Chuyên đề: An toàn hóa chất
|
CHÍNH PHỦ |
CỘNG HÒA XÃ HỘI CHỦ NGHĨA VIỆT NAM |
|
Số: 25/2026/NĐ-CP |
Hà Nội, ngày 17 tháng 01 năm 2026 |
NGHỊ ĐỊNH
Quy định chi tiết và giải pháp để tổ chức, hướng dẫn thi hành một số điều của Luật Hóa chất về phát triển công nghiệp hóa chất và an toàn, an ninh hóa chất.
Căn cứ Luật Tổ chức Chính phủ số 63/2025/QH15;
Căn cứ Luật Hóa chất số 69/2025/QH15;
Căn cứ Nghị quyết số 198/2025/QH15 của Quốc hội về một số cơ chế, chính sách đặc biệt phát triển kinh tế tư nhân;
Theo đề nghị của Bộ trưởng Bộ Công Thương;
Chính phủ ban hành Nghị định quy định chi tiết và biện pháp để tổ chức, hướng dẫn thi hành một số điều của Luật Hóa chất về phát triển ngành công nghiệp hóa chất và an toàn, an ninh hóa chất
Chương I
QUY ĐỊNH CHUNG
Điều 1. Phạm vi điều chỉnh
Nghị định này quy định chi tiết khoản 15 Điều 2; khoản 5 Điều 4, khoản 5 Điều 5, khoản 3 Điều 6, khoản 5 Điều 8, khoản 5 Điều 33, khoản 3 Điều 35, khoản 3 Điều 36, khoản 2 Điều 37, khoản 2 Điều 38, khoản 5 Điều 39, khoản 3 Điều 42, khoản 4 Điều 46 của Luật Hóa chất và biện pháp để tổ chức, hướng dẫn thi hành Luật Hóa chất về trách nhiệm quản lý nhà nước về phát triển ngành công nghiệp hóa chất và an toàn, an ninh hóa chất; lập, thẩm định, phê duyệt, công bố và tổ chức thực hiện Chiến lược phát triển ngành công nghiệp hóa chất, thiết lập khoảng cách an toàn đối với công trình hóa chất; kiểm tra, hồ sơ huấn luyện an toàn hóa chất; nâng cao năng lực phòng ngừa, ứng phó sự cố hóa chất trong lĩnh vực dân sự.
Điều 2. Đối tượng áp dụng
Cơ quan, tổ chức, cá nhân trong nước và tổ chức, cá nhân nước ngoài thực hiện các hoạt động liên quan đến hóa chất trên lãnh thổ Việt Nam.
Điều 3. Giải thích từ ngữ
1. Nguyên tắc hóa học xanh là bộ nguyên tắc được áp dụng trong thiết kế, lựa chọn công nghệ, thiết bị, quy trình sản xuất, sử dụng và thải bỏ hóa chất nhằm giảm thiểu hoặc loại bỏ việc sử dụng và tạo ra hóa chất nguy hiểm.
2. Khu công nghiệp chuyên ngành hóa chất là khu công nghiệp chuyên sản xuất và cung ứng dịch vụ cho dự án hóa chất, công trình hóa chất; có tối thiểu 60% diện tích đất công nghiệp của khu công nghiệp được sử dụng để thu hút dự án hóa chất, công trình hóa chất và dự án sử dụng sản phẩm của ngành công nghiệp hóa chất được sản xuất trong khu công nghiệp làm nguyên liệu, dung môi, chất xúc tác trong quá trình sản xuất.
Điều 4. Trách nhiệm quản lý nhà nước về phát triển ngành công nghiệp hóa chất và an toàn, an ninh hóa chất
1. Chính phủ thống nhất quản lý nhà nước về phát triển ngành công nghiệp hóa chất và an toàn, an ninh hóa chất trong phạm vi cả nước.
2. Bộ Công Thương là cơ quan đầu mối giúp Chính phủ thực hiện quản lý nhà nước về phát triển ngành công nghiệp hóa chất và an toàn, an ninh hóa chất. Trong phạm vi nhiệm vụ, quyền hạn của mình, Bộ Công Thương thực hiện các nội dung sau:
a) Ban hành theo thẩm quyền hoặc trình cơ quan nhà nước có thẩm quyền ban hành văn bản quy phạm pháp luật; chiến lược, kế hoạch, dự án, đề án; chương trình, hoạt động cấp quốc gia về phát triển ngành công nghiệp hóa chất và an toàn, an ninh hóa chất;
b) Chủ trì, phối hợp với các bộ, cơ quan ngang bộ và Ủy ban nhân dân cấp tỉnh tổ chức lập Chiến lược phát triển ngành công nghiệp hóa chất, trình Thủ tướng Chính phủ phê duyệt; hướng dẫn, giám sát việc thực hiện Chiến lược;
c) Tổ chức tuyên truyền, phổ biến, giáo dục pháp luật về phát triển ngành công nghiệp hóa chất và an toàn, an ninh hóa chất;
d) Tiếp nhận, giải quyết khiếu nại, tố cáo, kiến nghị, phản ánh liên quan đến phát triển ngành công nghiệp hóa chất và an toàn, an ninh hóa chất trong lĩnh vực quản lý nhà nước của Bộ Công Thương;
đ) Thực hiện hợp tác quốc tế về phát triển ngành công nghiệp hóa chất và an toàn, an ninh hóa chất trong phạm vi quản lý nhà nước của Bộ Công Thương;
e) Thực hiện quản lý công tác an toàn hóa chất trong lĩnh vực dân sự; phối hợp với các cơ quan có liên quan trong việc phòng ngừa, ứng phó, khắc phục sự cố hóa chất theo quy định tại Nghị định này;
g) Kiểm tra chuyên ngành hoạt động hóa chất trong phạm vi quản lý nhà nước của Bộ Công Thương.
3. Bộ Y tế trong phạm vi nhiệm vụ, quyền hạn của mình thực hiện các nội dung sau:
a) Ban hành theo thẩm quyền hoặc trình cơ quan có thẩm quyền ban hành văn bản quy phạm pháp luật; kế hoạch, chương trình, dự án, đề án về phát triển ngành công nghiệp hóa chất và an toàn, an ninh hóa chất trong lĩnh vực y tế;
b) Tổ chức tuyên truyền, phổ biến, giáo dục pháp luật về an toàn, an ninh hóa chất trong lĩnh vực y tế;
c) Tiếp nhận, giải quyết khiếu nại, tố cáo, kiến nghị, phản ánh liên quan đến phát triển ngành công nghiệp hóa chất và an toàn, an ninh hóa chất trong lĩnh vực quản lý nhà nước của Bộ Y tế;
d) Thực hiện hợp tác quốc tế về phát triển ngành công nghiệp hóa chất và an toàn, an ninh hóa chất trong phạm vi quản lý nhà nước của Bộ Y tế;
đ) Thực hiện quản lý công tác an toàn hóa chất trong hoạt động sử dụng hóa chất thuộc lĩnh vực y tế;
e) Kiểm tra chuyên ngành hoạt động hóa chất trong phạm vi quản lý nhà nước của Bộ Y tế.
4. Bộ Nông nghiệp và Môi trường trong phạm vi nhiệm vụ, quyền hạn của mình thực hiện các nội dung sau:
a) Ban hành theo thẩm quyền hoặc trình cơ quan có thẩm quyền ban hành văn bản quy phạm pháp luật; kế hoạch, chương trình, dự án, đề án về phát triển ngành công nghiệp hóa chất và an toàn, an ninh hóa chất trong lĩnh vực nông nghiệp và môi trường;
b) Tổ chức tuyên truyền, phổ biến, giáo dục pháp luật về an toàn, an ninh hóa chất trong lĩnh vực nông nghiệp và môi trường;
c) Tiếp nhận, giải quyết khiếu nại, tố cáo, kiến nghị, phản ánh liên quan đến phát triển ngành công nghiệp hóa chất và an toàn, an ninh hóa chất trong lĩnh vực quản lý nhà nước của Bộ Nông nghiệp và Môi trường;
d) Thực hiện hợp tác quốc tế về phát triển ngành công nghiệp hóa chất và an toàn, an ninh hóa chất trong lĩnh vực quản lý nhà nước của Bộ Nông nghiệp và Môi trường;
đ) Thực hiện quản lý công tác an toàn hóa chất trong hoạt động sử dụng hóa chất thuộc lĩnh vực nông nghiệp và môi trường; e) Kiểm tra chuyên ngành hoạt động hóa chất trong phạm vi quản lý nhà nước của Bộ Nông nghiệp và Môi trường.
5. Bộ Công an trong phạm vi nhiệm vụ, quyền hạn của mình thực hiện các nội dung sau:
a) Ban hành theo thẩm quyền hoặc trình cơ quan nhà nước có thẩm quyền ban hành văn bản quy phạm pháp luật; chiến lược, kế hoạch, dự án, đề án; chương trình, hoạt động cấp quốc gia về phát triển ngành công nghiệp hóa chất và an toàn, an ninh hóa chất trong lĩnh vực quản lý nhà nước của Bộ Công an;
b) Tổ chức tuyên truyền, phổ biến, giáo dục pháp luật về an toàn, an ninh hóa chất trong lĩnh vực quản lý nhà nước của Bộ Công an;
c) Tiếp nhận, giải quyết khiếu nại, tố cáo, kiến nghị, phản ánh liên quan đến phát triển ngành công nghiệp hóa chất và an toàn, an ninh hóa chất trong lĩnh vực quản lý nhà nước của Bộ Công an;
d) Quản lý công tác an toàn hóa chất trong lĩnh vực an ninh, trật tự an toàn xã hội; chỉ đạo lực lượng Phòng cháy, chữa cháy và cứu nạn, cứu hộ chuẩn bị lực lượng, phương tiện, trang thiết bị và lập phương án ứng phó khi có sự cố hóa chất xảy ra; phối hợp với quân đội, chính quyền địa phương sơ tán dân khỏi những vùng nguy hiểm và tham gia cứu hộ, cứu nạn, khắc phục hậu quả sự cố hóa chất;
đ) Kiểm tra chuyên ngành hoạt động hóa chất trong phạm vi quản lý nhà nước của Bộ Công an.
6. Bộ Quốc phòng trong phạm vi nhiệm vụ, quyền hạn của mình thực hiện các nội dung sau:
a) Ban hành theo thẩm quyền hoặc trình cơ quan nhà nước có thẩm quyền ban hành văn bản quy phạm pháp luật; chiến lược, kế hoạch, dự án, đề án; chương trình, hoạt động cấp quốc gia về phát triển ngành công nghiệp hóa chất và an toàn, an ninh hóa chất trong lĩnh vực quản lý nhà nước của Bộ Quốc phòng;
b) Tổ chức tuyên truyền, phổ biến, giáo dục pháp luật về an toàn, an ninh hóa chất trong lĩnh vực quản lý nhà nước của Bộ Quốc phòng;
c) Tiếp nhận, giải quyết khiếu nại, tố cáo, kiến nghị, phản ánh liên quan đến phát triển ngành công nghiệp hóa chất và an toàn, an ninh hóa chất trong lĩnh vực quản lý nhà nước của Bộ Quốc phòng;
d) Quản lý công tác an toàn hóa chất trong lĩnh vực quốc phòng; chỉ đạo, phối hợp với các địa phương, đơn vị liên quan lập các phương án, chuẩn bị lực lượng, phương tiện, trang thiết bị sẵn sàng thực hiện các nhiệm vụ: ứng cứu các tình huống khẩn cấp về sự cố hóa chất, thực hiện tìm kiếm, cứu nạn và tham gia ứng cứu khi có sự cố hóa chất xảy ra;
đ) Kiểm tra chuyên ngành hoạt động hóa chất trong phạm vi quản lý nhà nước của Bộ Quốc phòng.
7. Ban Chỉ đạo Phòng thủ dân sự Quốc gia chủ trì, phối hợp với Bộ Công Thương, Bộ Quốc phòng, Bộ Công an và các địa phương chỉ đạo, kiểm tra tình hình xây dựng các kế hoạch phòng ngừa, ứng phó sự cố hóa chất cấp tỉnh, công tác huấn luyện, diễn tập, ứng phó sự cố hóa chất của các địa phương.
8. Bộ Khoa học và Công nghệ trong phạm vi nhiệm vụ, quyền hạn của mình thực hiện các nội dung sau:
a) Ban hành theo thẩm quyền hoặc trình cơ quan có thẩm quyền ban hành quy định khuyến khích doanh nghiệp ứng dụng công nghệ cảm biến, camera AI, hệ thống cảnh báo sớm;
b) Xây dựng chuẩn kết nối dữ liệu về an toàn hóa chất giữa doanh nghiệp, địa phương và cơ quan quản lý nhà nước trình cấp có thẩm quyền ban hành.
9. Thanh tra Chính phủ quản lý nhà nước về công tác thanh tra, tiếp công dân, giải quyết khiếu nại, tố cáo và phòng, chống tham nhũng, tiêu cực trong lĩnh vực hóa chất; thực hiện hoạt động thanh tra, tiếp công dân, giải quyết khiếu nại, tố cáo và phòng, chống tham nhũng, lãng phí, tiêu cực trong lĩnh vực hóa chất theo quy định của pháp luật.
10. Ủy ban nhân dân các cấp trong phạm vi nhiệm vụ, quyền hạn của mình thực hiện quản lý nhà nước về phát triển ngành công nghiệp hóa chất và an toàn, an ninh hóa chất trong phạm vi địa phương theo quy định tại Nghị định này và thực hiện các nội dung sau:
a) Thực hiện quản lý, thanh tra, kiểm tra; tiếp nhận, giải quyết khiếu nại, tố cáo, kiến nghị, phản ánh về hoạt động hóa chất tại địa phương theo quy định của pháp luật;
b) Quyết định hoặc báo cáo cơ quan có thẩm quyền quyết định bố trí ngân sách nhà nước, quỹ đất để đầu tư hoặc hỗ trợ đầu tư các khu công nghiệp chuyên ngành hóa chất theo quy định của pháp luật;
c) Căn cứ chiến lược phát triển ngành công nghiệp hóa chất đã được phê duyệt để xây dựng và tổ chức thực hiện nội dung về phát triển ngành công nghiệp hóa chất trên địa bàn phù hợp với mục tiêu phát triển kinh tế - xã hội địa phương trong quá trình xây dựng, điều chỉnh quy hoạch phát triển địa phương.
11. Bộ, cơ quan ngang bộ, các cơ quan, tổ chức khác trong phạm vi nhiệm vụ, quyền hạn của mình có trách nhiệm chủ trì hoặc phối hợp thực hiện quản lý nhà nước về phát triển ngành công nghiệp hóa chất và an toàn, an ninh hóa chất theo quy định của pháp luật.
Điều 5. Nội dung Chiến lược phát triển ngành công nghiệp hóa chất
Nội dung Chiến lược phát triển ngành công nghiệp hóa chất phải bảo đảm các yêu cầu quy định tại khoản 2 Điều 4 của Luật Hóa chất số 69/2025/QH15 và bao gồm những nội dung sau đây:
1. Phân tích, đánh giá điều kiện tự nhiên, hiện trạng phát triển ngành công nghiệp hóa chất.
2. Phân tích, dự báo xu thế phát triển trong nước và quốc tế; phân tích những nhân tố ảnh hưởng đến phát triển của ngành công nghiệp hóa chất trong giai đoạn lập Chiến lược.
3. Xác định quan điểm, mục tiêu, định hướng phát triển ngành công nghiệp hóa chất trên phạm vi cả nước và các vùng kinh tế; lĩnh vực ưu tiên phát triển trong từng thời kỳ; định hướng hình thành các khu công nghiệp chuyên ngành hóa chất phù hợp với điều kiện tự nhiên, điều kiện kinh tế - xã hội của các địa phương và đáp ứng yêu cầu an toàn hóa chất.
4. Nhiệm vụ, giải pháp, các chương trình phát triển, nguồn lực và tổ chức thực hiện, kiểm tra, giám sát thực hiện Chiến lược
Điều 6. Lập Chiến lược phát triển ngành công nghiệp hóa chất
1. Bộ Công Thương chủ trì, phối hợp với các bộ, cơ quan ngang bộ và Ủy ban nhân dân cấp tỉnh tổ chức lập Chiến lược phát triển ngành công nghiệp hóa chất.
2. Trong quá trình tổ chức lập Chiến lược, Bộ Công Thương có trách nhiệm lấy ý kiến của các cơ quan, tổ chức có liên quan đối với các nội dung của dự thảo Chiến lược. Dự thảo Chiến lược, trừ những nội dung liên quan đến bí mật nhà nước theo quy định của pháp luật, phải được đăng tải trên Cổng thông tin điện tử của Bộ Công Thương để lấy ý kiến rộng rãi của các cơ quan, tổ chức, cá nhân trong thời gian ít nhất 15 ngày làm việc.
3. Cơ quan được giao lập Chiến lược có trách nhiệm đánh giá môi trường chiến lược theo quy định của pháp luật về bảo vệ môi trường. Kết quả đánh giá môi trường chiến lược được tích hợp trong báo cáo thuyết minh Chiến lược.
4. Trường hợp cần thiết, cơ quan được giao lập Chiến lược có thể lựa chọn tư vấn lập chiến lược theo quy định của pháp luật về đấu thầu
Điều 7. Thẩm định, phê duyệt Chiến lược phát triển ngành công nghiệp hóa chất
1. Thẩm định Chiến lược phát triển ngành công nghiệp hóa chất
a) Việc thẩm định Chiến lược được thực hiện theo chế độ Hội đồng. Bộ trưởng Bộ Công Thương quyết định thành lập Hội đồng thẩm định Chiến lược;
b) Hội đồng thẩm định hoạt động theo nguyên tắc thảo luận tập thể. Chiến lược đủ điều kiện trình Thủ tướng Chính phủ xem xét, phê duyệt khi có tối thiểu 2/3 thành viên Hội đồng tham gia họp thẩm định đồng ý thông qua.
3. Phê duyệt Chiến lược phát triển ngành công nghiệp hóa chất
a) Hồ sơ Chiến lược trình phê duyệt gồm: Tờ trình Thủ tướng Chính phủ; Dự thảo văn bản phê duyệt Chiến lược; Báo cáo thuyết minh Chiến lược đã được tích hợp kết quả đánh giá môi trường chiến lược; Báo cáo tổng hợp và giải trình, tiếp thu ý kiến góp ý của các cơ quan, tổ chức, cá nhân về Chiến lược; Báo cáo kết quả thẩm định; Báo cáo giải trình, tiếp thu ý kiến thẩm định; Các tài liệu khác có liên quan về Chiến lược (nếu có);
b) Việc tiếp nhận, xem xét hồ sơ trình phê duyệt Chiến lược và phê duyệt Chiến lược thực hiện theo Quy chế làm việc của Chính phủ.
Điều 8. Công bố Chiến lược phát triển ngành công nghiệp hóa chất
1. Chiến lược phải được công bố công khai sau khi được phê duyệt, trừ những nội dung liên quan đến bí mật nhà nước theo quy định của pháp luật.
2. Văn phòng Chính phủ, Bộ Công Thương có trách nhiệm công bố Chiến lược và đăng tải công khai Quyết định của Thủ tướng Chính phủ phê duyệt Chiến lược trên Cổng thông tin điện tử Chính phủ và Bộ Công Thương.
Điều 9. Tổ chức thực hiện Chiến lược phát triển ngành công nghiệp hóa chất
1. Sau khi Chiến lược được phê duyệt, Bộ Công Thương xây dựng và ban hành kế hoạch hành động thực hiện Chiến lược. Các bộ, cơ quan ngang bộ, địa phương có trách nhiệm tổ chức thực hiện các nhiệm vụ, giải pháp thuộc chức năng, nhiệm vụ được giao tại văn bản phê duyệt Chiến lược và kế hoạch hành động thực hiện Chiến lược.
2. Cơ quan lập quy hoạch vùng căn cứ Chiến lược phát triển ngành công nghiệp hóa chất đã được phê duyệt để xây dựng nội dung về phát triển ngành công nghiệp hóa chất trong nội dung phương hướng phát triển ngành có lợi thế của vùng và phương án phát triển, sắp xếp, lựa chọn, phân bố nguồn lực phát triển trên địa bàn vùng.
3. Cơ quan lập quy hoạch tỉnh căn cứ Chiến lược phát triển ngành công nghiệp hóa chất đã được phê duyệt để xây dựng nội dung về phát triển ngành công nghiệp hóa chất trong nội dung phương hướng phát triển ngành quan trọng trên địa bàn tỉnh, lựa chọn phương án tổ chức hoạt động kinh tế - xã hội và xây dựng phương án phát triển hệ thống khu kinh tế, khu công nghiệp, khu chế xuất, khu công nghệ cao trên địa bàn tỉnh.
4. Trong quá trình quyết định chủ trương đầu tư hoặc chấp thuận chủ trương đầu tư dự án hóa chất, cơ quan có thẩm quyền quyết định chủ trương đầu tư hoặc chấp thuận chủ trương đầu tư dự án hóa chất có trách nhiệm xem xét sự phù hợp của dự án với Chiến lược phát triển ngành công nghiệp hóa chất.
5. Trước ngày 15 tháng 3 hằng năm, các bộ, cơ quan ngang bộ, Ủy ban nhân dân cấp tỉnh có trách nhiệm cập nhật thông tin về kết quả thực hiện nhiệm vụ, giải pháp được quy định tại khoản 1 Điều này vào Cơ sở dữ liệu chuyên ngành hóa chất.
6. Trách nhiệm cập nhật thông tin về dự án hóa chất vào Cơ sở dữ liệu chuyên ngành hóa chất
a) Trong giai đoạn trước khi hoàn thành công trình và đưa công trình vào sử dụng, chủ đầu tư cập nhật tình hình thực hiện dự án theo tiến độ từng giai đoạn đầu tư xây dựng;
b) Tổ chức, cá nhân vận hành dự án hóa chất sau khi hoàn thành công trình và đưa công trình vào sử dụng có trách nhiệm cập nhật tình hình thực hiện hoạt động sản xuất, kinh doanh định kỳ trước ngày 15 tháng 02 hằng năm.
7. Kinh phí lập, thẩm định, phê duyệt và tổ chức thực hiện Chiến lược được bảo đảm từ ngân sách nhà nước theo quy định của pháp luật về ngân sách nhà nước và các nguồn vốn hợp pháp khác.
8. Bộ trưởng Bộ Công Thương quy định biểu mẫu để thực hiện cập nhật thông tin quy định tại khoản 5 và khoản 6 Điều này vào Cơ sở dữ liệu chuyên ngành hóa chất.
Điều 10. Điều chỉnh Chiến lược
1. Chiến lược được điều chỉnh trong các trường hợp sau:
a) Có thay đổi lớn trong chiến lược phát triển kinh tế - xã hội, quy hoạch phát triển tổng thể quốc gia hoặc chính sách pháp luật liên quan đến nội dung của Chiến lược đã được phê duyệt;
b) Có thay đổi liên quan đến các cam kết quốc tế mà Việt Nam là thành viên;
c) Do yêu cầu bảo đảm quốc phòng, an ninh;
d) Yêu cầu điều chỉnh theo kết quả giám sát, đánh giá giữa kỳ hoặc cuối kỳ thực hiện Chiến lược hoặc theo chỉ đạo của cơ quan có thẩm quyền.
2. Trình tự, thủ tục điều chỉnh Chiến lược thực hiện theo quy định về việc lập, thẩm định, phê duyệt Chiến lược tại Điều 6, Điều 7 của Nghị định này.
Điều 11. Nguyên tắc hoá học xanh trong thiết kế và lựa chọn công nghệ, thiết bị
1. Trong quá trình thiết kế và lựa chọn công nghệ, thiết bị, chủ đầu tư, tư vấn thiết kế dự án hóa chất phải áp dụng những nguyên tắc hóa học xanh sau:
a) Sử dụng quy trình sản xuất giảm hoặc không tạo ra chất thải nguy hại;
b) Tăng hiệu quả sử dụng năng lượng;
c) Phân tích theo thời gian thực để giám sát và kiểm soát việc phát thải;
d) Áp dụng các biện pháp giảm thiểu khả năng xảy ra sự cố.
2. Trong quá trình thiết kế và lựa chọn công nghệ, thiết bị, chủ đầu tư, tư vấn thiết kế dự án hóa chất được khuyến khích áp dụng những nguyên tắc hóa học xanh sau:
a) Nghiên cứu và phát triển các hoá chất và sản phẩm an toàn, có tính năng và hiệu quả tương đương nhưng ít nguy hại hơn;
b) Nghiên cứu và phát triển các hóa chất và sản phẩm có thể phân hủy sau khi hết chức năng;
c) Sử dụng các quá trình tổng hợp hóa học ít nguy hại, hạn chế hoặc loại bỏ việc sử dụng và tạo ra hoá chất có nguy hại tới sức khoẻ con người và môi trường sinh học;
d) Sử dụng các quá trình tổng hợp và phản ứng hoá học không tạo ra nhiều chất trung gian;
đ) Sử dụng công nghệ hoặc phản ứng hoá học tối ưu nguyên liệu đầu vào (tiết kiệm nguyên tử);
e) Sử dụng chất xúc tác để tăng hiệu suất phản ứng;
g) Sử dụng nguyên liệu sinh học hoặc nguyên liệu tái tạo;
h) Hạn chế hoặc loại bỏ việc sử dụng dung môi, hoá chất phụ trợ có tính chất nguy hại và sử dụng các giải pháp thay thế an toàn hơn.
Điều 12. Đánh giá việc đáp ứng quy định về khoảng cách an toàn đối với địa điểm thực hiện dự án hóa chất
1. Đối với các dự án hóa chất thuộc đối tượng phải áp dụng quy chuẩn kỹ thuật về khoảng cách an toàn theo quy định tại Điều 28 của Nghị định này và thuộc đối tượng được cơ quan nhà nước có thẩm quyền quyết định chủ trương đầu tư theo pháp luật về đầu tư công:
a) Chủ đầu tư dự án hóa chất có nghĩa vụ báo cáo về sự phù hợp của địa điểm xây dựng dự án với quy định về khoảng cách an toàn trong nội dung báo cáo đề xuất chủ trương đầu tư hoặc báo cáo nghiên cứu tiền khả thi trước khi gửi cơ quan nhà nước có thẩm quyền quyết định chủ trương đầu tư;
b) Cơ quan nhà nước có thẩm quyền quyết định chủ trương đầu tư có trách nhiệm đánh giá việc đáp ứng quy định về khoảng cách an toàn đối với địa điểm thực hiện dự án hóa chất trước khi quyết định chủ trương đầu tư;
c) Quy định tại điểm a, điểm b khoản này là một thành phần trong hồ sơ, trình tự, thủ tục quyết định chủ trương đầu tư theo pháp luật về đầu tư công.
2. Đối với các dự án hóa chất thuộc đối tượng phải áp dụng quy chuẩn kỹ thuật về khoảng cách an toàn theo quy định tại Điều 28 của Nghị định này và thuộc đối tượng được cơ quan nhà nước có thẩm quyền chấp thuận chủ trương đầu tư theo pháp luật về đầu tư:
a) Chủ đầu tư dự án hóa chất có nghĩa vụ báo cáo về sự phù hợp của địa điểm xây dựng dự án với quy định về khoảng cách an toàn trong nội dung báo cáo đề xuất dự án đầu tư trước khi gửi cơ quan nhà nước có thẩm quyền chấp thuận chủ trương đầu tư;
b) Cơ quan nhà nước có thẩm quyền chấp thuận chủ trương đầu tư có trách nhiệm đánh giá việc đáp ứng quy định về khoảng cách an toàn đối với địa điểm thực hiện dự án hóa chất trước khi chấp thuận chủ trương đầu tư;
c) Quy định tại điểm a, điểm b khoản này là một thành phần trong hồ sơ, trình tự, thủ tục chấp thuận chủ trương đầu tư theo pháp luật về đầu tư.
3. Đối với các dự án hóa chất thuộc đối tượng phải áp dụng quy chuẩn kỹ thuật về khoảng cách an toàn theo quy định tại Điều 28 của Nghị định này và không thuộc đối tượng được cơ quan nhà nước có thẩm quyền quyết định chủ trương đầu tư hoặc chấp thuận chủ trương đầu tư:
a) Tổ chức, cá nhân có thẩm quyền quyết định đầu tư xây dựng dự án theo pháp luật về xây dựng có nghĩa vụ đánh giá và chịu trách nhiệm về việc đáp ứng quy định về khoảng cách an toàn đối với địa điểm thực hiện dự án hóa chất trước khi phê duyệt dự án, quyết định đầu tư;
b) Tổ chức, cá nhân có thẩm quyền quyết định đầu tư xây dựng không được phê duyệt dự án, quyết định đầu tư trong trường hợp không đáp ứng quy định về khoảng cách an toàn.
Điều 13. Nội dung Báo cáo nghiên cứu khả thi đầu tư xây dựng, Báo cáo kinh tế - kỹ thuật đầu tư xây dựng của dự án hóa chất
1. Báo cáo nghiên cứu khả thi đầu tư xây dựng, Báo cáo kinh tế - kỹ thuật đầu tư xây dựng của dự án hóa chất được thực hiện theo quy định pháp luật về xây dựng và bổ sung các nội dung như sau:
a) Làm rõ sự phù hợp của nội dung Báo cáo nghiên cứu khả thi đầu tư xây dựng, Báo cáo kinh tế - kỹ thuật đầu tư xây dựng với các tiêu chuẩn, quy chuẩn kỹ thuật và quy định về an toàn hóa chất trong nội dung tiêu chuẩn, quy chuẩn kỹ thuật được áp dụng để lập thiết kế cơ sở;
b) Làm rõ nguyên tắc hóa học xanh đã được áp dụng trong thiết kế và lựa chọn công nghệ, thiết bị trong nội dung phương án công nghệ, kỹ thuật và thiết bị được lựa chọn.
2. Nội dung thẩm định Báo cáo nghiên cứu khả thi đầu tư xây dựng, Báo cáo kinh tế - kỹ thuật đầu tư xây dựng của dự án hóa chất được thực hiện theo quy định của pháp luật về xây dựng và bổ sung nội dung như sau:
a) Đánh giá sự phù hợp của nội dung Báo cáo nghiên cứu khả thi đầu tư xây dựng, Báo cáo kinh tế - kỹ thuật đầu tư xây dựng với các tiêu chuẩn, quy chuẩn kỹ thuật và quy định về an toàn hóa chất trong nội dung thẩm định việc tuân thủ quy chuẩn kỹ thuật và áp dụng tiêu chuẩn theo quy định của pháp luật;
b) Đánh giá việc áp dụng nguyên tắc hóa học xanh trong thiết kế và lựa chọn công nghệ, thiết bị áp dụng cho dự án.
Điều 14. Quy mô, tiến độ giải ngân đối với dự án thuộc lĩnh vực công nghiệp hóa chất trọng điểm
1. Dự án đầu tư thuộc lĩnh vực quy định tại các điểm a, b và c khoản 1 Điều 6 của Luật Hóa chất số 69/2025/QH15 có quy mô vốn đầu tư theo quy định tại khoản 2 Điều này và thực hiện giải ngân tối thiểu 1/3 quy mô vốn đầu tư trong thời hạn 03 năm kể từ ngày được cấp giấy chứng nhận đăng ký đầu tư hoặc chấp thuận chủ trương đầu tư hoặc quyết định chủ trương đầu tư được hưởng ưu đãi và hỗ trợ đầu tư đặc biệt theo quy định tại pháp luật về đầu tư và quy định của pháp luật có liên quan, bao gồm: ưu đãi về thuế thu nhập doanh nghiệp, thuế nhập khẩu, đất, tiền thuê đất, thuế sử dụng đất; ưu đãi trong lựa chọn nhà thầu; hỗ trợ phát triển hệ thống kết cấu hạ tầng kỹ thuật, hạ tầng xã hội; hỗ trợ tiếp cận đất đai, mặt bằng sản xuất, kinh doanh; đào tạo, phát triển nguồn nhân lực; hỗ trợ tài chính, tín dụng đầu tư; hỗ trợ khoa học, kỹ thuật, chuyển giao công nghệ, đổi mới sáng tạo, chuyển đổi số, phát triển thị trường, cung cấp thông tin; các hình thức ưu đãi, hỗ trợ đầu tư khác.
2. Quy mô vốn đầu tư đối với dự án quy định tại khoản 1 Điều này được quy định như sau:
a) Dự án sản xuất sản phẩm hóa dược là nguyên liệu làm thuốc có tổng mức đầu tư từ 160 tỷ đồng trở lên;
b) Dự án sản xuất sản phẩm hóa chất cơ bản thuộc lĩnh vực công nghiệp hóa chất trọng điểm; sản phẩm hóa dầu; sản phẩm hóa dược là nguyên liệu làm thực phẩm bảo vệ sức khỏe; hydro, amoniac được sản xuất bằng nguồn năng lượng tái tạo có tổng mức đầu tư từ 4.600 tỷ đồng trở lên;
c) Dự án sản xuất sản phẩm cao su, trừ sản phẩm săm, lốp; sản xuất phân bón hàm lượng cao; đầu tư khu công nghiệp chuyên ngành hóa chất; đầu tư tổ hợp công trình hóa chất với mục tiêu chính là sản xuất hóa chất và sản phẩm của ngành công nghiệp hóa chất có tổng mức đầu tư từ 10.000 tỷ đồng trở lên.
3. Trường hợp cần thiết, cơ quan có thẩm quyền cấp giấy chứng nhận đăng ký đầu tư hoặc chấp thuận chủ trương đầu tư hoặc quyết định chủ trương đầu tư lấy ý kiến của Bộ Công Thương về sự phù hợp của dự án đầu tư với lĩnh vực công nghiệp hóa chất trọng điểm quy định tại khoản 1 Điều 6 của Luật Hóa chất số 69/2025/QH15.
4. Người có thẩm quyền, chủ đầu tư được lựa chọn áp dụng một trong các hình thức đặt hàng hoặc đấu thầu hạn chế hoặc chỉ định thầu hoặc hình thức phù hợp khác theo quy định của pháp luật để thực hiện đối với các dự án đầu tư quy định tại khoản 1 Điều 6 của Luật Hóa chất số 69/2025/QH15 trên cơ sở bảo đảm công khai, minh bạch, chất lượng, tiến độ, hiệu quả và trách nhiệm giải trình.
Điều 15. Điều kiện tổ chức thực hiện hoạt động tư vấn xây dựng đối với dự án hóa chất
Tổ chức thực hiện hoạt động tư vấn xây dựng đối với dự án hóa chất phải đáp ứng quy định tại điểm a, điểm b khoản 1 Điều 8 Luật Hóa chất số 69/2025/QH15 và có ít nhất 01 cá nhân tham gia hoạt động tư vấn đáp ứng các điều kiện sau đây:
1. Có bằng cử nhân hoặc tương đương trở lên ngành đào tạo về hóa học thuộc Danh mục quy định tại Phụ lục III ban hành kèm theo Nghị định này.
2. Có kinh nghiệm công tác như sau:
a) Trường hợp tham gia hoạt động tư vấn xây dựng đối với dự án hóa chất có công trình cấp I trở lên: Có kinh nghiệm đảm nhận một trong các vị trí về kỹ thuật, công nghệ, an toàn hóa chất tại các dự án hóa chất từ 07 năm trở lên hoặc từng tham gia hoạt động tư vấn xây dựng đối với dự án hóa chất có công trình cấp I trở lên.
b) Trường hợp tham gia hoạt động tư vấn xây dựng đối với dự án hóa chất có công trình cấp II: Có kinh nghiệm đảm nhận một trong các vị trí về kỹ thuật, công nghệ, an toàn hóa chất tại các dự án hóa chất từ 04 năm trở lên hoặc từng tham gia hoạt động tư vấn xây dựng đối với dự án hóa chất có công trình cấp II trở lên;
c) Trường hợp tham gia hoạt động tư vấn xây dựng đối với dự án hóa chất có công trình cấp III trở xuống: Có kinh nghiệm đảm nhận một trong các vị trí về kỹ thuật, công nghệ, an toàn hóa chất tại các dự án hóa chất từ 02 năm trở lên hoặc từng tham gia hoạt động tư vấn xây dựng đối với dự án hóa chất.
Điều 16. Điều kiện cấp chứng chỉ tư vấn chuyên ngành hóa chất đối với cá nhân thực hiện hoạt động tư vấn lựa chọn công nghệ, thiết bị đối với dự án hóa chất
1. Cá nhân hoạt động tư vấn lựa chọn công nghệ, thiết bị đối với dự án hóa chất được cấp chứng chỉ tư vấn chuyên ngành hóa chất khi đáp ứng các điều kiện sau đây:
a) Có bằng cử nhân hoặc tương đương trở lên ngành đào tạo về hóa học thuộc Danh mục quy định tại Phụ lục III ban hành kèm theo Nghị định này;
b) Đáp ứng điều kiện kinh nghiệm công tác theo quy định tại khoản 2 Điều này.
2. Điều kiện kinh nghiệm công tác của cá nhân thực hiện hoạt động tư vấn lựa chọn công nghệ, thiết bị đối với dự án hóa chất được quy định như sau:
a) Đối với cá nhân đề nghị cấp chứng chỉ Hạng A1: Có thời gian kinh nghiệm tham gia công việc về công nghệ, kỹ thuật hóa học từ 07 năm trở lên; đã thực hiện các công việc liên quan đến tư vấn lựa chọn công nghệ, thiết bị đối với 02 dự án hóa chất có công trình cấp II trở lên;
b) Đối với cá nhân đề nghị cấp chứng chỉ Hạng A2: Có thời gian kinh nghiệm tham gia công việc về công nghệ, kỹ thuật hóa học từ 04 năm trở lên; đã thực hiện các công việc liên quan đến tư vấn lựa chọn công nghệ, thiết bị đối với 02 dự án hóa chất có công trình cấp III trở lên;
c) Đối với cá nhân đề nghị cấp chứng chỉ Hạng A3: Có thời gian kinh nghiệm tham gia công việc về công nghệ, kỹ thuật hóa học từ 04 năm trở lên.
3. Phạm vi hoạt động của cá nhân hoạt động tư vấn lựa chọn công nghệ, thiết bị đối với dự án hóa chất được quy định như sau:
a) Cá nhân có chứng chỉ tư vấn chuyên ngành hóa chất Hạng A1: Được thực hiện các công việc liên quan đến tư vấn lựa chọn công nghệ, thiết bị đối với tất cả các dự án hóa chất;
b) Cá nhân có chứng chỉ tư vấn chuyên ngành hóa chất Hạng A2: Được thực hiện các công việc liên quan đến tư vấn lựa chọn công nghệ, thiết bị đối với dự án hóa chất có công trình từ cấp II trở xuống;
c) Cá nhân có chứng chỉ tư vấn chuyên ngành hóa chất Hạng A3: Được thực hiện các công việc liên quan đến tư vấn lựa chọn công nghệ, thiết bị đối với dự án hóa chất có công trình từ cấp III trở xuống.
4. Kinh nghiệm công tác quy định tại khoản 2 Điều này được tính đối với các công việc đã được nghiệm thu theo quy định trong vòng 10 năm gần nhất tính đến thời điểm đề nghị cấp chứng chỉ tư vấn. Trường hợp sử dụng kinh nghiệm công tác phù hợp nhưng quá 10 năm thì được đề nghị cấp chứng chỉ tư vấn thấp hơn 01 hạng theo quy định.
Điều 17. Điều kiện đối với tổ chức thực hiện hoạt động tư vấn lựa chọn công nghệ, thiết bị đối với dự án hóa chất
1. Đáp ứng quy định tại điểm a khoản 2 Điều 8 Luật Hóa chất số 69/2025/QH15.
2. Tổ chức thực hiện các công việc liên quan đến tư vấn lựa chọn công nghệ, thiết bị đối với dự án hóa chất có công trình cấp I trở lên phải có ít nhất 02 tư vấn viên có chứng chỉ tư vấn chuyên ngành hóa chất Hạng A1 làm việc trọn thời gian theo quy định của pháp luật về lao động.
3. Tổ chức thực hiện các công việc liên quan đến tư vấn lựa chọn công nghệ, thiết bị đối với dự án hóa chất có công trình cấp II phải có ít nhất 01 tư vấn viên có chứng chỉ tư vấn chuyên ngành hóa chất Hạng A1 hoặc Hạng A2 làm việc trọn thời gian theo quy định của pháp luật về lao động.
4. Tổ chức thực hiện các công việc liên quan đến tư vấn lựa chọn công nghệ, thiết bị đối với dự án hóa chất có công trình cấp III, cấp IV phải có ít nhất 01 tư vấn viên có chứng chỉ tư vấn chuyên ngành hóa chất Hạng A1 hoặc Hạng A2 hoặc Hạng A3 làm việc trọn thời gian theo quy định của pháp luật về lao động.
5. Có phần mềm phục vụ công tác thiết kế, lựa chọn công nghệ, thiết bị.
Điều 18. Điều kiện cấp chứng chỉ tư vấn chuyên ngành hóa chất đối với cá nhân hoạt động tư vấn an toàn, an ninh hóa chất
1. Cá nhân hoạt động tư vấn an toàn, an ninh hóa chất được cấp chứng chỉ tư vấn chuyên ngành hóa chất khi đáp ứng các điều kiện sau đây:
a) Có bằng cử nhân hoặc tương đương trở lên ngành đào tạo về hóa học thuộc Danh mục quy định tại Phụ lục III ban hành kèm theo Nghị định này;
b) Có thời gian kinh nghiệm công tác tại vị trí liên quan đến hoạt động an toàn hóa chất bằng tiêu chuẩn về thời gian kinh nghiệm của người huấn luyện nội dung lý thuyết chuyên ngành có trình độ từ đại học trở lên theo quy định tại pháp luật về an toàn, vệ sinh lao động;
c) Đáp ứng điều kiện kinh nghiệm nghề nghiệp tương ứng với nội dung tư vấn theo quy định tại khoản 2 Điều này.
2. Điều kiện kinh nghiệm nghề nghiệp và phạm vi hoạt động đối với cá nhân thực hiện hoạt động tư vấn an toàn, an ninh hóa chất được quy định như sau:
a) Cá nhân được cấp chứng chỉ tư vấn chuyên ngành hóa chất Hạng B để thực hiện các công việc tư vấn về diễn tập ứng phó sự cố hóa chất cấp quốc gia và các công việc tư vấn quy định tại điểm c, d, đ, e g, h tại khoản này khi có kinh nghiệm tham gia xây dựng tối thiểu 05 chương trình diễn tập cấp tỉnh;
b) Cá nhân được cấp chứng chỉ tư vấn chuyên ngành hóa chất Hạng B để thực hiện các công việc tư vấn về xây dựng kế hoạch phòng ngừa ứng phó sự cố hóa chất cấp quốc gia và các công việc tư vấn quy định tại điểm c, d, d, e g, h tại khoản này khi đã tham gia xây dựng tối thiểu 02 kế hoạch phòng ngừa ứng phó sự cố hóa chất cấp tỉnh đã được phê duyệt, ban hành trong 02 năm gần nhất tính đến ngày đề nghị cấp chứng chỉ.
c) Cá nhân được cấp chứng chỉ tư vấn chuyên ngành hóa chất Hạng B để thực hiện các công việc tư vấn diễn tập ứng phó sự cố hóa chất của cơ sở hóa chất khi đã tham gia xây dựng tối thiểu 02 chương trình diễn tập của cơ sở hóa chất.
d) Cá nhân được cấp chứng chỉ tư vấn chuyên ngành hóa chất Hạng B để thực hiện các công việc tư vấn về diễn tập ứng phó sự cố hóa chất cấp tỉnh và của cơ sở hóa chất khi có kinh nghiệm tham gia xây dựng tối thiểu 02 chương trình diễn tập cấp tỉnh.
đ) Cá nhân được cấp chứng chỉ tư vấn chuyên ngành hóa chất Hạng B để thực hiện các công việc tư vấn về xây dựng kế hoạch phòng ngừa ứng phó sự cố hóa chất của dự án hóa chất, cơ sở hóa chất khi đã tham gia xây dựng tối thiểu 02 kế hoạch phòng ngừa ứng phó sự cố hóa chất của cơ sở hóa chất đã được phê duyệt trong 02 năm gần nhất tính đến ngày đề nghị cấp chứng chỉ.
e) Cá nhân được cấp chứng chỉ tư vấn chuyên ngành hóa chất Hạng B để thực hiện các công việc vấn về xây dựng kế hoạch phòng ngừa ứng phó sự cố hóa chất cấp tỉnh khi đã tham gia xây dựng tối thiểu 02 kế hoạch phòng ngừa ứng phó sự cố hóa chất cấp tỉnh đã được phê duyệt trong 02 năm gần nhất tính đến ngày đề nghị cấp chứng chỉ.
g) Cá nhân được cấp chứng chỉ tư vấn chuyên ngành hóa chất Hạng B để thực hiện các công việc tư vấn về huấn luyện an toàn chuyên ngành hóa chất cho đối tượng thuộc nhóm I, II, III quy định tại khoản 3 Điều 29 của Nghị định này khi có kinh nghiệm làm người huấn luyện hoặc tham gia hỗ trợ huấn luyện tối thiểu 05 chương trình huấn luyện an toàn chuyên ngành hóa chất trong 02 năm gần nhất tính đến ngày đề nghị cấp chứng chỉ.
h) Cá nhân chỉ đáp ứng các điều kiện quy định tại điểm a và b khoản 1 Điều này được cấp chứng chỉ tư vấn chuyên ngành hóa chất Hạng B để thực hiện các công việc tư vấn về xây dựng biện pháp phòng ngừa ứng phó sự cố hóa chất; phân loại, ghi nhãn hóa chất, lập phiếu an toàn hóa chất, đăng kí hóa chất mới.
Điều 19. Điều kiện đối với tổ chức thực hiện hoạt động tư vấn an toàn, an ninh hóa chất
1. Đáp ứng quy định tại điểm a khoản 2 Điều 8 Luật Hóa chất số 69/2025/QH15.
2. Tổ chức thực hiện hoạt động tư vấn an toàn, an ninh hóa chất phải có ít nhất 01 tư vấn viên đảm nhận nhiệm vụ tư vấn có chứng chỉ tư vấn chuyên ngành hóa chất phù hợp với công việc đảm nhận theo quy định Điều 18 của Nghị định này.
3. Có trang thiết bị, phương tiện kỹ thuật, cần thiết đáp ứng yêu cầu của hoạt động tư vấn: Trang thiết bảo vệ cá nhân phù hợp với đặc tính nguy hiểm của các loại hóa chất, phương tiện, thiết bị phục vụ thực hành hoặc diễn tập ứng phó sự cố hóa chất.
Điều 20. Chứng chỉ tư vấn chuyên ngành hóa chất
1. Chứng chỉ tư vấn chuyên ngành hóa chất (sau đây gọi tắt là chứng chỉ tư vấn) được cấp cho cá nhân là công dân Việt Nam, người Việt Nam định cư ở nước ngoài, người nước ngoài lao động hoặc tạm trú hợp pháp tại Việt Nam để thực hiện hoạt động tư vấn theo quy định tại khoản 3 Điều 8 của Luật Hóa chất số 69/2025/QH15.
2. Chứng chỉ tư vấn cấp mới, cấp điều chỉnh có hiệu lực 05 năm kể từ ngày cấp. Đối với chứng chỉ tư vấn của cá nhân nước ngoài, hiệu lực được xác định theo thời hạn còn lại được ghi trong giấy phép lao động hoặc thẻ tạm trú do cơ quan có thẩm quyền cấp nhưng không quá 05 năm. Thời hạn của chứng chỉ tư vấn cấp lại được xác định theo thời hạn ghi trên chứng chỉ tư vấn được cấp lần gần nhất trước đó.
3. Quy cách và nội dung của chứng chỉ tư vấn quy định tại Mẫu số 01 Phụ lục ban hành kèm theo Nghị định này.
4. Bộ trưởng Bộ Công Thương hướng dẫn việc ghi mã số chứng chỉ tư vấn.
Quy định chi tiết tại Điều 3 Thông tư 02/2026/TT-BCT từ 17/1/2026
Điều 21. Trường hợp cấp, cấp lại, cấp điều chỉnh, thu hồi chứng chỉ tư vấn chuyên ngành hóa chất
1. Chứng chỉ tư vấn chuyên ngành hóa chất được cấp cho cá nhân khi thuộc một trong các trường hợp sau đây:
a) Cấp mới chứng chỉ tư vấn đối với các trường hợp: lần đầu được cấp chứng chỉ; chứng chỉ hết thời hạn hiệu lực hoặc đề nghị cấp lại đối với chứng chỉ còn thời hạn hiệu lực không thuộc điểm b khoản này;
b) Cấp lại chứng chỉ tư vấn đối với các trường hợp: chứng chỉ tư vấn còn thời hạn hiệu lực nhưng bị mất hoặc hư hỏng; điều chỉnh, bổ sung thông tin cá nhân; ghi sai thông tin do lỗi của cơ quan cấp chứng chỉ;
c) Cấp điều chỉnh chứng chỉ tư vấn đối với trường hợp điều chỉnh hạng, nhóm chứng chỉ tư vấn;
d) Cá nhân người nước ngoài đã được cấp chứng chỉ tư vấn theo quy định tại điểm a khoản này, nếu giấy phép lao động hoặc thẻ tạm trú hết hạn trước thời hạn của chứng chỉ tư vấn, để tiếp tục hoạt động tư vấn tại Việt Nam thì thực hiện cấp mới chứng chỉ tư vấn sau khi được gia hạn giấy phép lao động hoặc thẻ tạm trú.
2. Chứng chỉ tư vấn bị thu hồi khi thuộc một trong các trường hợp sau đây:
a) Cá nhân không còn đáp ứng điều kiện cấp chứng chỉ tư vấn theo quy định tại khoản 1 Điều 16 và khoản 1 Điều 18 của Nghị định này;
b) Giả mạo giấy tờ, kê khai không trung thực trong hồ sơ đề nghị cấp chứng chỉ tư vấn;
c) Cho thuê, cho mượn hoặc cho người khác sử dụng chứng chỉ tư vấn;
d) Sửa chữa, tẩy xóa làm sai lệch nội dung chứng chỉ tư vấn;
đ) Chứng chỉ tư vấn được cấp không đúng thẩm quyền; không đúng đối tượng;
e) Chứng chỉ tư vấn được cấp khi cá nhân không đáp ứng điều kiện theo quy định;
g) Cá nhân có sai phạm và bị cơ quan chức năng kiến nghị thu hồi chứng chỉ tư vấn;
h) Cá nhân được cấp chứng chỉ tư vấn không còn nhu cầu sử dụng chứng chỉ tư vấn mà mình được cấp và đề nghị cơ quan có thẩm quyền cấp chứng chỉ thu hồi.
3. Cá nhân đã bị thu hồi chứng chỉ tư vấn được đề nghị cấp mới chứng chỉ tư vấn sau thời hạn:
a) 24 tháng kể từ ngày có quyết định thu hồi chứng chỉ tư vấn đối với các trường hợp theo quy định tại các điểm b, c, d và g khoản 2 Điều này;
b) Theo thời hạn tại quyết định xử phạt vi phạm hành chính tước quyền sử dụng chứng chỉ tư vấn hoặc đình chỉ hoạt động đối với các trường hợp theo quy định tại điểm h khoản 2 Điều này.
Điều 22. Hồ sơ đề nghị cấp, cấp lại, cấp điều chỉnh chứng chỉ tư vấn chuyên ngành hóa chất
1. Hồ sơ đề nghị cấp mới chứng chỉ tư vấn bao gồm:
a) Văn bản đề nghị cấp chứng chỉ tư vấn là bản gốc trong trường hợp nộp trực tiếp hoặc thông qua dịch vụ bưu chính; tệp tin chụp từ bản gốc trong trường hợp nộp trực tuyến;
b) Tệp tin ảnh màu cỡ $4\times6$ cm có nền màu trắng chân dung của người đề nghị cấp chứng chỉ tư vấn được chụp trong thời gian không quá 06 tháng;
c) Bản sao văn bằng có chứng thực hoặc tệp tin bản sao điện tử được chứng thực theo quy định do cơ sở đào tạo hợp pháp cấp phù hợp với lĩnh vực, hạng chứng chỉ tư vấn đề nghị cấp; trường hợp trên văn bằng không ghi hoặc ghi không rõ chuyên ngành đào tạo thì phải nộp kèm bảng điểm hoặc phụ lục văn bằng để làm cơ sở kiểm tra, đánh giá (đối với văn bằng do cơ sở đào tạo nước ngoài cấp, trường hợp cá nhân là người nước ngoài và người Việt Nam định cư ở nước ngoài phải là bản được hợp pháp hóa lãnh sự và bản dịch sang tiếng Việt được công chứng, chứng thực theo quy định của pháp luật Việt Nam; các trường hợp còn lại văn bằng do cơ sở đào tạo nước ngoài cấp phải được hệ thống giáo dục Việt Nam công nhận);
d) Tài liệu chứng minh thời gian công tác tại các vị trí phù hợp là bản sao có chứng thực hoặc tệp tin bản sao điện tử được chứng thực theo quy định một hoặc một số giấy tờ sau đây: Quyết định bổ nhiệm, bổ nhiệm lại, tuyển dụng, luân chuyển, điều động; hợp đồng làm việc hoặc hợp đồng lao động; bảng lương hoặc giấy tờ chứng minh thời gian đóng bảo hiểm xã hội; giấy xác nhận quá trình công tác;
đ) Tài liệu chứng minh kinh nghiệm tham gia các công việc phù hợp là bản sao có chứng thực hoặc tệp tin bản sao điện tử được chứng thực theo quy định một hoặc một số giấy tờ sau đây: Các quyết định phân công công việc (giao nhiệm vụ) của tổ chức cho cá nhân hoặc văn bản xác nhận của đại diện hợp pháp của chủ đầu tư và chịu trách nhiệm về tính trung thực của nội dung xác nhận về các công việc mà cá nhân đã hoàn thành theo nội dung kê khai; hợp đồng kinh tế và biên bản nghiệm thu các công việc thực hiện đã kê khai;
e) Bản sao có chứng thực hoặc tệp tin bản sao điện tử được chứng thực theo quy định giấy tờ về cư trú hoặc giấy phép lao động tại Việt Nam đối với người nước ngoài hoặc người Việt Nam định cư ở nước ngoài.
2. Hồ sơ đề nghị cấp lại chứng chỉ tư vấn bao gồm:
a) Văn bản đề nghị cấp lại chứng chỉ tư vấn là bản gốc trong trường hợp nộp trực tiếp hoặc thông qua dịch vụ bưu chính; tệp tin chụp từ bản gốc trong trường hợp nộp trực tuyến;
b) Tệp tin ảnh màu cỡ $4\times6$ cm có nền màu trắng chân dung của người đề nghị cấp chứng chỉ tư vấn được chụp trong thời gian không quá 06 tháng;
c) Bản gốc chứng chỉ tư vấn đề nghị cấp lại. Trong trường hợp bị mất chứng chỉ tư vấn thì phải có cam kết của người đề nghị cấp lại.
3. Hồ sơ đề nghị cấp điều chỉnh chứng chỉ tư vấn bao gồm:
a) Văn bản đề nghị cấp điều chỉnh chứng chỉ tư vấn là bản gốc trong trường hợp nộp trực tiếp hoặc thông qua dịch vụ bưu chính; tệp tin chụp từ bản gốc trong trường hợp nộp trực tuyến;
b) Tệp tin ảnh màu cỡ $4\times6$ cm có nền màu trắng chân dung của người đề nghị cấp chứng chỉ tư vấn được chụp trong thời gian không quá 06 tháng;
c) Các tài liệu theo quy định tại các điểm c, d, đ, e khoản 1 Điều này.
4. Cá nhân thực hiện nộp lệ phí theo quy định của pháp luật về phí và lệ phí khi nộp hồ sơ đề nghị cấp, cấp lại, cấp điều chỉnh chứng chỉ tư vấn trừ trường hợp đề nghị cấp lại do cơ quan cấp chứng chỉ ghi sai thông tin.
Điều 23. Trình tự, thủ tục, thẩm quyền cấp, cấp lại, cấp điều chỉnh, thu hồi chứng chỉ tư vấn chuyên ngành hóa chất
1. Cá nhân nộp 01 bộ hồ sơ đề nghị cấp, cấp lại, cấp điều chỉnh chứng chỉ tư vấn đến cơ quan có thẩm quyền cấp chứng chỉ tư vấn bằng một trong các hình thức sau:
a) Trực tiếp tại Bộ phận Một cửa;
b) Thông qua dịch vụ bưu chính;
c) Trực tuyến tại cổng dịch vụ công.
2. Kể từ ngày tiếp nhận đủ hồ sơ hợp lệ theo quy định tại các khoản 1, 2, 3 Điều 22 của Nghị định này, cơ quan có thẩm quyền cấp chứng chỉ tư vấn có trách nhiệm đánh giá việc đáp ứng các điều kiện và cấp chứng chỉ tư vấn. Trường hợp không cấp chứng chỉ tư vấn, cơ quan có thẩm quyền cấp chứng chỉ tư vấn phải thông báo bằng văn bản tới cá nhân và nêu rõ lý do.
3. Thời hạn cấp chứng chỉ tư vấn được quy định như sau:
a) 10 ngày làm việc đối với trường hợp cấp mới;
b) 05 ngày làm việc đối với trường hợp cấp lại;
c) 10 ngày làm việc đối với trường hợp cấp điều chỉnh.
4. Đối với trường hợp thu hồi chứng chỉ tư vấn:
a) Trong thời hạn 10 ngày làm việc, kể từ ngày nhận được kết luận thanh tra, kiểm tra của cơ quan có thẩm quyền, trong đó có kiến nghị thu hồi chứng chỉ tư vấn hoặc khi phát hiện hoặc có căn cứ xác định một trong các trường hợp thu hồi chứng chỉ tư vấn quy định tại khoản 2 Điều 21 của Nghị định này, cơ quan có thẩm quyền thu hồi chứng chỉ tư vấn ban hành quyết định thu hồi; trường hợp không thu hồi thì phải thông báo bằng văn bản gửi cơ quan, tổ chức, cá nhân có kiến nghị thu hồi và nêu rõ lý do không thu hồi;
b) Cơ quan có thẩm quyền thu hồi chứng chỉ tư vấn có trách nhiệm gửi quyết định thu hồi chứng chỉ tư vấn cho cá nhân bị thu hồi;
c) Cá nhân bị thu hồi chứng chỉ tư vấn phải nộp lại bản gốc chứng chỉ tư vấn cho cơ quan ra quyết định thu hồi trong thời hạn 05 ngày làm việc, kể từ ngày nhận được quyết định thu hồi;
d) Cơ quan ra quyết định thu hồi tổ chức thực hiện việc tiêu hủy chứng chỉ tư vấn bằng hình thức cắt chéo (một phần hai) chứng chỉ.
5. Cơ quan có thẩm quyền cấp, cấp lại, cấp điều chỉnh, thu hồi chứng chỉ tư vấn chuyên ngành hóa chất có trách nhiệm cập nhập thông tin về chứng chỉ tư vấn được cấp, cấp lại, cấp điều chỉnh, thu hồi vào cơ sở dữ liệu chuyên ngành hóa chất.
6. Ủy ban nhân dân cấp tỉnh nơi cá nhân đăng ký thường trú cấp, cấp lại, cấp điều chỉnh, thu hồi chứng chỉ tư vấn chuyên ngành hóa chất.
7. Bộ trưởng Bộ Công Thương hướng dẫn biểu mẫu cấp, cấp lại, cấp điều chỉnh, thu hồi chứng chỉ tư vấn chuyên ngành hóa chất.
Điều 24. Quyền, nghĩa vụ của cá nhân đề nghị cấp chứng chỉ tư vấn
1. Cá nhân đề nghị cấp chứng chỉ tư vấn có các quyền sau đây:
a) Được yêu cầu cung cấp thông tin về việc cấp chứng chỉ tư vấn;
b) Khiếu nại, tố cáo các hành vi vi phạm các quy định của pháp luật về cấp chứng chỉ tư vấn.
2. Cá nhân đề nghị cấp chứng chỉ tư vấn có các nghĩa vụ sau đây:
a) Khai báo trung thực hồ sơ đề nghị cấp chứng chỉ tư vấn theo quy định tại Nghị định này; chịu trách nhiệm trước pháp luật về nội dung kê khai trong hồ sơ; cung cấp thông tin khi cơ quan có thẩm quyền yêu cầu;
b) Chỉ được hành nghề đúng với nội dung ghi trên chứng chỉ tư vấn, tuân thủ các quy định của pháp luật về hóa chất và pháp luật khác có liên quan;
c) Không được cho người khác thuê, mượn, sử dụng chứng chỉ tư vấn;
d) Không được tẩy xóa, sửa chữa chứng chỉ tư vấn;
đ) Xuất trình chứng chỉ tư vấn và chấp hành yêu cầu về thanh tra, kiểm tra của cơ quan có thẩm quyền.
Chương V
Điều 25. Bảo đảm yêu cầu về cơ sở vật chất - kỹ thuật trong hoạt động hoá chất
1. Nhà xưởng, kho chứa phải bảo đảm các yêu cầu về an toàn trong hoạt động hóa chất theo quy định tại quy chuẩn kỹ thuật, tiêu chuẩn quốc gia và văn bản quy phạm pháp luật có liên quan.
2. Thiết bị, phương tiện sản xuất, bao bì, thiết bị chứa đối với hoạt động hoá chất phải đáp ứng các yêu cầu sau đây:
a) Thiết bị, phương tiện phục vụ sản xuất hóa chất được lựa chọn đảm bảo giảm thiểu nguy cơ gây sự cố hóa chất, ô nhiễm môi trường, đảm bảo an toàn phòng, chống cháy nổ;
b) Thiết bị kỹ thuật phải đạt yêu cầu chung về an toàn phù hợp với chủng loại hóa chất và quy trình công nghệ, đáp ứng được công suất sản xuất, quy mô tồn trữ hoá chất. Máy, thiết bị, vật tư có yêu cầu nghiêm ngặt về an toàn, vệ sinh lao động và thiết bị đo lường thử nghiệm phải được kiểm định, hiệu chuẩn, hiệu chỉnh, bảo dưỡng theo quy định hiện hành về kiểm định máy móc, thiết bị;
c) Bao bì, thiết bị chứa hóa chất phải bảo đảm kín, chắc chắn, phù hợp với chủng loại hóa chất, không rò rỉ hóa chất, có độ bền chịu được tác động của hóa chất, thời tiết và các tác động thông thường khi bảo quản, bốc, xếp vận chuyển.
Bao bì, thiết bị chứa đã qua sử dụng phải bảo quản riêng. Trước khi nạp hóa chất, cơ sở thực hiện nạp phải kiểm tra bao bì, thiết bị chứa hóa chất, làm sạch bao bì, thiết bị chứa đã qua sử dụng để loại trừ khả năng phản ứng, cháy nổ khi nạp hóa chất. Các bao bì, thiết bị chứa đã qua sử dụng nhưng không sử dụng lại phải được thu gom, xử lý theo quy định của pháp luật về bảo vệ môi trường;
d) Bao bì, thiết bị chứa hoá chất phải có nhãn ghi đầy đủ các nội dung theo quy định về ghi nhãn hóa chất. Nhãn của hoá chất phải đảm bảo rõ, dễ đọc và có độ bền chịu được tác động của hóa chất, thời tiết và các tác động thông thường khi bảo quản, bốc, xếp vận chuyển.
3. Thiết bị an toàn phòng cháy chữa cháy, trang thiết bị phòng ngừa ứng phó sự cố hoá chất, phương tiện bảo hộ cá nhân trong hoạt động hoá chất phải đáp ứng các yêu cầu sau đây:
a) Hệ thống phòng cháy, chữa cháy của nhà xưởng, kho chứa phải đáp ứng các quy định của pháp luật về phòng cháy, chữa cháy;
b) Trang thiết bị phòng ngừa ứng phó sự cố hoá chất phải đáp ứng đúng và đủ theo Kế hoạch phòng ngừa, ứng phó sự cố hóa chất đã được phê duyệt hoặc Biện pháp phòng ngừa, ứng phó sự cố hóa chất đã được ban hành tại cơ sở hoá chất;
c) Phương tiện bảo hộ cá nhân phải được bảo đảm đúng chủng loại, số lượng, chất lượng đáp ứng các quy định của pháp luật về an toàn vệ sinh lao động, phù hợp với chủng loại hóa chất.
4. Tổ chức, cá nhân sử dụng hóa chất cho nhu cầu tiêu dùng, sinh hoạt thiết yếu thực hiện đảm bảo an toàn theo hướng dẫn của nhà sản xuất.
Điều 26. Bảo đảm an toàn, an ninh trong hoạt động vận chuyển hóa chất Phương tiện, thiết bị, bồn chứa đối với hoạt động vận chuyển hóa chất phải đáp ứng các yêu cầu sau đây:
1. Phương tiện, thiết bị, bồn chứa phục vụ hoạt động vận chuyển hóa chất phải được đăng kiểm, kiểm định, cấp phép vận chuyển hóa chất nguy hiểm theo quy định của pháp luật về vận chuyển hàng hóa nguy hiểm.
2. Phương tiện, thiết bị, bồn chứa phục vụ hoạt động vận chuyển hóa chất phải đạt yêu cầu chung về an toàn theo tiêu chuẩn, quy chuẩn kỹ thuật quốc gia; được lựa chọn đảm bảo giảm thiểu nguy cơ gây sự cố hóa chất, ô nhiễm môi trường, đảm bảo an toàn phòng, chống cháy nổ phù hợp với chủng loại hóa chất, quy mô vận chuyển hoá chất.
3. Bao bì, thiết bị chứa hoá chất phải bảo đảm kín, chắc chắn, phù hợp với chủng loại hóa chất, không rò rỉ hóa chất, có độ bền chịu được tác động của hóa chất, thời tiết và các tác động thông thường khi bốc, xếp vận chuyển. Bao bì đã qua sử dụng phải bảo quản riêng. Bao bì, thiết bị đã qua sử dụng nhưng không sử dụng lại phải được thu gom, xử lý theo quy định của pháp luật về bảo vệ môi trường.
4. Bao bì, thiết bị chứa hoá chất phải có nhãn ghi đầy đủ các nội dung theo quy định về ghi nhãn hóa chất. Nhãn của hoá chất phải đảm bảo rõ, dễ đọc và có độ bền chịu được tác động của hóa chất, thời tiết và các tác động thông thường khi bốc, xếp vận chuyển.
5. Phương tiện bảo hộ cá nhân và trang thiết bị ứng phó sự cố hóa chất cho lái xe và người áp tải theo xe phải được trang bị đúng chủng loại, số lượng, chất lượng theo Biện pháp phòng ngừa, ứng phó sự cố hóa chất trong vận chuyển đã xây dựng, đáp ứng các quy định của pháp luật về an toàn vệ sinh lao động.
6. Trước khi vận chuyển hóa chất, phải kiểm tra phương tiện vận chuyển để đảm bảo phương tiện tham gia giao thông an toàn; làm sạch bao bì, thiết bị chứa hóa chất đã qua sử dụng để loại trừ khả năng phản ứng, cháy nổ khi vận chuyển hóa chất.
7. Lưu trữ biện pháp phòng ngừa, ứng phó sự cố hóa chất trong vận chuyển hóa chất theo phương tiện trong suốt quá trình vận chuyển dưới dạng bản cứng hoặc bản điện tử.
Điều 27. Yêu cầu chuyên môn đối với người chịu trách nhiệm chuyên môn về an toàn hóa chất
1. Tổ chức, cá nhân sản xuất hóa chất phải có người chịu trách nhiệm chuyên môn về an toàn hóa chất có bằng cử nhân hoặc tương đương trở lên ngành đào tạo về hóa học thuộc Danh mục quy định tại Phụ lục III ban hành kèm theo Nghị định này.
2. Tổ chức, cá nhân kinh doanh hóa chất, tồn trữ hóa chất, sử dụng hóa chất, xử lý chất thải hóa chất, tiêu hủy hóa chất, thải bỏ hóa chất phải có người chịu trách nhiệm chuyên môn về an toàn hóa chất có trình độ trung cấp trở lên ngành đào tạo về hóa học thuộc Danh mục quy định tại Phụ lục III ban hành kèm theo Nghị định này.
3. Tổ chức, cá nhân vận chuyển hóa chất thực hiện theo quy định tại pháp luật về vận chuyển hàng hóa nguy hiểm.
4. Tổ chức, cá nhân nghiên cứu, thử nghiệm hóa chất thực hiện theo quy định tại pháp luật về khoa học và công nghệ.
Điều 28. Thiết lập khoảng cách an toàn đối với công trình hóa chất
1. Bộ quản lý ngành tổ chức xây dựng và ban hành quy chuẩn kỹ thuật về khoảng cách an toàn đối với cơ sở sản xuất, tồn trữ hóa chất nguy hiểm trong lĩnh vực quản lý.
2. Trách nhiệm thực hiện thiết lập khoảng cách an toàn:
a) Các dự án đầu tư có hoạt động sản xuất, tồn trữ hóa chất nguy hiểm phải thiết lập khoảng cách an toàn đối với các khu dân cư, công trình công cộng, công trình quốc phòng, khu quân sự, công trình an ninh, di tích lịch sử - văn hóa, danh lam thắng cảnh, khu bảo tồn thiên nhiên, khu vực khai thác nguồn nước sinh hoạt;
b) Tổ chức, cá nhân không được xây dựng công trình nhà ở và công trình khác trong phạm vi khoảng cách an toàn quy định tại khoản 1 Điều này, trừ công trình chuyên dụng nhằm phục vụ mục đích đảm bảo an ninh, quốc phòng, giao thông hạ tầng, an ninh năng lượng. Ủy ban nhân dân cấp tỉnh quyết định chấp thuận việc xây dựng các công trình chuyên dụng trong phạm vi khoảng cách an toàn.
Điều 29. Đối tượng phải được huấn luyện an toàn chuyên ngành hóa chất
1. Tổ chức, cá nhân hoạt động hóa chất có trách nhiệm tổ chức huấn luyện an toàn chuyên ngành hóa chất cho các đối tượng được quy định tại khoản 3 Điều này định kỳ 02 năm một lần, trừ hoạt động sử dụng hóa chất cho nhu cầu tiêu dùng, sinh hoạt thiết yếu và hoạt động vận chuyển hóa chất bằng phương tiện giao thông cơ giới đường bộ, đường thủy nội địa. Việc huấn luyện an toàn chuyên ngành hóa chất có thể do tổ chức, cá nhân tự thực hiện hoặc thông qua tổ chức tư vấn. Tổ chức, cá nhân và tổ chức tư vấn chịu trách nhiệm trước pháp luật về chất lượng huấn luyện an toàn chuyên ngành hóa chất.
2. Người đã được huấn luyện phải được huấn luyện lại trong các trường hợp sau đây: Khi có sự thay đổi chủng loại hóa chất, công nghệ, cơ sở vật chất, phương án sản xuất liên quan đến vị trí làm việc; khi người đã được huấn luyện thay đổi vị trí làm việc; sau 02 lần kiểm tra người đã được huấn luyện không đạt yêu cầu; khi hết thời hạn 02 năm từ kể từ lần huấn luyện gần nhất.
3. Đối tượng tham gia huấn luyện an toàn chuyên ngành hóa chất được quy định như sau:
a) Nhóm 1, bao gồm: Người đứng đầu tổ chức, cơ sở trực tiếp hoạt động hóa chất; trưởng phòng, ban, chi nhánh trực thuộc trực thuộc, quản đốc phân xưởng hoặc tương đương phụ trách hoạt động hoá chất; Cấp phó của người đứng đầu theo quy định tại điểm a khoản 3 Điều này được giao nhiệm vụ phụ trách điều hành hoạt động hóa chất.
b) Nhóm 2, bao gồm: Người chịu trách nhiệm về an toàn hóa chất của tổ chức, cá nhân hoạt động hóa chất; Người trực tiếp giám sát về an toàn hóa chất tại nơi làm việc; thủ kho liên quan đến hoạt động hoá chất hoặc tương đương.
c) Nhóm 3, bao gồm: Người lao động liên quan trực tiếp đến hóa chất; Nhân viên y tế tại cơ sở hoạt động hoá chất (nếu có).
4. Căn cứ vào điều kiện cụ thể của cơ sở hoạt động hóa chất, tổ chức, cá nhân chủ động tổ chức huấn luyện riêng về an toàn chuyên ngành hóa chất hoặc kết hợp huấn luyện các nội dung về an toàn chuyên ngành hóa chất với huấn luyện về an toàn, vệ sinh lao động, về phòng cháy, chữa cháy hoặc nội dung huấn luyện khác được pháp luật chuyên ngành quy định nhưng phải bảo đảm đáp ứng các quy định về nội dung huấn luyện, người huấn luyện và thời gian huấn luyện tại Điều 30, Điều 31 và khoản 1 Điều 32 của Nghị định này.
Điều 30. Nội dung huấn luyện an toàn chuyên ngành hóa chất
1. Nội dung huấn luyện an toàn chuyên ngành hóa chất phải phù hợp với vị trí công tác của người được huấn luyện; tính chất, chủng loại, mức độ nguy hiểm của hóa chất tại cơ sở hoạt động hóa chất.
2. Nội dung huấn luyện đối với Nhóm 1:
a) Những quy định của pháp luật trong hoạt động hóa chất;
b) Các yếu tố nguy hiểm trong hoạt động hóa chất của cơ sở;
c) Phương án phối hợp với cơ quan có thẩm quyền để huy động nguồn lực bên trong và bên ngoài của cơ sở để ứng phó, khắc phục sự cố.
3. Nội dung huấn luyện đối với Nhóm 2:
a) Những quy định của pháp luật trong hoạt động hóa chất;
b) Các yếu tố nguy hiểm trong hoạt động hóa chất của cơ sở, các biện pháp phòng ngừa theo kế hoạch phòng ngừa, ứng phó sự cố hóa chất đã được phê duyệt hoặc biện pháp phòng ngừa, ứng phó sự cố hóa chất đã được ban hành;
c) Quy trình quản lý an toàn hóa chất, kỹ thuật đảm bảo an toàn khi làm việc, tiếp xúc với hóa chất nguy hiểm;
d) Các đặc tính nguy hiểm của hóa chất, phiếu an toàn hóa chất của các hóa chất nguy hiểm trong hoạt động hóa chất của cơ sở; phân loại, ghi nhãn hóa chất; sắp xếp hóa chất;
đ) Quy trình ứng phó đối với các hóa chất nguy hiểm điển hình: Quy trình thông báo, kỹ thuật ứng phó, vật liệu ứng phó, trang thiết bị bảo hộ cá nhân, phương án thu gom, tiêu tẩy, khử nhiễm...;
e) Nội dung thực hành tại cơ sở hoạt động hóa chất: Nhận biết hóa chất nguy hiểm thông qua nhãn hóa chất và hình đồ cảnh báo; sử dụng, bảo quản trang thiết bị bảo hộ cá nhân phục vụ công tác ứng phó sự cố hóa chất; sử dụng các thiết bị, vật liệu ứng phó sự cố hóa chất.
3. Nội dung huấn luyện đối với Nhóm 3:
a) Các yếu tố nguy hiểm trong hoạt động hóa chất của cơ sở, các biện pháp phòng ngừa theo kế hoạch phòng ngừa, ứng phó sự cố hóa chất đã được phê duyệt hoặc biện pháp phòng ngừa, ứng phó sự cố hóa chất đã được ban hành;
b) Quy trình quản lý an toàn hóa chất, kỹ thuật đảm bảo an toàn khi làm việc, tiếp xúc với hóa chất nguy hiểm;
c) Các đặc tính nguy hiểm của hóa chất, phiếu an toàn hóa chất của các hóa chất nguy hiểm trong hoạt động hóa chất của cơ sở; phân loại, ghi nhãn hóa chất; sắp xếp hóa chất;
d) Quy trình ứng phó đối với các hóa chất nguy hiểm điển hình: Quy trình thông báo, kỹ thuật ứng phó, vật liệu ứng phó, trang thiết bị bảo hộ cá nhân, phương án thu gom, tiêu tẩy, khử nhiễm...;
đ) Nội dung thực hành tại cơ sở hoạt động hóa chất: Nhận biết hóa chất nguy hiểm thông qua nhãn hóa chất và hình đồ cảnh báo; sử dụng, bảo quản trang thiết bị bảo hộ cá nhân phục vụ công tác ứng phó sự cố hóa chất; sử dụng các thiết bị, vật liệu ứng phó sự cố hóa chất.
Điều 31. Người huấn luyện an toàn chuyên ngành hóa chất
1. Đối với trường hợp tổ chức tự thực hiện huấn luyện an toàn chuyên ngành hóa chất, người huấn luyện an toàn chuyên ngành hóa chất phải có bằng cử nhân hoặc tương đương trở lên ngành đào tạo về hóa học thuộc Danh mục quy định tại Phụ lục III ban hành kèm theo Nghị định này và có kinh nghiệm làm việc liên quan đến hoạt động an toàn hóa chất tại tổ chức mình thực hiện huấn luyện theo quy định tại điểm b khoản 1 Điều 18 của Nghị định này.
2. Đối với trường hợp tổ chức, cá nhân thông qua tổ chức tư vấn để thực hiện huấn luyện an toàn chuyên ngành hóa chất, người huấn luyện thuộc tổ chức tư vấn phải có chứng chỉ tư vấn chuyên ngành hóa chất trong đó được huấn luyện an toàn chuyên ngành hóa chất. Tổ chức tư vấn huấn luyện an toàn chuyên ngành hóa chất phải đáp ứng các điều kiện theo quy định tại Điều 19 của Nghị định này.
Điều 32. Thời lượng huấn luyện, kiểm tra, hồ sơ huấn luyện an toàn chuyên ngành hóa chất
1. Thời gian huấn luyện an toàn chuyên ngành hóa chất được quy định như sau:
a) Thời gian huấn luyện an toàn chuyên ngành hóa chất chu kỳ đầu tiên tối thiểu là 08 giờ, bao gồm cả thời gian kiểm tra;
b) Thời gian huấn luyện an toàn hóa chất từ chu kỳ thứ hai trở đi bằng 50% thời gian huấn luyện an toàn hóa chất chu kỳ đầu tiên, trừ các trường hợp phải được huấn luyện an toàn chuyên ngành hóa chất lại theo quy định tại khoản 2 Điều 29 của Nghị định này.
2. Quy định về kiểm tra:
a) Nội dung kiểm tra phải phù hợp với nội dung huấn luyện;
b) Thời gian kiểm tra tối đa là 02 giờ;
c) Bài kiểm tra đạt yêu cầu phải đạt điểm trung bình trở lên.
3. Hồ sơ huấn luyện an toàn chuyên ngành hóa chất gồm:
a) Nội dung huấn luyện;
b) Danh sách người được huấn luyện với các thông tin: Họ tên, ngày tháng năm sinh, chức danh, vị trí làm việc, chữ ký xác nhận tham gia huấn luyện;
c) Thông tin về người huấn luyện bao gồm: Họ tên, ngày tháng năm sinh, trình độ học vấn, chuyên ngành được đào tạo, kinh nghiệm công tác, kèm theo các tài liệu chứng minh; d) Nội dung và kết quả kiểm tra huấn luyện an toàn chuyên ngành hóa chất;
đ) Quyết định công nhận kết quả kiểm tra huấn luyện an toàn chuyên ngành hóa chất của tổ chức thực hiện huấn luyện.
4. Tổ chức, cá nhân có trách nhiệm lưu giữ đầy đủ hồ sơ quy định tại khoản 3 Điều này trong thời gian tối thiểu 03 năm kể từ ngày ban hành quyết định công nhận kết quả kiểm tra huấn luyện an toàn chuyên ngành hóa chất và xuất trình khi cơ quan quản lý nhà nước yêu cầu.
Điều 33. Kế hoạch phòng ngừa, ứng phó sự cố hóa chất
1. Danh mục Hóa chất phải xây dựng Kế hoạch phòng ngừa, ứng phó sự cố hóa chất được ban hành tại Phụ lục IV kèm theo Nghị định số 24/2026/NĐ-CP ngày 17 tháng 01 năm 2026 của Chính phủ quy định các danh mục hóa chất thuộc phạm vi điều chỉnh của Luật Hóa chất.
2. Chủ đầu tư dự án, tổ chức, cá nhân hoạt động hóa chất nguy hiểm phải xây dựng Kế hoạch phòng ngừa, ứng phó sự cố hóa chất đối với tất cả các hóa chất nguy hiểm mà dự án có hoạt động và trình cơ quan có thẩm quyền thẩm định, phê duyệt nếu thuộc một trong các trường hợp sau:
a) Có ít nhất 01 hóa chất thuộc Bảng A hoặc 01 hỗn hợp chất thuộc Bảng B Phụ lục IV kèm theo Nghị định số 24/2026/NĐ-CP ngày 17 tháng 01 năm 2026 của Chính phủ quy định các danh mục hóa chất thuộc phạm vi điều chỉnh của Luật Hóa chất với khối lượng tồn trữ lớn nhất tại một thời điểm lớn hơn hoặc bằng ngưỡng khối lượng quy định tại Phụ lục;
b) Tổng tỉ lệ của khối lượng hóa chất nguy hiểm tồn trữ trên ngưỡng quy định lớn hơn hoặc bằng 1 trong trường hợp không thuộc đối tượng được quy định tại điểm a khoản 2 Điều này.
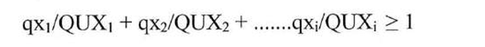
Tổng tỉ lệ của khối lượng hóa chất nguy hiểm tồn trữ được tính toán như sau:
.png)
Trong đó:
qxi = khối lượng tồn trữ lớn nhất tại một thời điểm hóa chất nguy hiểm i thuộc Bảng A hoặc Bảng B của Phụ lục IV kèm theo Nghị định số 24/2026/NĐ-CP ngày 17 tháng 01 năm 2026 của Chính phủ quy định các danh mục hóa chất thuộc phạm vi điều chỉnh của Luật Hóa chất.
QUXi = ngưỡng tồn trữ lớn nhất tại một thời điểm hóa chất nguy hiểm i được quy định tại Bảng A hoặc Bảng B của Phụ lục IV kèm theo Nghị định số 24/2026/NĐ-CP ngày 17 tháng 01 năm 2026 của Chính phủ quy định các danh mục hóa chất thuộc phạm vi điều chỉnh của Luật Hóa chất.
3. Kế hoạch phòng ngừa, ứng phó sự cố hóa chất phải có các nội dung sau đây:
a) Thông tin về đặc tính, khối lượng, quy mô hoạt động, tồn trữ hóa chất, công nghệ sản xuất, sử dụng hóa chất, đặc điểm điều kiện dịa lý, dân cư, môi trường nơi có hoạt động hóa chất. Nhân lực, trang thiết bị phục vụ công tác phòng ngừa, ứng phó sự cố hóa chất. Đánh giá sự ảnh hưởng của các điều kiện trên đối với công tác phòng ngừa, ứng phó sự cố hóa chất.
b) Dự báo nguy cơ, tình huống xảy ra sự cố hóa chất, xác định phạm vi ảnh hưởng, ước lượng hậu quả và nhận định phân cấp sự cố hóa chất.
c) Giải pháp phòng ngừa sự cố hóa chất tại khu vực tồn trữ hóa chất và tại các vị trí nguy cơ cao; giải pháp bảo quản, tránh thất thoát hóa chất.
d) Giải pháp ứng phó sự cố hóa chất tại các khu vực nguy cơ cao bao gồm các nội dung sau: Phân vùng nguy hiểm, phương án triển khai lực lượng, phương tiện theo điều kiện địa hình, khí tượng. Kỹ thuật, vật liệu ứng phó với các tình huống sự cố được nhận định. Cách thức sử dụng trang thiết bị bảo hộ cá nhân phù hợp với đặc tính nguy hiểm của từng loại hóa chất xảy ra sự cố. Kế hoạch phối hợp với các lực lượng ngoài cơ sở. Kế hoạch sơ tán người, tài sản.
đ) Kế hoạch diễn tập ứng phó sự cố hóa chất.
e) Phương án khắc phục hậu quả sự cố hóa chất theo quy định của pháp luật có liên quan.
4. Các nội dung quy định tại điểm b, c, d khoản 3 Điều này là nội dung cơ bản của Kế hoạch phòng ngừa, ứng phó sự cố hóa chất.
5. Bộ trưởng Bộ Công Thương hướng dẫn chi tiết khoản 3 Điều này.
Quy định chi tiết tại Điều 4, 5 Thông tư 02/2026/TT-BCT từ 17/1/2026
Điều 34. Thẩm định kế hoạch phòng ngừa ứng phó sự cố hóa chất
1. Hồ sơ đề nghị thẩm định Kế hoạch phòng ngừa, ứng phó sự cố hóa chất bao gồm:
a) Văn bản đề nghị thẩm định Kế hoạch phòng ngừa, ứng phó sự cố hóa chất theo mẫu quy định tại khoản 8 Điều này;
b) Kế hoạch phòng ngừa, ứng phó sự cố hóa chất gồm 09 bản.
2. Trình tự, thủ tục thẩm định, phê duyệt Kế hoạch phòng ngừa, ứng phó sự cố hóa chất:
a) Tổ chức, cá nhân đề nghị thẩm định Kế hoạch phòng ngừa, ứng phó sự cố hóa chất lập 01 bộ hồ sơ gửi cơ quan thẩm định qua đường bưu điện hoặc gửi trực tiếp hoặc qua hệ thống dịch vụ công trực tuyến. Thời điểm gửi hồ sơ đề nghị thẩm định thực hiện theo quy định tại khoản 3 Điều này;
b) Trường hợp hồ sơ chưa đầy đủ và hợp lệ, trong thời gian 03 ngày làm việc kể từ ngày tiếp nhận hồ sơ, cơ quan thẩm định thông báo trả lại hồ sơ cho tổ chức, cá nhân và nêu rõ lý do;
c) Sau khi nhận đủ hồ sơ hợp lệ, cơ quan thẩm định có trách nhiệm tổ chức thẩm định Kế hoạch trong vòng 15 ngày làm việc. Việc thẩm định Kế hoạch được thực hiện thông qua Hội đồng thẩm định theo quy định khoản 4 Điều này;
d) Cơ quan thẩm định có trách nhiệm gửi thông báo kết quả thẩm định đến tổ chức, cá nhân trong vòng 05 ngày làm việc kể từ ngày kết thúc thẩm định. Thông báo kết quả thẩm định phải thể hiện rõ kết luận của Hội đồng thẩm định về việc Kế hoạch đủ điều kiện hoặc không đủ điều kiện để thực hiện các bước tiếp theo và các yêu cầu đối với tổ chức, cá nhân. Trường hợp Kế hoạch không đủ điều kiện để thực hiện các bước tiếp theo, tổ chức, cá nhân có trách nhiệm xây dựng và trình thẩm định lại Kế hoạch. Trường hợp Kế hoạch đủ điều kiện để thực hiện các bước tiếp theo, tổ chức, cá nhân có trách nhiệm thực hiện các yêu cầu của Hội đồng thẩm định nêu tại Thông báo kết quả thẩm định;
đ) Đến thời điểm phê duyệt Kế hoạch theo quy định tại khoản 3 Điều này, tổ chức, cá nhân gửi báo cáo về kết quả thực hiện các yêu cầu của Hội đồng thẩm định nêu tại Thông báo kết quả thẩm định, 01 bản điện tử và 07 bản in Kế hoạch đã được chỉnh sửa, bổ sung đến Hội đồng thẩm định thông qua cơ quan thẩm định;
e) Chậm nhất 20 ngày làm việc kể từ ngày nhận được báo cáo của tổ chức, cá nhân, Hội đồng thẩm định tiến hành kiểm tra thực tế việc thực hiện các yêu cầu của Hội đồng thẩm định nêu tại Thông báo kết quả thẩm định; báo cáo kết quả kiểm tra và kết luận kiến nghị phê duyệt hoặc không phê duyệt Kế hoạch;
g) Chậm nhất 10 ngày làm việc kể từ ngày nhận được báo cáo kết quả kiểm tra của Hội đồng thẩm định, cơ quan phê duyệt Kế hoạch xem xét, phê duyệt Kế hoạch, trường hợp không phê duyệt Kế hoạch, phải có văn bản trả lời, nêu rõ lý do. Mẫu Quyết định phê duyệt Kế hoạch được quy định tại Phụ lục II ban hành kèm theo Nghị định này;
h) Trên cơ sở Kế hoạch được phê duyệt, cơ quan thẩm định chứng thực vào trang phụ bìa của bản Kế hoạch và gửi Quyết định phê duyệt kèm theo Kế hoạch cho tổ chức, cá nhân, các cơ quan, đơn vị liên quan tại địa phương thực hiện dự án bao gồm: Ủy ban nhân dân cấp tỉnh; cơ quan quản lý chuyên ngành cấp tỉnh; cơ quan quản lý nhà nước về phòng cháy, chữa cháy cấp tỉnh; cơ quan quản lý nhà nước về môi trường cấp tỉnh; Ban quản lý khu công nghiệp, khu chế xuất, khu kinh tế trong trường hợp địa điểm thực hiện dự án nằm trong khu công nghiệp, khu chế xuất, khu kinh tế; Ủy ban nhân dân cấp xã trong trường hợp Kế hoạch phòng ngừa, ứng phó sự cố hóa chất được Ủy ban nhân dân cấp tỉnh phê duyệt.
3. Thời điểm thẩm định, phê duyệt Kế hoạch phòng ngừa, ứng phó sự cố hóa chất
a) Đối với dự án đầu tư, chủ đầu tư phải trình thẩm định Kế hoạch phòng ngừa, ứng phó sự cố hóa chất trước khi có kết luận thẩm định báo cáo nghiên cứu khả thi đầu tư xây dựng, báo cáo kinh tế - kỹ thuật; Sau khi hoàn thành công trình xây dựng, chủ đầu tư báo cáo Hội đồng thẩm định để kiểm tra việc thực hiện các yêu cầu nêu tại Thông báo kết quả thẩm định và kiến nghị phê duyệt Kế hoạch. Chủ đầu tư chỉ được đưa công trình vào khai thác sử dụng sau khi Kế hoạch phòng ngừa, ứng phó sự cố hóa chất được phê duyệt;
b) Đối với trường hợp không thuộc quy định tại điểm a khoản này, chủ đầu tư, tổ chức, cá nhân phải trình cơ quan nhà nước có thẩm quyền thẩm định và phê duyệt Kế hoạch phòng ngừa, ứng phó sự cố hóa chất trước khi thực hiện tồn trữ hóa chất.
4. Tổ chức và hoạt động của Hội đồng thẩm định Kế hoạch phòng ngừa, ứng phó sự cố hóa chất:
a) Hội đồng thẩm định do cơ quan phê duyệt Kế hoạch thành lập. Thành phần Hội đồng thẩm định gồm đại diện cơ quan thẩm dịnh, các cơ quan quản lý nhà nước và các chuyên gia trong các lĩnh vực liên quan;
b) Cơ cấu tổ chức của Hội đồng thẩm định gồm: Chủ tịch Hội đồng, Phó Chủ tịch Hội đồng (nếu có), Ủy viên phản biện, Ủy viên thư ký và các Ủy viên. Tổng số thành viên Hội đồng tối thiểu là 07 người, tối đa là 09 người;
c) Hội đồng thẩm định có trách nhiệm tiến hành đánh giá, thẩm định Kế hoạch, kiểm tra thực tế việc thực hiện việc thực hiện các yêu cầu nêu tại Thông báo kết quả thẩm định và chịu trách nhiệm về kết luận thẩm định, kiểm tra. Hội đồng thẩm định chấm dứt hoạt động và tự giải thể sau khi Kế hoạch được phê duyệt;
d) Hội đồng thẩm định hoạt động theo nguyên tắc thảo luận tập thể giữa các thành viên trong Hội đồng và lập Biên bản theo mẫu quy định. Việc đánh giá Kế hoạch thực hiện thông qua phiếu đánh giá;
đ) Hội đồng thẩm định chỉ tiến hành họp khi có sự tham gia của ít nhất $2/3$ thành viên, trong đó phải có Chủ tịch hoặc Phó Chủ tịch và ít nhất 01 ủy viên phản biện. Chỉ những thành viên Hội đồng tham gia họp Hội đồng thẩm định mới được tham gia bỏ phiếu đánh giá Kế hoạch;
e) Đối với họp thẩm định Kế hoạch, Chủ tịch Hội đồng hoặc Phó Chủ tịch Hội đồng trong trường hợp Chủ tịch Hội đồng vắng mặt kết luận thẩm định Kế hoạch theo nguyên tắc sau: Kế hoạch được thông qua không phải chỉnh sửa, bổ sung nếu có ít nhất $2/3$ thành viên Hội đồng tham gia họp đồng ý thông qua và các thành viên còn lại đều đồng ý thông qua với điều kiện phải chỉnh sửa, bổ sung; Kế hoạch không được thông qua nếu có trên $1/3$ thành viên Hội đồng tham gia họp không đồng ý thông qua; các trường hợp khác, Kế hoạch được thông qua với điều kiện phải chỉnh sửa, bổ sung;
g) Đối với kiểm tra việc thực hiện các yêu cầu nêu tại Thông báo kết quả thẩm định, Chủ tịch Hội đồng hoặc Phó Chủ tịch Hội đồng trong trường hợp Chủ tịch Hội đồng vắng mặt kết luận theo nguyên tắc sau: Kiến nghị phê duyệt Kế hoạch nếu có ít nhất $2/3$ thành viên Hội đồng tham gia kiểm tra đồng ý phê duyệt; kiến nghị không phê duyệt Kế hoạch nếu có thấp hơn $2/3$ thành viên Hội đồng tham gia kiểm tra đồng ý phê duyệt.
5. Trách nhiệm của tổ chức, cá nhân được phê duyệt Kế hoạch phòng ngừa, ứng phó sự cố hóa chất:
a) Trong quá trình hoạt động hóa chất, tổ chức, cá nhân phải bảo đảm đúng các yêu cầu đề ra tại Kế hoạch đã được phê duyệt;
b) Lưu giữ Bản Kế hoạch phòng ngừa, ứng phó sự cố hóa chất đã được phê duyệt tại cơ sở hóa chất làm căn cứ để tổ chức, cá nhân thực hiện công tác kiểm soát an toàn tại cơ sở hóa chất và xuất trình các cơ quan có thẩm quyền khi có yêu cầu;
c) Chủ đầu tư, tổ chức, cá nhân hoạt động hóa chất có trách nhiệm cập nhật Kế hoạch phòng ngừa, ứng phó sự cố hóa chất trên cơ sở dữ liệu quốc gia không quá 30 ngày kể từ khi có quyết định phê duyệt Kế hoạch phòng ngừa, ứng phó sự cố hóa chất, trừ trường hợp vì mục đích quốc phòng, an ninh.
6. Thẩm quyền thẩm định, phê duyệt Kế hoạch phòng ngừa, ứng phó sự cố hóa chất
a) Bộ Công an chủ trì, phối hợp với cơ quan nhà nước có liên quan tổ chức thẩm định, phê duyệt Kế hoạch phòng ngừa, ứng phó sự cố hóa chất trong lĩnh vực an ninh, trật tự an toàn xã hội;
b) Bộ Quốc phòng chủ trì, phối hợp với cơ quan nhà nước có liên quan tổ chức thẩm định, phê duyệt Kế hoạch phòng ngừa, ứng phó sự cố hóa chất trong lĩnh vực quốc phòng;
c) Bộ Công Thương chủ trì, phối hợp cơ quan nhà nước có liên quan tổ chức thẩm định, phê duyệt Kế hoạch phòng ngừa, ứng phó sự cố hóa chất trong lĩnh vực dân sự đối với các đối tượng thuộc quy định tại điểm a khoản 2 Điều 33 của Nghị định này;
d) Ủy ban nhân dân cấp tỉnh nơi đặt dự án hóa chất, cơ sở hóa chất chủ trì, phối hợp với cơ quan quản lý nhà nước có liên quan tổ chức thẩm định, phê duyệt Kế hoạch phòng ngừa, ứng phó sự cố hóa chất trong lĩnh vực dân sự đối với các đối tượng thuộc quy định tại điểm b khoản 2 Điều 33 của Nghị định này.
7. Chủ đầu tư dự án, tổ chức, cá nhân thực hiện nộp phí thẩm định theo quy định của pháp luật về phí và lệ phí khi nộp hồ sơ đề nghị thẩm định Kế hoạch phòng ngừa, ứng phó sự cố hóa chất.
8. Bộ trưởng Bộ Công Thương quy định các biểu mẫu theo quy định tại Điều này.
Điều 35. Biện pháp phòng ngừa ứng phó sự cố hóa chất
1. Đối tượng phải xây dựng biện pháp:
a) Tổ chức, cá nhân có hoạt động tồn trữ hóa chất nguy hiểm trừ các trường hợp quy định tại khoản 2 Điều 33 của Nghị định này phải xây dựng Biện pháp phòng ngừa, ứng phó sự cố hóa chất, ra quyết định ban hành Biện pháp trước khi chính thức đưa vào hoạt động;
b) Tổ chức, cá nhân hoạt động vận chuyển hóa chất nguy hiểm phải xây dựng Biện pháp phòng ngừa, ứng phó sự cố hóa chất trong vận chuyển và mang theo trong quá trình vận chuyển hóa chất nguy hiểm;
c) Tổ chức, cá nhân thuộc quy định tại điểm a khoản này có trách nhiệm cập nhật Biện pháp phòng ngừa, ứng phó sự cố hóa chất trên cơ sở dữ liệu quốc gia không quá 30 ngày kể từ ngày ban hành biện pháp.
2. Biện pháp phòng ngừa, ứng phó sự cố hóa chất phải có các nội dung sau đây:
a) Xác định, khoanh vùng và lập kế hoạch kiểm tra thường xuyên các điểm có nguy cơ xảy ra sự cố hóa chất cao;
b) Giải pháp phòng ngừa sự cố hóa chất; giải pháp bảo quản, tránh thất thoát hóa chất;
c) Các biện pháp, trang thiết bị và lực lượng ứng phó tại chỗ;
d) Các kịch bản, tình huống sự cố hóa chất và phương án xử lý tình huống sự cố hóa chất;
đ) Phương án phối hợp với các lực lượng bên ngoài để ứng phó sự cố hóa chất.
3. Biện pháp phòng ngừa, ứng phó sự cố hóa chất trong vận chuyển phải có các nội dung sau đây:
a) Thông tin về chủ đầu tư đơn vị vận chuyển, phương tiện vận chuyển, thông tin về hóa chất nguy hiểm được vận chuyển;
b) Dự báo nguy cơ, tình huống xảy ra sự cố hóa chất, các biện pháp, trang thiết bị, lực lượng ứng phó tại chỗ;
c) Kế hoạch kiểm tra, giám sát phương tiện vận chuyển và các giải pháp phòng ngừa sự cố hóa chất;
d) Phương án phối hợp với các lực lượng bên ngoài để ứng phó sự cố hóa chất.
4. Bộ trưởng Bộ Công Thương hướng dẫn chi tiết khoản 2, khoản 3 Điều này.
Điều 36. Thực hiện Kế hoạch phòng ngừa, ứng phó sự cố hóa chất, Biện pháp phòng ngừa, ứng phó sự cố hóa chất
1. Tổ chức, cá nhân hoạt động hóa chất có nghĩa vụ thực hiện đầy đủ các nội dung trong Kế hoạch phòng ngừa, ứng phó sự cố hóa chất đã được phê duyệt hoặc Biện pháp phòng ngừa, ứng phó sự cố hóa chất đã được ban hành.
2. Tổ chức, cá nhân có tồn trữ hóa chất nguy hiểm thuộc danh mục hóa chất phải xây dựng kế hoạch phòng ngừa, ứng phó sự cố hóa chất được ban hành tại Phụ lục IV Nghị định số 24/2026/NĐ-CP ngày 17 tháng 01 năm 2026 của Chính phủ quy định các danh mục hóa chất thuộc phạm vi điều chỉnh của Luật Hóa chất có trách nhiệm tổ chức diễn tập ứng phó sự cố hóa chất định kì hằng năm và thực hiện chế độ cập nhật hoạt động diễn tập ứng phó sự cố hóa chất trên cơ sở dữ liệu chuyên ngành hóa chất.
3. Chủ đầu tư, tổ chức, cá nhân hoạt động hóa chất phải điều chỉnh Kế hoạch phòng ngừa, ứng phó sự cố hóa chất trong các trường hợp sau đây:
a) Thay đổi mở rộng quy mô, thay đổi dây chuyền công nghệ, trang thiết bị sản xuất, sử dụng, tồn trữ của dự án, cơ sở tồn trữ hóa chất mà thuộc trường hợp quy định tại khoản 2 Điều 33 của Nghị định này;
b) Bổ sung chủng loại hoặc nâng khối lượng tồn trữ lớn nhất tại một thời điểm đối với hóa chất nguy hiểm thuộc danh mục hóa chất phải xây dựng kế hoạch phòng ngừa, ứng phó sự cố hóa chất.
4. Việc xây dựng, thẩm định, phê duyệt Kế hoạch điều chỉnh được thực hiện như lần đầu.
5. Chủ đầu tư, tổ chức, cá nhân đã được phê duyệt Kế hoạch phòng ngừa, ứng phó sự cố hóa chất có thay đổi mở rộng quy mô, thay đổi dây chuyền công nghệ, trang thiết bị sản xuất, sử dụng, tồn trữ của dự án, cơ sở tồn trữ hóa chất nhưng không liên quan đến hóa chất nguy hiểm nguy hiểm thuộc danh mục hóa chất phải xây dựng kế hoạch phòng ngừa, ứng phó sự cố hóa chất thì phải xây dựng và ban hành biện pháp cho các hạng mục thay đổi.
6. Trường hợp tổ chức, cá nhân đã ban hành Biện pháp phòng ngừa, ứng phó sự cố hóa chất có sự thay đổi trong quá trình đầu tư và hoạt động liên quan đến những nội dung đề ra trong Biện pháp phòng ngừa, ứng phó sự cố hóa chất nhưng không thuộc trường hợp quy định tại khoản 2 Điều 33 của Nghị định này, tổ chức, cá nhân phải bổ sung, chỉnh sửa Biện pháp.
7. Trường hợp tổ chức, cá nhân đã ban hành Biện pháp phòng ngừa, ứng phó sự cố hóa chất có sự thay đổi trong quá trình đầu tư và hoạt động dẫn đến thuộc trường hợp quy định tại khoản 2 Điều 33 của Nghị định này, tổ chức, cá nhân phải xây dựng Kế hoạch phòng ngừa, ứng phó sự cố hóa chất, trình cơ quan có thẩm quyền thẩm định, phê duyệt.
8. Hạng mục thay đổi của dự án, cơ sở hóa chất chỉ được đưa vào hoạt động sau khi Kế hoạch phòng ngừa, ứng phó sự cố hóa chất đã được phê duyệt hoặc Biện pháp phòng ngừa, ứng phó sự cố hóa chất đã được ban hành.
9. Bộ trưởng Bộ Công Thương hướng dẫn chi tiết nội dung, quy trình tổ chức, hồ sơ diễn tập ứng phó sự cố hóa chất được quy định tại Điều này.
Điều 37. Kế hoạch phòng ngừa, ứng phó sự cố hóa chất cấp tỉnh
1. Nội dung Kế hoạch phòng ngừa, ứng phó sự cố hóa chất cấp tỉnh bao gồm:
a) Tóm tắt đặc điểm, tình hình điều kiện tự nhiên, xã hội và đánh giá sự ảnh hưởng của các yếu tố trên tới công tác phòng ngừa, ứng phó sự cố hóa chất trên địa bàn tỉnh;
b) Tổng quan về hoạt động hóa chất trên địa bàn tỉnh. Đánh giá tình hình sự cố hóa chất và năng lực ứng phó sự cố hóa chất của tỉnh;
c) Xây dựng các giải pháp phòng ngừa, ứng phó sự cố hóa chất trên địa bàn tỉnh;
d) Phương án khắc phục hậu quả do sự cố hóa chất theo quy định của pháp luật về bảo vệ môi trường và các quy định khác của pháp luật có liên quan;
đ) Kế hoạch triển khai, thực hiện kế hoạch phòng ngừa, diễn tập ứng phó sự cố hóa chất trên địa bàn tỉnh.
2. Ủy ban nhân dân cấp tỉnh giao cơ quan chuyên môn trực thuộc phối hợp với các cơ quan có liên quan trên địa bàn xây dựng dự thảo, gửi xin ý kiến các cơ quan có liên quan. Tiếp thu, giải trình ý kiến góp ý và hoàn thiện dự thảo; trình Ủy ban nhân dân cấp tỉnh xem xét, ban hành Kế hoạch phòng ngừa, ứng phó sự cố hóa chất cấp tỉnh. Trong thời hạn 15 ngày làm việc kể từ ngày nhận được dự thảo Kế hoạch phòng ngừa ứng phó sự cố hóa chất cấp tỉnh theo quy định tại khoản 3 Điều này, Ủy ban nhân dân cấp tỉnh xem xét, ban hành Kế hoạch phòng ngừa, ứng phó sự cố hóa chất cấp tỉnh.
3. Bộ trưởng Bộ Công Thương hướng dẫn chi tiết khoản 1 Điều này.
4. Ủy ban nhân dân cấp tỉnh có trách nhiệm:
a) Chủ tịch Ủy ban nhân dân cấp tỉnh, Thủ trưởng các cơ quan liên quan chịu trách nhiệm triển khai thực hiện theo Kế hoạch phòng ngừa, ứng phó sự cố hóa chất cấp tỉnh đã được ban hành;
b) Chỉ đạo cơ quan chức năng trên địa bàn tỉnh hướng dẫn, đôn đốc, kiểm tra các cơ sở hóa chất trên địa bàn xây dựng kế hoạch hoặc biện pháp phòng ngừa, ứng phó sự cố hóa chất phù hợp với quy mô, điều kiện sản xuất và đặc tính của hóa chất; kiểm tra năng lực ứng phó sự cố hóa chất của các cơ sở hóa chất;
c) Tăng cường công tác quản lý, thanh tra, kiểm tra việc thực hiện pháp luật nhất là việc cấp phép về sản xuất, kinh doanh và sử dụng hóa chất, vật liệu nổ của các cơ sở, tổ chức, cá nhân trên địa bàn quản lý theo đúng quy định của Luật Hóa chất số 69/2025/QH15 và pháp luật về quản lý, sử dụng vũ khí, vật liệu nổ và công cụ hỗ trợ, phòng ngừa sự cố về hóa chất, cháy nổ xảy ra;
d) Tổ chức diễn tập ứng phó sự cố hóa chất cấp tỉnh có sự tham gia của các cơ quan có trách nhiệm trên địa bàn theo kế hoạch đã được ban hành.
Điều 38. Nâng cao năng lực phòng ngừa, ứng phó sự cố hóa chất trong lĩnh vực dân sự
1. Bộ Công Thương chủ trì, phối hợp với các bộ, ngành xây dựng kế hoạch phòng ngừa, ứng phó sự cố hóa chất cấp quốc gia và định kì tổ chức diễn tập ứng phó sự cố hóa chất cấp quốc gia.
2. Bộ Công Thương chủ trì, xây dựng dự án nâng cấp cơ sở hạ tầng nhằm phục vụ mục đích thực hành, đào tạo, nâng cao năng lực trong công tác phòng ngừa, ứng phó sự cố hóa chất trình Thủ tướng Chính phủ phê duyệt.
Điều 39. Xử lý chất độc tồn dư của chiến tranh
1. Ban Chỉ đạo Quốc gia khắc phục hậu quả bom mìn và chất độc hóa học sau chiến tranh ở Việt Nam (sau đây gọi tắt là Ban Chỉ đạo) nghiên cứu, đề xuất Thủ tướng Chính phủ phương hướng, giải pháp để giải quyết những vấn đề quan trọng, liên ngành về xử lý chất độc tồn dư của chiến tranh.
2. Ban Chỉ đạo chủ trì, phối hợp với các cơ quan có liên quan, Ủy ban nhân dân cấp tỉnh xây dựng kế hoạch, chương trình triển khai xử lý chất độc tồn dư chiến của chiến tranh trình Thủ tướng Chính phủ phê duyệt.
3. Ban Chỉ đạo xây dựng báo cáo thường xuyên, đột xuất về công tác xử lý chất độc tồn dư của chiến tranh.
4. Ban Chỉ đạo, Ủy ban nhân dân cấp tỉnh và các cơ quan có liên quan tại khoản 2 Điều này chịu trách nhiệm triển khai thực hiện theo Kế hoạch xử lý chất độc tồn dư chiến tranh đã được phê duyệt.
Điều 40. Điều khoản chuyển tiếp
1. Tổ chức, cá nhân hoạt động tư vấn chuyên ngành hóa chất theo hợp đồng, thỏa thuận đã ký trước ngày Nghị định này có hiệu lực thi hành được tiếp tục thực hiện theo hợp đồng, thỏa thuận đã ký.
2. Tổ chức, cá nhân đã ban hành Biện pháp phòng ngừa, ứng phó sự cố hóa chất trước ngày Nghị định này có hiệu lực nhưng thuộc đối tượng quy định tại điểm b khoản 2 Điều 33 của Nghị định này phải thực hiện xây dựng Kế hoạch phòng ngừa, ứng phó sự cố hóa chất trình cơ quan có thẩm quyền thẩm định, phê duyệt trước ngày 31 tháng 12 năm 2026.
3. Ủy ban nhân dân các tỉnh, thành phố đã xây dựng Kế hoạch phòng ngừa, ứng phó sự cố hóa chất cấp tỉnh được ban hành trước ngày Nghị định này có hiệu lực tiếp tục thực hiện các nội dung đã được ban hành theo Kế hoạch.
Điều 41. Hiệu lực thi hành
1. Nghị định này có hiệu lực thi hành kể từ ngày ký ban hành.
2. Các Bộ trưởng, Thủ trưởng cơ quan ngang bộ, Thủ trưởng cơ quan thuộc Chính phủ, Chủ tịch Ủy ban nhân dân các tỉnh, thành phố trực thuộc trung ương và các đối tượng áp dụng của Nghị định chịu trách nhiệm thi hành Nghị định này.
TM. CHÍNH PHỦ KT. THỦ TƯỚNG PHÓ THỦ TƯỚNG
(Đã ký)
Bùi Thanh Sơn
.png)
DANH MỤC NGÀNH ĐÀO TẠO VỀ HÓA HỌC
(Kèm theo Nghị định số 25/2026/NĐ-CP ngày 17 tháng 01 năm 2026 của Chính phủ)
| Mã ngành | Tên ngành |
| Trung cấp | |
| 5510401 | Công nghệ kỹ thuật hoá học |
| 5510402 | Công nghệ hoá hữu cơ |
| 5510403 | Công nghệ hoá vô cơ |
| 5510404 | Hoá phân tích |
| 5510405 | Công nghệ hoá nhựa |
| 5510406 | Công nghệ hoá nhuộm |
| 5510407 | Công nghệ hoá Silicat |
| 5510701 | Công nghệ kỹ thuật hoá dầu |
| 5520176 | Bảo trì và sửa chữa thiết bị hoá chất |
| 5520190 | Vận hành máy và thiết bị hoá chất |
| Cao đẳng | |
| 6510401 | Công nghệ kỹ thuật hoá học |
| 6510404 | Hoá phân tích |
| 6510405 | Công nghệ hoá nhựa |
| 6510406 | Công nghệ hoá nhuộm |
| 6520190 | Vận hành máy và thiết bị hoá chất |
| Cử nhân/Kỹ sư | |
| 7140212 | Sư phạm Hoá học |
| 7440112 | Hoá học |
| 7510401 | Công nghệ kỹ thuật hoá học |
| 7510406 | Công nghệ kỹ thuật môi trường |
| 7420201 | Công nghệ sinh học |
| 7540101 | Công nghệ thực phẩm |
| 7520301 | Kỹ thuật hoá học |
| 7520320 | Kỹ thuật môi trường |
| 7440301 | Khoa học môi trường |
| 7850101 | Quản lý tài nguyên và môi trường |
| 7720203 | Hoá dược |
| 7850201 | Bảo hộ lao động |
| Thạc sĩ | |
| 8420120 | Hoá sinh học |
| 8440112 | Hoá học |
| 8440113 | Hoá vô cơ |
| 8440114 | Hoá hữu cơ |
| 8440118 | Hoá phân tích |
| 8440119 | Hoá lý thuyết và hoá lý |
| 8440120 | Hoá môi trường |
| 8440301 | Khoa học môi trường |
| 8520301 | Kỹ thuật hoá học |
| 8520305 | Kỹ thuật hoá dầu và lọc dầu |
| 8520320 | Kỹ thuật môi trường |
| 8720203 | Hoá dược |
| 8720208 | Hoá sinh dược |
| Tiến sĩ | |
| 9420120 | Sinh thái học |
| 9440112 | Hoá học |
| 9440113 | Hoá vô cơ |
| 9440114 | Hoá hữu cơ |
| 9440117 | Hoá học các hợp chất thiên nhiên |
| 9440118 | Hoá phân tích |
| 9440119 | Hoá lý thuyết và hoá lý |
| 9440120 | Hoá môi trường |
| 9440301 | Khoa học môi trường |
| 9520301 | Kỹ thuật hoá học |
| 9520305 | Kỹ thuật hoá dầu và lọc dầu |
| 9520320 | Kỹ thuật môi trường |
| 9720203 | Hoá dược |
| 9720208 | Hoá sinh dược |
Nội dung đang được cập nhật. Vui lòng Tải về để xem chi tiết