độc lập có khả năng đảm bảo tính phối hợp chọn lọc. Bảo vệ sử dụng kênh truyền được áp dụng trong trường hợp cần bảo vệ tác động nhanh theo yêu cầu thời gian loại trừ sự cố.
c) Đối với đường dây dài:
- Bảo vệ quá dòng và bảo vệ khoảng cách vùng độc lập có thể đảm bảo tính phối hợp chọn lọc. Tuy nhiên, vùng bảo vệ của các bảo vệ này phải đảm bảo không được trùng với vùng xâm lấn tải trong các chế độ vận hành khác nhau của đường dây.
- Do ảnh hưởng của hiện tượng quá độ điện kháng trong quá trình sự cố của đường dây có tụ bù dọc, nên chỉnh định của bảo vệ khoảng cách trong trường hợp này có thể không đảm bảo tính chọn lọc. Do đó, cần trang bị bảo vệ sử dụng kênh truyền nhằm đảm bảo tính chọn lọc của bảo vệ.
4.2.8.2 Yêu cầu chung đối với bảo vệ đường dây
4.2.8.2.1 Yêu cầu đối với chức năng tự động đóng lại:
a) Yêu cầu chung cho chức năng tự động đóng lại với đường dây được quy định tại 4.1.1.3.
b) Đường dây 500 kV, 220 kV phải có khả năng thực hiện tự động đóng lại 1 pha/ 3pha. Trong trường hợp tự động đóng lại 1 pha không thành công, hệ thống bảo vệ phải thực hiện cắt 3 pha đường dây. Trường hợp đường dây song song khi sự cố cho phép tự đóng lại nhiều pha.
c) Đường dây 110 kV chỉ cần thực hiện tự động đóng lại 3 pha. Trong trường hợp cần thiết, để nâng cao độ ổn định, tin cậy trong vận hành có thể trang bị để thực hiện cắt 1 pha và đóng lại 1 pha đối với đường dây 110 kV.
d) Trong chế độ không toàn pha của chu trình tự động đóng lại 1 pha, các bảo vệ chống sự cố của hệ thống bảo vệ (so lệch, khoảng cách, quá dòng, chống hư hỏng máy cắt ...) không được tác động nhằm duy trì sự vận hành của hai pha còn lại trong khoảng thời gian cho phép của chế độ không toàn pha khi không có sự cố xếp chồng. đ) Thời gian chết của bảo vệ tự động đóng lại phải đảm bảo các yêu cầu sau: (i) đủ dài để đảm bảo khả năng khôi phục cách điện trong trường hợp sự cố thoáng qua. Trong đó, thời gian đảm bảo khả năng khôi phục cách điện phải tính đến các yếu tố sau: thời gian tác động của hệ thống bảo vệ tại mỗi đầu, ảnh hưởng của hiện tượng nguồn yếu dẫn đến bảo vệ hai đầu đường dây khởi động và tác động nối tiếp nhau, thời gian dự phòng; (ii) không gây mất ổn định hệ thống điện trong quá trình tự động đóng lại.
4.2.8.2.2 Tác động cắt của bảo vệ đường dây:
a) Cho phép bảo vệ chống sự cố cắt 1 pha/3 pha đối với đường dây trên không có cấp điện áp từ 220 kV trở lên, các bảo vệ chính của đường dây này phải có khả năng phân biệt sự cố 1 pha/ 3 pha. Chỉ thực hiện chế độ cắt 3 pha đối với đường dây trên không có cấp điện áp từ 110 kV trở xuống. Trừ các trường hợp đặc biệt nhằm nâng cao độ ổn định, tin cậy trong vận hành có thể trang bị để thực hiện cắt 1 pha và đóng lại 1 pha đối với đường dây 110 kV.
b) Đối với đường dây cáp ngầm, đường dây hỗn hợp trên không và cáp ngầm chỉ cho phép hệ thống rơ-le bảo vệ cắt 3 pha.
c) Trường hợp đường dây song song khi sự cố cho phép cắt 1 pha hoặc nhiều pha.
4.2.8.2.3 Kênh truyền sử dụng cho bảo vệ đường dây phải đảm bảo các yêu cầu kỹ thuật về độ trễ, mức độ suy giảm tín hiệu và các yêu cầu khác của chức năng bảo vệ.
4.2.8.3 Yêu cầu tính chọn lọc của bảo vệ đường dây
4.2.8.3.1 Các bảo vệ chọn lọc tương đối (gồm bảo vệ khoảng cách, bảo vệ quá dòng):
a) Bảo vệ khoảng cách phải có khả năng khóa tạm thời trong trường hợp phát hiện dao động công suất.
b) Bảo vệ khoảng cách phải có khả năng khóa không tác động trong trường hợp mất áp nhị thứ.
c) Bảo vệ khoảng cách và bảo vệ quá dòng đường dây phải có tối thiểu 03 cấp bảo vệ có hướng.
4.2.8.3.2 Quy định về bảo vệ chọn lọc tuyệt đối (gồm các bảo vệ so lệch, bảo vệ khoảng cách có truyền tin):
a) Bảo vệ chọn lọc tuyệt đối được sử dụng với vai trò là bảo vệ chính của đường dây, do đó phải có khả năng loại trừ sự cố trong khoảng thời gian quy định tại mục 1.6 - 2.
b) Bảo vệ chọn lọc tuyệt đối được trang bị cho đường dây để đảm bảo các yêu cầu về phối hợp chọn lọc của hệ thống bảo vệ và yêu cầu về thời gian loại trừ sự cố lớn nhất.
c) Bảo vệ so lệch đường dây phải được trang bị trong các trường hợp: đường dây 500 kV, đường dây 220 kV, đường dây 110 kV ngắn, các đường dây cáp ngầm (trừ trường hợp đường dây cáp ngầm 110 kV hình tia có lưới vỏ kim loại của cáp nối đất tại một điểm).
d) Bảo vệ so lệch đường dây phải có khả năng phát hiện mọi dạng sự cố trong vùng bảo vệ xác định bởi CT tại các đầu đường dây ngay cả trong trường hợp một trong các CT bị bão hòa.
đ) Bảo vệ so lệch đường dây không được tác động với các hiện tượng không phải là sự cố trong vùng bảo vệ như: dòng điện đóng xung đường dây, dòng không cân bằng do dòng điện dung đường dây gây ra, quá tải đường dây, dòng ngắn mạch chạy qua đường dây do sự cố bên ngoài vùng bảo vệ.
e) Bảo vệ so lệch đường dây không được tác động do ảnh hưởng của dòng không cân bằng, sai số của CT (ngay cả trong trường hợp dòng ngắn mạch lớn chạy qua đường dây do ngắn mạch ngoài vùng bảo vệ).
4.2.8.4 Cấu hình hệ thống rơ-le bảo vệ đường dây 500 kV
4.2.8.4.1 Mỗi đầu đường dây được trang bị hai thiết bị rơ-le bảo vệ (mạch bảo vệ) với cấu hình chức năng như sau:
a) Thiết bị rơ-le bảo vệ số 1 (mạch bảo vệ số 1): Được tích hợp các chức năng bảo vệ: 87L, SOTF, 50-STUB,67/67N, 50/51,50/51N, 60, 85, FR, FL.
b) Thiết bị rơ-le bảo vệ số 2 (mạch bảo vệ số 2): Được tích hợp các chức năng bảo vệ: 87L, 21/21N, 21/21N sử dụng kênh truyền, 68 (B/T), SOTF, 50-STUB, 67/67N, 50/51, 50/51N, 60, 85, FR, FL.
c) Các chức năng bảo vệ 21/21N, 21/21N sử dụng kênh truyền có thể tích hợp trong thiết bị bảo vệ số 2 hoặc nằm trong thiết bị rơ-le bảo vệ riêng.
d) Chức năng bảo vệ 87L, 21/21N, 21/21N sử dụng kênh truyền phải có khả năng phát hiện sự cố 1 pha và ra lệnh cắt 1 pha.
đ) Chức năng 79, 27/59 được trang bị bảo vệ kép và được tích hợp vào trong hai thiết bị rơ-le bảo vệ trên hoặc nằm trong thiết bị rơ-le bảo vệ riêng.
e) Trong trường hợp sử dụng sơ đồ một xuất tuyến hai máy cắt, bảo vệ 50-STUB phải được trang bị bảo vệ kép, và tích hợp trong hai thiết bị rơ-le bảo vệ trên hoặc nằm trong thiết bị rơ-le bảo vệ riêng. Trong trường hợp sử dụng sơ đồ một xuất tuyến một máy cắt thì không cần thiết trang bị chức năng bảo vệ này.
4.2.8.4.2 Yêu cầu về thiết kế mạch nhị thứ:
a) Thiết bị rơ-le bảo vệ số 1 và số 2 phải lấy tín hiệu dòng điện từ hai cuộn dòng (nhị thứ TI) khác nhau, phải có nguồn điện một chiều độc lập và phải gửi cắt độc lập hoặc đồng thời đến hai cuộn cắt. Tín hiệu điện áp được lấy từ biến điện áp đường dây; nếu thanh cái có biến điện áp 3 pha thì cho phép sử dụng biến điện áp này làm dự phòng cho biến điện áp đường dây trong trường hợp cần thiết.
b) Mạch nhị thứ phải thiết kế đảm bảo chế độ cắt sự cố 1 pha/ 3 pha và tự động đóng lại 1 pha/ 3 pha.
c) Chức năng 79 trong hai bảo vệ phải có mạch khóa liên động hoặc chế độ vận hành phù hợp nhằm đảm bảo không đóng máy cắt nhiều lần vào sự cố duy trì.
d) Việc cô lập một trong hai thiết bị rơ-le bảo vệ số 1 và số 2 không được ảnh hưởng đến bất kỳ chức năng nào của thiết bị rơ-le bảo vệ còn lại và các chức năng tự động như 79, 50BF.
4.2.8.4.3 Yêu cầu về phương thức truyền tín hiệu:
a) Chức năng bảo vệ 87L của thiết bị rơ-le bảo vệ số 1 và bảo vệ số 2 sử dụng 02 kênh truyền cáp quang độc lập về mặt vật lý.
b) Chức năng bảo vệ khoảng cách sử dụng kênh truyền (POTT, PUTT...) sử dụng chung kênh truyền với một trong hai chức năng so lệch (87L) hoặc sử dụng kênh truyền riêng.
c) Các chức năng bảo vệ, tín hiệu liên động khác ở hai đầu đường dây như: 27, 59, 50BF, DTT... phải được truyền đồng thời trên hai kênh truyền tín hiệu của hai thiết bị rơ-le bảo vệ số 1 và số 2.
Phạm vi áp dụng: tất cả các đường dây 500 kV.
4.2.8.5 Cấu hình hệ thống rơ-le bảo vệ đường dây trên không 220 kV
4.2.8.5.1 Mỗi đầu đường dây được trang bị hai thiết bị rơ-le bảo vệ (mạch bảo vệ) với cấu hình chức năng như sau:
a) Thiết bị rơ-le bảo vệ số 1 (mạch bảo vệ số 1): Được tích hợp các chức năng bảo vệ: 87L, 21/21N sử dụng kênh truyền, 21/21N, SOTF, 67/67N, 50/51, 50/51N, 60, 68 (B/T), 85, FR, FL.
b) Thiết bị rơ-le bảo vệ số 2 (mạch bảo vệ số 2): Được tích hợp các chức năng bảo vệ: 87L (hoặc 21/21N sử dụng kênh truyền, 21/21N, 68 (B/T)), SOTF, 67/67N, 50/51, 50/51N, 60, 85, FR, FL.
c) Chức năng bảo vệ 87L, 21/21N, 21/21N sử dụng kênh truyền phải có khả năng phát hiện sự cố 1 pha và ra lệnh cắt 1 pha.
d) Chức năng 79, 27/59 không cần dự phòng và có thể được tích hợp vào một trong hai thiết bị rơ-le bảo vệ trên hoặc nằm trong thiết bị rơ-le riêng.
đ) Trong trường hợp sử dụng sơ đồ một xuất tuyến hai máy cắt, bảo vệ 50-STUB phải được trang bị bảo vệ kép, và tích hợp trong hai thiết bị bảo vệ hoặc nằm trong thiết bị rơ-le bảo vệ riêng. Trong trường hợp sử dụng sơ đồ một xuất tuyến một máy cắt thì không cần thiết trang bị chức năng bảo vệ này.
4.2.8.5.2 Yêu cầu về thiết kế mạch nhị thứ:
a) Thiết bị rơ-le bảo vệ số 1 và số 2 phải lấy tín hiệu dòng điện từ hai cuộn dòng (nhị thứ TI) khác nhau , phải có nguồn điện một chiều độc lập và phải gửi cắt độc lập hoặc đồng thời đến hai cuộn cắt. Tín hiệu điện áp được lấy từ biến điện áp đường dây; nếu thanh cái có biến điện áp 3 pha thì cho phép sử dụng biến điện áp này làm dự phòng cho biến điện áp đường dây trong trường hợp cần thiết.
b) Mạch nhị thứ phải thiết kế đảm bảo chế độ cắt sự cố 1 pha/ 3 pha và tự động đóng lại 1 pha/ 3 pha.
c) Việc cô lập một trong hai thiết bị rơ-le bảo vệ số 1 và số 2 không được ảnh hưởng đến bất kỳ chức năng nào của thiết bị rơ-le bảo vệ còn lại.
4.2.8.5.3 Yêu cầu về phương thức truyền tín hiệu:
a) Thiết bị rơ-le bảo vệ số 1 và bảo vệ số 2 sử dụng 02 kênh truyền cáp quang độc lập về mặt vật lý.
b) Chức năng bảo vệ khoảng cách sử dụng kênh truyền (POTT, PUTT...) có thể sử dụng chung kênh truyền với một trong hai chức năng so lệch (87L) hoặc sử dụng kênh truyền riêng.
c) Các chức năng bảo vệ, tín hiệu liên động khác ở hai đầu đường dây như: 50BF, DTT... phải được truyền đồng thời trên hai kênh truyền tín hiệu của hai thiết bị rơ-le bảo vệ số 1 và số 2.
4.2.8.6 Cấu hình hệ thống rơ-le bảo vệ đường dây (gồm ĐDK và cáp ngầm ) 110 kV
4.2.8.6.1 Mỗi đầu đường dây được trang bị hai thiết bị rơ-le bảo vệ (mạch bảo vệ) với cấu hình chức năng như sau:
a) Thiết bị rơ-le bảo vệ số 1 (mạch bảo vệ số 1): Được tích hợp các chức năng bảo vệ 87L, 21/21N, 21/21N có truyền tin, 68 (B/T), SOTF, 67/67N, 50/51,50/51N, 60, 85, FR, FL.
b) Thiết bị rơ-le bảo vệ số 2: Được tích hợp các chức năng bảo vệ 67/67N, SOTF, 50/51, 50/51N, 60, 85, FR, FL.
c) Chức năng 79, 27/59 không cần dự phòng và có thể được tích hợp vào một trong hai thiết bị rơ-le bảo vệ trên hoặc nằm trong thiết bị rơ-le bảo vệ riêng.
d) Trong trường hợp sử dụng sơ đồ một xuất tuyến hai máy cắt, bảo vệ 50-STUB phải được tích hợp trong một trong hai thiết bị bảo vệ hoặc nằm trong thiết bị bảo vệ riêng. Trong trường hợp sử dụng sơ đồ một xuất tuyến một máy cắt thì không cần thiết trang bị chức năng bảo vệ này.
đ) Đối với đường dây dài hoặc trung bình cho phép không trang bị chức năng 87L trong thiết bị rơ le bảo vệ số 1. Khi đó chức năng bảo vệ khoảng cách phải có truyền tin (POTT, PUTT...).
4.2.8.6.2 Yêu cầu về thiết kế mạch nhị thứ:
a) Thiết bị rơ-le bảo vệ số 1 và số 2 phải lấy tín hiệu dòng điện từ hai cuộn dòng (nhị thứ TI) khác nhau phải có nguồn điện một chiều độc lập và phải gửi cắt độc lập hoặc đồng thời đến hai cuộn cắt. Tín hiệu điện áp được lấy từ biến điện áp đường dây. Trong trường hợp không có biến điện áp 3 pha đường dây, cho phép tín hiệu điện áp của bảo vệ lấy từ biến điện áp 3 pha thanh cái.
b) Việc cô lập một trong hai thiết bị rơ-le bảo vệ số 1 và số 2 không được ảnh hưởng đến bất kỳ chức năng nào của thiết bị rơ-le bảo vệ còn lại.
4.2.9 Mạch điện nhị thứ
4.2.9.1 Phạm vi áp dụng
Phần này áp dụng cho các mạch nhị thứ.
4.2.9.2 Điện áp sử dụng
Điện áp làm việc của mạch nhị thứ không được lớn hơn 500V. Trường hợp mạch nhị thứ không liên lạc với mạch nhị thứ khác và thiết bị của mạch đó bố trí riêng biệt thì điện áp làm việc được phép đến 1 kV. Việc đấu nối mạch nhị thứ phải phù hợp với môi trường xung quanh và các tiêu chuẩn về an toàn.
4.2.9.3 Yêu cầu về tiết diện, độ chính xác và độ bền cơ học
Tiết diện ruột cáp và dây dẫn phải đáp ứng được các yêu cầu bảo vệ chống ngắn mạch không thời gian và dòng điện phụ tải lâu dài cho phép cũng như độ bền cơ học; đồng thời phải chịu được tác động nhiệt (đối với mạch đi từ máy biến dòng), cũng như bảo đảm thiết bị làm việc với cấp chính xác và độ sụt áp của máy biến điện áp.
4.2.9.4 Lắp đặt cáp cho mạch nhị thứ
4.2.9.4.1 Cho phép sử dụng chung các mạch điều khiển, bảo vệ và tín hiệu trong sợi cáp nhiều ruột. Mạch nguồn xoay chiều, mạch nguồn một chiều, mạch dòng điện, mạch điện áp phải sử dụng cáp riêng biệt.
4.2.9.4.2 Chỉ cho phép nối dài cáp mạch nhị thứ nếu tuyến cáp có chiều dài lớn hơn chiều dài rulô cáp của nhà sản xuất. Nối cáp mạch nhị thứ bằng hộp nối kín hoặc hàng kẹp chuyên dùng.
4.2.9.4.3 Cáp cho mạch nhị thứ của máy biến điện áp 110 kV trở lên nối từ máy biến điện áp đến các bảng điện phải có vỏ bọc kim loại và nối đất ở hai đầu. Đối với mạch của đồng hồ và thiết bị nhạy cảm với điện từ trường của các thiết bị khác hoặc từ mạch điện đi gần gây ra thì phải dùng dây dẫn hoặc cáp có màn chắn chung hoặc ruột có màn chắn. Cáp cho mạch đo đếm phải được đi theo đường ngắn nhất, số lượng điểm nối qua hàng kẹp là ít nhất và phải có đủ điều kiện thực hiện biện pháp niêm phong, kẹp chì mạch đo đếm tại các điểm đấu nối.
4.2.9.4.4 Để kiểm tra và thử nghiệm trong vận hành mạch đo đếm, bảo vệ và tự động phải đặt các hộp thử nghiệm hoặc những kẹp đầu dây đo lường để không phải tách dây dẫn hoặc cáp khỏi nguồn dòng điện đóng cắt, máy biến điện áp và TI với khả năng nối tắt mạch dòng điện trước. Các hộp thử nghiệm để phục vụ cho việc kiểm định thiết bị đo đếm phải đủ điều kiện niêm phong, kẹp chì.
4.2.9.5 Lắp đặt mạch nhị thứ
4.2.9.5.1 Mạch nhị thứ của TI phải được thực hiện nối đất tại một điểm duy nhất, điểm nối đất nên gần máy biến dòng trên dãy hàng kẹp hoặc trên các cực của máy biến dòng.
4.2.9.5.2 Đối với hệ thống bảo vệ khi một số máy biến dòng kết nối với nhau thì chỉ nối đất ở một điểm; trường hợp này cho phép nối đất qua bảo vệ kiểu đánh thủng có điện áp phóng điện không quá 1 kV với điện trở 100 Ω mắc phân mạch để giải phóng điện tích tĩnh điện.
4.2.9.5.3 Cuộn nhị thứ của máy biến dòng trung gian cách ly cho phép không nối đất.
4.2.9.5.4 Cuộn nhị thứ của máy biến điện áp phải nối đất ở điểm trung tính hoặc ở một trong các đầu ra của cuộn dây có yêu cầu nối đất.
4.2.9.5.5 Phải thực hiện nối đất cuộn nhị thứ của máy biến điện áp ở điểm gần máy biến điện áp, trên hàng kẹp hoặc trên cực của máy biến điện áp.
4.2.9.5.6 Cho phép nối chung mạch nhị thứ được nối đất của một vài máy biến điện áp trong cùng một trang bị phân phối vào một thanh nối đất chung. Nếu thanh nối đất này có liên hệ với các trang bị phân phối khác và nằm ở gian khác nhau (ví dụ các tủ bảng rơ-le của các trang bị phân phối có cấp điện áp khác nhau) thì các thanh đó không cần nối với nhau.
4.2.9.5.7 Đối với máy biến điện áp làm nguồn cấp điện thao tác xoay chiều, nếu không yêu cầu có nối đất làm việc ở một trong các cực của mạch điện thao tác thì việc nối đất bảo vệ cuộn dây nhị thứ máy biến điện áp phải nối qua bảo vệ kiểu đánh thủng.
4.2.9.5.8 Phải nối đất màng kim loại chống nhiễu tại duy nhất 01 điểm cho cáp điều khiển, tín hiệu.
4.2.9.5.9 Cáp và mạch thứ cấp phải được sắp xếp gọn gàng theo từng lớp trong mương cáp, máng cáp, sàn cáp, ... đảm bảo không chéo và xoắn vào nhau.
4.2.9.6 Lựa chọn cáp
Việc chọn loại dây dẫn và cáp dùng cho các mạch nhị thứ, phương pháp lắp đặt và bảo vệ phải xét đến các yêu cầu liên quan ở Mục 2.1.
4.2.9.7 Cách điện của mạch điện
Cách điện của bộ phận trong mạch nhị thứ phải phù hợp với điện áp làm việc của nguồn (hoặc máy biến áp cách ly) cung cấp cho mạch này.
4.2.9.8 Hệ thống tín hiệu khi hoạt động bất thường hoặc hư hỏng
Các thiết bị điện phải có hệ thống tự động báo tín hiệu khi hệ thống hoạt động không bình thường và/hoặc xuất hiện hư hỏng.
4.3 HỆ THỐNG ĐO LƯỜNG ĐIỆN
4.3.1 Hệ thống đo đếm điện năng
4.3.1.1 Nguyên tắc xác định vị trí đo đếm
4.3.1.1.1 Vị trí đo đếm chính được xác định phải trùng hoặc liền kề với điểm đấu nối.
4.3.1.1.2 Đối với cấp điện áp từ trung áp trở lên, tại mỗi điểm đấu nối phải xác định vị trí đo đếm chính và các vị trí đo đếm dự phòng. Vị trí và số lượng đo đếm dự phòng được xác định chính xác theo cấp điện áp và tính chất đặc thù của vị trí đo đếm.
4.3.1.1.3 Đối với cấp điện áp hạ áp, tại mỗi điểm đấu nối phải xác định một vị trí đo đếm chính.
4.3.1.1.4 Trường hợp không đủ điều kiện để bố trí vị trí đo đếm theo quy định tại khoản 1 Mục này, các đơn vị liên quan phải thỏa thuận vị trí đo đếm thay thế đồng thời xác định phương thức quy đổi điện năng từ vị trí đo đếm thay thế về điểm đấu nối. Trong trường hợp này, phương pháp quy đổi phải xét đến tổn thất trên máy biến áp và đường dây liên hệ giữa vị trí đo đếm thay thế với điểm đấu nối trong quá trình vận hành để quy đổi điện năng từ vị trí đo đếm thay thế về điểm đấu nối trong quá trình giao nhận và thanh toán.
4.3.1.2 Vị trí đo đếm của nhà máy điện
4.3.1.2.1 Trường hợp Đơn vị phát điện sở hữu nhà máy điện tham gia thị trường điện cạnh tranh hoặc nhà máy điện lớn
a) Tại mỗi điểm đấu nối phải xác định 01 (một) vị trí đo đếm chính và 02 (hai) vị trí đo đếm dự phòng;
b) Điểm đấu nối thuộc trạm biến áp của Đơn vị phát điện
- Vị trí đo đếm chính được xác định tại máy cắt tổng hoặc đầu cực phía cao áp của máy biến áp tăng áp đấu nối trực tiếp với lưới điện, trừ trường hợp có thoả thuận khác;
- Vị trí đo đếm dự phòng 01 được xác định tại các xuất tuyến lộ đường dây của trạm biến áp tại nhà máy điện, trừ trường hợp có thoả thuận khác;
- Vị trí đo đếm dự phòng 02 được xác định tại đầu cực máy phát, trừ trường hợp có thoả thuận khác.
c) Điểm đấu nối không thuộc trạm biến áp của Đơn vị phát điện
- Trường hợp trạm biến áp của Đơn vị phát điện chỉ có 01 đường dây đấu nối vào hệ thống điện qua điểm đấu nối và không có điện năng đi vòng qua thanh cái trạm biến áp của Đơn vị phát điện thì vị trí đo đếm chính trùng hoặc liền kề với điểm đấu nối;
- Trường hợp trạm biến áp của Đơn vị phát điện có từ 02 đường dây trở lên đấu nối vào hệ thống điện qua điểm đấu nối và có điện năng vòng qua thanh cái trạm biến áp của Đơn vị phát điện thì vị trí đo đếm chính được xác định theo quy định tại Điểm b Khoản này;
- Vị trí đo đếm dự phòng 01 được xác định theo thỏa thuận giữa các bên liên quan;
- Vị trí đo đếm dự phòng 02 được xác định theo quy định tại Điểm b Khoản này.
d) Trường hợp vị trí đo đếm chính hoặc các vị trí đo đếm dự phòng được xác định tại trạm điện của Đơn vị quản lý lưới điện thì phải có thoả thuận giữa Đơn vị phát điện, Đơn vị quản lý lưới điện, Công ty Mua bán điện và Đơn vị giao nhận điện liên quan (nếu có).
4.3.1.2.2 Trường hợp Đơn vị phát điện sở hữu nhà máy điện nhỏ không tham gia thị trường điện
a) Tại mỗi điểm đấu nối phải xác định 01 (một) vị trí đo đếm chính và 01 (một) vị trí đo đếm dự phòng;
b) Vị trí đo đếm chính và vị trí đo đếm dự phòng được xác định theo quy định tại Điểm b, Điểm c và Điểm d Khoản 1 Mục này.
4.3.1.3 Vị trí đo đếm của Khách hàng sử dụng điện hoặc Đơn vị phân phối và bán lẻ điện đấu nối vào cấp điện áp từ trung áp trở lên
4.3.1.3.1 Đối với các điểm đấu nối cấp điện áp từ 110 kV trở lên, tại mỗi điểm đấu nối phải xác định 01 (một) vị trí đo đếm chính và 01 (một) vị trí đo đếm dự phòng.
4.3.1.3.2 Đối với các đấu nối cấp điện áp trung áp, Khách hàng sử dụng điện hoặc Đơn vị phân phối và bán lẻ điện có thể thỏa thuận với Đơn vị phân phối điện vị trí đo đếm dự phòng nếu thấy cần thiết.
4.3.1.3.3 Đối với các đấu nối phục vụ giao nhận giữa Đơn vị phân phối và bán lẻ điện với Khách hàng sử dụng điện: Vị trí đo đếm chính và vị trí đo đếm dự phòng (nếu có) được xác định theo thỏa thuận giữa hai bên phù hợp với quy định tại Quy chuẩn này.
4.3.1.3.4 Điểm đấu nối thuộc trạm biến áp của Đơn vị truyền tải điện hoặc Đơn vị phân phối điện
a) Vị trí đo đếm chính được xác định tại điểm đấu nối, trừ trường hợp có thoả thuận khác;
b) Vị trí đo đếm dự phòng (nếu có) được xác định theo thoả thuận giữa các bên liên quan.
4.3.1.3.5 Điểm đấu nối thuộc trạm biến áp của Khách hàng sử dụng điện hoặc Đơn vị phân phối và bán lẻ điện
a) Vị trí đo đếm chính được xác định tại máy cắt tổng hoặc đầu cực phía cao áp của máy biến áp đấu nối trực tiếp với lưới điện, trừ trường hợp có thoả thuận khác;
b) Vị trí đo đếm dự phòng:
- Đối với cấp điện áp từ 110 kV trở lên: Được xác định tại các xuất tuyến lộ đường dây của trạm biến áp đấu nối trực tiếp với lưới điện, trừ trường hợp có thoả thuận khác;
- Đối với cấp điện áp trung áp: Được xác định theo thỏa thuận giữa các bên liên quan.
4.3.1.3.6 Trường hợp điểm đấu nối khác với quy định tại khoản 4 và khoản 5 Điểm này, vị trí đo đếm chính và vị trí đo đếm dự phòng được xác định theo thoả thuận giữa các bên liên quan.
4.3.1.4 Vị trí đo đếm giữa lưới điện truyền tải và lưới điện phân phối
4.3.1.4.1 Tại mỗi điểm đấu nối phải xác định 01 (một) vị trí đo đếm chính và 01 (một) vị trí đo đếm dự phòng.
4.3.1.4.2 Điểm đấu nối thuộc trạm điện của Đơn vị truyền tải điện
a) Vị trí đo đếm chính được xác định tại máy cắt tổng hoặc đầu cực phía hạ áp của máy biến áp tại trạm điện của Đơn vị truyền tải điện, trừ trường hợp có thoả thuận khác;
b) Vị trí đo đếm dự phòng được xác định tại các xuất tuyến lộ đường dây của trạm biến áp của Đơn vị truyền tải điện, trừ trường hợp có thoả thuận khác.
4.3.1.4.3 Điểm đấu nối thuộc trạm biến áp của Đơn vị phân phối điện
a) Vị trí đo đếm chính được xác định tại máy cắt tổng hoặc đầu cực phía cao áp của máy biến áp phân phối đấu nối trực tiếp với lưới điện truyền tải, trừ trường hợp có thoả thuận khác;
b) Vị trí đo đếm dự phòng được xác định tại các xuất tuyến lộ đường dây của trạm biến áp của Đơn vị phân phối điện, trừ trường hợp có thoả thuận khác.
4.3.1.5 Vị trí đo đếm giữa hai Đơn vị phân phối điện
Vị trí đo đếm chính và vị trí đo đếm dự phòng (nếu có) được xác định theo thỏa thuận giữa các Đơn vị phân phối điện và Đơn vị giao nhận điện liên quan.
4.3.1.6 Vị trí đo đếm đối với cấp điện áp hạ áp
Vị trí đo đếm đối với Khách hàng sử dụng lưới điện phân phối đấu nối cấp điện áp hạ áp được xác định tại điểm đấu nối của khách hàng sử dụng lưới điện phân phối, trừ trường hợp có thoả thuận khác.
4.3.1.7 Yêu cầu đối với Hệ thống đo đếm
4.3.1.7.1 Hệ thống đo đếm chính được lắp đặt tại vị trí đo đếm chính, phải xác định chính xác, đầy đủ các đại lượng đo đếm mua bán điện và loại trừ được các yếu tố ảnh hưởng đến kết quả đo đếm bởi kết cấu mạch vòng của hệ thống điện để làm căn cứ chính phục vụ tính toán, thanh toán điện năng qua điểm đấu nối.
4.3.1.7.2 Hệ thống đo đếm dự phòng được lắp đặt tại vị trí đo đếm dự phòng để thực hiện các chức năng sau:
a) Thay thế cho Hệ thống đo đếm chính để làm cơ sở tính toán các đại lượng mua bán điện trong trường hợp Hệ thống đo đếm chính hoạt động không chính xác hoặc bị sự cố căn cứ vào kết quả kiểm định của Đơn vị thử nghiệm, kiểm định và biên bản thống nhất của các bên liên quan;
b) Kiểm tra, giám sát kết quả đo đếm của Hệ thống đo đếm chính trong điều kiện Hệ thống đo đếm chính làm việc bình thường;
c) Kết hợp với Hệ thống đo đếm chính và các Hệ thống đo đếm dự phòng khác để tính toán sản lượng điện năng phục vụ thanh toán trong một số trường hợp đặc biệt.
4.3.1.7.3 Thiết bị đo đếm phải đảm bảo đáp ứng các yêu cầu kỹ thuật về đo lường và được phê duyệt mẫu, kiểm định, thử nghiệm theo quy định của pháp luật về đo lường.
4.3.1.7.4 Không sử dụng TI lắp đặt hợp bộ tại chân sứ máy biến áp, máy cắt cho Hệ thống đo đếm phục vụ mua bán điện.
4.3.1.7.5 Vị trí lắp đặt công tơ đo đếm điện phải bảo đảm an toàn, mỹ quan, thuận lợi cho bên mua điện kiểm tra chỉ số đo điện năng và bên bán điện ghi chỉ số đo điện năng.
4.3.1.8 Yêu cầu đối với mạch đo
4.3.1.8.1 Cuộn nhị thứ của TI và cáp nhị thứ nối với công tơ đo đếm của Hệ thống đo đếm chính không được sử dụng cho mục đích khác và phải độc lập với Hệ thống đo đếm dự phòng. Đối với TI của hệ thống đo đếm dự phòng, cuộn nhị thứ đo lường có thể dùng chung cho cả công tơ đo đếm và thiết bị đo lường, điều khiển khác, với điều kiện việc sử dụng chung mạch nhị thứ phải được thiết kế đảm bảo an toàn và hoạt động chính xác của hệ thống đo đếm dự phòng. Không sử dụng cuộn nhị thứ đo lường cấp điện chung cho công tơ đo đếm và thiết bị bảo vệ.
4.3.1.8.2 Cáp nhị thứ nối từ cuộn nhị thứ TU với công tơ đo đếm của Hệ thống đo đếm chính không được sử dụng cho mục đích khác và phải độc lập với Hệ thống đo đếm dự phòng.
4.3.1.8.3 Cáp nhị thứ của mạch đo phải được đi theo đường ngắn nhất, số lượng điểm nối qua hàng kẹp ít nhất và phải có đủ điều kiện thực hiện biện pháp niêm phong, kẹp chì tủ hàng kẹp hoặc điểm nối. Cáp nhị thứ của Hệ thống đo đếm chính phải đi riêng và nối trực tiếp từ hộp đấu dây của TI, tủ trung gian của TU đến tủ công tơ đo đếm mà không qua hàng kẹp tại tủ trung gian. Loại cáp nhị thứ của mạch đo phải là dây điện có ruột dẫn mềm, hai lớp cách điện.
4.3.1.8.4 Trường hợp công tơ đo đếm được cấp điện áp từ một trong những TU thanh cái thông qua bộ chuyển mạch điện áp, các đầu đấu dây bộ chuyển mạch điện áp phải đảm bảo điều kiện niêm phong kẹp chì và công tơ đo đếm phải được lập trình để ghi lại thời điểm và khoảng thời gian chuyển mạch điện áp.
4.3.1.8.5 Phụ tải mạch nhị thứ đo lường sau TI, TU phải trong giới hạn dung lượng định mức của TI, TU theo quy định của nhà chế tạo.
4.3.1.8.6 Mạch nhị thứ đo đếm phải được đấu nối đảm bảo việc niêm phong kẹp chì không ảnh hưởng đến mạch nhị thứ điều khiển và bảo vệ.
4.3.1.8.7 Trường hợp mạch dòng điện của Hệ thống đo đếm dự phòng sử dụng chung với các thiết bị đo lường khác, công tơ đo đếm phải được đấu trước các thiết bị đo lường, đồng thời phải đảm bảo không làm ảnh hưởng tới độ chính xác của Hệ thống đo đếm dự phòng và đủ điều kiện thực hiện niêm phong kẹp chì mạch dòng điện từ hộp đấu dây của TI đến công tơ đo đếm.
4.3.1.8.8 Các hộp nối thử nghiệm được lắp đặt để phục vụ cho việc kiểm định thiết bị đo đếm phải đủ điều kiện niêm phong, kẹp chì. Trường hợp cuộn nhị thứ cho Hệ thống đo đếm và cuộn nhị thứ bảo vệ được đặt chung một hộp đấu dây nhị thứ và không thể niêm phong toàn bộ hộp đấu dây nhị thứ thì phải có biện pháp niêm phong riêng cuộn nhị thứ cho Hệ thống đo đếm để đảm bảo chống can thiệp trái phép.
4.3.1.8.9 Đối với các vị trí đo đếm chính của nhà máy điện lớn và nhà máy điện tham gia thị trường điện, trường hợp công tơ đo đếm không được cấp nguồn nuôi liên tục từ hệ thống điện áp thứ cấp đo lường thì phải trang bị thêm nguồn nuôi dự phòng cho công tơ đo đếm từ hệ thống mạch cấp nguồn điệp áp dự phòng đảm bảo công tơ đo đếm vận hành liên tục. Việc cấp nguồn dự phòng cho công tơ đo đếm phải đảm bảo hoạt động chính xác của công tơ đo đếm và các yêu cầu kỹ thuật của mạch đo.
4.3.1.8.10 Tiết diện và chiều dài dây dẫn nối công tơ với biến dòng hoặc biến điện áp phải bảo đảm biến điện đo lường hoạt động chính xác và tổn thất điện áp trong mạch điện áp tới công tơ không vượt quá 0,5% điện áp danh định.
4.3.1.9 Yêu cầu đối với niêm phong kẹp chì và bảo mật
4.3.1.9.1 Toàn bộ Hệ thống đo đếm bao gồm hộp đấu dây TI, TU, công tơ đo đếm, mạch dòng điện, mạch điện áp, mạch logic chuyển đổi và hộp nối thử nghiệm (nếu có) phải được niêm phong, kẹp chì để chống can thiệp trái phép theo đúng quy định của pháp luật.
4.3.1.9.2 Đơn vị phân phối điện, Đơn vị phân phối và bán lẻ điện ban hành quy định sử dụng kìm niêm, chì niêm hộp đấu dây (TI, TU, công tơ đo đếm), hộp bảo vệ công tơ đo đếm và quyết định số lượng kìm niêm, chì niêm hộp đấu dây (TI, TU, công tơ đo đếm), hộp bảo vệ công tơ đo đếm phù hợp với số lượng thiết bị đo đếm trong phạm vi quản lý và thực hiện đăng ký số lượng, mã hiệu mặt chì niêm theo quy định.
4.3.1.9.3 Đối với các Hệ thống đo đếm có trang bị Hệ thống thu thập số liệu đo đếm, số liệu đo đếm sau khi được đọc và thu thập từ các vị trí đo đếm phải được bảo mật, mã hóa để tránh sự can thiệp trái phép.
4.3.1.9.4 Phần mềm quản lý hệ thống đọc, truyền và tổng hợp số liệu đo đếm điện năng phải được bảo mật bằng nhiều cấp mật khẩu để đảm bảo tính bảo mật, chính xác và tin cậy của số liệu đo đếm.
4.3.1.10 Quản lý mật khẩu công tơ đo đếm
4.3.1.10.1 Mật khẩu công tơ đo đếm phải chia thành 03 (ba) mức truy cập khác nhau nhằm phục vụ yêu cầu quản lý vận hành công tơ đo đếm và được quy ước như sau:
a) Mật khẩu “Cài đặt” là mức mật khẩu cho phép truy nhập công tơ đo đếm để cài đặt, thay đổi các thông số và chương trình làm việc của công tơ đo đếm. Mật khẩu này được sử dụng để cài đặt một hoặc toàn bộ các thông số của công tơ đo đếm và chỉ người có trách nhiệm hoặc có thẩm quyền mới được sử dụng;
b) Mật khẩu “Đồng bộ thời gian” là mức mật khẩu cho phép truy nhập công tơ đo đếm để đọc số liệu và đồng bộ thời gian của công tơ đo đếm. Mật khẩu này không cho phép cài đặt, thay đổi các thông số và chương trình làm việc của công tơ đo đếm và chỉ người có trách nhiệm hoặc có thẩm quyền mới được sử dụng;
c) Mật khẩu “Chỉ đọc” là mức mật khẩu cho phép truy nhập công tơ đo đếm để đọc số liệu nhưng không cho phép thay đổi các thông số cài đặt và chương trình làm việc của công tơ đo đếm. Mật khẩu này được sử dụng để thu thập số liệu công tơ đo đếm tại chỗ hoặc từ xa.
4.3.1.10.2 Nội dung các mức mật khẩu của mỗi công tơ đo đếm phải được cài đặt khác nhau. Các mật khẩu công tơ đo đếm phải được lưu trữ, bảo mật.
4.3.1.10.3 Mật khẩu công tơ đo đếm phải được bàn giao cho người có trách nhiệm quản lý và lưu trữ. Người quản lý có trách nhiệm tổng hợp mật khẩu công tơ đo đếm thành một bộ hồ sơ mật khẩu công tơ đo đếm với các nội dung sau: Chủng loại công tơ đo đếm, số công tơ đo đếm, Đơn vị sở hữu hệ thống đo đếm, Đơn vị quản lý vận hành hệ thống đo đếm.
4.3.1.10.4 Việc bàn giao mật khẩu công tơ đo đếm trong quá trình quản lý lưu trữ hoặc sử dụng mật khẩu công tơ đo đếm phải được ghi nhận bằng biên bản có chữ ký xác nhận của hai bên tiếp nhận và bàn giao.
4.3.1.10.5 Đối với các công tơ đo đếm sử dụng mật khẩu cài đặt là khóa cứng thì phải được niêm phong đảm bảo không thể can thiệp được vào công tơ đo đếm nếu không phá bỏ niêm phong.
4.3.1.10.6 Đơn vị sở hữu hệ thống đo đếm hoặc Đơn vị quản lý vận hành hệ thống đo đếm có trách nhiệm trong việc quản lý, bảo mật các mật khẩu “Chỉ đọc” của công tơ đo đếm.
4.3.1.10.7 Đơn vị thử nghiệm, kiểm định có trách nhiệm trong việc quản lý, bảo mật mật khẩu “Cài đặt” của công tơ đo đếm.
4.3.1.10.8 Đơn vị quản lý số liệu đo đếm có trách nhiệm trong việc quản lý, bảo mật mật khẩu “Đồng bộ thời gian” của công tơ đo đếm.
4.3.1.11 Yêu cầu đối với công tơ điện sử dụng cho mục đích đo đếm điện năng cấp điện áp từ trung áp trở lên
4.3.1.11.1 Yêu cầu chung
a) Là loại 03 pha 04 dây hoặc 01 pha 02 dây;
b) Kiểu điện tử tích hợp chức năng và có thể lập trình được;
c) Có một hoặc nhiều biểu giá;
d) Đo đếm điện năng tác dụng và phản kháng theo hai chiều nhận và phát riêng biệt theo 04 góc phần tư;
đ) Có chức năng đo công suất cực đại, ghi biểu đồ phụ tải tổng;
e) Có tính năng kết nối với máy tính, thu thập, đọc số liệu tại chỗ và từ xa;
g) Được cấp nguồn từ hệ thống điện áp nhị thứ đo lường và phải đảm bảo duy trì hoạt động khi mất điện áp 01 pha hoặc 02 pha bất kỳ;
h) Phải có nguồn bên trong để nuôi đồng hồ thời gian thực. Trong trường hợp cần thiết, công tơ đo đếm có thể tích hợp nguồn pin phục vụ cho việc đọc dữ liệu trên màn hình hiển thị;
i) Có nhiều mức mật khẩu;
k) Có các vị trí niêm phong, kẹp chì đảm bảo không thể tiếp cận với các đầu cực đấu dây và thay đổi các thông số cài đặt trong công tơ đo đếm nếu không phá bỏ chì niêm phong;
l) Có chức năng lưu trữ thông tin đo đếm, biểu đồ phụ tải ít nhất 60 ngày với chu kỳ ghi giá trị đo đếm 30 phút cho một kênh dữ liệu và có thể lập trình đặt được chu kỳ tích phân nhỏ hơn 30 phút;
m) Có dòng điện và điện áp phù hợp với dòng điện và điện áp nhị thứ của TI và TU;
n) Công tơ đo đếm phải được kết nối với Hệ thống thu thập số liệu đo đếm tại chỗ hoặc từ xa phù hợp với chuẩn kết nối và phần mềm thu thập số liệu đo đếm.
4.3.1.11.2 Yêu cầu về cấp chính xác đối với đo đếm cấp điện áp từ 220 kV trở lên hoặc đo đếm phục vụ giao nhận điện năng giữa nhà máy điện tham gia thị trường điện hoặc nhà máy điện lớn với lưới điện
a) Công tơ đo đếm chính phải không thấp hơn cấp chính xác: 0,2 với điện năng tác dụng và 2,0 với điện năng phản kháng theo các tiêu chuẩn TCVN hoặc tương đương;
b) Công tơ đo đếm dự phòng phải không thấp hơn cấp chính xác: 0,5 với điện năng tác dụng và 2,0 với điện năng phản kháng theo các tiêu chuẩn TCVN hoặc tương đương.
4.3.1.11.3 Yêu cầu về cấp chính xác đối với đo đếm phục vụ giao nhận điện năng trong các trường hợp không thuộc trường hợp quy định tại khoản 2 Điểm này
a) Công tơ đo đếm chính phải không thấp hơn cấp chính xác: 0,5 với điện năng tác dụng và 2,0 với điện năng phản kháng theo các tiêu chuẩn TCVN hoặc tương đương;
b) Cấp chính xác của công tơ đo đếm dự phòng được xác định theo thỏa thuận giữa các bên liên quan nhưng không thấp hơn cấp chính xác:
- 0,5 với điện năng tác dụng và 2,0 với điện năng phản kháng đối với đo đếm cấp điện áp 110 kV theo các tiêu chuẩn TCVN hoặc tương đương;
- 1,0 với điện năng tác dụng và 2,0 với điện năng phản kháng đối với đo đếm cấp điện áp trung áp theo các tiêu chuẩn TCVN hoặc tương đương.
4.3.1.11.4 Trường hợp cơ quan quản lý nhà nước chưa quy định các tiêu chuẩn về cấp chính xác đối với công tơ đo đếm thì sử dụng Tiêu chuẩn IEC hoặc các tiêu chuẩn khác tương đương.
4.3.1.12 Yêu cầu kỹ thuật đối với TI sử dụng cho mục đích đo đếm điện năng cấp điện áp trung áp trở lên
4.3.1.12.1 Yêu cầu chung:
a) Có cuộn dây nhị thứ đo lường dùng riêng cho các thiết bị đo lường và công tơ đo đếm điện năng;
b) Giá trị dòng điện nhị thứ danh định là 1 A hoặc 5 A;
c) Có vị trí niêm phong kẹp chì tại nắp hộp đấu dây cuộn nhị thứ đo lường cấp cho công tơ đo đếm điện năng đảm bảo không thể tác động vào mạch điện đấu nối nếu không phá bỏ niêm phong.
4.3.1.12.2 Yêu cầu về cấp chính xác đối với đo đếm cấp điện áp từ 220 kV trở lên hoặc đo đếm phục vụ giao nhận điện năng giữa nhà máy điện tham gia thị trường điện hoặc nhà máy điện lớn với lưới điện:
a) Cuộn nhị thứ đo lường của TI phục vụ đo đếm chính phải đạt cấp chính xác 0,2 theo các tiêu chuẩn TCVN hoặc tương đương;
b) Cuộn nhị thứ đo lường của TI phục vụ đo đếm dự phòng phải không thấp hơn cấp chính xác: 0,5 theo các tiêu chuẩn TCVN hoặc tương đương;
c) Dung lượng của cuộn nhị thứ dùng cho đo lường của biến dòng điện phải đáp ứng phụ tải mạch thứ cấp của mạch đo lường.
4.3.1.12.3 Yêu cầu về cấp chính xác đối với đo đếm phục vụ giao nhận điện năng trong các trường hợp không thuộc trường hợp quy định tại Khoản 2 Điểm này:
a) Cuộn nhị thứ đo lường của TI phục vụ đo đếm chính phải không thấp hơn cấp chính xác: 0,5 theo các tiêu chuẩn TCVN hoặc tương đương;
b) Cấp chính xác của cuộn nhị thứ đo lường của TI phục vụ đo đếm dự phòng (nếu có) được xác định theo thỏa thuận giữa các bên liên quan.
4.3.1.13 Yêu cầu kỹ thuật đối với biến điện áp sử dụng cho mục đích đo đếm điện năng cấp điện áp từ trung áp trở lên
4.3.1.13.1 Yêu cầu chung
a) Có cuộn dây nhị thứ đo lường dùng riêng cho các thiết bị đo lường và công tơ đo đếm;
b) Giá trị điện áp hệ thống nhị thứ danh định (điện áp dây) là 100 V hoặc 110 V;
c) Có vị trí niêm phong tại nắp hộp đấu dây cuộn nhị thứ đo lường cấp cho công tơ đo đếm đảm bảo không thể tác động vào mạch điện đấu nối nếu không phá bỏ niêm phong.
4.3.1.13.2 Yêu cầu về cấp chính xác đối với đo đếm cấp điện áp từ 220 kV trở lên hoặc đo đếm phục vụ giao nhận điện năng giữa nhà máy điện tham gia thị trường điện hoặc nhà máy điện lớn với lưới điện
a) TU phục vụ đo đếm chính phải đạt cấp chính xác 0,2 theo các tiêu chuẩn TCVN hoặc tương đương;
b) TU phục vụ đo đếm dự phòng phải không thấp hơn cấp chính xác: 0,5 theo các tiêu chuẩn TCVN hoặc tương đương;
c) Dung lượng của cuộn nhị thứ đo lường của TU phải đáp ứng phụ tải mạch nhị thứ.
4.3.1.13.3 Yêu cầu về cấp chính xác đối với đo đếm phục vụ giao nhận điện năng trong các trường hợp không thuộc trường hợp quy định tại Khoản 2 Điểm này
a) TU phục vụ đo đếm chính phải không thấp hơn cấp chính xác: 0,5 theo các tiêu chuẩn TCVN hoặc tương đương;
b) Cấp chính xác của TU phục vụ đo đếm dự phòng được xác định theo thỏa thuận giữa các bên liên quan nhưng không thấp hơn cấp chính xác 0,5 đối với đo đếm cấp điện áp 110 kV và 1,0 đối với đo đếm cấp điện áp trung áp theo các tiêu chuẩn TCVN hoặc tương đương.
4.3.1.14 Yêu cầu kỹ thuật đối với công tơ đo đếm cấp điện áp hạ áp
4.3.1.14.1 Là loại 03 pha 04 dây đối với công tơ đo đếm 03 pha và loại 01 pha 02 dây đối với công tơ đo đếm 01 pha.
4.3.1.14.2 Có các vị trí niêm phong, kẹp chì đảm bảo không thể tiếp cận với các đầu cực đấu dây và thay đổi các thông số cài đặt trong công tơ đo đếm nếu không phá bỏ niêm phong.
4.3.1.14.3 Đối với công tơ đo đếm 03 pha, công tơ đo đếm điện năng tác dụng phải đạt cấp chính xác 1,0 theo các tiêu chuẩn TCVN hoặc tương đương. Đối với công tơ đo đếm 01 pha, công tơ đo đếm điện năng tác dụng phải đạt cấp chính xác 1,0 đối với công tơ đo đếm điện tử và cấp chính xác 2,0 đối với công tơ đo đếm cơ khí theo các tiêu chuẩn TCVN hoặc tương đương.
4.3.1.14.4 Đối với công tơ đo đếm điện tử: Có thể được trang bị đa chức năng, có thể lập trình được và kết nối với Hệ thống thu thập số liệu đo đếm từ xa phù hợp với chuẩn kết nối và phần mềm thu thập số liệu đo đếm.
4.3.1.15 Yêu cầu đối với TI sử dụng cho mục đích đo đếm điện năng cấp điện áp hạ áp
Trong trường hợp sử dụng TI cho đo đếm điện năng hạ áp, TI phải đảm bảo các yêu cầu sau:
- Có cuộn dây nhị thứ đo lường dùng riêng cho công tơ đo đếm.
- Giá trị dòng điện nhị thứ danh định là 01A hoặc 05A.
- Có vị trí niêm phong kẹp chì tại nắp hộp đấu dây cuộn nhị thứ đo lường cấp cho công tơ đo đếm đảm bảo không thể tác động vào mạch điện đấu nối nếu không phá bỏ niêm phong.
- Dung lượng của cuộn nhị thứ đo lường của TI phải đáp ứng phụ tải mạch nhị thứ.
- Cấp chính xác 0,5 theo các tiêu chuẩn TCVN hoặc tương đương.
4.3.2 Hệ thống đo lường điện
4.3.2.1 Phạm vi áp dụng
Đo lường điện áp dụng cho việc đo điện bằng dụng cụ đo cố định, không áp dụng cho việc đo điện trong phòng thử nghiệm, đo điện bằng các dụng cụ đo xách tay và các dụng cụ đo khẩn cấp dùng để đo trong các điều kiện sự cố.
4.3.2.2 Yêu cầu đối với các dụng cụ đo điện
Các dụng cụ đo điện phải bảo đảm độ chính xác theo quy định như sau:
- Dụng cụ đo chỉ thị bằng kim và máy tự ghi phải có cấp chính xác 1,0 - 2,5.
- Dụng cụ đo điện tử phải có cấp chính xác 1,0.
4.3.2.3 Yêu cầu đối với hệ thống đo
Phải trang bị các thiết bị đo các đại lượng sau:
4.3.2.3.1 Đo điện áp và kiểm tra cách điện:
a) Đo điện áp dây trong lưới điện 3 pha điện áp trên 1 kV;
b) Đo điện áp pha trong lưới điện 3 pha điện hạ áp; đo điện áp dây khi có yêu cầu đặc biệt;
c) Đo điện áp, tần số, góc pha khi hòa đồng bộ:
- Hai vônmét hoặc một vônmét kép;
- Đồng bộ kế hoặc vônmét chỉ không;
- Hai tần số kế hoặc một tần số kế kép;
- Rơ-le chống hoà sai (rơ-le hoà đồng bộ).
d) Phải đặt bộ kiểm tra cách điện trong lưới điện trên 1 kV có dòng điện chạm đất nhỏ, trong lưới điện đến 1 kV có trung tính cách ly và trong lưới điện một chiều có điểm giữa cách ly;
Bộ kiểm tra cách điện có thể là đồng hồ chỉ thị, dụng cụ hoạt động theo nguyên lý rơ- le (hệ thống tín hiệu âm thanh, ánh sáng) hoặc phối hợp cả hai loại trên.
Bộ kiểm tra cách điện phải đạt các yêu cầu sau:
- Bảo đảm phát hiện chạm đất khi lưới vận hành riêng rẽ cũng như khi có liên hệ qua máy biến áp đấu sao - tam giác.
- Bảo đảm tìm chạm đất dễ dàng trong trường hợp trạm có hoặc không có người trực.
- Khi cần, phải có báo tín hiệu âm thanh, ánh sáng tại chỗ hoặc truyền về trung tâm điều khiển.
Bộ kiểm tra cách điện trong lưới đến 1kV và trong lưới điện một chiều phải xác định được trị số điện trở cách điện, khi cần có kèm báo tín hiệu âm thanh, ánh sáng khi mức cách điện giảm thấp dưới trị số đặt.
Không cần đặt bộ kiểm tra cách điện ở mạch điện một chiều đơn giản và không quan trọng, các mạch một chiều điện áp tới 48V.
Phải định kỳ kiểm tra cách điện các mạch này bằng vônmét.
Cho phép dùng vônmét để kiểm tra định kỳ cách điện mỗi cực với đất của các mạch kích thích các máy điện quay.
Có thể dùng một vônmét có khóa chuyển mạch để kiểm tra cách điện một số điểm trên mạch kích thích.
đ) Vị trí lắp đặt thiết bị đo điện áp:
- Từng phân đoạn thanh cái điện áp xoay chiều hoặc một chiều khi phân đoạn đó có thể làm việc riêng biệt;
- Đầu đường dây từ cấp điện áp 110 kV trở lên hoặc theo yêu cầu;
- Tại TBA hạ áp, có thể chỉ đo điện áp hạ áp nếu không có biến điện áp phía cao áp;
- Mạch xoay chiều và một chiều của máy phát điện, máy bù đồng bộ;
- Trong mạch kích thích của máy điện đồng bộ công suất từ 1 MW trở lên. Không bắt buộc đối với máy phát thuỷ điện;
- Tổ ắcquy, máy nạp và phụ nạp;
- Trong mạch của cuộn dập hồ quang.
4.3.2.3.2 Đo dòng điện:
a) Phải đo dòng điện xoay chiều tại:
- Các mạch cần kiểm tra quá trình vận hành một cách có hệ thống;
- Các máy phát điện, đầu đường dây hoặc phụ tải trung cao áp, đầu đường dây hoặc phụ tải hạ áp quan trọng;
- Các mạch nhị thứ hoặc sơ cấp của máy biến áp có dung lượng từ 1MVA trở lên.
Trong mạch của cuộn dập hồ quang phải có chỗ để đấu Ampemét tự ghi hoặc xách tay.
b) Phải đặt Ampemét tự ghi nếu quá trình công nghệ yêu cầu.
c) Phải đo dòng điện một chiều tại:
- Các mạch của máy phát điện một chiều và bộ chỉnh lưu.
- Mạch ắcquy, pin mặt trời.
- Mạch kích thích máy phát, máy bù và động cơ đồng bộ.
d) Phải đặt thiết bị đo cả 3 pha cho:
- Máy phát điện xoay chiều 3 pha có công suất danh định từ 200kW trở lên;
- Đường dây cấp điện áp trên 1kV;
- Đường dây cấp cho lò điện hồ quang;
- Các cuộn dây MBA cấp điện áp 110 kV trở lên;
- Máy cắt phân đoạn;
- Cho phép đặt một thiết bị đo với khóa chuyển mạch để đo 3 pha với máy phát điện có công suất tới 200kW.
đ) Khi chọn thiết bị đo và biến dòng, phải tính đến khả năng quá tải tạm thời của mạch động cơ khi khởi động. Biến dòng không được bão hoà và thiết bị đo phải chịu được dòng khởi động.
e) Thiết bị đo một chiều phải có thang đo hai phía hoặc công tắc đảo cực nếu dòng điện đo có thể đổi chiều.
g) Có thể đấu thiết bị đo xoay chiều trực tiếp vào thanh cái hoặc dây dẫn, chỉ đấu thiết bị đo xoay chiều qua biến dòng nếu không đấu trực tiếp được.
h) Khi đấu trực tiếp thiết bị đo vào mạch trên 1kV xoay chiều và trên 500V một chiều, phải bảo đảm các điều kiện sau:
- An toàn cho người quản lý vận hành, thử nghiệm và sửa chữa, thuận tiện cho việc đọc chỉ số, đồng thời tuân theo đúng qui định về an toàn điện hiện hành.
- Cách ly phần mang điện của thiết bị đo với đất bằng cách điện chịu được điện áp tương ứng, hoặc đặt trực tiếp vào đoạn thanh dẫn giữa hai sứ cách điện kề nhau và bảo đảm khoảng cách pha - pha và pha - đất của thiết bị đo.
i) Thiết bị đo điện một chiều có thể đấu trực tiếp hoặc đấu qua sun.
4.3.2.3.3 Đo công suất:
Phải đo công suất theo các yêu cầu sau:
a) Đo công suất tác dụng và công suất phản kháng cho từng máy phát điện. Đối với máy phát điện 100 MW trở lên, phải dùng đồng hồ có cấp chính xác 1,0;
b) Đo công suất tác dụng đối với từng máy biến áp và đường dây 6 kV trở lên cấp điện tự dùng cho nhà máy điện;
c) Đo công suất phản kháng của máy bù đồng bộ và tụ bù 2 MVAr trở lên;
d) Đo công suất tác dụng và công suất phản kháng của MBA tăng áp hai cuộn dây của nhà máy điện;
đ) Đo công suất tác dụng và công suất phản kháng ở phía hạ áp và trung áp của MBA tăng áp ba cuộn dây (kể cả máy biến áp tự ngẫu có sử dụng cuộn dây thứ ba) của nhà máy điện. Đối với MBA làm việc trong khối với máy phát điện, việc đo công suất phía hạ áp thực hiện ở mạch máy phát điện;
e) Trạm biến áp:
- Đo công suất tác dụng và công suất phản kháng cho từng cuộn dây của máy biến áp 110 kV trở lên;
- Đo công suất tác dụng và công suất phản kháng cho MBA nâng áp điện áp đến 35 kV.
- Không cần đo công suất các MBA phân phối hạ áp.
- Tại những máy biến áp khống chế công suất theo mùa thì phải có chỗ đấu đồng hồ đo công suất di động.
g) Đường dây:
- Đo công suất tác dụng và công suất phản kháng ĐDK 110 kV trở lên, máy cắt mạch vòng.
- Đo công suất tác dụng và phản kháng xuất tuyến từ các trạm nâng áp 35 kV.
- Đo công suất tác dụng đường dây trên 1 kV đến 35 kV xuất tuyến từ các trạm 110 kV trở lên.
h) Phải dự kiến vị trí đấu dụng cụ di động đo công suất tại các điểm cần kiểm tra định kỳ dòng công suất tác dụng và phản kháng.
4.3.2.3.4 Đo tần số:
a) Vị trí lắp đặt dụng cụ đo tần số:
- Mỗi phân đoạn của thanh cái điện áp máy phát điện;
- Tại đầu ra máy phát điện của khối;
- Mỗi hệ thống thanh cái điện áp cao của nhà máy điện;
- Tại các nút có khả năng phân chia hệ thống điện ra các phần làm việc không đồng bộ;
- Tại vị trí theo yêu cầu của cơ quan điều độ hệ thống điện.
b) Vị trí lắp đặt dụng cụ ghi tần số:
- Nhà máy điện có công suất từ 200 MW trở lên trong hệ thống;
- Nhà máy điện có công suất từ 6 MW trở lên vận hành độc lập.
- Sai số tuyệt đối của tần số kế tự ghi ở các nhà máy điện tham gia điều tần không được quá ±0,1Hz.
5 QUY ĐỊNH QUẢN LÝ
5.1 Việc quản lý hoạt động xây dựng và vận hành các công trình lưới điện đến cấp điện áp 500 kV được thực hiện theo Quy chuẩn kỹ thuật này và các quy định pháp luật về điện lực, pháp luật về xây dựng, pháp luật về phòng cháy chữa cháy có liên quan.
5.2 Việc kiểm định an toàn kỹ thuật đối với thiết bị, dụng cụ điện được quy định tại Thông tư 02/2025/TT-BCT của Bộ trưởng Bộ Công Thương quy định về bảo vệ công trình điện lực và an toàn trong lĩnh vực điện lực, QCVN này và các quy định pháp luật có liên quan.
6 TRÁCH NHIỆM CỦA TỔ CHỨC, CÁ NHÂN
6.1 Tổ chức, cá nhân liên quan có trách nhiệm thực hiện các quy định của Quy chuẩn này và chịu sự kiểm tra của cơ quan quản lý nhà nước theo các quy định hiện hành.
6.2 Ủy ban nhân dân các tỉnh, thành phố trực thuộc trung ương có trách nhiệm phổ biến, hướng dẫn việc thực hiện Quy chuẩn này đối với các tổ chức, cá nhân tham gia hoạt động điện lực.
6.3 Cục Điện lực, Cục Kỹ thuật an toàn và Môi trường công nghiệp - Bộ Công Thương có trách nhiệm phổ biến, hướng dẫn thực hiện Quy chuẩn này đối với các Sở Công Thương; các tổ chức, cá nhân tham gia hoạt động điện lực, sử dụng điện để sản xuất trên phạm vi cả nước.
7 TỔ CHỨC THỰC HIỆN
7.1 Quy chuẩn kỹ thuật này có hiệu lực thi hành kể từ ngày 01 tháng 6 năm 2026.
7.2 Quyết định số 19/2006/QĐ-BCN ngày 11 tháng 07 năm 2006 của Bộ Công Nghiệp về việc ban hành Quy phạm trang bị điện hết hiệu lực kể từ ngày Thông tư này có hiệu lực thi hành.
7.3 Bãi bỏ, hiệu chỉnh một số quy định tại QCVN QTĐ-5:2009, QCVN QTĐ-6:2009, QCVN QTĐ-7:2009 ban hành kèm theo Thông tư số 40/2009/TT-BCT ngày 31 tháng 12 năm 2009 của Bộ Công Thương quy định Quy chuẩn kỹ thuật quốc gia về kỹ thuật điện.
Chi tiết bãi bỏ và điều chỉnh áp dụng các điều, khoản nêu tại Phụ lục S.
7.4 Những quy định liên quan trái với QCVN này thì áp dụng theo QCVN này.
7.5 Điều khoản chuyển tiếp:
Các công trình/dự án đầu tư xây dựng hoặc cải tạo đã được cấp có thẩm quyền phê duyệt báo cáo nghiên cứu khả thi/báo cáo kinh tế - kỹ thuật trước thời điểm Quy chuẩn kỹ thuật này có hiệu lực được tiếp tục thực hiện theo các quy định tại thời điểm phê duyệt.
7.6 Trong trường hợp các quy định pháp luật hoặc tiêu chuẩn, quy chuẩn kỹ thuật viện dẫn tại QCVN này có sửa đổi, bổ sung, thay thế thì áp dụng theo quy định tại văn bản được sửa đổi, bổ sung, thay thế.
7.7 Trong quá trình thực hiện Quy chuẩn kỹ thuật này, trường hợp tổ chức, cá nhân có khó khăn, vướng mắc đề nghị phản ánh về Bộ Công Thương để xem xét, hướng dẫn.
PHỤ LỤC
Phụ lục A: VẬT LIỆU CHO THIẾT BỊ ĐIỆN
Theo tính chất lý học, vật liệu kỹ thuật điện được chia thành các loại sau:
1. Vật liệu chịu hồ quang là vật liệu không thay đổi tính chất dưới tác động của hồ quang trong điều kiện làm việc bình thường.
2. Vật liệu chịu ẩm là vật liệu không thay đổi tính chất dưới tác động của ẩm.
3. Vật liệu chịu nhiệt là vật liệu không thay đổi tính chất dưới tác động của nhiệt độ cao hoặc thấp.
4. Vật liệu chịu hoá chất là vật liệu không thay đổi tính chất dưới tác động của hoá chất.
Phụ lục B: KHU VỰC MÔI TRƯỜNG Ô NHIỄM
Khu vực môi trường bị ô nhiễm được phân loại theo mức độ trầm trọng của ô nhiễm tại địa điểm xây dựng công trình điện theo các mức như sau:
a - Nhẹ; b - Trung bình; c - Nặng; d - Rất nặng.
Bảng B.1: Phân loại môi trường (SPS)
|
Mô tả loại môi trường |
Loại SPS |
|
Khoảng cách > 10 km từ biển Khoảng cách 5-10 km từ những nguồn ô nhiễm nhân tạo(*1) Ở trong khoảng cách nhỏ hơn khoảng cách nêu trên từ các nguồn ô nhiễm nhưng: • gió thịnh hành không thổi trực tiếp từ các nguồn ô nhiễm này • và/hoặc có mưa làm sạch hàng tháng |
a |
|
Khoảng cách 3-10 km từ biển Khoảng cách 1-5 km từ những nguồn ô nhiễm nhân tạo(*1) Ở trong khoảng cách nhỏ hơn khoảng cách nêu trên từ các nguồn ô nhiễm nhưng: • gió thịnh hành không thổi trực tiếp từ các nguồn ô nhiễm này • và/hoặc có mưa làm sạch hàng tháng |
b |
|
Có khoảng cách tới nguồn ô nhiễm như quy định cho khu vực “Nhẹ”, nhưng: • có sương mù dầy (hoặc mưa phùn) thường xảy ra trong một thời gian dài (vài tuần hoặc vài tháng) sau mùa khô tích nhiều bụi • và/hoặc có mưa to với độ dẫn điện cao • và/hoặc có mức NSDD (không có khả năng hòa tan) cao, nằm trong khoảng từ 5 đến 10 lần ESDD (có khả năng hòa tan) |
|
|
Trong khoảng 3 km từ biển Trong khoảng 1 km từ các nguồn ô nhiễm nhân tạo(*1) |
c Nặng |
|
Có khoảng cách tới nguồn ô nhiễm như quy định cho khu vực “Trung bình”, nhưng: • có sương mù dầy (hoặc mưa phùn) thường xảy ra trong một thời gian dài (vài tuần hoặc vài tháng) sau mùa khô tích nhiều bụi • và/hoặc có mức NSDD cao, nằm trong khoảng từ 5 đến 10 lần ESDD |
|
|
Có khoảng cách tới nguồn ô nhiễm như quy định cho vùng “Nặng” và: • bị ảnh hưởng trực tiếp của hơi nước biển hoặc sương muối (mặn) dày đặc. • hoặc bị ảnh hưởng trực tiếp từ các chất bẩn có độ dẫn điện cao, hoặc bụi dạng xi măng có mật độ cao và thường xuyên bị ướt bởi sương mù hoặc mưa phùn |
d |
|
Ghi chú: (*1) Nguồn ô nhiễm nhân tạo là nguồn ô nhiễm nặng cho môi trường và ảnh hưởng trực tiếp đến công trình điện như nhà máy hóa chất, v.v. |
|
Phụ lục C: BẢO VỆ CHỐNG TÁC HẠI CỦA MÔI TRƯỜNG
1. Xây dựng:
Móng xây dựng trong khu vực nước ngầm có tính ăn mòn cao đối với bê tông tiêu chuẩn phải sử dụng loại bê tông xi măng chống ăn mòn thích hợp.
2. Bảo vệ bề mặt: Các kết cấu kim loại của công trình điện và phần kim loại hở của bê tông cốt thép phải được bảo vệ chống ăn mòn bằng sơn hoặc mạ để làm tăng sức bền và giảm sự ăn mòn các phần kim loại đó:
a) Sơn: Sử dụng các biện pháp sơn hợp lý cho từng thiết bị hoặc kết cấu bằng sơn phun, sơn tĩnh điện, v.v.
b) Sơn mạ kẽm nguội: Sử dụng phun kẽm hoặc sơn giàu kẽm có hàm lượng hơn 94% bột kim loại kẽm trong màng sơn khô được dùng để hoàn thiện và kéo dài tuổi thọ chống ăn mòn với lớp sơn có độ dày khoảng 80 μm.
c) Mạ: Chọn phương pháp mạ và độ dày lớp mạ kẽm, mạ đồng, mạ crôm cho từng trường hợp sử dụng cụ thể. Phương pháp mạ, độ dày lớp mà và tuổi thọ lớp mạ tuần thủ theo các quy định, tiêu chuẩn hiện hành liên quan.
Phụ lục D: LƯỚI SAN BẰNG ĐIỆN ÁP
1. Lưới san bằng điện áp
Để san bằng điện áp và bảo đảm việc nối thiết bị điện với hệ thống điện cực tiếp đất, trên diện tích đặt thiết bị điện phải đặt các điện cực tiếp đất nằm ngang theo chiều dài và chiều rộng của diện tích đó và nối chúng với nhau thành lưới nối đất.
Các cực nối đất theo chiều dài phải đặt ở giữa dãy thiết bị điện về phía đi lại vận hành, ở độ sâu từ 0,5 đến 0,8 m và cách móng hoặc bệ đặt thiết bị ít nhất là 0,2 m. Nếu các thiết bị điện được đặt thành các dãy, khoảng cách giữa hai dãy không quá 3m thì cho phép đặt một điện cực san bằng điện áp chung giữa hai dãy thiết bị.
Các điện cực tiếp đất theo chiều rộng phải được đặt ở những vị trí thuận tiện giữa các thiết bị điện ở độ sâu 0,5 đến 0,8 m. Khoảng cách giữa chúng nên lấy tăng lên kể từ lưới ngoài cùng đến trung tâm của lưới nối đất. Khi đó khoảng cách đầu tiên và khoảng cách tiếp theo kể từ lưới ngoài cùng không được vượt quá 4,0; 5,0; 6,0; 7,5; 9,0; 11,0; 13,5; 16,0 và 20,0 m. Trong mọi trường hợp, khoảng cách giữa các điện cực nằm ngang không được lớn hơn 30 m. Kích thước của ô lưới nối đất tiếp giáp với vị trí nối điểm trung tính và chống sét van của máy biến áp lực với điện cực tiếp đất không nên vượt quá 6mx6m.
Các điện cực nằm ngang phải được đặt theo biên của diện tích đặt trang bị nối đất sao cho tạo thành mạch vòng khép kín.
Nếu mạch vòng nối đất bố trí trong phạm vi phía ngoài của hàng rào trạm điện thì dưới cửa ra vào, sát với điện cực nằm ngang ngoài cùng của mạch vòng phải đặt thêm hai cọc nối đất để san bằng điện áp. Hai cọc nối đất này phải có chiều dài từ 3 đến 5 m và khoảng cách giữa chúng bằng chiều rộng cửa ra vào.
2. Lắp đặt trang bị nối đất
- Phải đặt một mạch vòng nối đất nằm ngang bao quanh vị trí nối đất trung tính và chống sét van của máy biến áp lực.
- Khi trang bị nối đất bố trí phía ngoài phạm vi hàng rào trạm điện thì các điện cực tiếp đất nằm ngang phải được đặt ở độ sâu không nhỏ hơn 1m.
- Hàng rào bên ngoài của trạm điện không phải nối đất với trang bị nối đất. Nếu có ĐDK điện áp 110 kV trở vượt hàng rào ra ngoài thì hàng rào này phải được nối đất bằng các cọc nối đất có chiều dài từ 2 - 3 m và được chôn sâu cạnh các trụ của hàng rào theo toàn bộ chu vi và cách nhau từ 20 - 50 m một cọc. Không yêu cầu đặt cọc nối đất đối với hàng rào có các trụ bằng kim loại hoặc bêtông cốt thép, nếu cốt thép của các trụ này đã được nối với các chi tiết kim loại của hàng rào và được nối vào trang bị nối đất chung.
3. Nếu trang bị nối đất của thiết bị điện công nghiệp được nối với lưới nối đất của thiết bị điện có điện áp trên 1 kV trung tính nối đất hiệu quả bằng dây cáp có vỏ bọc bằng kim loại hoặc bằng dây kim loại thì việc san bằng điện áp xung quanh nhà hoặc diện tích đặt thiết bị điện phải thoả mãn một trong các điều kiện sau đây:
a) Đặt một mạch vòng nối đất xung quanh nhà hoặc diện tích đặt thiết bị và nối mạch vòng này với kết cấu kim loại của công trình xây dựng, thiết bị sản xuất và với lưới nối đất (nối trung tính). Mạch vòng phải được đặt ở độ sâu 1 m và cách móng nhà hoặc chu vi đặt thiết bị 1m. Ở cửa ra vào nhà phải đặt hai dây nối đất, cách mạch vòng nối đất 1 m và 2 m ở độ sâu tương ứng 1m và 1,5 m và phải nối những dây nối đất này với mạch vòng;
b) Cho phép dùng móng bêtông cốt thép làm nối đất nếu như bảo đảm được yêu cầu về san bằng điện áp.
Không phải thực hiện những điều kiện nêu ra ở điểm a và b Khoản này nếu xung quanh nhà và cửa ra vào nhà đã được thảm bê tông hoặc nhựa đường.
Phụ lục Đ: HƯỚNG DẪN TÍNH TOÁN ĐIỆN ÁP TIẾP XÚC, ĐIỆN ÁP BƯỚC VÀ
ĐIỆN TRỞ NỐI ĐẤT
Cơ sở tính toán kiểm tra nối đất:
- Xác định độ dày và điện trở suất của lớp đất san nền;
- Theo tài liệu khảo sát và thiết kế, xác định điện trở suất trung bình của các lớp đất có độ sâu đến 5 m trong khu vực xây dựng trạm dưới lớp đất san nền;
- Xác định quy mô lưới nối đất bao gồm cọc và các thanh liên kết dạng ô lưới (L*Lm) chôn sâu 0,8m so với cốt nền trạm kết hợp với mạch vòng nối đất bao quanh trạm ở cốt đất tự nhiên để tận dụng vùng đất có điện trở suất đất thấp.
Phương pháp tính toán nối đất:
Tính toán điện trở nối đất theo phương pháp Schwart (Tiêu chuẩn IEEE Std 80 - 2000):
Tiết diện dây nối đất thiết bị:
Tiết diện dây dẫn nối đất cho thiết bị được tính theo công thức:

Trong đó:
|
- Dòng điện ngắn mạch của hệ thống: |
In |
(kA) |
|
- Nhiệt độ cho phép lớn nhất của dây dẫn: |
Tm |
(oC); |
|
- Nhiệt độ môi trường xung quanh: |
Ta |
(°C) |
|
- Hệ số tản nhiệt của dây nối đất tại nhiệt độ |
Tr: αr |
(1/oC) |
|
- Điện trở suất của dây nối đất tại nhiệt độ |
Tr: ρr |
(μ.Ω.cm) |
|
- Hằng số nhiệt độ: |
K0 |
(°C) |
|
- Thời gian duy trì sự cố: |
tc |
(s) |
|
- Hệ số khả năng chịu nhiệt của dây nối đất: [J/(cm3.0C)] |
TCAP |
|
|
- Tiết diện tính toán của dây nối đất |
Att |
(mm2) |
|
- Tiết diện dây nối đất: |
A |
(mm2) |
Đối với vật liệu nối đất là dây đồng (nối từ thiết bị đến trụ đỡ) ta có:
(Trường hợp tính toán với dòng ngắn mạch IN = 40 kA)
|
Thông số cơ bản |
Kí hiệu |
Giá trị |
Đơn vị |
|
Dòng điện ngắn mạch của hệ thống: |
IN = |
(40) |
kA |
|
Loại dây nối đất |
Đồng thường |
||
|
Nhiệt độ cho phép lớn nhất của dây dẫn: |
Tm = |
1084 |
oC |
|
Nhiệt độ môi trường xung quanh: |
Ta = |
40 |
oC |
|
Hệ số tản nhiệt của dây tại nhiệt độ Tr |
αr = |
0,00381 |
1/oC |
|
Điện trở suất của dây tiếp đất tại nhiệt độ Tr |
ρr = |
1,78 |
μ.Ω.cm |
|
Hệ số |
K0 = |
242 |
|
|
Thời gian duy trì sự cố: |
tc = |
0,5 |
s |
|
Hệ số khả năng chịu nhiệt dây đồng: |
TCAP = |
3,42 |
J/cm3.0C |
|
Tiết diện dây dẫn nối đất: |
Att = |
101,23 |
mm2 |
|
Chọn dây đồng có tiết diện: |
A = |
(120) |
mm2 |
Với dòng ngắn mạch In=40 kA vài thời gian duy trì sự cố 0,5s được kết quả tính toán cho tiết diện dây nối từ thiết bị đến trụ đỡ là S=120 mm2.
Đối với vật liệu nối đất là dây thép mạ kẽm (nối từ trụ đỡ thiết bị đến hệ thống nối đất chung toàn trạm) ta có:
|
Thông số cơ bản |
Kí hiệu |
Giá trị |
Đơn vị |
|
Dòng điện ngắn mạch của hệ thống: |
IN = |
(40) |
kA |
|
Loại dây nối đất (Conductor Type) |
Dây Thép mạ kẽm |
||
|
Nhiệt độ cho phép lớn nhất của dây dẫn: |
Tm = |
1084 |
oC |
|
Nhiệt độ môi trường xung quanh: |
Ta = |
40 |
oC |
|
Hệ số tản nhiệt của dây tại nhiệt độ Tr |
αr = |
0,00378 |
1/oC |
|
Điện trở suất của dây tiếp đất tại nhiệt độ Tr |
ρr = |
5,86 |
μ.Ω.cm |
|
Hệ số |
K0 = |
245 |
|
|
Thời gian duy trì sự cố: |
tc = |
0,5 |
s |
|
Hệ số khả năng chịu nhiệt dây đồng: |
TCAP = |
3,85 |
J/cm3.0C |
|
Tiết diện dây dẫn nối đất: |
Att = |
172,90 |
mm2 |
|
Chọn dây thép mạ kẽm có đường kính: |
d = |
(16) |
mm |
Với dòng ngắn mạch IN=40 kA và thời gian duy trì sự cố 0,5s được kết quả tính toán cho dây nối từ trụ đỡ thiết bị đến nối đất chung có đường kính là d=16mm.
Điện trở nối đất của hệ thống:
![]()
Trong đó:
R1: Điện trở của lưới nối đất gồm các thanh ngang (Q)
R2: Điện trở của cọc nối đất (Q)
Rm: Điện trở tương hỗ giữ cọc và thanh (Q).

ρ: điện trở suất của đất Ωm
Lc:Tổng chiều dài lưới nối đất bao gồm thanh và cọc (m)
kích thước hiệu chỉnh
dg = 2a: đường kính thanh nối đất
A: diện tích lưới nối đất
K1, K2: Hằng số (tra bảng)

Lr: chiều dài của 1 cọc nối đất (m)
Lr: tổng chiều dài của các cọc nối đất (m)
dc = 2b: Đường kính cọc nối đất (m)
nr: số cọc nối đất

- Điện trở suất biểu kiến của cọc qua 2 lớp đất:

- Hằng số K1, K2 (Tra đồ thị hoặc theo công thức nội suy):

L: Chiều dài trung bình của lưới nối đất (m)
W: Chiều rộng trung bình của lưới nối đất (m)
Tính toán điện trở hệ thống nối đất của trạm
Điện trở hệ thống nối đất
|
Thông số cơ bản |
Kí hiệu |
Giá trị |
Đơn vị |
Tra theo |
|
Điện trở suất lớp đất san nền |
ρt |
- |
Ωm |
|
|
Bề dày của lớp đất san nền |
H |
- |
m |
|
|
Điện trở suất lớp đất tự nhiên |
ρ |
- |
Ωm |
|
|
Điện trở suất biểu kiến của cọc khi đi qua 2 lớp đất |
ρa |
- |
Ωm |
(5) |
|
Độ chôn sâu của lưới so với nền trạm |
h |
0.8 |
m |
|
|
Chiều dài trung bình của lưới nối đất |
L |
- |
m |
|
|
Chiều rộng trung bình của lưới nối đất |
W |
- |
m |
|
|
Chu vi lưới nối đất |
Lp |
- |
m |
|
|
Tổng chiều dài lưới nối đất |
Lc |
- |
m |
|
|
Diện tích lưới nối đất |
A |
- |
m2 |
|
|
Chiều dài cọc nối đất (l) |
Lr |
3 |
m |
|
|
Đường kính cọc nối đất |
dc |
- |
m |
|
|
Đường kính thanh nối đất |
dg |
- |
m |
|
|
Kích thước hiệu chỉnh |
a' |
- |
m |
|
|
Hằng số K1 |
K1 |
- |
|
(6) |
|
Hằng số K2 |
K2 |
- |
|
(7) |
|
Số cọc nối đất |
nr |
- |
m |
|
|
Khoảng cách trung bình giữa các ô lưới |
D |
- |
m |
|
|
Số dây nối đất theo chiều rộng |
na |
- |
|
|
|
Số dây nối đất theo chiều dài |
nb |
- |
|
|
|
Kết quả tính toán |
||||
|
Điện trở của hệ thống thanh liên kết |
R1 |
- |
Ω |
(2) |
|
Điện trở cọc |
R2 |
- |
Ω |
(3) |
|
Điện trở tương hỗ |
Rm |
- |
Ω |
(4) |
|
Điện trở lưới nối đất chính |
Rg |
- |
Ω |
(1) |
Kết quả tính toán điện trở lưới nối đất chính: Rg = ... Ω
Tính toán điện áp bước và điện áp tiếp xúc cho phép: a. Cơ sở tính toán
Tính toán dựa theo tiêu chuẩn IEEE Std 80- 2000:
v Điện áp bước cho phép:
![]()
v Điện áp tiếp xúc cho phép:
![]()
Trong đó:
+ t là thời gian duy trì sự cố (s)
+ ρ là điện trở suất của lớp cát san nền trạm (Wm)
+ ρs là điện trở suất của lớp đá rải nền trạm
+ Cs là hệ số tính đến sự tiếp xúc giữa lớp đá bề mặt với lớp đất phía dưới
![]()
v Tính toán điện áp tiếp xúc:
Điện áp tiếp xúc lớn nhất được tính theo công thức sau:
Em = ρ*Km*Ki*Ig /Lm (11)
Trong đó:
+ ρ là điện trở suất của đất nền trạm (Wm)
+ Km là hệ số khoảng cách được xác định theo công thức
![]()
![]()

Dm: Khoảng cách lớn nhất giữa 2 điểm bất kỳ trên lưới nối đất
nc = 1: lưới hình vuông, chữ nhật
nd= 1: lưới hình vuông, chữ nhật, hình - L
Với:
+ Lc là tổng chiều dài thanh nối đất của lưới (m)
+ Lp là chu vi của lưới nối đất (m)
+ Lx là chiều dài trung bình của lưới nối đất (m)
+ Ly là chiều rộng trung bình của lưới nối đất (m)
+ Lr là chiều dài của mỗi cọc nối đất (m)
+ LR là chiều dài của tất cả các cọc nối đất (m)
+ A là diện tích của lưới nối đất (m2)
![]()
hệ số biểu thị sự ảnh hưởng của độ chôn sâu (h) của lưới nối đất (ho là độ chôn sâu tham khảo: ho= 1m)
là hệ số liên hệ đến sự phân bố của cọc. (18)
* dc là đường kính của dây rải (m)
+ Ki là hệ số có xét đến sự gia tăng mật độ dòng điện ở các góc lưới.
Ki = 0,644 + 0,148 . n (19)
+ Ig là dòng điện tản vào lưới được tính bằng công thức sau:
Ig = Sf . Df . Cρ . IN (20)
Với:
* Sf = 0,7 là hệ số phân dòng điện sự cố tản vào đất thông qua dây chống sét, dây trung tính nối đất
* Df = 0,5 là hệ số suy giảm của thành phần 1 chiều
* Cρ = 0,5 là hệ số hiệu chỉnh thiết kế khi xét sự gia tăng của dòng điện sự cố
* IN là trị số dòng điện ngắn mạch 1 pha (A).
+ LM là chiều dài hiệu quả của lưới nối đất (m)
![]()
v Tính toán điện áp bước lớn nhất:
Điện áp tiếp xúc lớn nhất được tính theo công thức sau:
Es = ρ.Ks.Ki.Ig/Ls (22)
Trong đó: + ρ là điện trở suất của đất nền trạm (Wm)
+ Ks là hệ số khoảng cách trong tính toán Es được xác định theo công thức
![]()
Với:
* D là khoảng cách giữa các thanh dẫn của lưới (m)
* n = na.nb.nc.nd
+ LS = 0,75 . LC + 0,85 . LR (24)
là chiều dài hiệu quả của lưới nối đất (m)
v Điều kiện thoả mãn điện áp bước:
Es ≤ Estep50 (25)
v Điều kiện thỏa mãn điện áp tiếp xúc:
Em ≤ Etouch50 (26)
b. Kết quả tính toán điển hình điện áp bước cho phép và điện áp tiếp xúc cho phép
Với điều kiện TBA 220 kV có dòng ngắn mạch 40 kA, thời gian tồn tại là 0,5s và có lớp đá dăm dày 0,2m rải trên mặt nền, điện áp bước cho phép và điện áp tiếp xúc cho phép
|
Thời gian sự cố |
t = |
0,5 |
s |
|
Điện áp dây |
U = |
220000 |
V |
|
Điện trở suất của lớp đá dăm |
rs = |
5000 |
Ω.m |
|
Độ dày lớp đá dăm rải nền trạm |
hs = |
0,2 |
m |
|
Hệ số suy giảm |
Cs = |
0,807 |
|
|
Điện áp bước cho phép: (Người nặng 50kg) |
Estep50 = |
4137,0 |
V |
|
Điện áp tiếp xúc cho phép: (Người nặng 50kg) |
Etouch50 = |
1157,3 |
V |
c. Tính toán kiểm tra
Điện áp bước tính toán Es
|
Thông số cơ bản |
Kí hiệu |
Giá trị |
Đơn vị |
Tra theo |
|
Thời gian sự cố |
t = |
- |
s |
|
|
Điện áp dây |
U = |
- |
V |
|
|
Điện trở suất của lớp đá dăm |
rs = |
- |
Ω.m |
|
|
Độ dày lớp đá dăm rải nền trạm |
hs = |
- |
m |
|
|
Hệ số suy giảm |
Cs = |
- |
|
(10) |
|
Điện áp bước cho phép: (Người nặng 50kg) |
Estep50 = |
- |
V |
(22) |
|
Kiểm tra điều kiện Estep< Estep 50 |
|
|
|
|
Điện áp tiếp xúc tính toán Em
|
Thông số cơ bản |
Kí hiệu |
Giá trị |
Đơn vị |
Tra theo |
|
Tổng chiều dài hiệu quả của lưới nối đất |
LM |
- |
m |
|
|
Độ chôn sâu của lưới theo tiêu chuẩn |
h0 = |
- |
m |
|
|
|
na = |
- |
|
(13) |
|
|
nb = |
- |
|
(14) |
|
|
nc = |
- |
|
(15) |
|
|
nd = |
- |
|
(16) |
|
na*nb*nc*nd |
n = |
- |
|
|
|
|
Kh = |
- |
|
(17) |
|
|
Kii = |
- |
|
(18) |
|
Hệ số hiệu chỉnh |
Ki = |
- |
|
(19) |
|
Hệ số khoảng cách |
Ks = |
- |
|
(23) |
|
Điện áp tiếp xúc cho phép |
Em = |
- |
V |
(11) |
|
Kiểm tra điều kiện Em < Etouch 50 |
|
|
|
|
Phụ lục E: ĐÁNH SỐ THIẾT BỊ TRONG HỆ THỐNG ĐIỆN
1. Đánh số cấp điện áp
Điện áp 500 kV: Lấy chữ số 5
Điện áp 220 kV: Lấy chữ số 2
Điện áp 110 kV: Lấy chữ số 1
Điện áp 66 kV: Lấy chữ số 7
Điện áp 35 kV: Lấy chữ số 3
Điện áp 22 kV: Lấy chữ số 4
Điện áp 15 kV: Lấy chữ số 8
Điện áp 10 kV: Lấy chữ số 9
Điện áp 6 kV: Lấy chữ số 6
Trường hợp điện áp đầu cực máy phát điện, máy bù đồng bộ được quy định như sau :
- Nếu điện áp đầu cực lớn hơn hoặc bằng 10kV lấy chữ số 9 ;
- Nếu điện áp đầu cực bé hơn 10kV lấy chữ số 6.
Các cấp điện áp khác do cấp điều độ điều khiển tự quy định.
2. Đặt tên thanh cái
Ký tự thứ nhất lấy là chữ C.
Ký tự thứ hai chỉ cấp điện áp.
Ký tự thứ ba chỉ số thứ tự thanh cái, riêng số 9 ký hiệu thanh cái vòng.
Ví dụ: - C12: biểu thị điện áp 110 kV thanh cái số 2;
- C21: biểu thị điện áp 220 kV thanh cái số 1;
- C29: biểu thị điện áp 220 kV thanh cái vòng.
3. Đặt tên nhà máy điện, máy bù đồng bộ
a) Ký tự đầu được quy định như sau:
- Nhiệt điện hơi nước: Ký hiệu là chữ S;
- Thủy điện: Ký hiệu là chữ H;
- Tuabin khí: ký hiệu là chữ GT;
- Đuôi hơi của tuabin khí: Ký hiệu là chữ ST;
- Diesel: Ký hiệu là chữ D;
- Phong điện: Ký hiệu là chữ WT;
- Thủy điện tích năng: Ký hiệu là chữ PH;
- Điện thủy triều: Ký hiệu là chữ TH;
- Điện nguyên tử: Ký hiệu là chữ N;
- Điện mặt trời: Ký hiệu là chữ SS;
- Địa nhiệt: Ký hiệu là chữ GS;
- Máy bù đồng bộ: Ký hiệu là chữ B;
b) Ký tự tiếp theo là số thứ tự của máy phát.
Ví dụ: - S1: biểu thị nhà máy phát nhiệt điện hơi tổ máy số một.
- GT2: biểu thị nhà máy tua -bin khí tổ máy số hai.
- N1: biểu thị nhà máy điện nguyên tử tổ máy số 1.
4. Đặt tên máy biến áp
a) Ký tự đầu được quy định như sau:
- Máy biến áp 2 hoặc 3 dây quấn ký hiệu là chữ T;
- Máy biến áp tự ngẫu ký hiệu là AT;
- Máy biến áp tự dùng ký hiệu là TD;
- Máy biến áp kích từ máy phát ký hiệu là TE;
- Máy biến áp tạo trung tính ký hiệu là TT
- Đối với máy biến áp 2 hoặc 3 dây quấn: Ký hiệu là chữ T;
- Đối với máy biến áp tự ngẫu: Ký hiệu là chữ AT;
- Đối với máy biến áp tự dùng: Ký hiệu là chữ TD;
- Đối với máy biến áp kích từ máy phát: Ký hiệu là chữ TE;
- Đối với máy biến áp tạo trung tính: Ký hiệu là chữ TT
b) Ký tự tiếp theo là số thứ tự của máy biến áp. Đối với máy biến áp tự dùng ký tự tiếp theo là cấp điện áp và số thứ tự ở cấp điện áp đó.
Ví dụ: - T1: biểu thị máy biến áp số 1.
- T2: biểu thị máy biến áp số 2.
- TD31: biểu thị máy biến áp tự dùng số 1 cấp điện áp 35 kV.
- AT1: biểu thị máy biến áp tự ngẫu số 1.
5. Đặt tên điện trở trung tính, kháng trung tính của máy biến áp
a) Hai ký tự đầu là chữ RT biểu thị điện trở trung tính, KT biểu thị kháng trung tính.
b) Ký tự thứ 3 lấy theo cấp điện áp cuộn dây máy biến áp nhiều cuộn dây.
c) Ký tự tiếp theo là tên của máy biến áp mà RT hoặc KT được đấu vào.
Ví dụ:
- RT3T1: biểu thị điện trở trung tính cuộn dây 35 kV của máy biến áp T1.
- KT5AT2: biểu thị kháng trung tính của máy biến áp 500 kV AT2.
6. Đặt tên kháng bù ngang
a) Hai ký tự đầu là chữ KH;
b) Ký tự thứ 3 đặc trưng cho cấp điện áp.
c) Ký tự thứ 4 là số 0 (hoặc số 9 nếu sơ đồ phức tạp).
d) Ký tự thứ 5 là số thứ tự của mạch mắc kháng bù ngang.
Ví dụ: KH504: biểu thị kháng bù ngang 500 kV mắc ở mạch số bốn.
7. Đặt tên kháng trung tính, điện trở trung tính của kháng bù ngang
a) Hai ký tự đầu là chữ KT biểu thị cho kháng trung tính, RT biểu thị cho điện trở trung tính của kháng bù ngang
b) Các ký tự tiếp theo lấy theo 3 ký tự cuối của kháng điện.
Ví dụ:
- KT504: biểu thị kháng trung tính của kháng điện KH504.
- RT504: biểu thị điện trở trung tính của kháng điện KH504.
8. Đặt tên kháng giảm dòng ngắn mạch
a) Hai ký tự đầu là chữ KI.
b) Ký tự thứ 3 đặc trưng cho cấp điện áp.
c) Các ký tự tiếp theo đặt theo số thứ tự của đường cáp hoặc thanh cái.
Ví dụ: - KI212: biểu thị kháng giảm dòng ngắn mạch cấp điện áp 220 kV nối thanh cái số 1 với thanh cái số 2.
- KI171: biểu thị kháng giảm dòng ngắn mạch đường cáp 171.
9. Đặt tên cuộn cản
a) Ký tự đầu là chữ L.
b) Ký tự tiếp theo là tên của ngăn đường dây.
Ví dụ: - L171: biểu thị cuộn cản của đường dây 110 kV 171.
10. Đặt tên tụ bù
a) Ba ký tự đầu: Đối với tụ bù dọc lấy là các chữ TBD, đối với tụ bù ngang lấy là các chữ TBN
b) Ký tự thứ 4 đặc trưng cho cấp điện áp.
c) Ký tự thứ 5 là số 0 (hoặc số 9 nếu sơ đồ phức tạp).
d) Ký tự thứ 6 là số thứ tự của mạch mắc tụ điện đối với tụ bù dọc, đối với tụ bù ngang lấy theo số thứ tự của bộ tụ.
Ví dụ: - TBD501: Biểu thị tụ bù dọc điện áp 500 kV mắc ở mạch số 1.
- TBN302: biểu thị tụ bù ngang điện áp 35 kV mắc ở mạch số 2.
11. Đặt tên thiết bị bù tĩnh
a) Các ký tự đầu được lấy theo tên viết tắt của tiếng Anh.
b) Các ký tự tiếp theo là cấp điện áp và số thứ tự tương tự như tụ bù quy định tại Điều 10 Phụ lục này.
Ví dụ:
- SVC302: biểu thị SVC (Static Var Compensator) điện áp 35 kV bộ SVC số 2.
- TSSC501: biểu thị TSSC (Thyristor Switched Series Capacitor) điện áp 500 kV mắc ở mạch số 1.
12. Đặt tên tụ chống quá áp
a) Ký tự đầu lấy chữ C;
b) Ký tự tiếp theo lấy tên của thiết bị được bảo vệ chống quá áp. Đối với các thiết bị mà tên của thiết bị không thể hiện rõ cấp điện áp thì sau hai ký tự đầu sẽ là ký tự đặc trưng cho cấp điện áp, tiếp theo là tên thiết bị.
Ví dụ: - C901: biểu thị tụ chống quá áp máy cắt 901.
- C9H1: biểu thị tụ chống quá áp mắc vào phía điện áp máy phát H1.
13. Đặt tên máy biến điện áp
a) Ký tự đầu là TU;
b) Các ký tự tiếp theo lấy tên thiết bị mà máy biến điện áp đấu vào. Đối với các thiết bị mà tên của thiết bị không thể hiện rõ cấp điện áp thì sau hai ký tự đầu sẽ là ký tự đặc trưng cho cấp điện áp, tiếp theo là tên thiết bị.
Ví dụ:
- TU171: biểu thị máy biến điện áp ngoài đường dây 110 kV 171.
- TUC22: biểu thị máy biến điện áp của thanh cái số hai điện áp 220 kV.
- TU5T2: biểu thị máy biến điện áp của máy biến áp T2 phía 500 kV.
14. Đặt tên TI
a) Hai ký tự đầu là TI;
b) Các ký tự tiếp theo lấy tên thiết bị mà TI đấu vào. Đối với các thiết bị mà tên của thiết bị không thể hiện rõ cấp điện áp thì sau hai ký tự đầu sẽ là ký tự đặc trưng cho cấp điện áp, tiếp theo là tên thiết bị.
Ví dụ:
- TI171: biểu thị TI cấp điện áp 110 kV của đường dây 171.
- TI5AT2: biểu thị TI cấp điện áp 500 kV trong sứ xuyên của Máy biến áp AT2.
15. Đặt tên chống sét
a) Hai ký tự đầu lấy chữ CS;
b) Ký tự tiếp theo lấy tên của thiết bị được bảo vệ. Đối với các thiết bị mà tên của thiết bị không thể hiện rõ cấp điện áp thì sau hai ký tự đầu sẽ là ký tự đặc trưng cho cấp điện áp, tiếp theo là tên thiết bị. Đối với chống sét van nối vào trung tính máy biến áp cấp điện áp lấy số 0.
Ví dụ: - CS1T1: biểu thị chống sét của máy biến áp T1 phía điện áp 110 kV.
- CS0T1: biểu thị chống sét mắc vào trung tính máy biến áp T1.
- CS271: biểu thị chống sét của đường dây 271.
16. Đặt tên cầu chì
a) Các ký tự đầu:
- Cầu chì thường lấy chữ CC;
- Cầu chì tự rơi lấy chữ FCO.
b) Ký tự tiếp theo là dấu phân cách (-) và tên của thiết bị được bảo vệ.
Ví dụ: CC-TUC31: biểu thị cầu chì của máy biến điện áp thanh cái C31.
17. Đánh số máy cắt điện
a) Ký tự thứ nhất đặc trưng cho cấp điện áp. Riêng đối với máy cắt của tụ ký tự thứ nhất là chữ T, kháng điện ký tự thứ nhất là chữ K còn ký tự thứ hai đặc trưng cho cấp điện áp.
b) Ký tự thứ hai (ba đối với máy cắt kháng và tụ) đặc trưng cho vị trí của máy cắt, được quy định như sau:
- Máy cắt máy biến áp: Lấy số 3;
- Máy cắt của đường dây: Lấy số 7 và số 8 (hoặc từ số 5 đến 8 nếu sơ đồ phức tạp);
- Máy cắt của máy biến áp tự dùng: Lấy số 4;
- Máy cắt đầu cực máy phát điện: Lấy số 0;
- Máy cắt của máy bù quay: Lấy số 0;
- Máy cắt của tụ bù ngang: Lấy số 0;
- Máy cắt của tụ bù dọc: Lấy số 0 (hoặc 9 nếu sơ đồ phức tạp);
- Máy cắt của kháng điện: Lấy số 0 (hoặc 9 nếu sơ đồ phức tạp).
c) Ký tự thứ ba (thứ tư đối với máy cắt kháng và tụ) thể hiện bằng chữ số từ 0 đến 9
d) Máy cắt của thanh cái đường vòng hai ký tự tiếp theo ký tự thứ nhất là: 00.
đ) Máy cắt liên lạc giữa hai thanh cái, hai ký tự tiếp theo ký tự thứ nhất là số của hai thanh cái.
e) Đối với sơ đồ một thanh cái có phân đoạn, đánh số các máy cắt ở thanh cái chẵn thì đánh số thứ tự chẵn, các máy cắt ở thanh cái lẻ thì đánh số thứ tự lẻ.
g) Đối với sơ đồ đa giác đánh số các máy cắt theo máy cắt đường dây;
h) Sơ đồ 3/2 (một rưỡi), sơ đồ 4/3: tuỳ theo sơ đồ có thể đánh số theo một trong các cách sau:
- Đánh số các máy cắt theo máy cắt đường dây;
- Đánh số ký tự thứ hai máy cắt ở giữa (không nối với thanh cái) số 5 hoặc số 6;
- Đánh số ký tự thứ ba theo thứ tự ngăn lộ.
Ví dụ:
- 131: biểu thị máy cắt của máy biến áp số 1 cấp điện áp 110 kV.
- 903: biểu thị máy cắt của máy phát điện số 3, điện áp /10 kV.
- K504: biểu thị máy cắt của kháng điện số 4 điện áp 500 kV.
- 100: biểu thị máy cắt vòng điện áp 110 kV.
- 212: biểu thị máy cắt liên lạc thanh cái điện áp 220 kV.
18. Đánh số dao cách ly
a) Các ký tự đầu là tên của máy cắt hoặc thiết bị nối trực tiếp với dao cách ly (đối với dao cách ly của TU, các ký tự đầu tiên là tên của TU, tiếp theo là tên thiết bị nối trực tiếp với dao cách ly), tiếp theo là dấu phân cách (-).
b) Ký tự tiếp theo được quy định như sau:
- Dao cách ly thanh cái lấy số thứ tự của thanh cái nối với dao cách ly;
- Dao cách ly đường dây (dao cách ly phía đường dây) lấy số 7;
- Dao cách ly nối với máy biến áp lấy số 3;
- Dao cách ly nối với thanh cái vòng lấy số 9;
- Dao cách ly nối tắt một thiết bị lấy số 0 hoặc số 9;
- Dao cách ly nối tới phân đoạn nào (phía phân đoạn nào) thì lấy số thứ tự của phân đoạn thanh cái (hoặc thanh cái) đó.
- Tên dao cách ly nối với điện trở trung tính hoặc kháng trung tính lấy số 0.
- Dao cách ly nối với máy phát lấy số 0 hoặc 9.
Ví dụ:
- 131-3: biểu thị dao cách ly của máy biến áp T1 điện áp 110 kV.
- K501-1: biểu thị dao cách ly kháng số 1 điện áp 500 kV nối với thanh cái số 1.
- TUC22-2: biểu thị dao cách ly máy biến điện áp của thanh cái số hai điện áp 220 kV nối với thanh cái số 2.
- 171-7: biểu thị dao cách ly ngoài đường dây 110 kV của máy cắt 171.
- 272-9: biểu thị dao cách ly của máy cắt 272 nối với thanh cái đường vòng.
- 275-0: Biểu thị dao cách ly nối tắt máy cắt 275.
- KT101-0: biểu thị dao trung tính cuộn 110 kV của máy biến áp T1 nối với kháng trung tính KT101.
19. Đánh số dao tiếp địa
a) Các ký tự đầu là tên dao cách ly hoặc thiết bị có liên quan trực tiếp.
b) Ký tự tiếp theo đặc trưng cho dao tiếp địa, được quy định như sau:
- Dao tiếp địa của đường dây và tụ điện lấy số 6;
- Dao tiếp địa của máy biến áp, kháng điện và TU lấy số 8;
- Dao tiếp địa của máy cắt lấy số 5;
- Dao tiếp địa của thanh cái lấy số 4;
- Dao tiếp địa trung tính máy biến áp hoặc kháng điện lấy số 08;
- Dao tiếp địa của máy phát lấy số 5.
Ví dụ:
- 271 -76: biểu thị dao tiếp địa ngoài đường dây 271.
- 171-15: biểu thị dao tiếp địa máy cắt 171 phía dao cách ly 171-1.
- 131-08: biểu thị dao tiếp địa trung tính cuộn dây 110 kV của máy biến áp số 1.
20. Đánh số các thiết bị đóng cắt ở các nhánh rẽ, các phân đoạn đường dây
a) Đối với máy cắt phân đoạn đường dây đánh số như máy cắt đường dây, máy cắt rẽ nhánh xuống máy biến áp đánh số như máy cắt máy biến áp.
b) Đối với dao cách ly phân đoạn đường dây hoặc dao cách ly nhánh rẽ các ký tự đầu đánh số theo quy định tại Điều 18 Phụ lục này (đánh số dao cách ly được thực hiện giả thiết như có máy cắt).
c) Các ký tự cuối cùng là dấu phân cách (/) và vị trí cột phân đoạn hoặc rẽ nhánh.
Ví dụ:
- 371/XX: biểu thị máy cắt 371 phân đoạn đường dây ở cột số XX cấp điện áp 35 kV.
- 171-7/XX: biểu thị dao cách ly phân đoạn đường dây 110 kV ở cột số XX.
- 171-76/XX: biểu thị dao cách ly tiếp địa đường dây 110 kV ở cột số XX.
-
Phụ lục F: QUÁ TẢI MÁY BIẾN ÁP
Bảng F.1: Giới hạn dòng điện và nhiệt độ tối đa cho phép của MBA kiểu ngâm
dầu khoáng trong trường hợp tải vượt quá công suất định mức
|
Loại phụ tải |
MBA cỡ nhỏ (*1) |
MBA cỡ trung (*1) |
MBA cỡ lớn (*1) |
|
Phụ tải trong điều kiện bình thường *2) |
|||
|
Hệ số dòng điện định mức |
1,5 |
1,5 |
1,3 |
|
Nhiệt độ điểm nóng nhất của cuộn dây và các chi tiết kim loại tiếp xúc với vật liệu cách điện xenlulo (oC) |
120 |
120 |
120 |
|
Nhiệt độ điểm nóng nhất của các chi tiết kim loại khác (tiếp xúc với dầu, giấy phíp, sợi thủy tinh) (oC) |
140 |
140 |
140 |
|
Nhiệt độ dầu lớp trên trong bình dầu chính (oC) |
105 |
105 |
105 |
|
Phụ tải khẩn cấp kéo dài *3) |
|||
|
Hệ số dòng điện định mức |
1,8 |
1,5 |
1,3 |
|
Nhiệt độ điểm nóng cuộn dây và các chi tiết kim loại tiếp xúc với vật liệu cách điện bằng nhựa xenlulo (oC) |
140 |
140 |
140 |
|
Nhiệt độ điểm nóng các phần kim loại khác (tiếp xúc với dầu, giấy phíp, sợi thủy tinh) (oC) |
160 |
160 |
160 |
|
Nhiệt độ dầu lớp trên trong bình dầu chính (oC) |
115 |
115 |
115 |
|
Phụ tải khẩn cấp ngắn hạn *4) |
|||
|
Hệ số dòng điện định mức |
2,0 |
1,8 |
1,5 |
|
Nhiệt độ điểm nóng cuộn dây và các chi tiết kim loại tiếp xúc với vật liệu cách điện bằng nhựa xenlulo (oC) |
*5) |
160 |
160 |
|
Nhiệt độ điểm nóng các phần kim loại khác (tiếp xúc với dầu, giấy phíp, sợi thủy tinh) (oC) |
*5) |
180 |
180 |
|
Nhiệt độ dầu lớp trên trong bình dầu chính (oC) |
*5) |
115 |
115 |
Dòng tải, nhiệt độ điểm nóng của dây quấn, nhiệt độ dầu lớp trên trong bình dầu chính và nhiệt độ của các chi tiết kim loại khác (ngoài dây quấn và đầu nối) không được vượt quá các giá trị quy định tại bảng F.1.
Trường hợp nhiệt độ điểm nóng của dây quấn vượt quá 140 °C, có thể phát sinh bong bóng khí trong dầu, gây giảm độ bền điện môi và đe dọa an toàn vận hành của MBA. Các giới hạn về dòng điện và nhiệt độ không bắt buộc phải áp dụng đồng thời:
- Trong một số trường hợp, dòng điện vận hành cần được giới hạn thấp hơn giá trị nêu trong bảng để bảo đảm nhiệt độ không vượt giới hạn cho phép.
- Ngược lại, nhiệt độ vận hành có thể được giới hạn thấp hơn giá trị quy định nhằm đáp ứng yêu cầu giới hạn về dòng điện.
Ghi chú:
*1): Phân loại MBA theo đặc điểm:
MBA cỡ nhỏ: là MBA không có bộ tản nhiệt, bộ làm mát hoặc ống dẫn gắn kèm, bao gồm cả loại có vỏ máy dập sóng, không phân biệt dung lượng định mức.
MBA cỡ trung: là MBA có công suất định mức lớn nhất đến 100 MVA đối với máy 3 pha hoặc đến 33,3 MVA đối với máy 1 pha.
MBA cỡ lớn: là MBA có công suất định mức lớn nhất trên 100 MVA đối với máy 3 pha hoặc trên 33,3 MVA trở lên đối với máy 1 pha.
*2): Phụ tải trong điều kiện bình thường: là chế độ vận hành trong đó MBA có thể chịu tải lớn hơn định mức hoặc hoạt động ở nhiệt độ môi trường cao hơn trong một phần của chu kỳ tải, nhưng được coi là tương đương với chế độ vận hành định mức ở nhiệt độ môi trường bình thường xét theo tốc độ lão hóa nhiệt tương đối.
Việc này được bảo đảm nhờ các giai đoạn trong chu kỳ có tải hoặc nhiệt độ môi trường thấp hơn, giúp bù lại ảnh hưởng của giai đoạn quá tải tạm thời.
Nguyên tắc này có thể được áp dụng cho kế hoạch vận hành dài hạn, trong đó các chu kỳ có tốc độ lão hóa nhiệt cao được bù bằng các chu kỳ có tốc độ lão hóa nhiệt thấp để duy trì tuổi thọ cách điện tổng thể của máy biến áp.
*3): Phụ tải khẩn cấp kéo dài: là chế độ vận hành trong đó MBA phải chịu tải vượt quá định mức trong thời gian kéo dài do sự cố hoặc ngừng vận hành của một số phần tử trong hệ thống điện, và các phần tử này không thể được khôi phục trước khi MBA đạt đến trạng thái ổn định nhiệt mới ở nhiệt độ cao hơn bình thường.
*4): Phụ tải khẩn cấp ngắn hạn: là chế độ vận hành trong đó MBA chịu tải rất lớn trong thời gian ngắn (dưới 30 phút), phát sinh do một hoặc nhiều sự cố bất thường gây ra sự mất cân bằng nghiêm trọng trong chế độ tải của hệ thống điện.
*5): Đối với MBA cỡ nhỏ không quy định giới hạn cho nhiệt độ dầu lớp trên và nhiệt độ điểm nóng trong chế độ tải khẩn cấp ngắn hạn vì thông thường không thể kiểm soát chính xác thời gian kéo dài của chế độ phụ tải này đối với MBA cỡ nhỏ.
Phụ lục G-1: QUY ĐỊNH MÃ MÀU CỦA DÂY BỌC VÀ CÁP
Bảng G.1: Bảng mã màu tham khảo cho dây bọc và cáp
|
Loại dây sử dụng |
Nhận dạng màu |
|
Dây dẫn bảo vệ |
Xanh lá cây hoặc vàng |
|
Dây trung tính |
Xanh sáng |
|
Mạch điện AC hoặc DC |
Đen |
|
Mạch điều khiển AC |
Đỏ |
|
Mạch điều khiển DC |
Xanh da trời |
|
Mạch điều khiển cho khóa liên động |
Cam |
Phụ lục G-2: ĐIỆN TRỞ 1 CHIỀU LỚN NHẤT CỦA LÕI DÂY DẪN ĐIỆN
Bảng G.2: Điện trở 1 chiều lớn nhất của lõi đồng và nhôm
|
Tiết diện của lõi |
Điện trở 1 chiều lớn nhất của lõi dẫn điện ở 20 oC |
||
|
LÕI ĐỒNG |
LÕI NHÔM |
||
|
Ruột dẫn cấp 1 và cấp 2 |
Ruột dẫn cấp 5 và cấp 6 |
||
|
mm2 |
Ω/km |
Ω/km |
Ω /km |
|
1,5 |
12,1 |
13,3 |
|
|
2,5 |
7,41 |
7,98 |
|
|
4 |
4,61 |
4,95 |
|
|
6 |
3,08 |
3,30 |
|
|
10 |
1,83 |
1,91 |
|
|
16 |
1,15 |
1,21 |
1,91 |
|
25 |
0,727 |
0,780 |
1,20 |
|
35 |
0,524 |
0,554 |
0,868 |
|
50 |
0,387 |
0,386 |
0,641 |
|
70 |
0,268 |
0,272 |
0,443 |
|
95 |
0,193 |
0,206 |
0,320 |
|
120 |
0,153 |
0,161 |
0,253 |
|
150 |
0,124 |
0,129 |
0,206 |
|
185 |
0,0991 |
0,106 |
0,164 |
|
240 |
0,0754 |
0,0801 |
0,125 |
|
300 |
0,0601 |
0,0641 |
0,100 |
|
400 |
0,0470 |
0,0486* |
0,0774 |
|
500 |
0,0366 |
0,0384* |
0,0605 |
|
630 |
0,0283 |
0,0287* |
0,0469 |
|
800 |
0,0221 |
|
0,0364 |
|
1000 |
0,0176 |
|
0,0291 |
Phụ lục G-3: DÒNG ĐIỆN LÂU DÀI CHO PHÉP CỦA CÁP
Dòng điện lâu dài cho phép của đường cáp điện điện áp đến 35 kV theo các phương thức lắp đặt và hệ số điều chỉnh được quy định trong các bảng sau:
Bảng G.3: Dòng điện lâu dài cho phép của cáp hạ áp cách điện PVC và XLPE
|
Tiết diện dây dẫn và chủng loại dây dẫn |
Cáp 2 lõi |
Cáp 3 lõi |
|||||||
|
Trong không khí |
Trong ống trong đất |
Trong không khí |
Trong ống trong đất |
||||||
|
|
|
|
|
||||||
|
Lõi |
mm2 |
PVC |
XLPE |
PVC |
XLPE |
PVC |
XLPE |
PVC |
XLPE |
|
A |
A |
A |
A |
A |
A |
A |
A |
||
|
ĐỒNG |
1.5 |
19.5 |
24 |
22 |
26 |
17.5 |
22 |
18 |
22 |
|
2.5 |
27 |
33 |
29 |
34 |
24 |
30 |
24 |
29 |
|
|
4 |
36 |
45 |
38 |
44 |
32 |
40 |
31 |
37 |
|
|
6 |
46 |
58 |
47 |
56 |
41 |
52 |
39 |
46 |
|
|
10 |
63 |
80 |
63 |
73 |
57 |
71 |
52 |
61 |
|
|
16 |
85 |
107 |
81 |
95 |
76 |
96 |
67 |
79 |
|
|
25 |
112 |
138 |
104 |
121 |
96 |
119 |
86 |
101 |
|
|
35 |
138 |
171 |
125 |
146 |
119 |
147 |
103 |
122 |
|
|
50 |
168 |
209 |
148 |
173 |
144 |
179 |
122 |
144 |
|
|
70 |
213 |
269 |
183 |
213 |
184 |
229 |
151 |
178 |
|
|
95 |
258 |
328 |
216 |
252 |
223 |
278 |
179 |
211 |
|
|
120 |
299 |
382 |
246 |
287 |
259 |
322 |
203 |
240 |
|
|
150 |
344 |
441 |
278 |
324 |
299 |
371 |
230 |
271 |
|
|
185 |
392 |
506 |
312 |
363 |
341 |
424 |
258 |
304 |
|
|
240 |
461 |
599 |
361 |
419 |
403 |
500 |
297 |
351 |
|
|
300 |
530 |
693 |
408 |
474 |
464 |
576 |
336 |
396 |
|
|
NHÔM |
10 |
49 |
62 |
48 |
56 |
44 |
57 |
40 |
47 |
|
16 |
66 |
84 |
62 |
73 |
59 |
76 |
52 |
61 |
|
|
25 |
83 |
101 |
80 |
93 |
73 |
90 |
66 |
78 |
|
|
35 |
103 |
126 |
96 |
112 |
90 |
112 |
80 |
94 |
|
|
50 |
125 |
154 |
113 |
132 |
110 |
136 |
94 |
112 |
|
|
70 |
160 |
198 |
140 |
163 |
140 |
174 |
117 |
138 |
|
|
95 |
195 |
241 |
166 |
193 |
170 |
211 |
138 |
164 |
|
|
120 |
226 |
280 |
189 |
220 |
197 |
245 |
157 |
186 |
|
|
150 |
261 |
324 |
213 |
249 |
227 |
283 |
178 |
210 |
|
|
185 |
298 |
371 |
240 |
279 |
259 |
323 |
200 |
236 |
|
|
240 |
352 |
439 |
277 |
322 |
305 |
382 |
230 |
272 |
|
|
300 |
406 |
508 |
313 |
364 |
351 |
440 |
260 |
308 |
|
GHI CHÚ:
- Nhiệt độ làm việc của lõi: Cách điện PVC: 70 oC, cách điện XLPE: 90 oC
- Nhiệt độ môi trường: Trong không khí: 30 oC, trong đất: 20 oC
- Độ chôn sâu: -0,8 m
- Nhiệt trở suất của đất: 1,5 K.m/W
- Nhiệt trở suất của đất quanh ống: 1,2 K.m/W
Bảng G.4: Dòng điện lâu dài cho phép của cáp hạ áp cách điện PVC
|
Tiết diện dây dẫn và chủng loại dây dẫn |
Phương pháp lắp đặt |
|||||||
|
Cáp 2 lõi |
Cáp 3 lõi |
Bố trí sát nhau |
Bố trí tam giác |
Bố trí sát nhau |
Bố trí ngang |
Bố trí dọc |
||
|
≥ 0,3xD |
≥ 0,3xD |
≥ D |
≥ D |
≥ D |
≥ D |
≥ D |
||
|
Lõi |
mm2 |
A |
A |
A |
A |
A |
A |
A |
|
ĐỒNG |
1.5 |
22 |
18.5 |
- |
- |
- |
- |
- |
|
2.5 |
30 |
25 |
- |
- |
- |
- |
- |
|
|
4 |
40 |
34 |
- |
- |
- |
- |
- |
|
|
6 |
51 |
43 |
- |
- |
- |
- |
- |
|
|
10 |
70 |
60 |
- |
- |
- |
- |
- |
|
|
16 |
94 |
80 |
- |
- |
- |
- |
- |
|
|
25 |
119 |
101 |
131 |
110 |
114 |
146 |
130 |
|
|
35 |
148 |
126 |
162 |
137 |
143 |
181 |
162 |
|
|
50 |
180 |
153 |
196 |
167 |
174 |
219 |
197 |
|
|
70 |
232 |
196 |
251 |
216 |
225 |
281 |
254 |
|
|
95 |
282 |
238 |
304 |
264 |
275 |
341 |
311 |
|
|
120 |
328 |
276 |
352 |
308 |
321 |
396 |
362 |
|
|
150 |
379 |
319 |
406 |
356 |
372 |
456 |
419 |
|
|
185 |
434 |
364 |
463 |
409 |
427 |
521 |
480 |
|
|
240 |
514 |
430 |
546 |
485 |
507 |
615 |
569 |
|
|
300 |
593 |
497 |
629 |
561 |
587 |
709 |
659 |
|
|
400 |
- |
- |
754 |
656 |
689 |
852 |
795 |
|
|
500 |
- |
- |
868 |
749 |
789 |
982 |
920 |
|
|
630 |
- |
- |
1005 |
855 |
905 |
1138 |
1070 |
|
|
NHÔM |
10 |
54 |
46 |
- |
- |
- |
- |
- |
|
16 |
73 |
61 |
- |
- |
- |
- |
- |
|
|
25 |
89 |
78 |
98 |
84 |
87 |
112 |
99 |
|
|
35 |
111 |
96 |
122 |
105 |
109 |
139 |
124 |
|
|
50 |
135 |
117 |
149 |
128 |
133 |
169 |
152 |
|
|
70 |
173 |
150 |
192 |
166 |
173 |
217 |
196 |
|
|
95 |
210 |
183 |
235 |
203 |
212 |
265 |
241 |
|
|
120 |
244 |
212 |
273 |
237 |
247 |
308 |
282 |
|
|
150 |
282 |
245 |
316 |
274 |
287 |
356 |
327 |
|
|
185 |
322 |
280 |
363 |
315 |
330 |
407 |
376 |
|
|
240 |
380 |
330 |
430 |
375 |
392 |
482 |
447 |
|
|
300 |
439 |
381 |
497 |
434 |
455 |
557 |
519 |
|
|
400 |
- |
- |
600 |
526 |
552 |
671 |
629 |
|
|
500 |
- |
- |
694 |
610 |
640 |
775 |
730 |
|
|
630 |
- |
- |
808 |
711 |
746 |
900 |
852 |
|
|
GHI CHÚ: |
- Nhiệt độ làm việc của lõi: Cách điện PVC: 70 oC - Nhiệt độ môi trường: Trong không khí: 30 oC, trong đất: 20 oC - Độ chôn sâu: -0,8 m - Nhiệt trở suất của đất: 1,5 K.m/W; - Nhiệt trở suất của đất quanh ống: 1,2 K.m/W |
Bảng G.5: Dòng điện lâu dài cho phép của cáp hạ áp cách điện XLPE
|
Tiết diện dây dẫn và chủng loại dây dẫn |
Phương pháp lắp đặt |
|||||||
|
Cáp 2 lõi |
Cáp 3 lõi |
Bố trí sát nhau |
Bố trí tam giác |
Bố trí sát nhau |
Bố trí ngang |
Bố trí dọc |
||
|
≥ 0,3xD |
≥ 0,3xD |
≥ D |
≥ D |
≥ D |
≥ D |
≥ D |
||
|
Lõi |
mm2 |
A |
A |
A |
A |
A |
A |
A |
|
ĐỒNG |
1.5 |
26 |
23 |
- |
- |
- |
- |
- |
|
2.5 |
36 |
32 |
- |
- |
- |
- |
- |
|
|
4 |
49 |
42 |
- |
- |
- |
- |
- |
|
|
6 |
63 |
54 |
- |
- |
- |
- |
- |
|
|
10 |
86 |
75 |
- |
- |
- |
- |
- |
|
|
16 |
115 |
100 |
- |
- |
- |
- |
- |
|
|
25 |
149 |
127 |
161 |
135 |
141 |
182 |
161 |
|
|
35 |
185 |
158 |
200 |
169 |
176 |
226 |
201 |
|
|
50 |
225 |
192 |
242 |
207 |
216 |
275 |
246 |
|
|
70 |
289 |
246 |
310 |
268 |
279 |
353 |
318 |
|
|
95 |
352 |
298 |
377 |
328 |
342 |
430 |
389 |
|
|
120 |
410 |
346 |
437 |
383 |
400 |
500 |
454 |
|
|
150 |
473 |
399 |
504 |
444 |
464 |
577 |
527 |
|
|
185 |
542 |
456 |
575 |
510 |
533 |
661 |
605 |
|
|
240 |
641 |
538 |
679 |
607 |
634 |
781 |
719 |
|
|
300 |
741 |
621 |
783 |
703 |
736 |
902 |
833 |
|
|
400 |
- |
- |
940 |
823 |
868 |
1085 |
1008 |
|
|
500 |
- |
- |
1083 |
946 |
998 |
1253 |
1169 |
|
|
630 |
- |
- |
1254 |
1088 |
1151 |
1454 |
1362 |
|
|
NHÔM |
10 |
67 |
58 |
- |
- |
- |
- |
- |
|
16 |
91 |
77 |
- |
- |
- |
- |
- |
|
|
25 |
108 |
97 |
121 |
103 |
107 |
138 |
122 |
|
|
35 |
135 |
120 |
150 |
129 |
135 |
172 |
153 |
|
|
50 |
164 |
146 |
184 |
159 |
165 |
210 |
188 |
|
|
70 |
211 |
187 |
237 |
206 |
215 |
271 |
244 |
|
|
95 |
257 |
227 |
289 |
253 |
264 |
332 |
300 |
|
|
120 |
300 |
263 |
337 |
296 |
308 |
387 |
351 |
|
|
150 |
346 |
304 |
389 |
343 |
358 |
448 |
408 |
|
|
185 |
397 |
347 |
447 |
395 |
413 |
515 |
470 |
|
|
240 |
470 |
409 |
530 |
471 |
492 |
611 |
561 |
|
|
300 |
543 |
471 |
613 |
547 |
571 |
708 |
652 |
|
|
400 |
- |
- |
740 |
663 |
694 |
856 |
792 |
|
|
500 |
- |
- |
856 |
770 |
806 |
991 |
921 |
|
|
630 |
- |
- |
996 |
899 |
942 |
1154 |
1077 |
|
|
GHI CHÚ: |
- Nhiệt độ làm việc của lõi: Cách điện XLPE: 90 oC - Nhiệt độ môi trường: Trong không khí: 30 oC, trong đất: 20 oC - Độ chôn sâu: -0,8 m - Nhiệt trở suất của đất: 1,5 K.m/W; - Nhiệt trở suất của đất quanh ống: 1,2 K.m/W |
Bảng G.6: Dòng điện lâu dài cho phép cáp 1 lõi nhôm và đồng
Cách điện XLPE - 3,6/6(7,2) kV đến 20/35(40,5) kV
|
Tiết diện dây dẫn và chủng loại dây dẫn |
Trực tiếp trong đất |
Trong ống dưới đất |
Trong không khí |
|||||
|
Tam giác |
Cách phẳng |
Tam giác |
Sát nhau |
Tam giác |
Sát nhau |
Cách phẳng |
||
|
|
|
|
|
≥ 0,5D |
≥ 0,5D |
≥ 0,5D |
||
|
Lõi |
mm2 |
A |
A |
A |
A |
A |
A |
A |
|
ĐỒNG |
16 |
109 |
113 |
103 |
104 |
125 |
128 |
150 |
|
25 |
140 |
144 |
132 |
133 |
163 |
167 |
196 |
|
|
35 |
166 |
172 |
157 |
159 |
198 |
203 |
238 |
|
|
50 |
196 |
203 |
186 |
188 |
238 |
243 |
286 |
|
|
70 |
239 |
246 |
227 |
229 |
296 |
303 |
356 |
|
|
95 |
285 |
293 |
271 |
274 |
361 |
369 |
434 |
|
|
120 |
323 |
332 |
308 |
311 |
417 |
426 |
500 |
|
|
150 |
361 |
366 |
343 |
347 |
473 |
481 |
559 |
|
|
185 |
406 |
410 |
387 |
391 |
543 |
550 |
637 |
|
|
240 |
469 |
470 |
447 |
453 |
641 |
647 |
745 |
|
|
300 |
526 |
524 |
504 |
510 |
735 |
739 |
846 |
|
|
400 |
590 |
572 |
564 |
571 |
845 |
837 |
938 |
|
|
NHÔM |
16 |
84 |
88 |
80 |
81 |
97 |
99 |
116 |
|
25 |
108 |
112 |
102 |
103 |
127 |
130 |
153 |
|
|
35 |
129 |
134 |
122 |
123 |
154 |
157 |
185 |
|
|
50 |
152 |
157 |
144 |
146 |
184 |
189 |
222 |
|
|
70 |
186 |
192 |
176 |
178 |
230 |
236 |
278 |
|
|
95 |
221 |
229 |
210 |
213 |
280 |
287 |
338 |
|
|
120 |
252 |
260 |
240 |
242 |
324 |
332 |
391 |
|
|
150 |
281 |
288 |
267 |
271 |
368 |
376 |
440 |
|
|
185 |
317 |
324 |
303 |
307 |
424 |
432 |
504 |
|
|
240 |
367 |
373 |
351 |
356 |
502 |
511 |
593 |
|
|
300 |
414 |
419 |
397 |
402 |
577 |
586 |
677 |
|
|
400 |
470 |
466 |
451 |
457 |
673 |
676 |
769 |
|
|
GHI CHÚ: |
- Nhiệt độ làm việc của lõi: Cách điện XLPE: 90 oC - Nhiệt độ môi trường: Trong không khí: 30 oC, trong đất: 20 oC - Độ chôn sâu: -0,8 m - Nhiệt trở suất của đất: 1,5 K.m/W - Nhiệt trở suất của đất quanh ống: 1,2 K.m/W |
Bảng G.7: Dòng điện lâu dài cho phép cáp 1 lõi nhôm và đồng
Cách điện EPR – 3,6/6(7,2) kV đến 20/35(40,5) kV
|
Tiết diện dây dẫn và chủng loại dây dẫn |
Trực tiếp trong đất |
Trong ống dưới đất |
Trong không khí |
|||||
|
Tam giác |
Cách phẳng |
Tam giác |
Sát nhau |
Tam giác |
Sát nhau |
Cách phẳng |
||
|
|
|
|
|
≥ 0,5D |
≥ 0,5D |
≥ 0,5D |
||
|
Lõi |
mm2 |
A |
A |
A |
A |
A |
A |
A |
|
ĐỒNG |
16 |
106 |
109 |
99 |
100 |
116 |
119 |
138 |
|
25 |
136 |
140 |
128 |
129 |
153 |
156 |
181 |
|
|
35 |
162 |
167 |
153 |
154 |
186 |
190 |
221 |
|
|
50 |
192 |
198 |
181 |
183 |
224 |
229 |
266 |
|
|
70 |
234 |
242 |
222 |
224 |
280 |
287 |
334 |
|
|
95 |
280 |
289 |
266 |
269 |
343 |
352 |
409 |
|
|
120 |
319 |
329 |
303 |
306 |
398 |
407 |
474 |
|
|
150 |
357 |
369 |
341 |
344 |
454 |
465 |
540 |
|
|
185 |
403 |
417 |
386 |
390 |
522 |
534 |
621 |
|
|
240 |
467 |
484 |
449 |
454 |
619 |
634 |
736 |
|
|
300 |
526 |
545 |
509 |
515 |
712 |
728 |
843 |
|
|
400 |
597 |
618 |
580 |
588 |
825 |
843 |
977 |
|
|
NHÔM |
16 |
82 |
84 |
77 |
78 |
90 |
92 |
107 |
|
25 |
105 |
109 |
99 |
100 |
119 |
121 |
141 |
|
|
35 |
126 |
130 |
118 |
120 |
144 |
147 |
171 |
|
|
50 |
149 |
153 |
140 |
142 |
174 |
178 |
207 |
|
|
70 |
182 |
188 |
172 |
174 |
218 |
223 |
259 |
|
|
95 |
217 |
224 |
206 |
208 |
266 |
273 |
317 |
|
|
120 |
247 |
256 |
235 |
238 |
309 |
317 |
368 |
|
|
150 |
277 |
287 |
264 |
267 |
352 |
361 |
419 |
|
|
185 |
314 |
325 |
300 |
303 |
406 |
417 |
484 |
|
|
240 |
364 |
377 |
350 |
354 |
483 |
495 |
575 |
|
|
300 |
411 |
426 |
397 |
401 |
556 |
570 |
659 |
|
|
400 |
471 |
487 |
456 |
462 |
651 |
667 |
770 |
|
GHI CHÚ:
- Nhiệt độ làm việc của lõi: Cách điện EPR: 90 oC
- Nhiệt độ môi trường: Trong không khí: 30 oC, trong đất: 20 oC
- Độ chôn sâu: -0,8 m
- Nhiệt trở suất của đất: 1,5 K.m/W
- Nhiệt trở suất của đất quanh ống: 1,2 K.m/W
Bảng G.8: Dòng điện lâu dài cho phép cáp 3 lõi nhôm và đồng
Cách điện XLPE – 3,6/6(7,2) kV – 20/35(40,5 kV)
|
Tiết diện dây dẫn và Chủng loại dây dẫn |
Không có vỏ đai thép bảo vệ |
Có vỏ đai thép bảo vệ |
|||||
|
Trực tiếp trong đất |
Trong ống trong đất |
Trong Không khí |
Trực tiếp trong đất |
Trong ống trong đất |
Trong Không khí |
||
|
|
|
≥ 0,5xD |
|
|
≥ 0,5xD |
||
|
Lõi |
mm2 |
A |
A |
A |
A |
A |
A |
|
ĐỒNG |
16 |
101 |
87 |
109 |
101 |
88 |
110 |
|
25 |
129 |
112 |
142 |
129 |
112 |
143 |
|
|
35 |
153 |
133 |
170 |
154 |
134 |
172 |
|
|
50 |
181 |
158 |
204 |
181 |
158 |
205 |
|
|
70 |
221 |
193 |
253 |
220 |
194 |
253 |
|
|
95 |
262 |
231 |
304 |
263 |
232 |
307 |
|
|
120 |
298 |
264 |
351 |
298 |
264 |
352 |
|
|
150 |
334 |
297 |
398 |
332 |
296 |
397 |
|
|
185 |
377 |
336 |
455 |
374 |
335 |
453 |
|
|
240 |
434 |
390 |
531 |
431 |
387 |
529 |
|
|
300 |
489 |
441 |
606 |
482 |
435 |
599 |
|
|
400 |
553 |
501 |
696 |
541 |
492 |
683 |
|
|
NHÔM |
16 |
78 |
67 |
84 |
78 |
68 |
85 |
|
25 |
100 |
87 |
110 |
100 |
87 |
111 |
|
|
35 |
119 |
103 |
132 |
119 |
104 |
133 |
|
|
50 |
140 |
122 |
158 |
140 |
123 |
159 |
|
|
70 |
171 |
150 |
196 |
171 |
150 |
196 |
|
|
95 |
203 |
179 |
236 |
204 |
180 |
238 |
|
|
120 |
232 |
205 |
273 |
232 |
206 |
274 |
|
|
150 |
260 |
231 |
309 |
259 |
231 |
309 |
|
|
185 |
294 |
262 |
355 |
293 |
262 |
354 |
|
|
240 |
340 |
305 |
415 |
338 |
304 |
415 |
|
|
300 |
384 |
346 |
475 |
380 |
343 |
472 |
|
|
400 |
438 |
398 |
552 |
432 |
393 |
545 |
|
GHI CHÚ:
- Nhiệt độ làm việc của lõi: Cách điện XLPE: 90 oC
- Nhiệt độ môi trường: Trong không khí: 30 oC, trong đất: 20 oC
- Độ chôn sâu: -0,8 m
- Nhiệt trở suất của đất: 1,5 K.m/W
- Nhiệt trở suất của đất quanh ống: 1,2 K.m/W
Bảng G.9: Dòng điện lâu dài cho phép cáp 3 lõi nhôm và đồng
Cách điện EPR – 3.6/6(7,2) kV – 20/35(40,5 kV)
|
Tiết diện dây dẫn và Chủng loại dây dẫn |
Không có vỏ đai thép bảo vệ |
Có vỏ đai thép bảo vệ |
|||||
|
Trực tiếp trong đất |
Trong ống trong đất |
Trong Không khí |
Trực tiếp trong đất |
Trong ống trong đất |
Trong Không khí |
||
|
|
|
≥ 0,5xD |
|
|
≥ 0,5xD |
||
|
Lõi |
mm2 |
A |
A |
A |
A |
A |
A |
|
ĐỒNG |
16 |
98 |
84 |
104 |
98 |
85 |
104 |
|
25 |
125 |
109 |
135 |
125 |
109 |
136 |
|
|
35 |
150 |
130 |
164 |
150 |
131 |
164 |
|
|
50 |
176 |
154 |
195 |
177 |
155 |
197 |
|
|
70 |
216 |
189 |
243 |
216 |
190 |
244 |
|
|
95 |
258 |
227 |
296 |
257 |
227 |
296 |
|
|
120 |
292 |
258 |
339 |
292 |
259 |
339 |
|
|
150 |
328 |
291 |
385 |
327 |
291 |
385 |
|
|
185 |
371 |
330 |
441 |
368 |
328 |
439 |
|
|
240 |
429 |
384 |
519 |
424 |
381 |
513 |
|
|
300 |
482 |
434 |
590 |
475 |
429 |
583 |
|
|
400 |
545 |
494 |
678 |
534 |
485 |
666 |
|
|
NHÔM |
16 |
76 |
65 |
80 |
76 |
66 |
81 |
|
25 |
97 |
84 |
105 |
97 |
85 |
105 |
|
|
35 |
116 |
101 |
127 |
116 |
101 |
127 |
|
|
50 |
137 |
119 |
151 |
137 |
120 |
153 |
|
|
70 |
167 |
147 |
189 |
168 |
147 |
190 |
|
|
95 |
200 |
176 |
229 |
200 |
176 |
230 |
|
|
120 |
227 |
201 |
263 |
227 |
201 |
264 |
|
|
150 |
255 |
226 |
299 |
254 |
226 |
300 |
|
|
185 |
289 |
257 |
343 |
288 |
257 |
343 |
|
|
240 |
335 |
300 |
406 |
332 |
299 |
402 |
|
|
300 |
378 |
340 |
462 |
374 |
338 |
459 |
|
|
400 |
432 |
392 |
538 |
426 |
387 |
530 |
|
GHI CHÚ:
- Nhiệt độ làm việc của lõi: Cách điện EPR: 90 oC
- Nhiệt độ môi trường: Trong không khí: 30 oC, trong đất: 20 oC
- Độ chôn sâu: -0,8 m
- Nhiệt trở suất của đất: 1,5 K.m/W
- Nhiệt trở suất của đất quanh ống: 1,2 K.m/W
Phụ lục G-4: HỆ SỐ ĐIỀU CHỈNH DÒNG ĐIỆN LÂU DÀI CHO PHÉP CỦA CÁP
THEO ĐIỀU KIỆN LẮP ĐẶT
Bảng G.10: Hệ số điều chỉnh khi lắp đặt cáp trong không khí
|
Cách điện |
Nhiệt độ lõi |
Nhiệt độ môi trường (oC) |
||||||||
|
20 |
25 |
30 |
35 |
40 |
45 |
50 |
55 |
60 |
||
|
XLPE, EPR |
90 0C |
1,08 |
1,04 |
1,00 |
0,96 |
0.91 |
0,87 |
0,82 |
0,76 |
0,71 |
|
PVC |
70 0C |
1,12 |
1,06 |
1,00 |
0,94 |
0,87 |
0,79 |
0,71 |
0,61 |
0,50 |
Bảng G.11: Hệ số điều chỉnh khi lắp đặt cáp trong đất
|
Cách điện |
Nhiệt độ lõi |
Nhiệt độ môi trường (oC) |
||||||||
|
10 |
15 |
20 |
25 |
30 |
35 |
40 |
45 |
50 |
||
|
XLPE, EPR |
90 0C |
1,07 |
1,04 |
1,00 |
0,96 |
0,93 |
0,89 |
0,85 |
0,80 |
0,76 |
|
PVC |
70 0C |
1,10 |
1,05 |
1,00 |
0,95 |
0,89 |
0,84 |
0,77 |
0,71 |
0,63 |
Bảng G.12: Hệ số điều chỉnh theo độ sâu lắp đặt cáp trong đất
|
Độ sâu lắp đặt (m) |
Cáp 1 lõi |
Cáp 3 lõi |
|
|
≤ 185 mm2 |
>185 mm2 |
||
|
0,50 |
1,04 |
1,06 |
1,04 |
|
0,60 |
1,02 |
1,04 |
1,03 |
|
0,80 |
1,00 |
1,00 |
1,00 |
|
1,00 |
0,98 |
0,97 |
0,98 |
|
1,25 |
0,96 |
0,95 |
0,96 |
|
1,50 |
0,95 |
0,93 |
0,95 |
|
1,75 |
0,94 |
0,91 |
0,94 |
|
2,00 |
0,93 |
0,90 |
0,93 |
|
2,50 |
0,91 |
0,88 |
0,91 |
|
3,00 |
0,90 |
0,86 |
0,90 |
Phụ lục G-5: DÒNG NGẮN MẠCH CHO PHÉP CỦA CÁP
- Dòng ngắn mạch cho phép của cáp lõi đồng cách điện bằng XLPE:

- Dòng ngắn mạch cho phép của cáp lõi nhôm cách điện bằng XLPE:

Trong đó:
Is : dòng ngắn mạch (kA)
S : tiết diện lõi (mm2)
T1 : nhiệt độ vân hành (90 oC)
T2 : nhiệt độ ngắn mạch (250 oC)
t : thời gian ngắn mạch (s)
Phụ lục G-6: BÁN KÍNH UỐN CONG CHO PHÉP CỦA CÁP
|
Chiều dày cách điện (mm) |
Bán kính cong nhỏ nhất bằng bội số của đường kính (lần) |
||
|
Đường kính ngoài của cáp |
(mm) |
||
|
Đến 25,4 |
>25,4 ÷ 50,8 |
>50,8 |
|
|
Đến 3,9 |
4 |
5 |
6 |
|
>3,9 ÷ 7,9 |
5 |
6 |
7 |
|
>7,9 |
- |
7 |
8 |
Phụ lục G-7: CÔNG TRÌNH CÁP
|
Hầm cáp
|
Giếng cáp
|
|
Buồng cáp
|
Buồng cáp
|
|
Mương cáp
|
Hành lang cáp
|
|
Tầng cáp
|
Máng cáp
|
|
Sàn kép
|
Giá đỡ cáp
|
|
Ống cáp
|
Khối cáp
|
Phụ lục G-8: CÁP ĐIỆN VẶN XOẮN HẠ ÁP
Bảng G.16: Cáp vặn xoắn ABC bọc XLPE điện áp 0,6/1 kV
|
Thông số |
Đơn vị |
Tiết diện danh định của dây dẫn (mm2) |
||||||||
|
16 |
25 |
35 |
50 |
70 |
95 |
120 |
150 |
|||
|
Số ruột |
|
2-4 |
2-3-4 |
2-3-4 |
2-3-4 |
2-4 |
2-4 |
4 |
4 |
|
|
Loại dây |
|
Tiết diện tròn, bện và ép chặt, vật liệu nhôm |
||||||||
|
Số lượng sợi nhôm trong 1 ruột dây dẫn |
sợi |
7 |
7 |
7 |
7 |
19 |
19 |
19 |
19 |
|
|
Đường kính lớn nhất 1 ruột |
mm |
4,8 |
6,1 |
7,2 |
8,4 |
10,1 |
11,9 |
13,5 |
14,9 |
|
|
Đường kính lớn nhất của vỏ cách điện |
mm |
7,9 |
9,2 |
10,3 |
11,9 |
13,6 |
15,9 |
17,5 |
18,9 |
|
|
Chiều dày trung bình của vỏ cách điện |
mm |
1,3 |
1,3 |
1,3 |
1,5 |
1,5 |
1,7 |
1,7 |
1,7 |
|
|
Đường kính 1 cáp |
2 ruột |
mm |
15,8 |
18,4 |
20,6 |
23,8 |
27,2 |
31,8 |
- |
- |
|
3 ruột |
- |
19,9 |
22,2 |
25,7 |
- |
- |
- |
- |
||
|
4 ruột |
19,1 |
22,2 |
24,9 |
28,7 |
32,8 |
38,4 |
42,2 |
45,6 |
||
|
Điện trở một chiều lớn nhất của dây dẫn ở 20 oC |
W/km |
1,91 |
1,20 |
0,868 |
0,641 |
0,443 |
0,320 |
0,253 |
0,206 |
|
|
K/lượng gần đúng |
2 ruột |
Kg/km |
140 |
200 |
260 |
350 |
480 |
680 |
- |
- |
|
3 ruột |
- |
300 |
390 |
530 |
- |
- |
- |
- |
||
|
4 ruột |
280 |
400 |
520 |
700 |
960 |
1350 |
1660 |
2020 |
||
|
Lực kéo đứt |
2 ruột |
kN |
4,4 |
7,0 |
9,8 |
14,0 |
19,6 |
26,6 |
- |
- |
|
3 ruột |
- |
10,5 |
14,7 |
21,0 |
- |
- |
- |
- |
||
|
4 ruột |
8,8 |
14,0 |
19,6 |
28,0 |
39,2 |
53,2 |
67,2 |
84,0 |
||
|
Dòng tải cho phép |
2 ruột |
A*) |
78 |
105 |
125 |
150 |
185 |
230 |
- |
- |
|
3 ruột |
- |
97 |
120 |
140 |
- |
- |
- |
- |
||
|
4 ruột |
74 |
97 |
120 |
140 |
175 |
215 |
250 |
280 |
||
Ghi chú: (*) Nhiệt độ môi trường tính toán: 30 oC
Phụ lục G-9: CÁP VẶN XOẮN VÀ CÁP BỌC TRUNG ÁP
Bảng G.17: Cáp trung áp vặn xoắn bọc XLPE cho ĐDK điện áp 6,35/11(12) kV
|
Tiết diện |
Vật liệu nhôm Đường kính Lõi |
Chiều dày cách điện |
Chiều dày nhỏ nhất của lớp bán dẫn cách điện |
Chiều dày vỏ bọc |
Điện trở DC ở 20 0C |
Cấu trúc chịu lực |
Lực kéo đứt nhỏ nhất |
Khối lượng |
Dòng tải cho phép (40 0C) |
|
mm2 |
mm |
mm |
mm |
mm |
Ω/km |
số sợi/mm |
kN |
kg/km |
A |
|
35 |
6,9 |
3,4 |
0,6 |
1,8 |
0,868 |
7/2,0 |
27 |
2310 |
155 |
|
50 |
8,2 |
3,4 |
0,6 |
1,8 |
0,641 |
19/2,0 |
74 |
2850 |
185 |
|
70 |
9,8 |
3,4 |
0,6 |
1,8 |
0,443 |
19/2,0 |
74 |
3490 |
230 |
|
95 |
11,4 |
3,4 |
0,6 |
1,8 |
0,320 |
19/2,0 |
74 |
4090 |
280 |
|
120 |
12,8 |
3,4 |
0,6 |
1,8 |
0,253 |
19/2,0 |
74 |
4430 |
325 |
|
150 |
14,2 |
3,4 |
0,6 |
1,8 |
0,206 |
19/2,0 |
74 |
4670 |
370 |
|
185 |
15,8 |
3,4 |
0,6 |
1,9 |
0,164 |
19/2,0 |
74 |
5220 |
425 |
Bảng G.18: Cáp trung áp vặn xoắn bọc XLPE cho ĐDK điện áp 12,7/22(24) kV
|
Tiết diện |
Vật liệu nhôm Đường kính lõi |
Chiều dày cách điện |
Chiều dày nhỏ nhất của lớp bán dẫn cách điện |
Chiều dày vỏ bọc |
Điện trở DC ở 20 0C |
Cấu trúc chịu lực |
Lực kéo đứt nhỏ nhất |
Khối lượng |
Dòng tải cho phép (40 oC) |
|
mm2 |
mm |
mm |
mm |
mm |
Ω/km |
số sợi/mm |
kN |
kg/km |
A |
|
35 |
6,9 |
5,5 |
0,6 |
1,8 |
0.868 |
7/2,0 |
27 |
2310 |
150 |
|
50 |
8,2 |
5,5 |
0,6 |
1,8 |
0.641 |
19/2,0 |
74 |
2850 |
185 |
|
70 |
9,8 |
5,5 |
0,6 |
1,8 |
0.443 |
19/2,0 |
74 |
3490 |
230 |
|
95 |
11,4 |
5,5 |
0,6 |
1,8 |
0.320 |
19/2,0 |
74 |
4090 |
280 |
|
120 |
12,8 |
5,5 |
0,6 |
1,9 |
0.253 |
19/2,0 |
74 |
4430 |
320 |
|
150 |
14,2 |
5,5 |
0,6 |
2,0 |
0.206 |
19/2,0 |
74 |
4670 |
365 |
|
185 |
15,8 |
5,5 |
0,6 |
2,0 |
0.164 |
19/2,0 |
74 |
5220 |
415 |
Bảng G.19: Cáp bọc cách điện XLPE cho ĐDK điện áp 24 kV
|
Dây dẫn |
Chiều dày cách điện |
Điện áp thử |
Đường kính cáp |
Khối lượng |
||
|
Tiết diện |
Vật liệu |
Lực kéo đứt |
||||
|
mm2 |
|
kN |
mm |
kV |
mm |
Kg/km |
|
Lựa chọn độ dày cách điện 2,5 mm |
||||||
|
25 |
Đồng |
9.5 |
2.5 |
22 |
12 |
290 |
|
35 |
Đồng |
13.8 |
2.5 |
22 |
13 |
400 |
|
50 |
Đồng |
17.5 |
2.5 |
22 |
15 |
540 |
|
50 |
Nhôm |
14.7 |
2.5 |
22 |
14 |
220 |
|
70 |
Nhôm |
20.6 |
2.5 |
22 |
16 |
280 |
|
95 |
Nhôm |
27.9 |
2.5 |
22 |
17 |
360 |
|
120 |
Nhôm |
35.3 |
2.5 |
22 |
19 |
440 |
|
150 |
Nhôm |
44.1 |
2.5 |
22 |
20 |
520 |
|
185 |
Nhôm |
54.4 |
2.5 |
22 |
22 |
640 |
|
240 |
Nhôm |
70.6 |
2.5 |
22 |
24 |
810 |
|
Lựa chọn độ dày cách điện 3,5 mm |
||||||
|
25 |
Đồng |
9.5 |
3.5 |
22 |
14 |
330 |
|
35 |
Đồng |
13.8 |
3.5 |
22 |
15 |
440 |
|
50 |
Đồng |
17.5 |
3.5 |
22 |
17 |
580 |
|
50 |
Nhôm |
14.7 |
3.5 |
22 |
16 |
260 |
|
70 |
Nhôm |
20.6 |
3.5 |
22 |
17 |
330 |
|
95 |
Nhôm |
27.9 |
3.5 |
22 |
19 |
420 |
|
120 |
Nhôm |
35.3 |
3.5 |
22 |
21 |
500 |
|
150 |
Nhôm |
44.1 |
3.5 |
22 |
22 |
580 |
|
185 |
Nhôm |
54.4 |
3.5 |
22 |
24 |
700 |
|
240 |
Nhôm |
70.6 |
3.5 |
22 |
26 |
880 |
|
Lựa chọn độ dày cách điện 5,5 mm |
||||||
|
25 |
Đồng |
9.5 |
5.5 |
22 |
18 |
420 |
|
35 |
Đồng |
13.8 |
5.5 |
22 |
19 |
530 |
|
50 |
Đồng |
17.5 |
5.5 |
22 |
21 |
690 |
|
50 |
Nhôm |
14.7 |
5.5 |
22 |
20 |
360 |
|
70 |
Nhôm |
20.6 |
5.5 |
22 |
22 |
440 |
|
95 |
Nhôm |
27.9 |
5.5 |
22 |
23 |
540 |
|
120 |
Nhôm |
35.3 |
5.5 |
22 |
25 |
630 |
|
150 |
Nhôm |
44.1 |
5.5 |
22 |
26 |
720 |
|
185 |
Nhôm |
54.4 |
5.5 |
22 |
28 |
850 |
|
240 |
Nhôm |
70.6 |
5.5 |
22 |
30 |
1,040 |
Bảng G.20: Cáp 6/10(12) kV cách điện XLPE - 1 lõi
|
Tiết diện |
Đường kính lõi |
Chiều dày cách điện |
Chiều dày bọc trong |
Đường kính sợi giáp |
Chiều dày băng giáp |
Đường kính cáp gần đúng |
Khối lượng lõi ruột đồng |
Khối lượng lõi ruột nhôm |
Chiều dài đóng gói |
||||||||||||
|
GN |
2GN |
GN |
2GN |
KG |
GN |
2GN |
KG |
GN |
2GN |
KG |
GN |
2GN |
KG |
GN |
2GN |
KG |
GN |
2GN |
|||
|
mm2 |
mm |
mm |
mm |
mm |
mm |
mm |
mm |
mm |
mm |
mm |
mm |
mm |
kg/k |
kg/k |
kg/k |
kg/k |
kg/k |
kg/k |
m |
m |
m |
|
m |
m |
m |
m |
m |
m |
||||||||||||||||
|
25 |
5,9 |
3,4 |
1,2 |
- |
1,6 |
- |
1,5 |
1,8 |
- |
18 |
24 |
- |
480 |
820 |
- |
330 |
660 |
- |
100 0 |
100 0 |
- |
|
35 |
6,9 |
3,4 |
1,2 |
- |
1,6 |
- |
1,6 |
1,8 |
- |
19 |
25 |
- |
600 |
940 |
- |
390 |
730 |
- |
100 0 |
100 0 |
- |
|
50 |
8,0 |
3,4 |
1,2 |
1,2 |
1,6 |
0,5 |
1,6 |
1,8 |
1,8 |
20 |
26 |
24 |
730 |
109 0 |
970 |
450 |
810 |
690 |
100 0 |
100 0 |
100 0 |
|
|
|
|
|
|
|
|
|
|
|
|
|
|
|
135 |
121 |
|
|
|
100 |
100 |
100 |
|
70 |
9,8 |
3,4 |
1,2 |
1,2 |
1,6 |
0,5 |
1,7 |
1,9 |
1,8 |
22 |
28 |
26 |
960 |
0 |
0 |
550 |
940 |
800 |
0 |
0 |
0 |
|
95 |
11,4 |
3,4 |
1,2 |
1,2 |
1,6 |
0,5 |
1,7 |
1,9 |
1,8 |
24 |
30 |
28 |
123 |
164 |
151 |
650 |
107 |
940 |
100 |
100 |
100 |
|
0 |
0 |
0 |
0 |
0 |
0 |
0 |
|||||||||||||||
|
120 |
12,8 |
3,4 |
1,2 |
1,2 |
1,6 |
0,5 |
1,8 |
2,0 |
1,9 |
25 |
32 |
29 |
149 |
200 |
177 |
760 |
127 |
105 |
100 |
100 |
100 |
|
0 |
0 |
0 |
0 |
0 |
0 |
0 |
0 |
||||||||||||||
|
150 |
14,2 |
3,4 |
1,2 |
1,2 |
2,0 |
0,5 |
1,8 |
2,0 |
1,9 |
27 |
34 |
31 |
176 |
232 |
208 |
860 |
142 |
118 |
100 |
100 |
100 |
|
0 |
0 |
0 |
0 |
0 |
0 |
0 |
0 |
||||||||||||||
|
|
|
|
|
|
|
|
|
|
|
|
|
|
214 |
271 |
246 |
101 |
158 |
134 |
|
|
|
|
185 |
15,8 |
3,4 |
1,2 |
1,2 |
2,0 |
0,5 |
1,9 |
2,1 |
2,0 |
29 |
35 |
33 |
0 |
0 |
0 |
0 |
0 |
0 |
500 |
500 |
500 |
|
|
|
|
|
|
|
|
|
|
|
|
|
|
272 |
334 |
307 |
124 |
186 |
159 |
|
|
|
|
240 |
18,1 |
3,4 |
1,2 |
1,2 |
2,0 |
0,5 |
2,0 |
2,2 |
2,1 |
31 |
38 |
35 |
0 |
0 |
0 |
0 |
0 |
0 |
500 |
500 |
500 |
|
|
|
|
|
|
|
|
|
|
|
|
|
|
332 |
400 |
371 |
146 |
214 |
185 |
|
|
|
|
300 |
20,4 |
3,4 |
1,2 |
1,2 |
2,0 |
0,5 |
2,0 |
2,3 |
2,2 |
34 |
40 |
38 |
0 |
0 |
0 |
0 |
0 |
0 |
500 |
500 |
500 |
|
|
|
|
|
|
|
|
|
|
|
|
|
|
416 |
506 |
460 |
178 |
268 |
223 |
|
|
|
|
400 |
23,2 |
3,4 |
1,2 |
1,2 |
2,0 |
0,5 |
2,1 |
2,4 |
2,3 |
37 |
45 |
41 |
500 |
500 |
500 |
||||||
|
|
|
|
|
0 |
0 |
0 |
0 |
0 |
0 |
|
|
|
|||||||||
|
500 |
26,3 |
3,4 |
1,3 |
1,3 |
2,0 |
0,5 |
2,2 |
2,5 |
2,4 |
41 |
49 |
46 |
530 0 |
630 0 |
580 0 |
226 0 |
324 0 |
274 0 |
500 |
500 |
500 |
|
630 |
30,2 |
3,4 |
1,4 |
- |
2,5 |
- |
2,3 |
2,6 |
- |
45 |
53 |
- |
673 0 |
783 0 |
- |
280 0 |
387 0 |
- |
500 |
500 |
- |
|
800 |
34,0 |
3,4 |
1,4 |
- |
2,5 |
- |
2,5 |
2,7 |
- |
50 |
58 |
- |
846 0 |
965 0 |
- |
341 0 |
456 0 |
- |
500 |
500 |
- |
|
1000 |
38,7 |
3,4 |
1,6 |
- |
2,5 |
- |
2,6 |
2,9 |
- |
52 |
65 |
- |
108 00 |
120 00 |
- |
441 0 |
560 0 |
- |
250 |
250 |
- |
Ghi chú: KG - không có giáp GN - Giáp sợi nhôm 2GN - Hai giáp băng nhôm
Bảng G.21: Cáp 6/10(12) kV cách điện XLPE - 3 lõi
|
Tiết diện |
Đường kính lõi |
Chiều dày cách điện |
Chiều dày bọc trong |
Đường kính sợi giáp |
Chiều dày băng giáp |
Đường kính cáp gần đúng |
Khối lượng lõi ruột đồng |
Khối lượng lõi ruột nhôm |
Chiều dài đóng gói |
||||||||||||
|
GT |
2GT |
GT |
2GT |
KG |
GT |
2GT |
KG |
GT |
2GT |
KG |
GT |
2G T |
KG |
GT |
2GT |
KG |
GT |
2GT |
|||
|
mm2 |
mm |
mm |
m |
m |
m |
m |
mm |
mm |
mm |
mm |
mm |
mm |
kg/ |
kg/ |
kg/ |
kg/ |
kg/ |
kg/ |
m |
m |
m |
|
m |
m |
m |
m |
km |
km |
km |
km |
km |
km |
||||||||||||
|
|
|
|
1, |
|
2, |
|
|
|
|
|
|
|
163 |
362 |
244 |
117 |
315 |
|
|
|
|
|
25 |
5,9 |
3,4 |
3 |
1,3 |
5 |
0,5 |
2,2 |
2,5 |
2,4 |
36 |
44 |
41 |
0 |
0 |
0 |
0 |
0 |
1980 |
500 |
500 |
500 |
|
|
|
|
1 |
|
2 |
|
|
|
|
|
|
|
202 |
408 |
286 |
138 |
344 |
|
|
|
|
|
35 |
6,9 |
3,4 |
3 |
1,3 |
5 |
0,5 |
2,3 |
2,5 |
2,4 |
38 |
46 |
43 |
0 |
0 |
0 |
0 |
|
2220 |
500 |
500 |
500 |
|
|
|
|
1 |
|
2 |
|
|
|
|
|
|
|
243 |
465 |
335 |
158 |
380 |
|
|
|
|
|
50 |
8,0 |
3,4 |
4 |
1,4 |
5 |
0,5 |
2,4 |
2,6 |
2,6 |
41 |
49 |
45 |
0 |
0 |
0 |
0 |
|
2510 |
500 |
500 |
500 |
|
|
|
|
1, |
|
2, |
|
|
|
|
|
|
|
320 |
564 |
422 |
195 |
443 |
|
|
|
|
|
70 |
9,8 |
3,4 |
4 |
1,4 |
5 |
0,5 |
2,5 |
2,8 |
2,7 |
45 |
53 |
49 |
0 |
0 |
0 |
0 |
|
2980 |
500 |
500 |
500 |
|
|
|
|
1 |
|
2 |
|
|
|
|
|
|
|
410 |
675 |
522 |
236 |
501 |
|
|
|
|
|
95 |
11,4 |
3,4 |
5 |
1,5 |
5 |
0,5 |
2,6 |
2,9 |
2,8 |
49 |
57 |
53 |
0 |
0 |
0 |
0 |
0 |
3470 |
500 |
500 |
500 |
|
|
|
|
1, |
|
2, |
|
|
|
|
|
|
|
488 |
767 |
606 |
268 |
547 |
|
|
|
|
|
120 |
12,8 |
3,4 |
6 |
1,6 |
5 |
0,5 |
2,7 |
3,0 |
2,9 |
52 |
60 |
57 |
0 |
0 |
0 |
0 |
0 |
3870 |
500 |
500 |
500 |
|
|
|
|
1, |
|
2, |
|
|
|
|
|
|
|
581 |
874 |
706 |
309 |
603 |
|
|
|
|
|
150 |
14,2 |
3,4 |
6 |
1,6 |
5 |
0,5 |
2,8 |
3,1 |
3,0 |
55 |
63 |
60 |
0 |
0 |
0 |
0 |
|
4350 |
500 |
500 |
500 |
|
|
|
|
1, |
|
2, |
|
|
|
|
|
|
|
702 |
101 |
839 |
361 |
676 |
|
|
|
|
|
185 |
15,8 |
3,4 |
7 |
1,7 |
5 |
0,5 |
2,9 |
3,2 |
3,1 |
59 |
67 |
64 |
0 |
70 |
0 |
0 |
|
4980 |
500 |
250 |
250 |
|
|
|
|
1, 7 |
|
3, 2 |
|
|
|
|
|
|
|
886 |
132 |
104 |
437 |
876 |
|
|
|
|
|
240 |
18,1 |
3,4 |
1,8 |
0,5 |
3,1 |
3,4 |
3,3 |
64 |
75 |
70 |
0 |
40 |
20 |
0 |
0 |
5940 |
250 |
250 |
250 |
||
|
|
|
|
1, |
|
3, |
|
|
|
|
|
|
|
108 |
156 |
125 |
523 |
100 |
|
|
|
|
|
300 |
20,4 |
3,4 |
9 |
1,9 |
2 |
0,5 |
3,3 |
3,6 |
3,5 |
70 |
80 |
75 |
60 |
40 |
90 |
0 |
00 |
6950 |
250 |
250 |
250 |
|
|
|
|
2, |
|
3, |
|
|
|
|
|
|
|
135 |
188 |
163 |
637 |
116 |
|
|
|
|
|
400 |
23,2 |
3,4 |
2,0 |
0,8 |
3,5 |
3,8 |
3,7 |
76 |
87 |
83 |
9170 |
250 |
250 |
250 |
|||||||
|
|
0 |
2 |
|
|
|
80 |
70 |
60 |
0 |
70 |
|
|
|
|
|||||||
Ghi chú: KG - không có giáp GT - Giáp sợi thép 2GT - Hai giáp băng thép
Bảng G.22: Cáp 12,7/22(24) kV cách điện XLPE - 1 lõi
|
Tiết diện |
Đường kính lõi |
Chiều dày cách điện |
Chiều dày bọc trong |
Đường kính sợi giáp |
Chiều dày băng giáp |
Đường kính cáp gần đúng |
Khối lượng lõi ruột đồng |
Khối lượng lõi ruột nhôm |
Chiều dài đóng gói |
||||||||||||
|
GN |
2GN |
G N |
2GN |
KG |
GN |
2GN |
KG |
GN |
2GN |
KG |
GN |
2GN |
KG |
GN |
2GN |
KG |
GN |
2GN |
|||
|
mm2 |
mm |
mm |
m |
mm |
m |
mm |
mm |
mm |
mm |
mm |
mm |
mm |
kg/k |
kg/k |
kg/k |
kg/k |
kg/k |
kg/k |
m |
m |
m |
|
m |
m |
m |
m |
m |
m |
m |
m |
||||||||||||||
|
|
|
|
|
|
|
|
|
|
|
|
|
|
|
115 |
102 |
|
|
|
100 |
100 |
100 |
|
35 |
6,9 |
5,5 |
1,2 |
1,2 |
1,6 |
0,5 |
1,7 |
1,9 |
1,8 |
23 |
29 |
27 |
750 |
0 |
0 |
540 |
940 |
810 |
0 |
0 |
0 |
|
|
|
|
|
|
|
|
|
|
|
|
|
|
|
132 |
117 |
|
104 |
|
100 |
100 |
100 |
|
50 |
8,0 |
5,5 |
1,2 |
1,2 |
1,6 |
0,5 |
1,8 |
2,0 |
1,9 |
25 |
30 |
29 |
900 |
0 |
0 |
620 |
0 |
900 |
0 |
0 |
0 |
|
70 |
9,8 |
5,5 |
1,2 |
1,2 |
2,0 |
0,5 |
1,8 |
2,0 |
1,9 |
26 |
33 |
31 |
113 |
167 |
144 |
720 |
126 |
103 |
100 |
100 |
100 |
|
0 |
0 |
0 |
0 |
0 |
0 |
0 |
0 |
||||||||||||||
|
95 |
11,4 |
5,5 |
1,2 |
1,2 |
2,0 |
0,5 |
1,9 |
2,1 |
2,0 |
28 |
35 |
32 |
142 |
198 |
174 |
840 |
141 |
116 |
100 |
100 |
100 |
|
0 |
0 |
0 |
0 |
0 |
0 |
0 |
0 |
||||||||||||||
|
120 |
12,8 |
5,5 |
1,2 |
1,2 |
2,0 |
0,5 |
1,9 |
2,1 |
2,0 |
30 |
36 |
34 |
167 |
228 |
202 |
950 |
156 |
156 |
130 |
100 |
100 |
|
0 |
0 |
0 |
0 |
0 |
0 |
0 |
0 |
||||||||||||||
|
|
|
|
|
|
|
|
|
|
|
|
|
|
197 |
259 |
232 |
108 |
169 |
143 |
|
|
|
|
150 |
14,2 |
5,5 |
1,2 |
1,2 |
2,0 |
0,5 |
2,0 |
2,1 |
2,1 |
31 |
38 |
35 |
0 |
0 |
0 |
0 |
0 |
0 |
500 |
500 |
500 |
|
|
|
|
|
|
|
|
|
|
|
|
|
|
235 |
301 |
273 |
122 |
189 |
161 |
|
|
|
|
185 |
15,8 |
5,5 |
1,2 |
1,2 |
2,0 |
0,5 |
2,0 |
2,2 |
2,2 |
33 |
40 |
37 |
0 |
0 |
0 |
0 |
0 |
0 |
500 |
500 |
500 |
|
240 |
18,1 |
5,5 |
1,2 |
1,2 |
2,0 |
0,5 |
2,1 |
2,3 |
2,3 |
35 |
42 |
40 |
295 |
365 |
337 |
147 |
217 |
189 |
500 |
500 |
500 |
|
0 |
0 |
0 |
0 |
0 |
0 |
||||||||||||||||
|
|
|
|
|
|
|
|
|
|
|
|
|
|
358 |
449 |
402 |
172 |
263 |
216 |
|
|
|
|
300 |
20,4 |
5,5 |
1,3 |
1,3 |
2,5 |
0,5 |
2,2 |
2,4 |
2,3 |
38 |
46 |
42 |
0 |
0 |
0 |
0 |
0 |
0 |
500 |
500 |
500 |
|
|
|
|
|
|
|
|
|
|
|
|
|
|
444 |
543 |
494 |
206 |
306 |
256 |
|
|
|
|
400 |
23,2 |
5,5 |
1,3 |
1,3 |
2,5 |
0,5 |
2,3 |
2,5 |
2,4 |
41 |
49 |
46 |
500 |
500 |
500 |
||||||
|
|
|
|
|
0 |
0 |
0 |
0 |
0 |
0 |
|
|
|
|||||||||
|
500 |
26,3 |
5,5 |
1,4 |
1,4 |
2,5 |
0,5 |
2,4 |
2,6 |
2,5 |
46 |
54 |
50 |
561 0 |
674 0 |
616 0 |
258 0 |
368 0 |
310 0 |
500 |
500 |
500 |
|
630 |
30,2 |
5,5 |
1,4 |
- |
2,5 |
- |
2,5 |
2,7 |
- |
50 |
58 |
- |
705 0 |
831 0 |
- |
312 0 |
435 0 |
- |
500 |
500 |
- |
|
800 |
34,0 |
5,5 |
1,6 |
- |
2,5 |
- |
2,6 |
2,9 |
- |
54 |
62 |
- |
888 0 |
101 50 |
- |
375 0 |
506 0 |
- |
250 |
250 |
- |
|
1000 |
38,7 |
5,5 |
1,6 |
- |
2,5 |
- |
2,7 |
3,0 |
- |
60 |
69 |
- |
140 0 |
124 00 |
- |
472 0 |
613 0 |
- |
250 |
250 |
- |
Ghi chú: KG - không có giáp GN - Giáp sợi nhôm 2GN - Hai giáp băng nhôm
Bảng G.23: Cáp 12,7/22(24) kV cách điện XLPE - 3 lõi
|
Tiết diện |
Đường kính lõi |
Chiều dày cách điện |
Chiều dày bọc trong |
Đường kính sợi giáp |
Chiều dày băng giáp |
Đường kính cáp gần đúng |
Khối lượng lõi ruột đồng |
Khối lượng lõi ruột nhôm |
Chiều dài đóng gói |
||||||||||||
|
GT |
2GT |
GT |
2GT |
KG |
GT |
2GT |
KG |
GT |
2GT |
KG |
GT |
2GT |
KG |
GT |
2GT |
KG |
GT |
2G T |
|||
|
mm2 |
mm |
mm |
m |
m |
m |
m |
m |
m |
m |
m |
m |
m |
kg/k |
kg/k |
kg/k |
kg/k |
kg/k |
kg/k |
m |
m |
m |
|
m |
m |
m |
m |
m |
m |
m |
m |
m |
m |
m |
m |
m |
m |
m |
m |
||||||
|
35 |
6,9 |
5,5 |
1, |
1, |
2, |
0, |
2, |
2, |
2,8 |
48 |
56 |
52 |
2570 |
522 |
3660 |
193 |
458 |
302 |
500 |
500 |
50 |
|
5 |
5 |
5 |
5 |
6 |
9 |
0 |
0 |
0 |
0 |
0 |
|||||||||||
|
50 |
8,0 |
5,5 |
1, |
1, |
2, |
0, |
2, |
3, |
2,9 |
50 |
59 |
55 |
3090 |
579 |
4230 |
224 |
498 |
339 |
500 |
500 |
50 |
|
6 |
6 |
5 |
5 |
7 |
0 |
0 |
0 |
0 |
0 |
0 |
|||||||||||
|
70 |
9,8 |
5,5 |
1, |
1, |
2, |
0, |
2, |
3, |
3,0 |
54 |
62 |
59 |
3890 |
678 |
5120 |
264 |
554 |
388 |
500 |
500 |
50 |
|
6 |
6 |
5 |
5 |
8 |
1 |
0 |
0 |
0 |
0 |
0 |
|||||||||||
|
95 |
11,4 |
5,5 |
1, |
1, |
2, |
0, |
2, |
3, |
3,1 |
58 |
67 |
63 |
4830 |
794 |
6180 |
309 |
619 |
444 |
500 |
500 |
50 |
|
7 |
7 |
5 |
5 |
9 |
2 |
0 |
0 |
0 |
0 |
0 |
|||||||||||
|
120 |
12,8 |
5,5 |
1, |
1, |
3, |
0, |
3, |
3, |
3,2 |
61 |
71 |
66 |
5640 |
981 |
7100 |
344 |
762 |
490 |
500 |
250 |
50 |
|
8 |
8 |
2 |
5 |
0 |
4 |
0 |
0 |
0 |
0 |
0 |
|||||||||||
|
150 |
14,2 |
5,5 |
1, |
1, |
3, |
0, |
3, |
3, |
3,3 |
64 |
75 |
70 |
6580 |
109 |
8140 |
386 |
828 |
542 |
500 |
250 |
50 |
|
8 |
8 |
2 |
5 |
1 |
5 |
90 |
0 |
0 |
0 |
0 |
|||||||||||
|
185 |
15,8 |
5,5 |
1, |
1, |
3, |
0, |
3, |
3, |
3,4 |
68 |
79 |
74 |
7850 |
124 |
9540 |
444 |
908 |
613 |
500 |
250 |
25 |
|
9 |
9 |
2 |
5 |
2 |
6 |
90 |
0 |
0 |
0 |
0 |
|||||||||||
|
240 |
18,1 |
5,5 |
2, |
2, |
3, |
0, |
3, |
3, |
3,7 |
74 |
85 |
81 |
9810 |
148 |
1248 |
533 |
104 |
800 |
250 |
250 |
25 |
|
0 |
0 |
2 |
8 |
4 |
8 |
90 |
0 |
0 |
00 |
0 |
0 |
||||||||||
|
300 |
20,4 |
5,5 |
2, |
2, |
3, |
0, |
3, |
3, |
3,8 |
79 |
91 |
86 |
1181 |
173 |
1467 |
618 |
116 |
904 |
250 |
250 |
25 |
|
1 |
1 |
2 |
8 |
6 |
9 |
0 |
10 |
0 |
0 |
80 |
0 |
0 |
|||||||||
|
400 |
23,2 |
5,5 |
2, |
2, |
3, |
0, |
3, |
4, |
4,1 |
86 |
97 |
93 |
1466 |
206 |
1790 |
746 |
134 |
107 |
250 |
250 |
25 |
|
2 |
2 |
2 |
8 |
8 |
2 |
0 |
80 |
0 |
0 |
80 |
10 |
0 |
|||||||||
Ghi chú: KG - không có giáp GT - Giáp sợi thép 2GT - Hai giáp băng thép
Bảng G.24: Cáp 20/35(40,5) kV cách điện XLPE - 1 lõi
|
Tiết diện |
Đường kính lõi |
Chiều dày cách điện |
Chiều dày bọc trong |
Đường kính sợi giáp |
Chiều dày băng giáp |
Đường kính cáp gần đúng |
Khối lượng lõi ruột đồng |
Khối lượng lõi ruột nhôm |
Chiều dài đóng gói |
||||||||||||
|
GN |
2GN |
GN |
2GN |
KG |
GN |
2GN |
KG |
GN |
2GN |
KG |
GN |
2GN |
KG |
GN |
2GN |
KG |
GN |
2GN |
|||
|
mm |
mm |
mm |
m |
mm |
m |
mm |
m |
m |
m |
m |
m |
m |
kg/k |
kg/k |
kg/k |
kg/k |
kg/k |
kg/k |
m |
m |
m |
|
2 |
m |
m |
m |
m |
m |
m |
m |
m |
m |
m |
m |
m |
m |
m |
|||||||
|
|
|
|
1, |
|
2, |
|
2, |
2, |
|
|
|
|
|
186 |
|
|
|
|
100 |
100 |
10 |
|
50 |
8,0 |
8,8 |
2 |
1,2 |
0 |
0,5 |
0 |
2 |
2,2 |
32 |
38 |
36 |
1230 |
0 |
1600 |
950 |
1580 |
1330 |
0 |
0 |
00 |
|
|
|
|
1 |
|
2 |
|
2 |
2 |
|
|
|
|
|
216 |
|
109 |
|
|
100 |
100 |
10 |
|
70 |
9,8 |
8,8 |
2 |
1,2 |
0 |
0,5 |
1 |
3 |
2,2 |
34 |
40 |
38 |
1500 |
0 |
1870 |
0 |
1750 |
1460 |
0 |
0 |
00 |
|
|
|
|
1 |
|
2 |
|
2 |
2 |
|
|
|
|
|
249 |
|
122 |
|
|
100 |
100 |
10 |
|
95 |
11,4 |
8,8 |
2 |
1,2 |
0 |
0,5 |
1 |
3 |
2,3 |
35 |
42 |
40 |
1790 |
0 |
2210 |
0 |
1920 |
1630 |
0 |
0 |
00 |
|
120 |
12,8 |
8,8 |
1, 3 |
1,3 |
2, 5 |
0,5 |
2, 2 |
2, 4 |
2,3 |
37 |
45 |
41 |
2080 |
295 0 |
2510 |
136 0 |
2230 |
1790 |
500 |
500 |
50 0 |
|
150 |
14,2 |
8,8 |
1, 3 |
1,3 |
2, 5 |
0,5 |
2, 2 |
2, 5 |
2,4 |
38 |
46 |
43 |
2380 |
330 0 |
2850 |
149 0 |
2400 |
1950 |
500 |
500 |
50 0 |
|
185 |
15,8 |
8,8 |
1, 3 |
1,3 |
2, 5 |
0,5 |
2, 3 |
2, 5 |
2,4 |
40 |
48 |
44 |
2790 |
373 0 |
3260 |
167 0 |
2610 |
2140 |
500 |
500 |
50 0 |
|
240 |
18,1 |
8,8 |
1, 4 |
1,4 |
2, 5 |
0,5 |
2, 4 |
2, 6 |
2,5 |
43 |
51 |
47 |
3410 |
443 0 |
3930 |
193 0 |
2950 |
2450 |
500 |
500 |
50 0 |
|
300 |
20,4 |
8,8 |
1, 4 |
1,4 |
2, 5 |
0,5 |
2, 4 |
2, 7 |
2,6 |
45 |
53 |
49 |
4050 |
513 0 |
4590 |
219 0 |
3270 |
2730 |
500 |
500 |
50 0 |
|
400 |
23,2 |
8,8 |
1, 5 |
1,5 |
2, 5 |
0,5 |
2, 5 |
2, 8 |
2,7 |
48 |
57 |
53 |
4940 |
615 0 |
5560 |
257 0 |
3780 |
3190 |
500 |
500 |
50 0 |
|
500 |
26,3 |
8,8 |
1, 5 |
1,5 |
2, 5 |
0,5 |
2, 6 |
2, 9 |
2,8 |
53 |
61 |
57 |
6160 |
747 0 |
6820 |
313 0 |
4410 |
3760 |
500 |
500 |
50 0 |
|
|
|
|
1, |
|
2, |
|
2, |
3, |
|
|
|
|
|
903 |
|
371 |
|
|
|
|
|
|
630 |
30,2 |
8,8 |
- |
- |
- |
57 |
65 |
- |
7650 |
- |
5070 |
- |
250 |
250 |
- |
||||||
|
|
6 |
|
5 |
|
7 |
0 |
|
|
|
|
|
0 |
|
0 |
|
|
|
|
|
||
|
800 |
34,0 |
8,8 |
1, 6 |
- |
2, 5 |
- |
2, 9 |
3, 1 |
- |
61 |
69 |
- |
9470 |
109 30 |
- |
442 0 |
5840 |
- |
250 |
250 |
- |
|
1000 |
38,7 |
8,8 |
1, 6 |
- |
2, 5 |
- |
3, 0' |
3, 3 |
- |
66 |
75 |
- |
1195 0 |
132 50 |
- |
549 0 |
6890 |
- |
250 |
250 |
- |
Ghi chú: KG - không có giáp GN - Giáp sợi nhôm 2GN - Hai giáp băng nhôm
Bảng G.25: Cáp 20/35(40,5) kV cách điện XLPE - 3 lõi
|
Tiết diện |
Đường kính lõi |
Chiều dày cách điện |
Chiều dày bọc trong |
Đường kính sợi giáp |
Chiều dày băng giáp |
Đường kính cáp gần đúng |
Khối lượng lõi ruột đồng |
Khối lượng lõi ruột nhôm |
Chiều dài đóng gói |
||||||||||||
|
GT |
2GT |
GT |
2GT |
KG |
GT |
2GT |
KG |
GT |
2GT |
KG |
GT |
2GT |
KG |
GT |
2GT |
KG |
GT |
2G T |
|||
|
mm2 |
mm |
mm |
m |
m |
m |
m |
mm |
mm |
mm |
mm |
mm |
mm |
kg/ |
kg/ |
kg/ |
kg/ |
kg/ |
kg/ |
m |
m |
m |
|
m |
m |
m |
m |
km |
km |
km |
km |
km |
km |
||||||||||||
|
50 |
8,0 |
8,8 |
1, |
1, |
3, |
0, |
3,2 |
3,6 |
3,4 |
66 |
76 |
71 |
436 |
892 |
599 |
358 |
814 |
522 |
500 |
500 |
500 |
|
9 |
9 |
2 |
5 |
0 |
0 |
0 |
0 |
0 |
0 |
||||||||||||
|
70 |
9,8 |
8,8 |
1, |
1, |
3, |
0, |
3,3 |
3,7 |
3,5 |
70 |
80 |
75 |
529 |
101 |
701 |
405 |
886 |
578 |
500 |
500 |
500 |
|
9 |
9 |
2 |
5 |
0 |
00 |
0 |
0 |
0 |
0 |
||||||||||||
|
95 |
11,4 |
8,8 |
2, |
2, |
3, |
0, |
3,4 |
3,8 |
3,7 |
74 |
84 |
80 |
631 |
113 |
897 |
456 |
963 |
722 |
500 |
500 |
500 |
|
0 |
0 |
2 |
8 |
0 |
70 |
0 |
0 |
0 |
0 |
||||||||||||
|
120 |
12,8 |
8,8 |
2, |
2, |
3, |
0, |
3,5 |
3,9 |
3,8 |
77 |
88 |
84 |
724 |
125 |
100 |
504 |
103 |
782 |
500 |
500 |
500 |
|
0 |
0 |
2 |
8 |
0 |
30 |
10 |
0 |
30 |
0 |
||||||||||||
|
150 |
14,2 |
8,8 |
2, |
2, |
3, |
0, |
3,6 |
4,0 |
3,9 |
80 |
91 |
87 |
826 |
138 |
111 |
554 |
110 |
847 |
500 |
250 |
250 |
|
1 |
1 |
2 |
8 |
0 |
00 |
90 |
0 |
90 |
0 |
||||||||||||
|
185 |
15,8 |
8,8 |
2, |
2, |
3, |
0, |
3,8 |
4,1 |
4,0 |
84 |
95 |
91 |
961 |
153 |
126 |
620 |
119 |
927 |
250 |
250 |
250 |
|
2 |
2 |
2 |
8 |
0 |
90 |
70 |
0 |
80 |
0 |
||||||||||||
|
240 |
18,1 |
8,8 |
2, |
2, |
3, |
0, |
3,9 |
4,3 |
4,2 |
89 |
100 |
96 |
116 |
178 |
149 |
713 |
133 |
104 |
250 |
250 |
250 |
|
3 |
3 |
2 |
8 |
20 |
50 |
60 |
0 |
70 |
80 |
||||||||||||
|
300 |
20,4 |
8,8 |
2, |
2, |
3, |
0, |
4,1 |
4,5 |
4,3 |
94 |
106 |
102 |
137 |
203 |
173 |
814 |
147 |
116 |
250 |
250 |
250 |
|
4 |
4 |
2 |
8 |
70 |
70 |
20 |
0 |
40 |
80 |
||||||||||||
|
400 |
23,2 |
8,8 |
2, |
2, |
3, |
0, |
4,3 |
|
|
101 |
|
|
167 |
|
|
959 |
|
|
250 |
|
|
|
|
|
|
|
- |
|
- |
|
|
|
||||||||||||
|
5 |
5 |
2 |
8 |
|
|
|
|
90 |
|
|
0 |
|
|
|
|
||||||
Ghi chú: KG - không có giáp
GT - Giáp sợi thép
2GT - Hai giáp băng thép
Phụ lục H-1: LỰA CHỌN THEO TỔN THẤT ĐIỆN ÁP CHO PHÉP
Tất cả các dây dẫn (dây trần, dây bọc cách điện, cáp và thanh dẫn) phải thỏa mãn các điều kiện tổn thất điện áp cho phép.
Tiết diện dây dẫn được chọn theo chiều dài của dây dẫn và dòng điện tải trên đường dây. Tổn thất điện áp cho phép vượt quá mức quy định khi khởi động động cơ điện hoặc những phụ tải lớn nhưng phải phù hợp với quy trình khởi động của những thiết bị đó.
Đối với một số phụ tải điện đòi hỏi ổn định điện áp ở mức độ cao, nên nếu chọn tiết diện dây dẫn theo tổn thất điện áp cho phép thì dây quá lớn và quá tốn kém. Trong trường hợp này, cần so sánh với phương án chọn cấp điện áp cao hơn hoặc lắp máy biến áp tự động điều chỉnh điện áp hoặc phương án bảo đảm tổn thất điện áp ở mức độ bình thường cùng với lắp đặt các bộ ổn áp ở cuối đường dây.
Công thức tính tổn thất điện áp như sau:
![]()
ΔU: Tổn thất điện áp [%] ((ΔU% = (U-Uđm)/Uđm)*100
Trong đó:
U: điện áp thực tế.
Uđm: điện áp định mức lưới điện
P: Công suất tác dụng tải trên đường dây [MW]
Q: Công suất phản kháng tải trên đường dây [MVAr]
R,X: Trở kháng của đường dây [Ôm]
U: Điện áp hệ thống [ kV]
n: số mạch của đường dây
Phụ lục H-2: NHIỆT ĐỘ PHÁT NÓNG CHO PHÉP CỦA DÂY DẪN VÀ CÁP THEO
ĐIỀU KIỆN NGẮN MẠCH
Nhiệt độ phát nóng của dây dẫn và cáp khi xảy ra ngắn mạch không được vượt quá trị số cho phép trong bảng sau:
Bảng H.1: Nhiệt độ cho phép cao nhất khi ngắn mạch
|
Dạng dây dẫn và vật liệu dẫn điện(*) |
Nhiệt độ cho phép cao nhất (oC) |
|
Thanh dẫn: - Đồng |
300 |
|
- Nhôm |
200 |
|
Cáp ruột đồng hoặc nhôm, cách điện giấy tẩm dầu, điện áp từ 22 kV đến 220 kV |
125 |
|
Cáp có vỏ cách điện PVC - Tiết diện đến 300 mm2 |
160 |
|
- Tiết diện >300 mm2 |
140 |
|
Cáp ruột đồng hoặc nhôm, cách điện PE |
120 |
|
Cáp ruột đồng hoặc nhôm, cách điện cao su |
150 |
|
Cáp ruột đồng hoặc nhôm, cách điện XLPE hoặc EPR |
250 |
|
Dây đồng trần chịu lực kéo đến 20 N/mm2 |
250 |
|
Dây đồng trần chịu lực kéo từ 20 N/mm2 trở lên |
200 |
|
Dây nhôm trần chịu lực kéo đến 10 N/mm2 |
200 |
|
Dây nhôm trần chịu lực kéo từ 10 N/mm2 trở lên |
160 |
|
Phần nhôm của dây nhôm lõi thép |
200 |
Ghi chú: (*) Không tính cho dây dẫn hợp kim nhôm chịu nhiệt và siêu nhiệt.
Phụ lục H-3: DÒNG ĐIỆN LÂU DÀI CHO PHÉP CỦA DÂY DẪN ĐIỆN TRẦN
Các điều kiện áp dụng:
- Tốc độ gió: v = 1 m/s
- Cường độ bức xạ mặt trời: Si = 900 W/m2
- Hệ số hấp thụ năng lượng mặt trời: γ = 0,5
- Hệ số bức xạ vật đen: Ke = 0,6
- Nhiệt độ nhôm: T2 = 80 oC và 100 oC (353 oK và 373 oK)
- Nhiệt độ môi trường: T1 = 20 oC (293 oK)
Giải thích ký hiệu:
1. Các ký hiệu này quy định các đặc tính điện và cơ của các dây trần có sợi tròn, sợi định hình xoắn thành các lớp đồng tâm dùng cho ĐDK (sau đây gọi tắt là dây) được chế tạo bằng cách kết hợp các sợi kim loại cho dưới đây:
a) Nhôm kéo cứng có ký hiệu A1: điện trở suất 28,264 nΩm (tương ứng với 61 % IACS*);
b) Hợp kim nhôm loại B có ký hiệu A2: điện trở suất 32,530 nΩm (tương ứng với 53% IACS);
c) Hợp kim nhôm loại A có ký hiệu A3: điện trở suất 32,840 nΩm (tương ứng với 52,5% IACS);
d) Thép có độ bền bình thường, có ký hiệu là S1A hoặc S1B, ở đây A và B là cấp của lớp mạ kẽm tương ứng với cấp 1 và 2;
đ) Thép có độ bền cao ký hiệu là S2A hoặc S2B;
e) Thép có độ bền rất cao ký hiệu là S3A;
g) Thép có bọc nhôm ký hiệu là SA.
Ghi chú: (*) IACS là tiêu chuẩn về độ dẫn điện của đồng ủ ở nhiệt độ 20 oC có điện trở suất là 1,7241*10-8 Ω/m tương đương với 100% IACS.
2. Ký hiệu các dây dẫn:
A1/S1A, A1/S1B, A1/S2A, A1/S2B, A1/S3A, A2/S1A A2/S1B; A2/S3A; A3/S1A, A3/S1B, A3/S3A, A1/A2, A1/A3, v.v.;
- A1, A2, A3: sợi tròn xoắn thành các lớp đồng tâm;
- A1F, A2F, A3F: sợi định hình xoắn thành các lớp đồng tâm;
- Chữ cái A ký hiệu cho các dây xoắn bằng nhôm có hoặc không có các sợi thép;
- Ax là dây nhôm thuần nhất, trong đó x là loại nhôm;
- Ax/Ay là dây nhôm kết hợp với nhôm, trong đó Ax chỉ các sợi bên ngoài (hoặc lớp ngoài) còn Ay chỉ các sợi bên trong (hoặc lõi);
- Ax/Sxy là dây nhôm lõi thép, trong đó Ax chỉ các sợi nhôm bên ngoài còn Sxy chỉ lõi bằng thép.
Tính toán dòng điện lâu dài cho phép:
Dòng điện lâu dài cho phép của dây dẫn điện được tính toán theo công thức sau:
Imax = [(Prad + Pconv - Psol)/RT]1/2
Trong đó:
Imax: dòng điện lâu dài lớn nhất cho phép của dây dẫn điện (A)
Prad: tổn thất nhiệt do bức xạ lên dây dẫn điện (W)
Pconv: tổn thất nhiệt do đối lưu (W)
Psol: nhiệt lượng mặt trời lên dây dẫn điện (W/m)
RT: điện trở của dây dẫn điện ở nhiệt độ T(Ω/m)
Prad = s*π*D*Ke*(T24 -T14)
Trong đó:
s: hằng số Stefan-Boltzmant (5,67*10-8 W.m-2.K-4)
D: đường kính dây dẫn điện (m)
Ke: hệ số bức xạ vật đen
T: nhiệt độ (K)
T1: nhiệt độ môi trường (K)
T2: nhiệt độ cân bằng (K)
Pconv = λ*Nu*(T2 – T1)*π
Trong đó:
λ: độ dẫn nhiệt tiếp xúc của dây dẫn trong không khí,
giả định không đổi và bằng: 0,02585 W.m-1.K-1
Nu: hệ số Nusselt, được xác định bằng phương trình:
Nu = 0,65Re0,2 + 0,23Re0,61
Re = 1,644*109*v*D*[T1+0,5*(T2 - T1)]-1,78
v: tốc độ gió (m/s)
Psol = γ*D*S1
Trong đó:
γ: hệ số hấp thụ năng lượng mặt trời
D: đường kính dây dẫn điện (m)
S1: cường độ bức xạ mặt trời (W/m2)
Bảng H.2: Dòng điện lâu dài cho phép của dây hợp kim nhôm A2
|
Tiết diện (mm2) |
Số sợi |
Đường kính (mm) |
Điện trở ở 80oC Ω/km |
Điện trở ở 100oC Ω/km |
Dòng điện lâu dài cho phép |
|
|
Tz = 80 °C |
Tz = 100 °C |
|||||
|
16 |
7 |
5,49 |
2,1783 |
2,3073 |
150 |
168 |
|
25 |
7 |
6,86 |
1,3941 |
1,4766 |
200 |
224 |
|
40 |
7 |
8,68 |
0,8713 |
0,9229 |
270 |
303 |
|
63 |
7 |
10,9 |
0,5532 |
0,5860 |
361 |
406 |
|
100 |
19 |
13,9 |
0,3502 |
0,3709 |
487 |
548 |
|
125 |
19 |
15,5 |
0,2805 |
0,2971 |
562 |
633 |
|
160 |
19 |
17,6 |
0,2192 |
0,2322 |
569 |
743 |
|
200 |
19 |
19,6 |
0,1756 |
0,1860 |
760 |
858 |
|
250 |
19 |
22,0 |
0,1406 |
0,1489 |
879 |
993 |
|
315 |
37 |
24,7 |
0,1122 |
0,1188 |
1019 |
1152 |
|
400 |
37 |
27,9 |
0,0887 |
0,0938 |
1188 |
1346 |
|
450 |
37 |
29,6 |
0,0790 |
0,0836 |
1282 |
1452 |
|
500 |
37 |
31,2 |
0,0714 |
0,0755 |
1370 |
1553 |
|
560 |
61 |
33,0 |
0,0640 |
0,0676 |
1472 |
1671 |
|
630 |
61 |
35,0 |
0,0572 |
0,0604 |
1585 |
1800 |
|
710 |
61 |
37,2 |
0,0512 |
0,0540 |
1706 |
1941 |
|
800 |
61 |
39,5 |
0,0457 |
0,0483 |
1840 |
2091 |
|
900 |
91 |
41,9 |
0,0411 |
0,0433 |
1975 |
2251 |
|
1000 |
91 |
44,1 |
0,0374 |
0,0394 |
2104 |
2398 |
|
1120 |
91 |
46,7 |
0,0339 |
0,0356 |
2249 |
2569 |
|
1250 |
91 |
49,4 |
0,0308 |
0,0323 |
2401 |
2746 |
Bảng H.3: Dòng điện lâu dài cho phép của dây hợp kim nhôm A3
|
Tiết diện (mm2) |
Số sợi |
Đường kính (mm) |
Điện trở ở 80oC Ω/km |
Điện trở ở 100oC Ω/km |
Dòng điện lâu dài cho phép |
|
|
Tz = 80 °C |
Tz = 100 °C |
|||||
|
16 |
7 |
5,52 |
2,1783 |
2,3073 |
151 |
169 |
|
25 |
7 |
6,90 |
1,3941 |
1,4766 |
200 |
224 |
|
40 |
7 |
8,72 |
0,8713 |
0,9229 |
270 |
303 |
|
63 |
7 |
11,9 |
0,5532 |
0,5860 |
361 |
406 |
|
100 |
19 |
14,0 |
0,3502 |
0,3709 |
488 |
549 |
|
125 |
19 |
15,6 |
0,2805 |
0,2971 |
563 |
634 |
|
160 |
19 |
17,6 |
0,2192 |
0,2322 |
659 |
743 |
|
200 |
19 |
19,7 |
0,1756 |
0,1860 |
761 |
859 |
|
250 |
19 |
22,1 |
0,1406 |
0,1489 |
880 |
994 |
|
315 |
37 |
24,8 |
0,1122 |
0,1188 |
1020 |
1153 |
|
400 |
37 |
28,0 |
0,0887 |
0,0938 |
1190 |
1348 |
|
450 |
37 |
29,7 |
0,0790 |
0,0836 |
1283 |
1454 |
|
500 |
37 |
31,3 |
0,0714 |
0,0755 |
1371 |
1555 |
|
560 |
61 |
33,2 |
0,0640 |
0,0676 |
1474 |
1614 |
|
630 |
61 |
35,2 |
0,0572 |
0,0604 |
1587 |
1804 |
|
710 |
61 |
37,3 |
0,0512 |
0,0540 |
1708 |
1942 |
|
800 |
61 |
39,6 |
0,0457 |
0,0483 |
1841 |
2093 |
|
900 |
91 |
42,1 |
0,0411 |
0,0433 |
1978 |
2254 |
|
1000 |
91 |
44,4 |
0,0374 |
0,0394 |
2108 |
2403 |
|
1120 |
91 |
46,9 |
0,0339 |
0,0356 |
2252 |
2573 |
Bảng H.4: Dòng điện lâu dài cho phép của dây dẫn A1/A2
|
Tiết diện (mm2) |
Số sợi |
Đường kính (mm) |
Điện trở ở 80oC Ω/km |
Điện trở ở 100 oC Ω/km |
Dòng điện lâu dài cho phép |
|
|
Tz = 80 °C |
Tz = 100 °C |
|||||
|
16 |
4/3 |
5,28 |
2,1962 |
2,3337 |
148 |
166 |
|
25 |
4/3 |
6,60 |
1,4060 |
1,4941 |
197 |
220 |
|
40 |
4/3 |
8,35 |
0,8780 |
0,9330 |
266 |
298 |
|
63 |
4/3 |
10,5 |
0,5582 |
0,5932 |
356 |
399 |
|
100 |
4/3 |
13,2 |
0,3515 |
0,3735 |
479 |
538 |
|
125 |
12/7 |
14,9 |
0,2829 |
0,3007 |
553 |
621 |
|
160 |
12/7 |
16,8 |
0,2208 |
0,2346 |
648 |
729 |
|
200 |
12/7 |
18,8 |
0,1775 |
0,1886 |
747 |
841 |
|
250 |
12/7 |
21,0 |
0,1423 |
0,1511 |
862 |
972 |
|
250 |
18/19 |
21,3 |
0,1426 |
0,1513 |
865 |
976 |
|
315 |
30/7 |
23,4 |
0,1142 |
0,1214 |
993 |
1121 |
|
315 |
18/19 |
23,9 |
0,1134 |
0,1204 |
1003 |
1133 |
|
400 |
30/7 |
26,3 |
0,0902 |
0,0958 |
1158 |
1308 |
|
400 |
18/19 |
27,0 |
0,0894 |
0,0949 |
1172 |
1325 |
|
450 |
30/7 |
27,9 |
0,0804 |
0,0855 |
1248 |
1410 |
|
450 |
18/19 |
28,6 |
0,0796 |
0,0845 |
1264 |
1429 |
|
500 |
30/7 |
29,4 |
0,0724 |
0,0770 |
1336 |
1510 |
|
500 |
18/19 |
30,1 |
0,0717 |
0,0761 |
1352 |
1530 |
|
560 |
30/7 |
31,2 |
0,0648 |
0,0688 |
1438 |
1627 |
|
560 |
54/7 |
31,0 |
0,0651 |
0,0691 |
1432 |
1620 |
|
630 |
42/19 |
33,4 |
0,0588 |
0,0624 |
1541 |
1745 |
|
630 |
24/37 |
34,1 |
0,0582 |
0,0618 |
1559 |
1765 |
|
710 |
42/19 |
35,5 |
0,0523 |
0,0555 |
1664 |
1886 |
|
710 |
24/37 |
36,2 |
0,0517 |
0,0548 |
1684 |
1910 |
|
800 |
42/19 |
37,6 |
0,0467 |
0,0495 |
1793 |
2034 |
|
800 |
24/37 |
38,4 |
0,0463 |
0,0486 |
1812 |
2066 |
|
900 |
42/19 |
39,9 |
0,0417 |
0,0442 |
1932 |
2193 |
|
900 |
54/37 |
40,2 |
0,0426 |
0,0451 |
1916 |
2176 |
|
1000 |
72/19 |
41,8 |
0,0388 |
0,0412 |
2031 |
2305 |
|
1000 |
54/37 |
42,4 |
0,0386 |
0,0408 |
2046 |
2327 |
|
1120 |
72/19 |
44,2 |
0,0349 |
0,0370 |
2179 |
2476 |
|
1120 |
54/37 |
44,9 |
0,0347 |
0,0367 |
2196 |
2499 |
|
1250 |
72/19 |
46,7 |
0,0315 |
0,0334 |
2333 |
2653 |
|
1250 |
54/37 |
47,4 |
0,0313 |
0,0331 |
2351 |
2677 |
|
1400 |
72/19 |
49,4 |
0,0283 |
0,0300 |
2505 |
2850 |
Bảng H.5: Dòng điện lâu dài cho phép của dây dẫn A1/A3
|
Tiết diện (mm2) |
Số sợi |
Đường kính (mm) |
Điện trở ở 80oC |
Điện trở ở 100oC Ω/km |
Dòng điện lâu dài cho phép |
|
|
Tz = 80 °C |
Tz = 100 °C |
|||||
|
16 |
4/3 |
5,29 |
2,1941 |
2,3315 |
148 |
166 |
|
25 |
4/3 |
6,62 |
1,4009 |
1,4886 |
197 |
221 |
|
40 |
4/3 |
8,37 |
0.8792 |
0,9343 |
266 |
298 |
|
63 |
4/3 |
10,5 |
0,5570 |
0,5919 |
356 |
400 |
|
100 |
4/3 |
13,2 |
0,3512 |
0,3732 |
479 |
538 |
|
125 |
12/7 |
14,9 |
0,2825 |
0,3003 |
553 |
622 |
|
160 |
12/7 |
16,9 |
0,2211 |
0,2350 |
649 |
730 |
|
200 |
12/7 |
18,8 |
0,1770 |
0,1880 |
748 |
843 |
|
250 |
12/7 |
21,1 |
0,1426 |
0,1514 |
862 |
972 |
|
250 |
18/19 |
21,4 |
0,1421 |
0,1509 |
867 |
978 |
|
315 |
30/7 |
23,4 |
0,1143 |
0,1215 |
993 |
1120 |
|
315 |
18/19 |
24,0 |
0,1132 |
0,1202 |
1005 |
1135 |
|
400 |
30/7 |
26,4 |
0,0903 |
0,0960 |
1158 |
1308 |
|
400 |
18/19 |
27,0 |
0,0894 |
0,0949 |
1172 |
1325 |
|
450 |
30/7 |
28,0 |
0,0803 |
0,0854 |
1250 |
1412 |
|
450 |
18/19 |
28,7 |
0,0796 |
0,0845 |
1265 |
1430 |
|
500 |
30/7 |
29,5 |
0.0724 |
0,0769 |
1337 |
1513 |
|
500 |
18/19 |
30,2 |
0,0718 |
0,0762 |
1353 |
1531 |
|
560 |
30/7 |
31,2 |
0,0648 |
0,0688 |
1438 |
1627 |
|
560 |
54/7 |
31,1 |
0,0650 |
0,0691 |
1434 |
1622 |
|
630 |
42/19 |
33,4 |
0,0587 |
0,0623 |
1542 |
1747 |
|
630 |
24/37 |
34,2 |
0,0582 |
0,0618 |
1560 |
1767 |
|
710 |
42/19 |
35,5 |
0,0523 |
0,0555 |
1664 |
1886 |
|
710 |
24/37 |
36,3 |
0,0516 |
0,0548 |
1687 |
1912 |
|
800 |
42/19 |
37,7 |
0,0466 |
0,0495 |
1796 |
2036 |
|
800 |
24/37 |
38,5 |
0,0462 |
0,0486 |
1815 |
2068 |
|
900 |
42/19 |
40,0 |
0,0417 |
0,0442 |
1933 |
2195 |
|
900 |
54/37 |
40,3 |
0,0426 |
0,0451 |
1917 |
2178 |
|
1000 |
72/19 |
41,8 |
0,0388 |
0,0411 |
2031 |
2308 |
|
1000 |
54/37 |
42,5 |
0,0386 |
0,0409 |
2047 |
2326 |
|
1120 |
72/19 |
44,3 |
0,0349 |
0,0370 |
2181 |
2478 |
|
1120 |
54/37 |
45,0 |
0,0347 |
0,0367 |
2198 |
2501 |
|
1250 |
72/19 |
46,8 |
0,0315 |
0,0334 |
2335 |
2654 |
|
1250 |
54/37 |
47,5 |
0,0313 |
0,0331 |
2353 |
2679 |
|
1400 |
72/19 |
49,5 |
0,0283 |
0,0300 |
2506 |
2851 |
Bảng H.6: Dòng điện lâu dài cho phép của dây dẫn nhôm lõi thép A1/Sxy
|
Tiết diện (mm2) |
Số sợi |
Đường kính (mm) |
Điện trở ở Ω/km |
Điện trở ở 100oC Ω/km |
Dòng điện lâu dài cho phép |
|
|
Tz = 80 °C |
Tz = 100 °C |
|||||
|
16 |
6/1* |
5,53 |
2,2293 |
2,3740 |
149 |
166 |
|
25 |
6/1* |
6,91 |
1,4268 |
1,5194 |
198 |
221 |
|
40 |
6/1* |
8,74 |
0,8918 |
0,9496 |
267 |
299 |
|
63 |
6/1* |
11.0 |
0,5662 |
0,6030 |
358 |
401 |
|
100 |
6/1* |
13,8 |
0,3566 |
0,3798 |
481 |
540 |
|
125 |
18/1 |
14,9 |
0.2867 |
0,3053 |
549 |
617 |
|
125 |
26/7 |
15,7 |
0,2873 |
0,3059 |
557 |
626 |
|
160 |
18/1 |
16,8 |
0,2241 |
0,2387 |
643 |
723 |
|
160 |
26/7 |
17,7 |
0,2246 |
0,2391 |
652 |
734 |
|
200 |
18/1 |
18,8 |
0,1794 |
0,1910 |
743 |
836 |
|
200 |
26/7 |
19,8 |
0.1797 |
0,1914 |
754 |
848 |
|
250 |
22/7 |
21,6 |
0,1437 |
0,1531 |
865 |
974 |
|
250 |
26/7 |
22,2 |
0,1438 |
0,1531 |
872 |
982 |
|
315 |
45/7 |
23,9 |
0,1145 |
0,1218 |
998 |
1126 |
|
315 |
26/7 |
24,9 |
0,1143 |
0,1217 |
1012 |
1141 |
|
400 |
45/7 |
26,9 |
0,0904 |
0,0962 |
1164 |
1314 |
|
400 |
54/7 |
27,6 |
0,0904 |
0,0962 |
1173 |
1325 |
|
450 |
45/7 |
28,5 |
0,0805 |
0,0857 |
1255 |
1418 |
|
450 |
54/7 |
29,3 |
0,0805 |
0,0857 |
1266 |
1430 |
|
500 |
45/7 |
30,1 |
0,0727 |
0,0773 |
1343 |
1518 |
|
500 |
54/7 |
30,9 |
0,0725 |
0.0771 |
1355 |
1533 |
|
560 |
45/7 |
31,8 |
0,0650 |
0,0692 |
1444 |
1632 |
|
560 |
54/19 |
32,7 |
0,0648 |
0,0690 |
1458 |
1649 |
|
630 |
45/7 |
33,8 |
0,0580 |
0,0617 |
1557 |
1762 |
|
630 |
54/19 |
34,7 |
0,0578 |
0,0615 |
1572 |
1779 |
|
710 |
45/7 |
35,9 |
0,0517 |
0,0549 |
1680 |
1903 |
|
710 |
54/19 |
36,8 |
0,0515 |
0,0547 |
1696 |
1922 |
|
800 |
72/7 |
37,6 |
0,0463 |
0,0491 |
1800 |
2042 |
|
800 |
84/7 |
38,3 |
0,0462 |
0,0491 |
1812 |
2054 |
|
800 |
54/19 |
39,1 |
0,0460 |
0,0489 |
1828 |
2072 |
|
900 |
7217 |
39,9 |
0,0415 |
0,0440 |
1936 |
2198 |
|
900 |
84/7 |
46,0 |
0,0414 |
0,0439 |
2025 |
2303 |
|
1000 |
72/7 |
42,1 |
0,0377 |
0,0400 |
2065 |
2345 |
|
1120 |
72/19 |
44,5 |
0,0341 |
0,0360 |
2209 |
2516 |
|
1120 |
84/19 |
45,3 |
0,0338 |
0,0358 |
2231 |
2537 |
|
1250 |
72/19 |
47,0 |
0,0309 |
0,0356 |
2360 |
2690 |
|
1250 |
84/19 |
47,9 |
0,0307 |
0,0325 |
2382 |
2711 |
Ghi chú: (*) Bỏ qua dòng điện cảm ứng trong lõi thép.
Bảng H.7: Dòng điện lâu dài cho phép của dây dẫn hợp kim nhôm lõi thép A2/Sxy
|
Tiết diện (mm2) |
Số sợi |
Đường kính (mm) |
Điện trở ở Ω/km |
Điện trở ở 100oC Ω/km |
Dòng điện lâu dài cho phép |
|
|
Tz = 80°C |
Tz = 100°C |
|||||
|
16 |
6/1* |
5,93 |
2,1830 |
2,3122 |
153 |
172 |
|
25 |
6/1* |
7,41 |
1,3971 |
1,4798 |
204 |
229 |
|
40 |
6/1* |
9,38 |
0,8732 |
0,9249 |
276 |
309 |
|
63 |
6/1* |
11,8 |
0,5544 |
0,5873 |
369 |
415 |
|
100 |
18/1 |
14,3 |
0,3506 |
0,3713 |
491 |
552 |
|
125 |
18/1 |
16,0 |
0,2808 |
0,2974 |
566 |
638 |
|
125 |
26/7 |
16,8 |
0,2813 |
0,2979 |
574 |
647 |
|
160 |
18/1 |
18,0 |
0,2195 |
0,2324 |
663 |
748 |
|
160 |
26/7 |
19,0 |
0,2199 |
0,2329 |
673 |
760 |
|
200 |
18/1 |
20,2 |
0,1757 |
0,1861 |
767 |
866 |
|
200 |
26/7 |
21,3 |
0,1760 |
0,1864 |
778 |
879 |
|
250 |
22/7 |
23,1 |
0,1408 |
0,1491 |
891 |
1007 |
|
250 |
26/7 |
23,8 |
0,1408 |
0,1491 |
899 |
1017 |
|
315. |
45/7 |
25,6 |
0,1121 |
0,1187 |
1008 |
1139 |
|
315 |
26/7 |
26,7 |
0,1119 |
0,1185 |
1044 |
1181 |
|
400 |
45/7 |
28,9 |
0,0886 |
0,0937 |
1022 |
1362 |
|
400 |
54/7 |
29,7 |
0,0885 |
0,0937 |
1212 |
1373 |
|
450 |
45/7 |
30,6 |
0,0789 |
0,0835 |
1295 |
1468 |
|
450 |
54/7 |
31,5 |
0,0788 |
0,0835 |
1308 |
1481 |
|
500 |
45/7 |
32,3 |
0,0712 |
0,0753 |
1386 |
1572 |
|
500 |
54/7 |
33,2 |
0,0710 |
0,0751 |
1400 |
1588 |
|
560 |
45/7 |
34,2 |
0,0637 |
0,0674 |
1491 |
1692 |
|
560 |
54/19 |
35,1 |
0,0635 |
0,0672 |
1505 |
1708 |
|
630 |
72/7 |
39,4 |
0,0570 |
0,0603 |
1646 |
1870 |
|
630 |
54/19 |
37,2 |
0,0567 |
0,0599 |
1622 |
1843 |
|
710 |
72/7 |
41,8 |
0,0508 |
0,0537 |
1775 |
2019 |
|
710 |
54119 |
39,5 |
0,0505 |
0,0533 |
1750 |
1991 |
|
800 |
72/7 |
40,4 |
0,0454 |
0,0479 |
1859 |
2115 |
|
800 |
84/7 |
41,1 |
0,0453 |
0,0478 |
1870 |
2129 |
|
900 |
72/7 |
42,8 |
0,0407 |
0,0429 |
1998 |
2276 |
|
900 |
84/7 |
43,6 |
0,0406 |
0,0428 |
2012 |
2292 |
|
1000 |
84/19 |
45,9 |
0,0367 |
0,0388 |
2150 |
2448 |
|
1120 |
884/19 |
48,6 |
0,0332 |
0,0349 |
2301 |
2628 |
Ghi chú *) Bỏ qua dòng điện cảm ứng trong lõi thép.
Bảng H.8: Dòng điện lâu dài cho phép của dây dẫn hợp kim nhôm lõi thép A3/Sxy
|
Tiết diện (mm2) |
Số sợi |
Đường kính (mm) |
Điện trở ở Ω/km |
Điện trở ở 100oC Ω/km |
Dòng điện lâu dài cho phép |
|
|
Tz = 80 °C |
Tz = 100 °C |
|||||
|
16 |
6/1* |
5,96 |
2,1830 |
2,3122 |
154 |
172 |
|
25 |
6/1* |
7,45 |
1,3971 |
1,4798 |
204 |
229 |
|
40 |
6/1* |
9,42 |
0,8732 |
0,9249 |
276 |
310 |
|
63 |
6/1* |
11,8 |
0,5544 |
0,5873 |
369 |
415 |
|
100 |
18/1 |
14,3 |
0,3506 |
0,3713 |
491 |
552 |
|
125 |
18/1 |
16,0 |
0,2808 |
0,2974 |
566 |
638 |
|
125 |
26/7 |
16,9 |
0,2813 |
0,2979 |
575 |
648 |
|
160 |
18/1 |
18,1 |
0,2195 |
0,2324 |
664 |
749 |
|
160 |
26/7 |
19,1 |
0,2199 |
0,2329 |
674 |
761 |
|
200 |
18/1 |
20,3 |
0,1757 |
0,1861 |
768 |
867 |
|
200 |
26/7 |
21,4 |
0,1760 |
0,1864 |
779 |
880 |
|
250 |
22/7 |
23,2 |
0,1408 |
0,1491 |
892 |
1009 |
|
250 |
26/7 |
23,9 |
0,1408 |
0,1491 |
900 |
1018 |
|
315 |
45/7 |
25,7 |
0,1121 |
0,1187 |
1031 |
1167 |
|
315 |
26/7 |
26,8 |
0,1119 |
0,1185 |
1045 |
1183 |
|
400 |
45/7 |
29,0 |
0,0886 |
0,0937 |
1203 |
1363 |
|
400 |
54/7 |
29,8 |
0,0885 |
0,0937 |
1213 |
1375 |
|
450 |
45/7 |
30,8 |
0,0789 |
0,0835 |
1298 |
1471 |
|
450 |
54/7 |
31,6 |
0,0788 |
0,0835 |
1309 |
1483 |
|
500 |
45/7 |
32,4 |
0,0712 |
0,0753 |
1387 |
1573 |
|
500 |
54/7 |
33,33 |
0,0710 |
0,0751 |
1401 |
1589 |
|
560 |
45/7 |
34,3 |
0,0637 |
0,0674 |
1492 |
1693 |
|
560 |
54/19 |
35,3 |
0,0635 |
0,0672 |
1508 |
1711 |
|
630 |
72/7 |
39,6 |
0,0570 |
0,0603 |
1649 |
1873 |
|
630 |
54/19 |
37,4 |
0,0567 |
0,0599 |
1624 |
1846 |
|
710 |
72/7 |
42,0 |
0,0508 |
0,0537 |
1778 |
2022 |
|
710 |
54/19 |
39,7 |
0,0505 |
0,0533 |
1753 |
1994 |
|
800 |
72/7 |
40,5 |
0,0454 |
0,0479 |
1860 |
2117 |
|
800 |
84/7 |
41,3 |
0,0453 |
0,0478 |
1873 |
2132 |
|
900 |
72/7 |
43,0 |
0,0407 |
0,0429 |
2001 |
2280 |
|
900 |
84/7 |
43,8 |
0,0406 |
0,0428 |
2015 |
2296 |
|
1000 |
84/19 |
46,2 |
0,0367 |
0,0388 |
2154 |
2453 |
|
1120 |
84/19 |
48,9 |
0,0332 |
0,0349 |
2305 |
2633 |
Ghi chú: (*) Bỏ qua dòng điện cảm ứng trong lõi thép.
Phụ lục H-4: DÂY DẪN ĐIỆN TRẦN ACSR
Bảng H.9: Đặc tính kỹ thuật và dòng điện lâu dài cho phép của dây dẫn ACSR
TCVN 8090:2009
|
Tiết diện |
Kết cấu |
Đường kính gần đúng |
Khối lượng tổng gần đúng |
Điện trở 1 chiều lớn nhất 20oC |
Lực kéo đứt nhỏ nhất |
Dòng điện tải cho phép (*) |
|
|
Nhôm |
Thép mạ |
||||||
|
mm2 |
n x mm |
n x mm |
mm |
kg/km |
Ω/km |
N |
A |
|
10/1.8 |
6 x 1.50 |
1 x 1.50 |
4,50 |
43 |
2,7064 |
4089 |
89 |
|
16/2.7 |
6 x 1.85 |
1 x 1.85 |
5,55 |
65 |
1,7818 |
6220 |
116 |
|
25/4.2 |
6 x 2.30 |
1 x 2.30 |
6,90 |
100 |
1,1521 |
9296 |
153 |
|
35/6.2 |
6 x 2.80 |
1 x 2.80 |
8,40 |
149 |
0,7774 |
13524 |
197 |
|
50/8.0 |
6 x 3.20 |
1 x 3.20 |
9,60 |
195 |
0,5951 |
17112 |
234 |
|
70/11 |
6 x 3.80 |
1 x 3.80 |
11,40 |
274 |
0,4218 |
24130 |
291 |
|
70/72 |
18 x 2.20 |
19 x 2.20 |
15,40 |
755 |
0,4194 |
96826 |
318 |
|
95/16 |
6 x 4.50 |
1 x 4.50 |
13,50 |
384 |
0,3007 |
33369 |
362 |
|
95/141 |
24 x 2.20 |
37 x 2.20 |
19,80 |
1357 |
0,3146 |
180775 |
395 |
|
120/19 |
26 x 2.40 |
7 x 1.85 |
15,15 |
471 |
0,244 |
41521 |
415 |
|
120/27 |
30 x 2.20 |
7 x 2.20 |
15,40 |
523 |
0,2531 |
49465 |
410 |
|
150/19 |
24 x 2.80 |
7 x 1.85 |
16,75 |
554 |
0,2046 |
46 307 |
467 |
|
150/24 |
26 x 2.70 |
7 x 2.10 |
17,10 |
600 |
0,2039 |
52279 |
471 |
|
150/34 |
30 x 2.50 |
7 x 2.50 |
17,50 |
675 |
0,2061 |
62643 |
471 |
|
185/24 |
24 x 3.15 |
7 x 2.10 |
18,90 |
705 |
0,1540 |
58075 |
557 |
|
185/29 |
26 x 2.98 |
7 x 2.30 |
18,82 |
727 |
0,1591 |
62055 |
547 |
|
185/43 |
30 x 2.80 |
7 x 2.80 |
19,60 |
847 |
0,1559 |
77767 |
560 |
|
185/128 |
54 x 2.10 |
37 x 2.10 |
23,10 |
1525 |
0,1543 |
183816 |
590 |
|
240/32 |
24 x 3.60 |
7 x 2.40 |
21,60 |
920 |
0,1182 |
75 050 |
661 |
|
240/39 |
26 x 3.40 |
7 x 2.65 |
21.55 |
952 |
0,1222 |
80895 |
650 |
|
240/56 |
30 x 3.20 |
7 x 3.20 |
22.40 |
1106 |
0,1197 |
98253 |
664 |
|
300/39 |
24 x 4.00 |
7 x 2.65 |
23,95 |
1132 |
0,0958 |
90574 |
756 |
|
300/48 |
26 x 3.80 |
7 x 2.95 |
24,05 |
1187 |
0,0978 |
100623 |
750 |
|
300/66 |
30 x 3.50 |
19 x 2.10 |
24,50 |
1312 |
0,1000 |
117520 |
746 |
|
300/67 |
30 x 3.50 |
7 x 3.50 |
24,50 |
1320 |
0,1000 |
126270 |
746 |
|
300/204 |
54 x 2.65 |
37 x 2.65 |
29,15 |
2428 |
0,0968 |
284579 |
798 |
|
330/30 |
48 x 2.98 |
7 x 2.30 |
24,80 |
1151 |
0,0861 |
88848 |
805 |
|
330/43 |
54 x 2.80 |
7 x 2.80 |
25,20 |
1255 |
0,0869 |
103784 |
806 |
|
400/18 |
42 x 3.40 |
7 x 1.85 |
26,00 |
1199 |
0,0758 |
85600 |
870 |
|
400/22 |
76 x 2.57 |
7 x 2.00 |
26,60 |
1260 |
0,0733 |
95115 |
890 |
|
400/51 |
54 x 3.05 |
7 x 3.05 |
27,50 |
1490 |
0,0733 |
120481 |
900 |
|
400/64 |
26 x 4.37 |
7 x 3.40 |
27,70 |
1571 |
0,0741 |
129183 |
897 |
|
400/93 |
30 x 4.15 |
19 x 2.50 |
29,10 |
1850 |
0,0711 |
173715 |
930 |
Ghi chú: (*) Điều kiện tính toán dòng mang tải cho phép
- Nhiệt độ làm việc của dây dẫn: 90 oC
- Nhiệt độ môi trường: 30 oC
- Tốc độ gió: 0,5 m/s
-
Phụ lục H-5: DÒNG ĐIỆN LÂU DÀI CHO PHÉP CỦA THANH DẪN ĐIỆN
Bảng H.10: Dòng điện cho phép lâu dài của thanh dẫn tròn hoặc ống bằng đồng
hoặc nhôm
|
Đường kính (mm) |
Thanh tròn |
Ống đồng |
Ống nhôm |
|||
|
Dòng điện (*) (A) |
Đường kính trong/ngoài |
Dòng điện (A) |
Đường kính trong/ngoài |
Dòng điện (A) |
||
|
Đồng |
Nhôm |
|||||
|
6 |
155 |
120 |
12/15 |
340 |
13/16 |
295 |
|
7 |
195 |
150 |
14/18 |
460 |
17/20 |
345 |
|
8 |
235 |
180 |
16/20 |
505 |
18/22 |
425 |
|
10 |
320 |
245 |
18/22 |
555 |
27/30 |
500 |
|
12 |
415 |
320 |
20/24 |
600 |
26/30 |
575 |
|
14 |
505 |
390 |
22/26 |
650 |
25/30 |
640 |
|
15 |
565 |
435 |
25/30 |
830 |
36/40 |
765 |
|
16 |
610/615 |
475 |
29/34 |
925 |
35/40 |
850 |
|
18 |
720/725 |
560 |
35/40 |
1100 |
40/45 |
935 |
|
19 |
780/785 |
605/610 |
40/45 |
1200 |
45/50 |
1040 |
|
20 |
835/840 |
650/655 |
45/50 |
1330 |
50/55 |
1150 |
|
21 |
900/905 |
695/700 |
49/55 |
1580 |
54/60. |
1340 |
|
22 |
955/965 |
740/745 |
53/60 |
1860 |
64/70 |
1545 |
|
25 |
1140/1165 |
885/900 |
62/70 |
2295 |
74/80 |
1770 |
|
27 |
1270/1290 |
980/1000 |
72/80 |
2610 |
72/80 |
2035 |
|
28 |
1325/1360 |
1025/1050 |
75/85 |
3070 |
75/85 |
2400 |
|
30 |
1450/1490 |
1120/1155 |
90/95 |
2460 |
90/95 |
1925 |
|
35 |
1770/1865 |
1370/1450 |
95/100 |
3060 |
90/100 |
2840 |
|
38 |
1960/2100 |
1510/1620 |
- |
- |
- |
- |
|
40 |
2080/2260 |
1610/1750 |
- |
- |
- |
- |
|
42 |
2200/2430 |
1700/1870 |
- |
- |
- |
|
|
45 |
2380/2670 |
1850/2060 |
- |
- |
- |
|
Ghi chú: (*) Tử số là dòng điện xoay chiều cho phép, mẫu số là dòng điện một chiều cho phép
Bảng H.11: Dòng điện lâu dài cho phép của thanh dẫn chữ nhật bằng đồng
|
Kích thước, (mm) |
Dòng điện(*) cho phép theo số lượng thanh trong 1 pha (A) |
|||
|
1 |
2 |
3 |
4 |
|
|
15x3 |
210 |
- |
- |
- |
|
20x3 |
275 |
- |
- |
- |
|
25x3 |
340 |
- |
- |
- |
|
30x4 |
475 |
- |
- |
- |
|
40x4 |
625 |
-/1090 |
- |
- |
|
40x5 |
700/705 |
-/1250 |
- |
- |
|
50x5 |
860/870 |
-/1525 |
-/1895 |
- |
|
50*x6 |
955/960 |
-/1700 |
-/2145 |
- |
|
60x6 |
1125/1145 |
1470/1990 |
2240/2495 |
- |
|
80x6 |
1480/1510 |
2110/2360 |
2720/3220 |
- |
|
100x6 |
1810/1875 |
2470/3245 |
3770/3940 |
- |
|
60x8 |
1320/1345 |
2160/2485 |
2790/3020 |
- |
|
80x8 |
1690/1755 |
2620/3095 |
3370/3850 |
- |
|
100x8 |
2080/2180 |
3630/3180 |
3930/4690 |
- |
|
120x8 |
2400/2600 |
3400/4400 |
4340/5600 |
- |
|
60x10 |
1475/1525 |
2560/2725 |
3300/3530 |
- |
|
80x10 |
1900/1990 |
3100/3510 |
3990/4450 |
- |
|
100x10 |
2310/2470 |
3610/4395 |
4650/5385 |
5300/6060 |
|
120x10 |
2650/2950 |
4100/5000 |
5200/6250 |
5900/6800 |
Ghi chú: (*) Tử số là dòng điện xoay chiều cho phép, mẫu số là dòng điện một chiều cho phép
Bảng H.12: Dòng điện lâu dài cho phép của dây dẫn bằng đồng thau hoặc đồng
thau có ruột thép
|
Dây đồng thau |
Dây đồng thau có ruột thép |
||
|
Mã hiệu dây |
Dòng điện(*) cho phép (A) |
Mã hiệu dây |
Dòng điện(*) cho phép (A) |
|
B-50 |
215 |
BC-185 |
515 |
|
B-70 |
265 |
BC-240 |
640 |
|
B-95 |
330 |
BC-300 |
750 |
|
B-120 |
380 |
BC-400 |
890 |
|
B-150 |
430 |
BC-500 |
980 |
|
B-185 |
500 |
|
|
|
B-240 |
600 |
|
|
|
B-300 |
700 |
|
|
Ghi chú: (*) Dòng điện cho phép ứng với dây dẫn bằng đồng thau có điện trở suất là ρ20 = 0,003 Ω.mm2/m
Bảng H.13: Dòng điện lâu dài cho phép của thanh dẫn chữ nhật bằng nhôm
|
Kích thước (mm) |
Dòng điện (*) cho phép theo số lượng thanh trong 1 pha (A) |
|||
|
1 |
2 |
3 |
4 |
|
|
15x3 |
165 |
- |
|
|
|
20x3 |
215 |
- |
|
|
|
25x3 |
265 |
- |
|
|
|
30x4 |
365 / 370 |
- |
|
|
|
40x4 |
480 |
- / 885 |
|
|
|
40x5 |
540 / 545 |
- / 965 |
|
|
|
50x5 |
665 / 670 |
-/ 1180 |
- / 1470 |
|
|
50x6 |
740 / 745 |
- / 1335 |
- / 1655 |
|
|
60x6 |
870 / 880 |
1350 / 1555 |
1720 / 1940 |
|
|
80x6 |
1150/ 1170 |
1360 / 2055 |
2100 / 2460 |
|
|
100x6 |
1425 / 1455 |
1935 / 2515 |
2500 / 3040 |
|
|
60x8 |
1025 / 1040 |
1680 / 1810 |
2810 / 2330 |
|
|
80x8 |
1320 / 1355 |
2040 / 2100 |
2625 / 2975 |
|
|
100x8 |
1625 / 1690 |
2390 / 2945 |
3050 / 3620 |
|
|
120x8 |
1900 / 2040 |
2650 / 3350 |
3380 / 4250 |
|
|
60x10 |
1155/ 1180 |
2010 / 2110 |
2650 / 2720 |
|
|
80x10 |
1480 / 1540 |
2410 / 2735 |
3100 / 3440 |
|
|
100x10 |
1820 / 1910 |
2860 / 3350 |
3640 / 4160 |
4150 / 4400 |
|
120x10 |
2070 / 2300 |
3200 / 3900 |
4100 / 4800 |
4650 / 5200 |
Ghi chú: (*) Tử số là dòng điện xoay chiều cho phép, mẫu số là dòng điện một chiều cho phép
Bảng H.14: Dòng điện lâu dài cho phép của thanh dẫn bố trí hình vuông
|
Kích thước (mm) |
Tiết diện của bốn thanh (mm2) |
Dòng điện cho phép của cả bộ (A) |
||||
|
h |
b |
h1 |
H |
Đồng |
Nhôm |
|
|
80 |
8 |
140 |
157 |
2560 |
5750 |
4550 |
|
80 |
10 |
144 |
160 |
3200 |
6400 |
5100 |
|
100 |
8 |
160 |
185 |
3200 |
7000 |
5550 |
|
100 |
10 |
164 |
188 |
4000 |
7700 |
6200 |
|
120 |
10 |
184 |
216 |
4800 |
9050 |
7300 |

Hình H.1: Sơ đồ tiết diện của thanh dẫn bố trí hình vuông
Bảng H.15: Dòng điện lâu dài cho phép của thanh dẫn bố trí hình hộp
|
Kích thước (mm) |
Tiết diện toàn phần (mm2) |
Dòng điện cho phép của cả bộ (A) |
||||
|
a |
b |
c |
r |
Đồng |
Nhôm |
|
|
75 |
35 |
4 |
6 |
1040 |
2730 |
- |
|
75 |
35 |
5.5 |
6 |
1390 |
3250 |
2670 |
|
100 |
45 |
4.5 |
8 |
1550 |
3620 |
2820 |
|
100 |
45 |
6 |
8 |
2020 |
4300 |
3500 |
|
125 |
55 |
6.5 |
10 |
2740 |
5500 |
4640 |
|
150 |
65 |
7 |
10 |
3570 |
7000 |
5650 |
|
175 |
80 |
8 |
12 |
4880 |
8550 |
6430 |
|
200 |
90 |
10 |
14 |
6870 |
9900 |
7550 |
|
200 |
90 |
12 |
16 |
8080 |
10500 |
8830 |
|
225 |
105 |
12.5 |
16 |
9760 |
12500 |
10300 |
|
250 |
115 |
12.5 |
16 |
10900 |
- |
10800 |

Hình H.2: Sơ đồ tiết diện của thanh dẫn bố trí hình hộp
Bảng H.16: Hệ số hiệu chỉnh dòng điện lâu dài cho phép của thanh dẫn theo nhiệt
độ của môi trường
|
Nhiệt độ tiêu chuẩn của thanh dẫn (oC) |
Hệ số hiệu chính dòng điện lâu dài cho phép theo nhiệt độ môi trường (oC) |
|||||||
|
15 |
20 |
25 |
30 |
35 |
40 |
45 |
50 |
|
|
80 |
1,09 |
1,04 |
1,00 |
0,90 |
0,80 |
0,80 |
0,80 |
0,74 |
|
70 |
1,11 |
1,05 |
1,00 |
0,94 |
0,88 |
0,81 |
0,74 |
0,67 |
|
65 |
1,12 |
1,06 |
1,00 |
0,94 |
0,87 |
0,79 |
0,71 |
0,61 |
|
60 |
1,13 |
1,07 |
1,00 |
0,93 |
0,85 |
0,76 |
0,66 |
0,54 |
|
55 |
1,15 |
1,08 |
1,00 |
0,91 |
0,82 |
0,71 |
0,58 |
0,41 |
|
50 |
1,18 |
1,09 |
1,00 |
0,89 |
0,78 |
0,63 |
0,45 |
- |
Phụ lục I: KIỂM TRA THEO ĐIỀU KIỆN VẦNG QUANG
Đối với cấp điện áp 110 kV trở lên, dây dẫn phải được kiểm tra theo điều kiện vầng quang, theo nhiệt độ trung bình của không khí và mật độ không khí phụ thuộc độ cao so với mặt biển. Cường độ điện trường lớn nhất (E) ở mặt ngoài dây dẫn không được vượt quá 0,9E0 (E0 là cường độ điện trường bắt đầu phát sinh vầng quang trên dây dẫn).
E0 = 17 ÷ 21 kV/cm.
Cường độ điện trường trong thực tế của dây phân pha được tính theo công thức sau:

Trong đó:
U: điện áp danh định, kV
n: số dây phân pha, nếu không phân pha thì n =1
a: khoảng cách giữa các dây phân pha, cm, r: bán kính của mỗi dây, cm
Dtb: khoảng cách trung bình hình học giữa các pha
rtd: bán kính tương đương, tính theo công thức:

Đối với cấp điện áp 110 kV, tiết diện nhỏ nhất để hạn chế phát sinh vầng quang là 70 mm2, và đối với cấp điện áp 220 kV, tiết diện nhỏ nhất là 240 mm2
Đối với cấp điện áp từ 220 kV trở lên, dùng biện pháp phân pha thành 2 đến 4 dây nhỏ hơn để hạn chế vầng quang.
Cũng phải kiểm tra mức độ nhiễu thông tin vô tuyến của vầng quang.
Tổn thất vầng quang được tính theo công thức sau:
![]()
P: Tổn thất công suất của một dây dẫn có chiều dài là 1 km (kW)
E: Giá trị hiệu dụng của điện áp đến đất ( kV)
d: Đường kính dây dẫn (cm)
D: Khoảng cách giữa các dây dẫn phân pha (cm)
f: Tần số (Hz)
![]()
δ : Mật độ tương đối của không khí
p : Áp suất khí quyển (hPa)
t: Nhiệt độ không khí (oC)
![]()
E0: Điện áp tới hạn vầng quang ( kV/cm)
r: Bán kính của dây dẫn (cm)
Phụ lục K: KIỂM TRA THEO ĐIỀU KIỆN NGẮN MẠCH
Lực điện động
Thanh dẫn, dây dẫn, cách điện và kết cấu đỡ cứng phải chịu được lực điện động sinh ra trong trường hợp dòng ngắn mạch lớn nhất.
Lực điện động tác dụng lên dây dẫn mềm, cách điện, các đầu dây và dây treo dây dẫn điện được tính theo giá trị trung bình bình phương của các dòng điện ngắn mạch của 2 pha liền kề nhau. Đối với các dây dẫn trong 1 pha và các dây treo dây dẫn mềm, thì lực tác dụng của dòng điện ngắn mạch trong các dây dẫn trong 1 pha được xác định theo giá trị hiệu dụng của dòng điện ngắn mạch 3 pha.
Lực cơ học do dòng điện ngắn mạch truyền qua thanh dẫn cứng đến cách điện đỡ và cách điện xuyên tường không được vượt quá 60% lực phá huỷ nhỏ nhất của cách điện nếu là cách điện đơn, và không được quá 100% lực phá huỷ của cách điện nếu là cách điện bố trí kép.
Nếu dùng thanh dẫn định hình gồm nhiều thanh dẹt hoặc chữ U thì ứng suất cơ học bằng tổng ứng suất sinh ra do lực tác động tương hỗ giữa các pha và giữa các phần tử của mỗi thanh.
Ứng suất cơ học lớn nhất của vật liệu của thanh dẫn cứng không được vượt quá 70% lực phá huỷ tức thời.
Lực điện từ do ngắn mạch tác động lên cách điện và thanh cái:
Bản tính mẫu cường độ của thanh ống nhôm với giả thiết có lực điện từ ngắn mạch được diễn tả dưới đây:
|
(Điều kiện tính toán) - Dòng điện ngắn mạch: 20 kA - Khoảng trống giữa các cột: 1,6 m - Khoảng trống giữa các điểm đỡ: 4 m - Chiều dài một thanh: 8 m |
|
|
- Công thức tính toán lực điện từ |
Trong đó - √3/ 2: Hệ số khi bố trí thanh cái nằm ngang - Is: Dòng điện ngắn mạch (A) - K: Hệ số' kéo căng (3 đến 4) - d: Khoảng trống giữa hai dây dẫn (m) |
Tính toán cường độ theo điều kiện trên chỉ ra như sau:
|
- Lực điện từ ngắn mạch của thanh cái F1 = |
0,866 * 2,04 * 200002 * 4 |
= 17,6kg/m |
|
1,6 * 108 |
|
- Lực điện từ ngắn mạch của cách điện đỡ F2 = |
17,6kg/m * 8m |
= 46,9kg |
|
3 |
Phụ lục L: DÒNG ĐIỆN TỨC THỜI CHO PHÉP CỦA DÂY CHỐNG SÉT
Bảng L.1: Dòng điện tức thời cho phép của dây thép mạ kẽm (kA)
|
Thời gian (s) Tiết diện (mm2) |
0,1 |
0,2 |
0,3 |
0,4 |
0,5 |
0,6 |
0,7 |
|
10 |
1,77 |
1,25 |
1,02 |
0,89 |
0,79 |
0,72 |
0,67 |
|
20 |
3,54 |
2,50 |
2,04 |
1,77 |
1,58 |
1,45 |
1,34 |
|
30 |
5,31 |
3,76 |
3,07 |
2,66 |
2,38 |
2,17 |
2,01 |
|
40 |
7,08 |
5,01 |
4,09 |
3,54 |
3,17 |
2,89 |
2,68 |
|
50 |
8,85 |
6,26 |
5,11 |
4,43 |
3,96 |
3,61 |
3,35 |
|
60 |
10,63 |
7,51 |
6,13 |
5,31 |
4,75 |
4,34 |
4,02 |
|
70 |
12,40 |
8,77 |
7,16 |
6,20 |
5,54 |
5,06 |
4,69 |
|
80 |
14,17 |
10,02 |
8,18 |
7,08 |
6,34 |
5,78 |
5,35 |
|
90 |
15,94 |
11,27 |
9,20 |
7,97 |
7,13 |
6,51 |
6,02 |
|
100 |
17,71 |
12,52 |
10,22 |
8,85 |
7,92 |
7,23 |
6,69 |
|
110 |
19,48 |
13,77 |
11,25 |
9,74 |
8,71 |
7,95 |
7,36 |
|
120 |
21,25 |
15,03 |
12,27 |
10,63 |
9,50 |
8,68 |
8,03 |
|
130 |
23,02 |
16,28 |
13,29 |
11,51 |
10,30 |
9,40 |
8,70 |
|
140 |
24,79 |
17,53 |
14,31 |
12,40 |
11,09 |
10,12 |
9,37 |
|
150 |
26,56 |
18,78 |
15,34 |
13,28 |
11,88 |
10,84 |
10,04 |
|
160 |
28,33 |
20,04 |
16,36 |
14,17 |
12,67 |
11,57 |
10,71 |
|
170 |
30,10 |
21,29 |
17,38 |
15,05 |
13,46 |
12,29 |
11,38 |
|
180 |
31,88 |
22,54 |
18,40 |
15,94 |
14,26 |
13,01 |
12,05 |
|
190 |
33,65 |
23,79 |
19,43 |
16,82 |
15,05 |
13,74 |
12,72 |
|
200 |
35,42 |
25,04 |
20,45 |
17,71 |
15,84 |
14,46 |
13,39 |
Bảng L.2: Dòng điện tức thời cho phép của dây nhôm lõi thép và dây thép
phủ nhôm (kA)
|
Thời gian (s) Tiết diện (mm2) |
0,1 |
0,2 |
0,3 |
0,4 |
0,5 |
0,6 |
0,7 |
|
10 |
2,94 |
2,08 |
1,70 |
1,47 |
1,32 |
1,20 |
1,11 |
|
20 |
5,88 |
4,16 |
3,40 |
2,94 |
2,63 |
2,40 |
2,22 |
|
30 |
8,82 |
6,24 |
5,09 |
4,41 |
3,95 |
3,60 |
3,33 |
|
40 |
11,76 |
8,32 |
6,79 |
5,88 |
5,26 |
4,80 |
4,45 |
|
50 |
14,70 |
10,40 |
8,49 |
7,35 |
6,58 |
6,00 |
5,56 |
|
60 |
17,65 |
12,48 |
10,19 |
8,82 |
7,89 |
7,20 |
6,67 |
|
70 |
20,59 |
14,56 |
11,89 |
10,29 |
9,21 |
8,40 |
7,78 |
|
80 |
23,53 |
16,64 |
13,58 |
11,76 |
10,52 |
9,60 |
8,89 |
|
90 |
26,47 |
18,72 |
15,28 |
13,23 |
11,84 |
10,81 |
10,00 |
|
100 |
29,41 |
20,80 |
16,98 |
14,70 |
13,15 |
12,01 |
11,12 |
|
110 |
32,35 |
22,87 |
18,68 |
16,18 |
14,47 |
13,21 |
12,23 |
|
120 |
35,29 |
24,95 |
20,38 |
17,65 |
15,78 |
14,41 |
13,34 |
|
130 |
38,23 |
27,03 |
22,07 |
19,12 |
17,10 |
15,61 |
14,45 |
|
140 |
41,17 |
29,11 |
23,77 |
20,59 |
18,41 |
16,81 |
15,56 |
|
150 |
44,11 |
31,19 |
25,47 |
22,06 |
19,73 |
14,01 |
16,67 |
|
160 |
47,05 |
33,27 |
27,17 |
23,53 |
21,04 |
19,21 |
17,79 |
|
170 |
50,00 |
35,35 |
28,86 |
25,00 |
22,36 |
20,41 |
18,90 |
|
180 |
52,94 |
37,43 |
30,56 |
26,47 |
23,67 |
21,61 |
20,01 |
|
190 |
55,88 |
39,51 |
32,26 |
27,94 |
24,99 |
22,81 |
21,12 |
|
200 |
58,82 |
41,59 |
33,96 |
29,41 |
26,30 |
24,01 |
22,23 |
Phụ lục M. NHIỆT ĐỘ CỰC ĐẠI CỦA PHẦN TIẾP XÚC
Bảng M.1: Nhiệt độ cực đại phần tiếp xúc của dây dẫn, thanh dẫn
|
Vị trí |
Nhiệt độ cực đại cho phép (oC) |
|
|
Thanh cái và dây dẫn nối vào |
105 |
|
|
Phần tiếp xúc |
Tiếp xúc đồng Tiếp xúc bạc |
75 105 |
|
Các điểm nối của cực nối và dây dẫn |
Đồng với đồng |
80 |
|
Giữa các chi tiết hàn mạ thiếc |
85 |
|
|
Giữa các chi tiết mạ bạc |
105 |
|
Phụ lục N: TÍNH TOÁN NHIỄU VẦNG QUANG
1. Giá trị cho phép của nhiễu vầng quang
Tỷ số tín hiệu / tiếng ồn do nhiễu vầng quang phải phù hợp với các mức sau.
- Thời tiết đẹp hoặc có mây: 40 dB và cao hơn
- Thời tiết có mưa: 20 dB và cao hơn
SN=S-N
SN: Tỷ số tín hiệu/nhiễu (dB)
S: Trị số đo của cường độ điện trường phát ra trong điều thời tiết tốt (dB)
N: Mức nhiễu vầng quang được tính trong Chương (2) (dB)
2. Mức nhiễu vầng quang
N=Ns+3,5(E-15)+Nd+(Kh+Nx)
N: Mức nhiễu vầng quang tính toán (dB)
Ns: Mức nhiễu vầng quang trên độ chênh lệch điện của bề mặt dây dẫn có đường kính 30 mm. Bình thường, mức nhiễu này là 43 dB. (dB)
Nd: Hệ số hiệu chỉnh theo đường kính của dây dẫn được tính theo công thức sau:
![]()
r: Bán kính của dây dẫn (cm)
Kh: Độ suy giảm của nhiễu vầng quang theo độ cao của dây dẫn được tính theo công thức sau:
![]()
h: Khoảng cách thẳng đứng giữa dây dẫn thấp nhất và điểm đo trên mặt đất (m) Nx: Độ suy giảm của nhiễu vầng quang theo phương vuông góc với ĐDK

x: Khoảng cách nằm ngang từ dây dẫn đến điểm đo
E: Độ chênh lệch điện lớn nhất của bề mặt dây dẫn ( kV/cm)
Độ chênh lệch điện lớn nhất của bề mặt của dây dẫn đơn được tính như sau:
![]()
V: điện áp của ĐDK ( kV)
C: Điện dung tĩnh điện đến đất

Phụ lục O: HỆ SỐ ĐIỀU CHỈNH DÒNG ĐIỆN CỦA CÁP
Bảng O.1: Hệ số điều chỉnh dòng điện của cáp bố trí trong tủ điện

Phụ lục P-1: LỰA CHỌN MÁY CẮT ĐIỆN
Lựa chọn máy cắt điện theo những yêu cầu sau:
1. Điện áp của lưới điện đấu nối vào máy cắt, dòng điện tải qua máy cắt.
2. Khả năng cắt: Dòng điện cắt tính toán là dòng điện ngắn mạch hiệu dụng toàn phần (kể cả thành phần không chu kỳ) được xác định với thời gian nhả tiếp điểm máy cắt, bằng tổng thời gian cắt riêng của máy cắt (từ khi phát lệnh cắt đến khi nhả tiếp điểm dập hồ quang) cộng với thời gian dập tắt hồ quang.
Đối với máy cắt 500 kV và 220 kV ở đầu đường dây dài, máy cắt đầu cực và máy cắt đặt gần cuộn kháng, lưu ý lựa chọn theo khả năng cắt điện áp phục hồi quá độ (TRV) sau ngắn mạch.
3. Khả năng đóng: đối với máy cắt của máy biến áp cần kiểm tra trong trường hợp đóng không đồng bộ trong tình trạng đối pha.
Phụ lục P-2: LỰA CHỌN CẦU CHẢY
Lựa chọn cầu chảy điện theo những yêu cầu sau:
1. Điện áp của lưới điện đấu nối vào cầu chảy, dòng điện của phụ tải sau cầu chảy để chọn dây chảy.
2. Cầu chảy phải được chọn phù hợp để không cắt với dòng điện xung kích của máy biến áp hoặc bộ tụ điện và dòng khởi động của động cơ.
Phụ lục Q: HỆ THỐNG ĐIỀU KHIỂN TÍCH HỢP
Hệ thống điều khiển bảo vệ tích hợp máy tính cho các TBA 500 kV, 220 kV, 110 kV được định nghĩa là hệ thống máy tính có các phần mềm điều khiển kết nối với các thiết bảo vệ, điều khiển và đo lường tại trạm. Các thiết bị bảo vệ, điều khiển và đo lường là các thiết bị điện tử thông minh (IEDs) cho phép liên kết mạng và trao đổi dữ liệu giữa các thiết bị ngang hàng (peer-to-peer) cũng như với hệ thống máy tính theo các tiêu chuẩn Quốc tế IEC hiện hành và yêu cầu kỹ thuật chi tiết của các đơn vị quản lý trong hệ thống điện. Dữ liệu vận hành được thu thập, lưu trữ và xử lý bởi hệ thống máy tính sử dụng cho giao diện người máy (HMI) trên màn hình điều khiển tại trạm và trao đổi với các hệ thống điều khiển của các Trung tâm điều độ cũng như các hệ thống khác bên ngoài trạm. Xét trên diện rộng, các thiết bị điện tử thông minh có thể được lắp đặt tại các nhà máy điện, trong trạm, mặt bằng ngoài trạm, các đường dây truyền tải, các lộ phân phối hoặc tại các giao diện với khách hàng. Hệ thống tích hợp trạm bao gồm các phần chính sau:
1. Các thiết bị rơ-le bảo vệ, bộ xử lý điều khiển mức ngăn (BCU), thiết bị đo lường và công tơ đo đếm điện năng: Đây là các thiết bị phải sử dụng kỹ thuật số và được gọi là các thiết bị điện tử thông minh (Intelligent Electronic Device-IED). Các chức năng cụ thể của các thiết bị này có thể được tích hợp tùy thuộc vào yêu cầu của người sử dụng và cấu hình chế tạo của nhà sản xuất.
2. Các thiết bị thu thập và truyền dữ liệu (Gateway hoặc RTU): Sử dụng các thiết bị được sản xuất theo chuẩn công nghiệp phù hợp với yêu cầu về môi trường làm việc khắc nghiệt về nhiệt độ, điện áp cao và nhiễu điện từ trường trong các trạm biến áp. Các thiết bị này phải được sử dụng cùng các phần mềm chuyên dụng để kết nối với IED, thu thập dữ liệu, cung cấp giao diện cho người vận hành (HMI), lưu trữ dữ liệu vận hành (HIS) và cung cấp các ứng dụng cần thiết cho người sử dụng. Ngoài ra các máy tính chủ sẽ phải cung cấp giao diện kết nối với các trung tâm điều độ cấp trên và các trung tâm giám sát điều khiển xa và trung tâm quản lý vận hành của các đơn vị truyền tải/phân phối điện.
3. Mạng cục bộ tại trạm (LAN): Mạng LAN tạo ra sự kết nối truyền dữ liệu giữa các máy tính chủ và các thiết bị điện tử thông minh IEDs cũng như giữa các thiết bị IEDs.
4. Hệ thống điều khiển, bảo vệ và đo lường: Các thiết bị IEDs được kết nối theo thiết kế phù hợp với các quy định hiện hành và yêu cầu kỹ thuật của người sử dụng nhằm Mục tiêu thực hiện các chức năng bảo vệ, điều khiển và đo lường của trạm biến áp. Hệ thống này phải bảo đảm hoạt động vận hành an toàn cho trạm biến áp ngay cả khi các máy tính chủ bị hư hỏng.
5. Giao diện với người vận hành (HMI): Hệ thống giao diện với người vận hành cung cấp giao diện trực quan để người vận hành có thể giám sát và điều khiển toàn bộ thông số vận hành của các thiết bị nhất thứ, thiết bị nhị thứ, các máy tính chủ, mạng LAN, hệ thống cung cấp tự dùng AC/DC, hệ thống thông tin liên lạc và hệ thống phòng cháy, chữa cháy. Ngoài ra giao diện HMI còn cung cấp cho người vận hành khả năng truy cập dữ liệu đến tất cả các phần tử của hệ thống tích hợp cũng như tạo ra các báo cáo cần thiết trong vận hành.
6. Cơ sở dữ liệu quá khứ (Historian Information System-HIS): Hệ quản trị cơ sở dữ liệu quá khứ sẽ lưu trữ toàn bộ thông số vận hành, trạng thái thiết bị, các cảnh báo (alarm), thao tác của người vận hành phục vụ công tác điều tra sau sự cố, cung cấp dữ liệu phục vụ công tác lập kế hoạch từ ngắn hạn đến dài hạn cũng như các báo cáo cần thiết. Cơ sở dữ liệu phải cung cấp các công cụ truy vấn dữ liệu theo chuẩn ODBC với độ phân giải đến giây (1 ms).
Phụ lục R: KÝ HIỆU CÁC CHỨC NĂNG BẢO VỆ VÀ TỰ ĐỘNG
|
TT |
Ký hiệu |
Chức năng |
|
1 |
5 (50/27) |
Bảo vệ chống đóng máy phát không chủ đích |
|
2 |
21 |
Bảo vệ khoảng cách |
|
3 |
21N |
Bảo vệ khoảng cách chạm đất |
|
4 |
24 |
Bảo vệ quá kích thích (quá từ thông) |
|
5 |
25 |
Kiểm tra đồng bộ |
|
6 |
26O/26W |
Bảo vệ quá nhiệt (dầu/cuộn dây MBA) |
|
7 |
27 |
Bảo vệ kém áp |
|
8 |
32 |
Bảo vệ công suất ngược (máy phát) |
|
9 |
37 |
Bảo vệ công suất máy phát cực tiểu |
|
10 |
40 |
Bảo vệ mất kích từ (máy phát) |
|
11 |
46 |
Bảo vệ quá dòng thứ tự nghịch |
|
|
46BC |
Bảo vệ đứt dây, tụt lèo theo dòng thứ tự nghịch |
|
12 |
49 |
Bảo vệ quá tải |
|
13 |
49R |
Bảo vệ quá tải rotor máy phát |
|
14 |
50 |
Bảo vệ quá dòng cắt nhanh |
|
15 |
50N |
Bảo vệ quá dòng chạm đất cắt nhanh sử dụng dòng điện thứ tự không tổng hợp từ TI ba pha |
|
16 |
50G |
Bảo vệ quá dòng chạm đất cắt nhanh sử dụng dòng điện đo lường trực tiếp từ TI thứ tự không |
|
17 |
50Ns |
Bảo vệ quá dòng chạm đất cắt nhanh độ nhạy cao sử dụng dòng điện thứ tự không đo lường trực tiếp từ TI xuyến |
|
18 |
50BF |
Bảo vệ chống hư hỏng máy cắt |
|
19 |
50Ub |
Bảo vệ quá dòng không cân bằng |
|
20 |
50-STUB |
Bảo vệ đoạn thanh dẫn (làm việc khi máy cắt đường dây đóng nhưng dao cách ly đường dây mở) |
|
21 |
51 |
Bảo vệ quá dòng |
|
22 |
51LF |
Bảo vệ quá dòng máy phát ở tần số thấp |
|
23.1 |
51N, 51G |
Bảo vệ quá dòng chạm đất có thời gian sử dụng dòng điện thứ tự không tổng hợp từ TI 3 pha |
|
23.2 |
51G |
Bảo vệ quá dòng chạm đất có thời gian sử dụng dòng đo lường trực tiếp từ TI thứ tự không |
|
23.3 |
51Ns |
Bảo vệ quá dòng chạm đất có thời gian độ nhạy cao sử dụng dòng điện thứ tự không đo lường trực tiếp từ TI xuyến |
|
24 |
51/27 |
Bảo vệ quá dòng có khóa điện áp thấp |
|
25 |
51V |
Bảo vệ quá dòng có đặc tính hãm theo điện áp |
|
26 |
59 |
Bảo vệ quá áp |
|
27 |
59LF |
Bảo vệ quá áp máy phát ở tần số thấp |
|
28 |
59N |
Bảo vệ quá áp thứ tự không |
|
29 |
59TN (hoặc 27TN) |
Bảo vệ chống chạm đất stator sử dụng sóng hài bậc 3 |
|
30 |
60 |
Bảo vệ giám sát mạch điện áp |
|
31 |
63 |
Rơ-le áp lực |
|
32 |
64DC |
Bảo vệ chống chạm đất Stator ở tần số thấp |
|
33 |
64R |
Bảo vệ chống chạm đất rotor |
|
34 |
64S-95% |
Bảo vệ chống chạm đất 95% cuộn dây Stator |
|
|
64S-100% |
Bảo vệ chống chạm đất 100% cuộn dây Stator |
|
35 |
67 |
Bảo vệ quá dòng có hướng |
|
36 |
67N |
Bảo vệ quá dòng chạm đất có hướng sử dụng dòng điện thứ tự không tổng hợp từ TI ba pha |
|
|
67G |
Bảo vệ quá dòng chạm đất có hướng sử dụng dòng đo lường trực tiếp từ TI thứ tự không |
|
37 |
67Ns |
Bảo vệ quá dòng chạm đất có hướng độ nhạy cao sử dụng dòng điện thứ tự không đo lường trực tiếp từ TI xuyến |
|
38 |
68 |
Bảo vệ phát hiện dao động điện 68B: Khóa khi có dao động điện; 68T: Cắt khi có dao động điện (mất đồng bộ) |
|
39 |
71 |
Bảo vệ mức dầu giảm thấp |
|
40 |
74 |
Rơ-le giám sát mạch cắt |
|
41 |
78 |
Bảo vệ chống chế độ mất đồng bộ máy phát |
|
42 |
79 |
Rơ-le tự động đóng lại |
|
43 |
80 |
Rơ-le dòng chất lỏng hoặc chất khí |
|
|
81 |
Bảo vệ sa thải phụ tải theo tần số |
|
44 |
85 |
Rơ-le gửi, nhận thông tin phối hợp tác động với bảo vệ đầu đối diện |
|
45 |
86 |
Rơ-le lockout |
|
46 |
87T |
Bảo vệ so lệch máy biến áp |
|
47 |
87L |
Bảo vệ so lệch đường dây |
|
48 |
87B |
Bảo vệ so lệch thanh cái |
|
49 |
87S |
Bảo vệ so lệch thanh dẫn |
|
50 |
87G |
Bảo vệ so lệch máy phát |
|
51 |
87I |
Bảo vệ so lệch ngang máy phát |
|
52 |
87GT |
Bảo vệ so lệch khối máy phát, máy biến áp |
|
53 |
87N (50REF hoặc 64REF) |
Bảo vệ so lệch dòng điện thứ tự không |
|
54 |
87E |
Bảo vệ so lệch máy biến áp kích từ |
|
55 |
96 |
Rơ-le gas cho bình dầu chính và ngăn điều áp dưới tải |
|
56 |
SOTF |
Bảo vệ chống đóng vào điểm sự cố |
|
57 |
FR |
Chức năng ghi sự cố |
|
58 |
FL |
Chức năng định vị điểm sự cố |
Ví dụ: F21
![]()
Phụ lục S: CÁC NỘI DUNG BÃI BỎ VÀ ĐIỀU CHỈNH TRONG QCVN QTĐ-
5:2009/BCT, QTĐ-6:2009/BCT, QTĐ-7:2009/BCT
1. QCVN QTĐ-5:2009/BCT Kiểm định trang thiết bị hệ thống điện
Các nội dung trong QCVN QTĐ-5:2009/BCT trùng lặp với nội dung thuộc QCVN Hệ thống lưới điện được bãi bỏ, điều chỉnh như sau:
|
QCVN QTĐ-5:2009/BCT trùng lặp với nội dung thuộc QCVN Hệ thống lưới điện |
Nội dung thực hiện |
|
Phần II: Trạm biến áp, đường dây truyền tải và phân phối điện |
|
|
- Chương 1: Quy định chung |
Bãi bỏ trong QCVN QTĐ- 5:2009/BcT |
|
- Chương 2: Tổ chức quản lý vận hành và bảo dưỡng |
|
|
- Chương 3: Kiểm tra bàn giao |
|
|
- Chương 4: Kiểm tra lắp đặt |
|
|
- Chương 5: Kiểm tra hoàn thành |
|
|
- Chương 6: Kiểm tra định kỳ |
2. QCVN QTĐ-6:2009/BCT Vận hành, sửa chữa trang thiết bị hệ thống điện
Các nội dung trong QCVN QTĐ-6:2009/BCT trùng lặp với nội dung thuộc QCVN Hệ thống lưới điện được bãi bỏ, điều chỉnh như sau:
|
QCVN QTĐ-6:2009/BCT trùng lặp với nội dung thuộc QCVN Hệ thống lưới điện |
Nội dung thực hiện |
|
Phần II: Cơ cấu tổ chức |
|
|
- Chương 2: Nghiệm thu trang thiết bị và công trình đưa vào vận hành |
|
|
- Chương 3: Chuẩn bị cán bộ công nhân viên |
|
|
- Chương 4: Sửa chữa thiết bị, nhà cửa và công trình theo kế hoạch |
Không áp dụng với các công trình thuộc hệ thống lưới điện. |
|
- Chương 5: Tài liệu kỹ thuật |
|
|
- Chương 6: Kỹ thuật an toàn |
|
|
- Chương 7: An toàn về phòng chống cháy |
|
|
- Chương 8: Trách nhiệm thi hành quy phạm kỹ thuật vận hành |
|
|
Phần VI: Thiết bị điện của nhá máy điện và lưới điện |
|
|
- Chương 4: Máy biến áp, máy biến áp tự ngẫu và điện kháng có dầu |
Bãi bỏ trong QCVN QTĐ- 6:2009/BcT |
|
- Chương 5: Hệ thống phân phối điện |
|
|
- Chương 6: Hệ thống Ắc quy (Accu) |
|
|
- Chương 7: Đường dây điện trên không (ĐDK) |
|
|
- Chương 8: Đường cáp điện lực |
|
|
- Chương 9: Bảo vệ rơ le và tự động điện |
|
|
- Chương 10: Trang bị nối đất |
|
|
- Chương 11: Bảo vệ chống quá điện áp |
|
|
- Chương 12: Trang bị đo lường điện |
|
|
Phần VII: Chỉ huy điều độ - thao tác |
|
|
- Chương 1: Chỉ huy điều độ |
Bãi bỏ trong QCVN QTĐ- 6:2009/BcT |
|
- Chương 2: Thao tác đóng cắt các trang thiết bị điện |
|
|
- Chương 3: Nhân viên thao tác |
|
|
- Chương 4: Các phương tiện chỉ huy điều độ và điều chỉnh công nghệ |
3. QCVN QTĐ-7:2009/BCT Thi công các công trình điện
Các nội dung trong QCVN QTĐ-7:2009/BCT trùng lặp với nội dung thuộc QCVN Hệ thống lưới điện được bãi bỏ, điều chỉnh như sau:
|
QCVN QTĐ-7:2009/BCT trùng lặp với nội dung thuộc QCVN Hệ thống lưới điện |
Nội dung thực hiện |
|
Chương III: Lắp đặt hệ thống phân phối và trạm biến áp |
|
|
- Mục 1 Lắp đặt hệ thống phân phối điện |
Bãi bỏ trong QCVN QTĐ- 7:2009/BcT |
|
- Mục 2 Các máy biến áp điện lực |
|
|
- Mục 3 Cơ cấu chuyển mạch cách điện bằng khí (GIS) |
|
|
- Mục 4 Các bảng và tủ điện |
|
|
- Mục 5 Các mạch thứ cấp |
|
|
- Mục 6 Hệ thống ắc qui đặt cố định |
|
|
- Mục 7 Bộ tụ điện để nâng cao hệ số công suất |
|
|
Chương IV: Các thiết bị điện chiếu sáng |
|
|
- Mục 1 Quy định chung |
Không áp dụng với các công trình thuộc hệ thống lưới |
|
- Mục 2 Đèn chiếu sáng |
|
|
- Mục 3 Các thiết bị của hệ thống điện chiếu sáng |
điện. |
|
Chương V: Các hệ thống nối đất |
|
|
- Mục 1 Quy định chung |
Không áp dụng với các công trình thuộc hệ thống lưới điện. |
|
- Mục 2 Đặt các dây nối đất |
|
|
- Muc 3 Nối đất các thiết bị phân phối |
Bãi bỏ trong QCVN QTĐ- 7:2009/BcT |
|
- Mục 5 Nối đất ở mạch điện và đường cáp |
Không áp dụng với các công trình thuộc hệ thống lưới điện. |
|
- Mục 6 Cách sơn và đánh dấu |
|
|
Chương VI: Các hệ thống nối đất |
|
|
- Mục 1 Quy định chung |
|
|
- Mục 2 Đặt dây dẫn điện lên các vật đỡ cách điện (các puli, các cách điện, các kẹp dây) |
|
|
- Mục 3 Dây dẫn đặt treo |
|
|
- Mục 4 Đặt dây dẫn loại được bảo vệ và cáp cách điện bằng cao su |
|
|
- Mục 5 Đặt hở và đặt ngầm dây dẫn điện |
Không áp dụng với các công trình thuộc hệ thống lưới điện. |
|
- Mục 6 Đặt ngầm dây dẫn trong các ống không phải là kim loại |
|
|
- Mục 7 Đặt dây ngầm trong ống thủy tinh |
|
|
- Mục 8 Đặt hở và ngầm dây dẫn trong ống thép |
|
|
- Mục 9 Dây dẫn đặt hở và có bao che (thanh cái) với điện áp dưới 100V |
|
|
- Mục 10 Làm đầu dây và nối dây cho cáp |
|
|
- Mục 11 Đặt dây trong các gian dễ cháy, dễ nổ |
|
|
- Mục 12 Sơn và đánh dấu |
|
|
Chương VII: Các đường cáp ngầm |
|
|
- Mục 1 Quy định chung |
Bãi bỏ trong QCVN QTĐ- 7:2009/BcT |
|
- Mục 2 Đặt cáp trong rãnh |
|
|
- Mục 3 Các kích thước yêu cầu khi đặt cáp |
|
|
- Mục 4 Đặt cáp trong đường ống, mương và trong các gian sản xuất |
|
|
- Mục 5 Đặt cáp trong blốc và ống |
|
|
- Mục 6 Đặt cáp ở bãi lầy, bùn lầy và dưới nước |
|
|
- Mục 7 Nối cáp và làm đầu cáp |
|
|
- Mục 8 Đặt cáp trong các gian dễ nổ và ở các thiết trí ngoài trời dễ nổ |
|
|
- Mục 9 Cách sơn và ký hiệu |
|
|
Chương VIII: Đường dây tải điện trên không điện áp tới 500 kV |
|
|
- Mục 1 Quy định chung |
Bãi bỏ trong QCVN QTĐ- 7:2009/BcT |
|
- Mục 2 Công tác làm móng |
|
|
- Mục 3 Lắp và dựng cột |
|
|
- Mục 4 Lắp ráp cách điện và phụ kiện mắc dây |
|
|
- Mục 5 Lắp ráp dây dẫn và dây chống sét |
|
|
- Mục 6 Đánh số hiệu và sơn |
|
|
- Mục 7 Nghiệm thu và bàn giao công trình đưa và khai thác |