Chuyên đề: An toàn bức xạ
|
BỘ KHOA HỌC VÀ |
CỘNG HÒA XÃ HỘI CHỦ NGHĨA VIỆT NAM |
|
Số: 59/2025/TT-BKHCN |
Hà Nội, ngày 31 tháng 12 năm 2025 |
THÔNG TƯ
QUY ĐỊNH VỀ BẢO ĐẢM AN TOÀN BỨC XẠ VÀ ỨNG PHÓ SỰ CỐ BỨC XẠ VÀ HẠT NHÂN;
Căn cứ Luật Năng lượng nguyên tử số 94/2025/QH15;
Căn cứ Nghị định số 332/2025/NĐ-CP ngày 18 tháng 12 năm 2025 của Chính phủ quy định chi tiết và biện pháp thi hành một số điều của Luật Năng lượng nguyên tử về bảo đảm an toàn bức xạ, an toàn, an ninh, thanh sát hạt nhân, thông báo, khai báo, cấp phép, thanh tra, kiểm tra về an toàn bức xạ và hạt nhân, ứng phó sự cố bức xạ, sự cố hạt nhân, và bồi thường thiệt hại hạt nhân;
Căn cứ Nghị định số 55/2025/NĐ-CP ngày 02 tháng 3 năm 2025 của Chính phủ quy định chức năng, nhiệm vụ, quyền hạn và cơ cấu tổ chức của Bộ Khoa học và Công nghệ;
Theo đề nghị của Cục trưởng Cục An toàn bức xạ và hạt nhân và Vụ trưởng Vụ Pháp chế;
Bộ trưởng Bộ Khoa học và Công nghệ ban hành Thông tư quy định về bảo đảm an toàn bức xạ và ứng phó sự cố bức xạ và hạt nhân.
Thông tư này quy định chi tiết một số điều của Nghị định số 332/2025/NĐ-CP ngày 18 tháng 12 năm 2025 của Chính phủ quy định chi tiết và biện pháp thi hành một số điều của Luật Năng lượng nguyên tử về bảo đảm an toàn bức xạ, an toàn, an ninh, thanh sát hạt nhân, thông báo, khai báo, cấp phép, thanh tra, kiểm tra về an toàn bức xạ và hạt nhân, ứng phó sự cố bức xạ, sự cố hạt nhân và bồi thường thiệt hại hạt nhân (sau đây viết tắt là Nghị định số 332/2025/NĐ-CP) về:
1. Các biện pháp kiểm soát chiếu xạ nghề nghiệp và kiểm soát chiếu xạ công chúng; kiểm soát phóng xạ đối với cơ sở sử dụng sắt, thép phế liệu làm nguyên liệu sản xuất theo quy định tại điểm a khoản 7 Điều 5;
2. Bảo đảm an toàn bức xạ trong y tế và mức liều tham chiếu đối với người bệnh trong chẩn đoán y tế theo quy định tại khoản 6 Điều 6;
3. Vận chuyển an toàn vật liệu phóng xạ theo quy định tại khoản 9 Điều 15; kiểm soát hàng hóa nhập khẩu có dấu hiệu chứa chất phóng xạ hoặc nhiễm phóng xạ theo quy định tại khoản 3 Điều 17;
4. Quản lý chất thải phóng xạ, nguồn phóng xạ đã qua sử dụng trước khi chôn cất; chuyển giao chất thải phóng xạ, nguồn phóng xạ đã qua sử dụng theo quy định tại điểm b khoản 2 Điều 18, điểm a khoản 1 Điều 20;
5. Nội dung kế hoạch ứng phó sự cố của cơ sở hạt nhân và kế hoạch ứng phó sự cố cấp tỉnh; công tác chuẩn bị và ứng phó sự cố bức xạ, sự cố hạt nhân (sau đây viết tắt là ứng phó sự cố); hướng dẫn chi tiết giá trị D2 theo quy định tại khoản 4 Điều 99, khoản 4 Điều 100, khoản 3 Điều 102.
Thông tư này áp dụng đối với tổ chức, cá nhân tiến hành công việc bức xạ; tổ chức, cá nhân sử dụng sắt, thép phế liệu làm nguyên liệu sản xuất; tổ chức, cá nhân tham gia thiết kế, chế tạo, thử nghiệm, đóng gói, vận chuyển và tiếp nhận vật liệu phóng xạ; tổ chức, cá nhân có các hoạt động tại Việt Nam làm phát sinh chất thải phóng xạ, nguồn phóng xạ đã qua sử dụng và tiến hành các hoạt động liên quan trong quản lý chất thải phóng xạ, nguồn phóng xạ đã qua sử dụng trước khi chôn cất; tổ chức, cá nhân tham gia chuẩn bị ứng phó và ứng phó sự cố bức xạ và hạt nhân; cơ quan quản lý nhà nước có thẩm quyền và các tổ chức, cá nhân khác có hoạt động liên quan thuộc phạm vi điều chỉnh của Thông tư này.
Trong Thông tư này, các từ ngữ dưới đây được hiểu như sau:
1. Bao bì là hệ cấu trúc gồm các bộ phận cần thiết để bao kín hoàn toàn vật liệu phóng xạ, chống lại tác hại gây ra bởi vật liệu phóng xạ và phù hợp với đặc trưng của vật liệu phóng xạ được vận chuyển. Bao bì có thể gồm một hoặc nhiều vỏ chứa, vật liệu hấp thụ, cấu trúc ngăn cách, che chắn bức xạ và thiết bị cho việc nạp, tháo rồng, thoát khí, giảm áp suất, dùng để làm lạnh, giảm chấn động, cách nhiệt, để dịch chuyển. Bao bì có thể là hộp, thùng, công-ten-nơ, téc.
2. Cấp báo động là chỉ thị mức độ trầm trọng hoặc khẩn cấp của tình huống sự cố đang diễn ra hoặc sắp diễn ra.
3. Chất phát anpha độc tính thấp là urani tự nhiên, urani nghèo, thori tự nhiên, urani-235, urani-238, thori-232, quặng hoặc tinh quặng chứa thori-228 và thori-230 hoặc chất phát anpha có chu kỳ bán rã nhỏ hơn 10 ngày.
4. Chỉ số an toàn tới hạn (ký hiệu là CSI) là chỉ số của kiện hoặc công- ten-nơ chứa vật liệu phân hạch nhằm kiểm soát lượng vật liệu phân hạch và điều kiện sắp xếp trong quá trình vận chuyển bảo đảm vật liệu phân hạch đó luôn ở dưới mức tới hạn.
5. Chỉ số vận chuyển (ký hiệu là TI) là chỉ số của kiện, kiện hợp nhất, công-ten-nơ chứa vật liệu phóng xạ hoặc vật liệu LSA-I, SCO-I, SCO-II, SCO-III không đóng kiện, dùng để kiểm soát sự chiếu xạ trong quá trình vận chuyển nhằm bảo đảm an toàn bức xạ.
6. Cơ sở lưu giữ chất thải phóng xạ là cơ sở được Cục An toàn bức xạ và hạt nhân cấp giấy phép tiến hành công việc bức xạ (xử lý và lưu giữ chất thải phóng xạ hoặc nguồn phóng xạ đã qua sử dụng).
7. Công-ten-nơ là một loại thiết bị được thiết kế để dễ dàng cho việc vận chuyển hàng hóa bằng phương tiện vận chuyển khác nhau mà không cần dỡ hoặc xếp lại hàng khi chuyển đổi phương tiện vận chuyển. Công-ten-nơ có đặc trưng là kín, chắc chắn, được sử dụng nhiều lần và được lắp ráp thêm bộ phận cần thiết để việc chuyển công-ten-nơ từ phương tiện này sang phương tiện khác dễ dàng. Công-ten-nơ nhỏ có kích thước ngoài lớn nhất là 1,5 mét hoặc thể tích trong nhỏ hơn 3 mét khối. Công-ten-nơ lớn có kích thước lớn hơn công-ten-nơ nhỏ.
8. Đội ứng phó ban đầu là các thành viên của lực lượng ứng phó sự cố có trách nhiệm ứng phó ban đầu tại hiện trường.
9. Hành động bảo vệ là hành động nhằm giảm thiểu chiếu xạ, tránh hoặc ngăn chặn bị chiếu xạ do sự cố gây ra.
10. Hiệu ứng ngẫu nhiên là tác động sinh học do bức xạ gây ra đối với con người và xác suất xảy ra tăng theo liều bức xạ. Mức độ nghiêm trọng của hiệu ứng không phụ thuộc vào liều bức xạ. Một số biểu hiện của hiệu ứng ngẫu nhiên là bệnh bạch cầu và ung thư.
11. Hiệu ứng tất định là tác động sinh học do bức xạ gây ra đối với con người khi liều bức xạ vượt một mức ngưỡng. Mức độ nghiêm trọng của hiệu ứng tỷ lệ với liều bức xạ. Một số biểu hiện của hiệu ứng tất định là nôn mửa, bỏng da, hoại tử, tử vong.
12. Hoạt độ riêng của vật liệu phóng xạ là hoạt độ trên một đơn vị khối lượng của vật liệu trong đó nhân phóng xạ được phân bố đều. Đơn vị là Bq/g.
13. Kiện hàng phóng xạ (viết tắt là kiện) là hệ gồm bao bì và vật liệu phóng xạ bên trong bao bì được chuẩn bị để vận chuyển.
14. Kiện hợp nhất là một kết cấu bao bọc được sử dụng bởi một người gửi hàng nhằm chứa một hoặc nhiều kiện, tạo thành một đơn vị thống nhất để thuận tiện cho việc bốc xếp và sắp xếp trong quá trình vận chuyển.
15. Lô hàng phóng xạ (viết tắt lô hàng) là một hoặc nhiều kiện hàng phóng xạ được vận chuyển trong cùng một chuyến hàng.
16. Lực lượng ứng phó sự cố là lực lượng chủ chốt tham gia trong việc chuẩn bị và ứng phó sự cố.
17. Mã số Liên hợp quốc (ký hiệu là mã số UN) là nhóm số gồm bốn chữ số do Hội đồng chuyên gia về vận chuyển hàng nguy hiểm của Liên hợp quốc quy định để nhận biết một chất hoặc một nhóm chất cụ thể.
18. Mức liều điều tra là giá trị của một đại lượng cụ thể, bao gồm: liều hiệu dụng, tương đương liều cá nhân hoặc mức độ nhiễm bẩn mà khi đạt tới hoặc vượt quá giá trị này, cơ sở phải điều tra nguyên nhân.
19. Mức tiêu chí chung là mức liều bức xạ dự báo hoặc liều bức xạ đã nhận mà tại đó cần thực hiện các hành động bảo vệ tương ứng.
20. Người đứng đầu tổ chức, cá nhân sử dụng thiết bị bức xạ, nguồn phóng xạ, thuốc phóng xạ trong y tế (sau đây viết tắt là tổ chức, cá nhân tiến hành công việc bức xạ trong y tế) là người chủ sở hữu hoặc người đại diện theo pháp luật của chủ sở hữu hoặc người được ủy quyền của người đại diện theo pháp luật để quản lý cơ sở y tế.
21. Nhóm chuẩn bị ứng phó sự cố là nhóm các cơ sở, nguồn phóng xạ, thiết bị bức xạ, thiết bị hạt nhân; các hoạt động có khả năng gây ra sự cố và khu vực chịu ảnh hưởng của sự cố với mức độ thiệt hại tương đương nhau.
22. Nhiễm bẩn phóng xạ là sự có mặt của chất phóng xạ trên bề mặt với lượng lớn hơn 0,4 Bq/cm2 đối với chất phát beta, chất phát gamma và chất phát anpha độc tính thấp hoặc lớn hơn 0,04 Bq/cm2 đối với chất phát anpha khác.
23. Nhiễm bẩn phóng xạ bám chắc là nhiễm bẩn phóng xạ không thuộc dạng theo quy định tại khoản 27 Điều này.
24. Nhiễm bẩn phóng xạ không bám chắc là nhiễm bẩn phóng xạ mà chất phóng xạ có khả năng rời khỏi bề mặt trong điều kiện vận chuyển bình thường.
25. Phê duyệt đặc biệt là phê duyệt do cơ quan thẩm quyền cho phép áp dụng theo hướng dẫn khác trong trường hợp việc vận chuyển kiện hàng phóng xạ không đáp ứng được đầy đủ quy định của Thông tư này.
26. Sử dụng độc quyền là việc độc quyền sử dụng một phương tiện vận chuyển hoặc một công-ten-nơ lớn của bên gửi hàng và toàn bộ hoạt động chất hàng, dỡ hàng trong quá trình vận chuyển phải được thực hiện theo hướng dẫn của bên gửi hàng hoặc bên nhận hàng.
27. Téc là công-ten-nơ ở dạng thùng, bồn được sử dụng trong vận chuyển để chứa chất lỏng, bột, hạt, bùn hoặc chất rắn với dung tích không nhỏ hơn 450 lít và chứa chất khí với dung tích không nhỏ hơn 1000 lít.
28. Thiết bị sử dụng trong y học hạt nhân là các thiết bị gamma camera, SPECT, SPECT/CT, PET, PET/CT, máy đo chuẩn liều thuốc phóng xạ, máy ghi đo hoạt độ phóng xạ trong cơ thể (thận xạ ký, máy đo độ tập trung phóng xạ) và các thiết bị khác dùng trong y học hạt nhân.
29. Thiết bị X-quang chẩn đoán trong y tế là các thiết bị phát tia X được sử dụng để chiếu, chụp chẩn đoán bệnh, bao gồm: thiết bị X-quang chụp răng (thiết bị chụp răng toàn cảnh, thiết bị chụp sọ, thiết bị chụp răng sử dụng phim đặt sau huyệt ổ răng, chụp cắt lớp vi tính sử dụng chùm tia hình nón); thiết bị X-quang chụp vú; thiết bị X-quang di động; thiết bị X-quang đo mật độ xương; thiết bị chiếu, chụp X-quang tổng hợp; thiết bị X-quang tăng sáng truyền hình; thiết bị chụp cắt lớp vi tính và các thiết bị khác dùng trong chẩn đoán.
30. Thiết bị xạ trị là các thiết bị phát bức xạ ion hóa được sử dụng trong y tế để điều trị bệnh bao gồm: thiết bị gia tốc tuyến tính, thiết bị dùng nguồn Co-60, thiết bị dùng chùm tia ion, proton, thiết bị phẫu thuật bằng tia gamma (Gamma Knife), CyberKnife, thiết bị xạ trị áp sát nạp nguồn sau bằng điều khiến từ xa và các thiết bị khác dùng trong xạ trị.
31. Thiết kế là bản mô tả của vật liệu phóng xạ dạng đặc biệt, vật liệu phóng xạ phát tán thấp, kiện hoặc bao bì cho phép chúng có thể được nhận dạng chính xác. Thiết kế bao gồm đặc trưng kỹ thuật, bản vẽ kỹ thuật, bản phân tích chứng minh sự phù hợp với quy định, tiêu chuẩn quốc gia và quy định khác có liên quan.
32. Thori chưa chiếu xạ là thori chứa không quá 10-7 gam urani-233 trong 1 gam thori-232.
33. Tổ chức, cá nhân phát sinh chất thải phóng xạ là tổ chức, cá nhân được cấp giấy phép tiến hành công việc bức xạ có phát sinh chất thải phóng xạ do bản chất của công việc bức xạ hoặc để xảy ra sự cố phát sinh chất thải trong quá trình xử lý sự cố.
34. Tổ chức, cá nhân phát sinh nguồn phóng xạ đã qua sử dụng là tổ chức, cá nhân có nguồn phóng xạ đã qua sử dụng phát sinh từ công việc bức xạ đã được cấp phép.
35. Urani chưa chiếu xạ là urani chứa không quá 2 x 103 Bq plutoni, không quá 9 x 106 Bq sản phẩm phân hạch và không quá 5 x 10-3 gam urani- 236 tính cho 1 gam urani-235.
36. Urani giàu là urani chứa đồng vị urani-235 lớn hơn 0,72% khối lượng.
37. Urani nghèo là urani chứa đồng vị urani-235 nhỏ hơn 0,72% khối lượng.
38. Urani tự nhiên là urani có thành phần khối lượng 99,28% urani-238 và 0,72% urani-235.
39. Vật liệu phân hạch là urani-233, urani-235, plutoni-239, plutoni-241 hoặc hỗn hợp bất kỳ của chúng. Vật liệu phân hạch không bao gồm urani tự nhiên, urani nghèo chưa bị chiếu xạ hoặc chỉ bị chiếu xạ trong lò phản ứng nhiệt.
40. Vật liệu phóng xạ hoạt độ riêng thấp (ký hiệu là LSA) là vật liệu phóng xạ về bản chất có hoạt độ riêng thấp hoặc vật liệu phóng xạ có hoạt độ riêng trung bình thấp hơn mức giới hạn theo quy định tại Điều 38 Thông tư này. Các vật liệu che chắn ở bên ngoài bao quanh vật liệu LSA không được tính đến khi xác định hoạt độ riêng trung bình.
41. Vật liệu phóng xạ phát tán thấp là vật liệu phóng xạ ở dạng rắn và không ở dạng bột hoặc là vật liệu phóng xạ dạng rắn được bọc trong vỏ kín để hạn chế sự phát tán.
42. Vật nhiễm bẩn bề mặt (ký hiệu là SCO) là vật rắn, không phải là vật liệu phóng xạ nhưng có chất phóng xạ phân bố trên bề mặt.
Chương II
KIỂM SOÁT VÀ BẢO ĐẢM AN TOÀN BỨC XẠ TRONG CHIẾU XẠ NGHỀ NGHIỆP, CHIẾU XẠ CÔNG CHÚNG VÀ CHIẾU XẠ Y TẾ
Mục 1. YÊU CẦU VỀ KIỂM SOÁT VÀ BẢO ĐẢM AN TOÀN BỨC XẠ TRONG CHIẾU XẠ NGHỀ NGHIỆP VÀ CHIẾU XẠ CÔNG CHÚNG
Điều 4. Nguyên tắc kiểm soát chiếu xạ nghề nghiệp và chiếu xạ công chúng
1. Tổ chức, cá nhân tiến hành công việc bức xạ phải bảo đảm liều bức xạ cá nhân đối với nhân viên bức xạ và công chúng không vượt quá giới hạn liều theo quy định tại Phụ lục I Nghị định số 332/2025/NĐ-CP.
2. Tổ chức, cá nhân tiến hành công việc bức xạ phải thực hiện các biện pháp kỹ thuật và hành chính theo quy định tại Thông tư này để hạn chế mức liều bức xạ cá nhân đối với nhân viên bức xạ và công chúng đến mức thấp nhất có thể đạt được một cách hợp lý.
Điều 5. Sử dụng người lao động làm công việc bức xạ
Tổ chức, cá nhân tiến hành công việc bức xạ có trách nhiệm sử dụng, bố trí người lao động làm công việc bức xạ phù hợp với điều kiện sức khỏe, độ tuổi, tính chất công việc và yêu cầu bảo đảm an toàn bức xạ theo quy định sau đây:
1. Bố trí, điều chỉnh điều kiện lao động phù hợp đối với nhân viên bức xạ được kết luận có sức khỏe loại IV hoặc loại V theo tiêu chuẩn phân loại sức khỏe do Bộ trưởng Bộ Y tế ban hành trong khám tuyển hoặc khám sức khỏe định kỳ;
2. Không sử dụng người lao động dưới 18 tuổi để chăm sóc người bệnh được điều trị bằng các đồng vị phóng xạ hoặc làm việc trong khu vực có nguy cơ bị chiếu xạ với mức liều lớn hơn 1 mSv/năm hoặc trong khu vực có nguy cơ bị nhiễm bẩn phóng xạ;
3. Bố trí công việc không liên quan đến bức xạ đối với nhân viên bức xạ là nữ đang mang thai hoặc đang cho con bú nếu có nguyện vọng;
4. Trường hợp tổ chức tiến hành công việc bức xạ có người học nghề, sinh viên thực tập vận hành thiết bị bức xạ, làm việc với nguồn phóng xạ, chăm sóc người bệnh được điều trị bằng nguồn phóng xạ hoặc thuốc phóng xạ hoặc làm việc trong khu vực có nguy cơ bị chiếu xạ với mức liều lớn hơn 1 mSv/năm hoặc trong khu vực có nguy cơ bị nhiễm bẩn phóng xạ, cần phải:
a) Tổ chức huấn luyện cho các đối tượng nêu trên về các yêu cầu cơ bản bảo đảm an toàn bức xạ và nội quy, quy định an toàn bức xạ của cơ sở;
b) Bố trí cán bộ chuyên môn hướng dẫn, theo dõi và giám sát trong quá trình làm việc;
c) Áp dụng các biện pháp kiểm soát liều để bảo đảm liều chiếu xạ của các đối tượng này không vượt quá giới hạn liều theo quy định;
d) Trang bị liều kế cá nhân và theo dõi liều chiếu xạ cho người học nghề, sinh viên thực tập làm việc từ 03 tháng trở lên.
Điều 6. Đào tạo an toàn bức xạ cho nhân viên bức xạ
Tổ chức, cá nhân tiến hành công việc bức xạ có trách nhiệm:
1. Tổ chức cập nhật và bổ sung kiến thức chuyên sâu, thông tin mới về an toàn bức xạ cho nhân viên bức xạ định kỳ tối thiểu một lần trong thời gian 3 năm; việc cập nhật, bổ sung này phải được thực hiện bởi tổ chức có Giấy đăng ký hoạt động dịch vụ hỗ trợ ứng dụng năng lượng nguyên tử về đào tạo an toàn bức xạ;
2. Hằng năm, tổ chức huấn luyện cho nhân viên bức xạ về nội quy an toàn bức xạ, quy định của cơ sở liên quan đến bảo đảm an toàn bức xạ, quy trình ứng phó sự cố bức xạ hoặc phổ biến các quy định, thông tin mới về bảo đảm an toàn bức xạ.
Điều 7. Kiểm soát nguồn gây chiếu xạ
1. Tổ chức, cá nhân tiến hành công việc bức xạ có trách nhiệm tổ chức, quản lý và bảo đảm việc kiểm soát nguồn gây chiếu xạ tại cơ sở, bao gồm:
a) Bảo đảm số lượng nguồn bức xạ ở mức tối thiểu và hoạt độ nguồn phóng xạ là nhỏ nhất cần thiết để thực hiện công việc bức xạ theo nguyên tắc tối ưu hóa bảo đảm an toàn bức xạ;
b) Bố trí việc lưu giữ nguồn phóng xạ tại các khu vực bảo đảm an toàn, có che chắn tốt và áp dụng các biện pháp kiểm soát chiếu xạ, kiểm soát nhiễm bẩn phóng xạ;
c) Thực hiện hoặc tổ chức thực hiện việc vận chuyển nguồn phóng xạ trong và ngoài cơ sở theo quy định của pháp luật;
d) Thực hiện việc thu gom, xử lý, lưu giữ, điều kiện hóa, chuyển giao, thải bỏ và kiểm soát mức xả chất thải phóng xạ vào môi trường theo quy định tại chương IV Thông tư này;
đ) Thực hiện việc thu gom, lưu giữ, chuyển giao nguồn phóng xạ đã qua sử dụng theo quy định tại Chương IV Thông tư này và thanh lý nguồn phóng xạ đã qua sử dụng theo quy định tại Nghị định số 332/2025/NĐ-CP.
2. Nhân viên bức xạ có trách nhiệm tuân thủ quy trình, nội quy của cơ sở và trực tiếp thực hiện các biện pháp kiểm soát an toàn bức xạ, bao gồm việc thường xuyên kiểm tra sự rò rỉ của nguồn phóng xạ và kịp thời báo cáo khi phát hiện dấu hiệu không bảo đảm an toàn.
Điều 8. Thiết kế che chắn bức xạ
1. Khi tính toán thiết kế che chắn bức xạ cho cơ sở bức xạ, tổ chức, cá nhân tiến hành công việc bức xạ phải áp dụng mức liều kiềm chế theo quy định của Nghị định số 332/2025/NĐ-CP trên cơ sở xem xét các yếu tố sau:
a) Sự đóng góp liều từ các nguồn bức xạ và công việc bức xạ khác, kể cả các nguồn và công việc bức xạ có thể phát sinh trong tương lai theo kế hoạch (nếu có);
b) Thay đổi tiềm tàng có thể ảnh hưởng đến liều chiếu xạ như thay đổi đặc tính hay chế độ vận hành của nguồn bức xạ;
c) Kinh nghiệm vận hành tốt đối với các nguồn bức xạ hoặc công việc bức xạ tương tự.
2. Cơ sở hạt nhân có xử lý hoặc lưu giữ chất thải phóng xạ trong hồ sơ thiết kế cơ sở phải bao gồm dữ liệu về nền móng công trình, nước ngầm, nước bề mặt và nước sinh hoạt; đánh giá khả năng thẩm thấu và vận chuyển nhân phóng xạ trong đất và nước; đồng thời chứng minh thiết kế có khả năng ngăn ngừa rò rỉ chất phóng xạ vào đất, nước và không khí.
Điều 9. Kiểm soát việc tiếp cận nguồn bức xạ và ra, vào khu vực kiểm soát, khu vực giám sát
Tổ chức, cá nhân tiến hành công việc bức xạ có trách nhiệm tổ chức thực hiện các biện pháp kiểm soát sau đây:
1. Kiểm soát việc tiếp cận nguồn bức xạ
a) Trang bị hệ thống khóa liên động hoặc khóa sử dụng chìa khóa đối với nơi lưu giữ, sử dụng nguồn phóng xạ nhóm 1 và nhóm 2 theo Quy chuẩn kỹ thuật quốc gia về phân nhóm và phân loại nguồn phóng xạ; nơi sử dụng thiết bị gia tốc; nơi xử lý, chế biến chất phóng xạ, dược chất phóng xạ và khu vực lưu giữ chất thải phóng xạ;
b) Bố trí biển báo, sử dụng rào cản phù hợp để ngăn chặn việc tiếp cận trái phép đến nguồn bức xạ;
c) Quy định việc cấp phép ra, vào, sử dụng thẻ nhận dạng hoặc bố trí người giám sát nhằm kiểm soát việc tiếp cận nguồn bức xạ.
2. Kiểm soát việc ra, vào khu vực kiểm soát, khu vực giám sát
a) Xác định và niêm yết rõ phạm vi khu vực kiểm soát, khu vực giám sát; quy định đối tượng được phép ra, vào từng khu vực;
b) Xây dựng, ban hành và niêm yết nội quy ra, vào khu vực kiểm soát, khu vực giám sát;
c) Bố trí biển báo, sử dụng rào cản và các biện pháp quản lý phù hợp để hạn chế và kiểm soát việc ra, vào khu vực kiểm soát, khu vực giám sát.
Điều 10. Kiểm soát nhiễm bẩn phóng xạ bề mặt, nhiễm bẩn phóng xạ không khí
Tổ chức, cá nhân tiến hành công việc bức xạ sử dụng nguồn phóng xạ hở phải kiểm soát nhiễm bẩn phóng xạ bề mặt, nhiễm bẩn phóng xạ không khí bằng các biện pháp sau:
1. Sử dụng các hệ thống kín như tủ hút, tủ găng;
2. Sử dụng vật liệu dễ tẩy xạ cho tường, sàn nhà và các bề mặt dễ nhiễm bẩn phóng xạ;
3. Sử dụng các biện pháp ngăn chặn sự lan rộng nhiễm bẩn phóng xạ;
4. Sử dụng hệ thống thông gió có phin lọc chất phóng xạ;
5. Sử dụng các thiết bị đo suất liều và thiết bị đo nhiễm bẩn phóng xạ có dải năng lượng đo phù hợp với loại bức xạ phát ra từ thiết bị bức xạ và nguồn phóng xạ sử dụng tại cơ sở, các phép thử khác để kiểm tra theo dõi phông bức xạ môi trường, đánh giá mức nhiễm bẩn phóng xạ và kiểm soát mức bức xạ khi đi vào khu vực có khả năng nhiễm bẩn phóng xạ.
Điều 11. Phương tiện bảo hộ cá nhân và thiết bị đo kiểm tra bức xạ
1. Tổ chức, cá nhân tiến hành công việc bức xạ phải trang bị cho nhân viên bức xạ các phương tiện bảo hộ cá nhân như sau:
a) Quần, áo bảo hộ, găng tay, giầy, ủng hoặc bao chân, mũ trùm đầu, khẩu trang chống nhiễm bẩn phóng xạ cho nhân viên làm công việc bức xạ có khả năng gây nhiễm bẩn phóng xạ;
b) Kẹp gắp nguồn, găng tay cho nhân viên sử dụng nguồn phóng xạ trong thăm dò địa vật lý giếng khoan;
c) Tạp dề cao su chì, tấm cao su che tuyến giáp cho nhân viên vận hành thiết bị chụp X-quang di động;
d) Tạp dề cao su chì, tấm cao su chì che tuyến giáp, kính chì, găng tay cao su chì cho nhân viên vận hành thiết bị X-quang tăng sáng truyền hình, bác sỹ, nhân viên làm việc trong phòng đặt thiết bị X-quang tăng sáng truyền hình sử dụng chụp can thiệp và chụp mạch;
đ) Quần áo bảo hộ lao động, tạp dề cao su chì, găng tay, mũ trùm đầu, khẩu trang, giầy bảo hộ hoặc bao chân cho nhân viên bức xạ trong y tế tiếp xúc với nguồn phóng xạ hở (thuốc phóng xạ, vật thể bị nhiễm bẩn phóng xạ, chất thải phóng xạ);
e) Bình phong chì che chắn cho nhân viên bức xạ khi tiếp xúc với người bệnh lưu trú đã sử dụng thuốc phóng xạ hoặc đã cấy nguồn phóng xạ.
2. Đối với khu vực kiểm soát có khả năng gây nhiễm bẩn phóng xạ, tại lối vào khu vực, tổ chức, cá nhân tiến hành công việc bức xạ phải cung cấp cho nhân viên bức xạ thiết bị kiểm soát liều phù hợp; tại lối ra khu vực, phải bố trí nhà tắm, nơi rửa tay, nơi lưu giữ vật dụng nhiễm bẩn phóng xạ và thiết bị để kiểm tra nhiễm bẩn cơ thể, quần áo, vật dụng mang ra khỏi khu vực.
3. Phương tiện bảo hộ cá nhân, thiết bị kiểm soát liều và thiết bị kiểm tra nhiễm bẩn cơ thể phải đạt chất lượng và quy cách theo quy chuẩn kỹ thuật quốc gia hoặc tiêu chuẩn quốc tế được thừa nhận; phải được bảo quản tốt và được kiểm tra, bảo dưỡng định kỳ.
4. Nhân viên bức xạ phải được hướng dẫn đầy đủ về việc sử dụng và kiểm tra phương tiện bảo hộ cá nhân, thiết bị kiểm soát liều và thiết bị kiểm tra nhiễm bẩn phóng xạ cơ thể.
5. Nhân viên bức xạ phải sử dụng phương tiện bảo hộ cá nhân, thiết bị kiểm soát liều và thiết bị kiểm tra nhiễm bẩn phóng xạ cơ thể theo đúng chỉ dẫn.
Điều 12. Nội quy an toàn bức xạ và quy trình làm việc
1. Tổ chức, cá nhân tiến hành công việc bức xạ phải xây dựng nội quy an toàn bức xạ và quy trình làm việc phù hợp. Nội quy an toàn bức xạ bao gồm các nội dung sau:
a) Yêu cầu về tuân thủ các quy trình làm việc và chỉ dẫn an toàn;
b) Yêu cầu về việc thực hiện đo liều cá nhân theo quy định;
c) Yêu cầu về việc sử dụng các trang thiết bị bảo hộ cá nhân, thiết bị kiểm tra bức xạ và liều kế cá nhân;
d) Trách nhiệm thông báo kịp thời khi phát hiện bất thường có thể gây mất an toàn bức xạ;
đ) Yêu cầu cụ thể khác phù hợp với công việc bức xạ.
2. Nhân viên bức xạ phải chấp hành nội quy an toàn bức xạ và quy trình làm việc.
1. Tổ chức, cá nhân tiến hành công việc bức xạ phải thực hiện kiểm xạ khu vực làm việc và xây dựng các mức liều điều tra khi lập hồ sơ đề nghị cấp giấy phép tiến hành công việc bức xạ.
2. Việc kiêm xạ khu vực làm việc phải được thực hiện một cách có hệ thống và định kỳ, tương xứng với mức độ và khả năng gây chiếu xạ của công việc bức xạ, đồng thời bảo đảm các yêu cầu sau:
a) Tuân theo các đại lượng đo, phương pháp, quy trình đo, vị trí đo, thời điểm đo, tần suất kiểm xạ đã được xác định trước;
b) Mức liều điều tra tại các vị trí đo theo quy định tại điểm a khoản này phải được xây dựng trên số liệu đánh giá thực tế của cơ sở hoặc kinh nghiệm tốt tại các cơ sở có công việc bức xạ tương tự;
c) So sánh kết quả kiểm xạ khu vực làm việc với các mức liều điều tra đã được xây dựng; trường hợp kết quả kiếm xạ lớn hơn mức liều điều tra phải xác định nguyên nhân và áp dụng biện pháp khắc phục phù hợp;
d) Định kỳ hằng năm kiểm tra mức bức xạ tại các vị trí nhân viên bức xạ làm việc; mức bức xạ tại các vị trí cửa ra vào và khu vực xung quanh phòng đặt thiết bị bức xạ, nơi lưu giữ nguồn phóng xạ và chất thải phóng xạ;
đ) Cơ sở y học hạt nhân sử dụng thuốc phóng xạ để khám và điều trị bệnh phải thực hiện kiểm xạ tăng cường, bao gồm: định kỳ hằng ngày đo, đánh giá mức nhiễm bẩn phóng xạ tại khu vực chia liều và uống thuốc; định kỳ hằng tuần đo, đánh giá suất liều bức xạ tại khu vực làm việc và môi trường xung quanh của khu y học hạt nhân;
e) Thiết bị kiểm xạ phải đáp ứng quy chuẩn kỹ thuật quốc gia, tiêu chuẩn quốc gia hoặc tiêu chuẩn quốc tế được thừa nhận; đồng thời phải được bảo dưỡng, hiệu chuẩn định kỳ.
3. Tổ chức, cá nhân tiến hành công việc bức xạ phải lập và lưu giữ hồ sơ kết quả kiểm xạ khu vực làm việc, bao gồm yêu cầu theo quy định tại khoản 2 Điều này; kết quả kiểm xạ phải được thông báo cho nhân viên bức xạ và người quản lý trực tiếp của họ.
4. Yêu cầu kiểm xạ đối với hàng hóa nhập khẩu
a) Tổ chức, cá nhân nhập khẩu hàng hóa có dấu hiệu chứa chất phóng xạ hoặc nhiễm phóng xạ phải thực hiện kiếm xạ nhằm phát hiện, ngăn ngừa nguy cơ gây mất an toàn bức xạ đối với con người và môi trường trước khi đưa hàng hóa vào lưu thông, sử dụng trên lãnh thổ Việt Nam.
b) Danh mục hàng hóa nhập khẩu phải kiểm xạ nêu tại điểm a khoản này được quy định tại Phụ lục 3 ban hành kèm theo Thông tư này.
c) Cơ quan hải quan chủ trì, phối hợp với Cục An toàn bức xạ và hạt nhân và cơ quan có thẩm quyền khác tổ chức kiểm tra, giám sát việc thực hiện kiểm xạ hàng hóa thuộc Danh mục quy định tại điểm b khoản này theo quy định của pháp luật về năng lượng nguyên tử, pháp luật về hải quan và quy định của pháp luật có liên quan.
d) Trường hợp phát hiện hàng hóa nhập khẩu vượt mức cho phép hoặc không đáp ứng yêu cầu an toàn bức xạ theo quy định, tổ chức, cá nhân liên quan và cơ quan có thẩm quyền phải áp dụng ngay các biện pháp xử lý, kiểm soát và ứng phó sự cố bức xạ theo quy định của pháp luật.
Điều 14. Theo dõi và đánh giá chiếu xạ nghề nghiệp
1. Tổ chức, cá nhân tiến hành công việc bức xạ phải trang bị liều kế cá nhân cho tất cá nhân viên làm việc trong khu vực kiểm soát, khu vực giám sát.
2. Tổ chức, cá nhân tiến hành công việc bức xạ phải sử dụng dịch vụ đo liều bức xạ cá nhân tại các cơ sở được cấp đăng ký hoạt động dịch vụ hỗ trợ ứng dụng năng lượng nguyên tử.
3. Tổ chức, cá nhân tiến hành công việc bức xạ phải xây dựng, bảo đảm thực hiện đúng quy trình sử dụng liều kế cá nhân và xử lý các trường hợp bất thường liên quan đến liều kế cá nhân, bao gồm các nội dung sau:
a) Đánh giá liều chiếu xạ cá nhân tổng cộng cho nhân viên làm việc với nguồn phóng xạ hở bằng tổng liều chiếu ngoài và liều chiếu trong;
b) Đối với nhân viên bức xạ được trang bị tạp dề cao su chì quy định tại khoản 1 Điều 11 Thông tư này, mỗi nhân viên bức xạ phải được trang bị 2 liều kế cá nhân (một đặt dưới tạp dề chì tại vị trí bụng, một đặt bên ngoài tại vị trí cổ) và tính liều hiệu dụng theo công thức:
Liều hiệu dụng = 0,5 HW + 0,025 HN
Trong đó HW là kết quả đo liều kế trong tạp dề chì, HN là kết quả đo liều kế ngoài tạp dề chì;
c) Nếu kết quả đo liều hiệu dụng (chiếu ngoài) đối với nhân viên bức xạ, hoặc liều hiệu dụng tổng cộng đối với nhân viên tiếp xúc nguồn phóng xạ hở vượt mức liều điều tra, phải xem xét lại quy trình làm việc, biện pháp bảo vệ và áp dụng biện pháp khắc phục;
d) Nhân viên bức xạ phải sử dụng đúng, hợp lý các thiết bị kiểm xạ, liều kế cá nhân và báo ngay cho người phụ trách an toàn khi liều kế cá nhân bị rơi vào trường xạ, bị nhiễm bẩn phóng xạ, bị hỏng hoặc bị mất;
đ) Trường hợp liều kế cá nhân bị rơi vào trường xạ, bị nhiễm bẩn phóng xạ hoặc bị hỏng, liều kế phải được chuyển ngay đến đơn vị thực hiện dịch vụ đo liều kế cá nhân. Trong thời gian chờ kết quả đọc liều, tổ chức, cá nhân tiến hành công việc bức xạ phải trang bị liều kế mới cho nhân viên hoặc áp dụng các biện pháp an toàn để bảo đảm mức liều không cao hơn mức liều trung bình mà nhân viên nhận; toàn bộ sự việc và tài liệu liên quan cần được lập thành hồ sơ và được lưu giữ;
e) Thông báo kết quả đo liều chiếu xạ cá nhân cho nhân viên bức xạ; lập, lưu giữ và quản lý hồ sơ liều chiếu xạ cá nhân theo quy định, đặc biệt đối với nhân viên bức xạ trong y tế.
4. Trường hợp nhân viên bức xạ làm việc đồng thời cho nhiều cơ sở, mỗi cơ sở phải trang bị liều kế để theo dõi, đánh giá liều chiếu xạ cá nhân đối với phần công việc bức xạ được thực hiện tại từng cơ sở theo quy định tại khoản 3 Điều này. Nhân viên bức xạ phải bảo đảm tổng cộng liều chiếu xạ nghề nghiệp từ các công việc bức xạ tại tất cả cơ sở mà họ làm việc không vượt quá giới hạn liều nghề nghiệp đối với nhân viên bức xạ theo quy định.
5. Tổ chức, cá nhân tiến hành công việc bức xạ phải bảo đảm khi có chiếu xạ trong, nhân viên bức xạ ngoài việc được trang bị liều kế cá nhân, phải áp dụng các biện pháp đánh giá liều chiếu trong trực tiếp hoặc gián tiếp dựa trên kết quả theo dõi phông bức xạ, nồng độ chất phóng xạ tại nơi làm việc, trang thiết bị bảo hộ được sử dụng và những thông tin về vị trí, thời gian nhân viên bị chiếu xạ.
Điều 15. Khám sức khỏe cho nhân viên bức xạ
Tổ chức, cá nhân tiến hành công việc bức xạ có trách nhiệm:
1. Tổ chức khám sức khỏe cho nhân viên bức xạ khi mới tuyển dụng, định kỳ hằng năm và khi chấm dứt làm công việc liên quan tới bức xạ theo quy định về khám sức khỏe, vệ sinh lao động và bệnh nghề nghiệp;
2. Lập, lưu giữ và quản lý hồ sơ khám sức khỏe của nhân viên bức xạ theo quy định tại điểm d Điều 16 Thông tư này.
1. Tổ chức, cá nhân tiến hành công việc bức xạ phải lập, thường xuyên cập nhật, lưu giữ hồ sơ an toàn bức xạ, bao gồm các nội dung sau:
a) Hồ sơ về nguồn phóng xạ, vật liệu hạt nhân, thiết bị bức xạ, thiết bị hạt nhân; các thay đổi, sửa chữa, nâng cấp thiết bị bức xạ, thiết bị hạt nhân;
b) Hồ sơ kiểm xạ khu vực làm việc, đo đạc và hồ sơ bảo dưỡng, kiểm định, hiệu chuẩn;
c) Nhật ký và hồ sơ về sự cố bức xạ, hạt nhân trong quá trình tiến hành công việc bức xạ;
d) Hồ sơ đào tạo của nhân viên bức xạ;
đ) Hồ sơ khám sức khỏe của nhân viên bức xạ, trong đó ghi lại kết quả khám sức khỏe hàng năm và đột xuất của từng nhân viên;
e) Hồ sơ liều bức xạ của nhân viên bức xạ được lập theo mẫu quy định tại Phụ lục 1 ban hành kèm theo Thông tư này. Hồ sơ liều bức xạ của nhân viên bức xạ được cập nhật ít nhất một năm một lần và ngay sau khi xảy ra trường hợp liều bức xạ vượt quá mức điều tra, giới hạn liều và khi có yêu cầu;
g) Kết luận thanh tra, kiểm tra và tài liệu về việc thực hiện yêu cầu của cơ quan có thẩm quyền;
h) Hồ sơ kiểm xạ đối với công chúng gồm các nội dung: kết quả kiểm xạ, kết quả hiệu chuẩn thiết bị đo kiểm xạ.
2. Tổ chức, cá nhân tiến hành công việc bức xạ phải trình các hồ sơ theo quy định tại khoản 1 Điều này cho cơ quan quản lý nhà nước có thẩm quyền khi được yêu cầu.
3. Việc chuyển giao hồ sơ an toàn bức xạ được thực hiện theo quy định sau đây:
a) Khi chấm dứt hoạt động, tổ chức, cá nhân tiến hành công việc bức xạ phải chuyển giao toàn bộ hồ sơ cho Cục An toàn bức xạ và hạt nhân hoặc Sở Khoa học và Công nghệ địa phương theo thẩm quyền cấp phép;
b) Khi nguồn phóng xạ, vật liệu hạt nhân, thiết bị bức xạ, thiết bị hạt nhân được chuyển giao, tổ chức, cá nhân tiến hành công việc bức xạ phải chuyển giao hồ sơ theo quy định tại điểm a và điểm b khoản 1 Điều này cho tổ chức, cá nhân tiếp nhận; đồng thời chuyển giao hồ sơ theo quy định tại điểm c và điểm đ khoản 1 Điều này cho Cục An toàn bức xạ và hạt nhân;
c) Khi nhân viên bức xạ chuyển sang làm việc cho tổ chức khác, tổ chức, cá nhân tiến hành công việc bức xạ phải chuyển giao bản sao hồ sơ theo quy định tại điểm e khoản 1 Điều này cho tổ chức, cá nhân tiếp nhận nhân viên bức xạ.
4. Hồ sơ sức khỏe và hồ sơ liều bức xạ của nhân viên bức xạ phải được lưu giữ trong thời hạn 30 năm kể từ khi nhân viên đó không còn làm công việc bức xạ.
1. Tổ chức, cá nhân tiến hành công việc bức xạ có trách nhiệm xây dựng kế hoạch và tổ chức kiểm tra, giám sát nội bộ việc thực hiện các quy định, nội quy an toàn bức xạ và quy trình làm việc.
2. Tổ chức, cá nhân tiến hành công việc bức xạ phải xem xét, đánh giá và áp dụng biện pháp khắc phục đối với thiếu sót trong công tác quản lý an toàn bức xạ phát hiện được thông qua hoạt động kiểm tra, giám sát nội bộ.
3. Trong quá trình kiểm tra, giám sát nội bộ, tổ chức, cá nhân tiến hành công việc bức xạ phải định kỳ xem xét lại các nội dung sau:
a) Nội quy an toàn bức xạ, quy trình làm việc;
b) Việc kiểm xạ khu vực làm việc;
c) Việc theo dõi và đánh giá liều bức xạ cá nhân;
d) Việc lập, lưu giữ và quản lý hồ sơ an toàn bức xạ;
đ) Phạm vi khu vực kiểm soát và khu vực giám sát.
4. Kết quả kiểm tra, giám sát nội bộ phải được lập thành biên bản và lưu giữ trong hồ sơ an toàn bức xạ.
Điều 18. Kiểm soát chiếu xạ công chúng
1. Tổ chức, cá nhân tiến hành công việc bức xạ phải thực hiện kiểm xạ môi trường xung quanh khu vực làm việc để bảo đảm chiếu xạ công chúng do các nguồn bức xạ của tổ chức, cá nhân tiến hành công việc bức xạ được đánh giá một cách có hệ thống và định kỳ không ít hơn một lần trong một năm.
2. Tổ chức, cá nhân tiến hành công việc bức xạ trong y tế phải thực hiện các yêu cầu sau để bảo đảm an toàn cho công chúng:
a) Có biện pháp kiểm soát để chỉ cho phép nhân viên bức xạ trong y tế và người tình nguyện giúp đỡ và chăm sóc người bệnh ở lại trong phòng khi người bệnh được chẩn đoán hoặc điều trị bằng bức xạ ion hóa;
b) Có biện pháp ngăn chặn, không để người không có phận sự đi vào khu vực phòng điều khiển thiết bị bức xạ, khu vực có chất phóng xạ, phòng lưu người bệnh điều trị bằng thuốc phóng xạ hoặc cấy nguồn phóng xạ;
c) Chỉ cho phép người bệnh điều trị bằng thuốc phóng xạ I-131 được xuất viện khi mức hoạt độ phóng xạ còn lại trong cơ thể người bệnh không vượt quá 1100 MBq; khi cho người bệnh xuất viện, bác sỹ điều trị phải trực tiếp tư vấn và cung cấp văn bản hướng dẫn về biện pháp bảo đảm an toàn bức xạ cho người thân và cộng đồng;
d) Thực hiện kiểm soát mức bức xạ tại khu vực xung quanh khu vực kiểm soát bao gồm phòng làm việc, lối đi, hành lang, khu vệ sinh và các khu vực có người qua lại khác; sử dụng các dấu hiệu cảnh báo bức xạ (biển cảnh báo, đèn cảnh báo, tín hiệu cảnh báo) và áp dụng các biện pháp hạn chế người không có nhiệm vụ đi vào các khu vực này.
Điều 19. Kiểm soát phóng xạ đối với sắt, thép phế liệu làm nguyên liệu sản xuất
Cơ sở sử dụng sắt, thép phế liệu làm nguyên liệu sản xuất có trách nhiệm:
1. Trang bị thiết bị phát hiện phóng xạ phù hợp với quy mô, công suất và tính chất hoạt động của cơ sở; tổ chức đào tạo, hướng dẫn nhân viên có liên quan về nhận biết dấu hiệu bất thường và sử dụng thiết bị phát hiện phóng xạ;
2. Trường hợp phát hiện sắt, thép phế liệu có dấu hiệu nhiễm xạ hoặc chứa nguồn phóng xạ, vật liệu hạt nhân nằm ngoài kiểm soát, cơ sở phải:
a) Dừng ngay việc đưa lô sắt, thép phế liệu đó vào sản xuất;
b) Thông báo bằng văn bản cho Cục An toàn bức xạ và hạt nhân hoặc Sở Khoa học và Công nghệ tại địa phương trong vòng 48 giờ kể từ khi phát hiện sắt, thép phế liệu có dấu hiệu nhiễm xạ hoặc chứa nguồn phóng xạ, vật liệu hạt nhân nằm ngoài kiểm soát;
c) Thực hiện thu gom, cất giữ và bảo quản sắt, thép phế liệu làm nguyên liệu sản xuất bị nhiễm xạ hoặc chứa nguồn phóng xạ, vật liệu hạt nhân nằm ngoài kiểm soát theo quy định về quản lý chất thải phóng xạ;
d) Dùng các biện pháp kỹ thuật và hành chính khoanh vùng hạn chế người ra vào khu vực có sắt, thép phế liệu làm nguyên liệu sản xuất bị nhiễm phóng xạ hoặc chứa nguồn phóng xạ, vật liệu hạt nhân nằm ngoài kiểm soát.
1. Người sử dụng lao động phải áp dụng các biện pháp kiểm soát và bảo đảm an toàn bức xạ đối với nhân viên làm việc trong điều kiện môi trường mà nồng độ khí radon-222 tại nơi làm việc vượt quá mức 300 Bq/m3 (Becơren trong 1 mét khối) không khí.
2. Người sử dụng lao động tại nơi làm việc có nồng độ khí radon-222 vượt mức theo quy định tại khoản 1 Điều này, tùy theo điều kiện cụ thể, phải áp dụng các biện pháp nhằm giảm thiểu nồng độ khí radon-222 như tăng cường thông khí, pha loãng không khí trong khu vực làm việc với không khí ngoài trời, làm sạch không khí bằng cách sử dụng than hoạt tính hoặc các phương pháp thích hợp khác.
Điều 21. Thiết bị đo liều cá nhân sử dụng trong dịch vụ đo liều cá nhân
1. Liều kế cá nhân phải thích hợp với loại hình công việc bức xạ và bảo đảm không thể tự ý thay đổi chỉ số đo trên liều kế.
2. Việc đo và hiệu chuẩn các thiết bị đo liều cá nhân phải được thực hiện theo các đại lượng thực hành của tương đương liều cá nhân theo quy định tại Mục 1 Phụ lục 2 ban hành kèm theo Thông tư này, cụ thể:
a) Hp (10) cho liều hiệu dụng toàn thân;
b) Hp (3) cho liều tương đương đối với mắt;
c) Hp (0,07) cho liều tương đương đối với da.
Điều 22. Trách nhiệm của tổ chức, cá nhân làm dịch vụ đo liều cá nhân
Tổ chức, cá nhân làm dịch vụ đo liều cá nhân có trách nhiệm:
1. Có đủ trang thiết bị, nhân lực để thực hiện dịch vụ đo liều cá nhân theo quy định pháp luật;
2. Xây dựng và thực hiện chương trình bảo đảm chất lượng;
3. Hướng dẫn các tổ chức, cá nhân sử dụng liều kế cá nhân theo đúng quy trình;
4. Phiếu trả kết quả đo liều cá nhân phải có các thông tin chính sau: tên tổ chức, cá nhân tiến hành công việc bức xạ, địa chỉ của cơ quan, khoảng thời gian đo, danh sách nhân viên bức xạ cùng với giá trị liều, đại lượng đo và xác nhận của cơ quan làm dịch vụ;
5. Báo cáo ngay Cục An toàn bức xạ và hạt nhân, Sở Khoa học và Công nghệ địa phương những trường hợp nhân viên bức xạ bị chiếu quá liều;
6. Cập nhật số liệu liều bức xạ nghề nghiệp cá nhân vào cơ sở dữ liệu quốc gia về chiếu xạ nghề nghiệp theo hướng dẫn của Cục An toàn bức xạ và hạt nhân.
Mục 2. BẢO ĐẢM AN TOÀN BỨC XẠ TRONG Y TẾ
1. Thiết bị bức xạ sử dụng cho chẩn đoán, điều trị bệnh và thiết bị được sử dụng trong y học hạt nhân phải có chứng chỉ chất lượng thể hiện việc đáp ứng các yêu cầu về bảo đảm an toàn theo tiêu chuẩn quốc gia, quy chuẩn kỹ thuật quốc gia. Trường hợp không có tiêu chuẩn quốc gia, quy chuẩn kỹ thuật quốc gia thì áp dụng tiêu chuẩn quốc tế tương đương của Ủy ban Kỹ thuật điện quốc tế (IEC), Tổ chức Tiêu chuẩn hóa quốc tế (ISO).
2. Có tài liệu kèm theo thiết bị, bao gồm tài liệu về thông số kỹ thuật của thiết bị, hướng dẫn vận hành và bảo trì, hướng dẫn an toàn. Tài liệu hướng dẫn vận hành, hướng dẫn an toàn phải được dịch ra tiếng Việt.
3. Chỉ dẫn vận hành, ký hiệu viết tắt và giá trị vận hành trên bảng điều khiển của thiết bị bức xạ phải bằng tiếng Việt hoặc bằng ngôn ngữ phù hợp với ngôn ngữ mà người vận hành máy sử dụng.
4. Thiết bị bức xạ phải có cơ cấu kiểm soát chùm tia bức xạ, bảo đảm chỉ thị rõ ràng và tin cậy trạng thái chùm tia đang “ngắt” hay “mở”.
5. Thiết bị bức xạ phải có cơ cấu để khu trú chùm tia cho mục đích kiểm soát chùm tia chỉ vào vùng cơ thể người bệnh cần chẩn đoán hoặc điều trị.
6. Trường bức xạ phát ra trong vùng để chẩn đoán hay điều trị trên người bệnh phải đồng đều; mức độ không đồng đều của trường bức xạ phải được nhà cung cấp chỉ rõ trong tài liệu kỹ thuật của thiết bị.
Điều 24. Yêu cầu an toàn đối với thiết bị X-quang chẩn đoán dùng trong y tế
Thiết bị X-quang chẩn đoán dùng trong y tế ngoài việc thực hiện các yêu cầu theo quy định tại Điều 23 Thông tư này phải bảo đảm các yêu cầu sau:
1. Mức bức xạ rò của đầu bóng phát tia X không vượt quá 1 mGy/giờ tại khoảng cách 1 mét từ vỏ đầu bóng phát tia X lấy trung bình trên diện tích không vượt quá 100 cm2 cho mọi chế độ làm việc của thiết bị được nhà sản xuất khuyến cáo;
2. Giá trị lọc cố định của hệ đầu bóng phát X-quang trong đơn vị milimét nhôm tương đương (mm Al) phải ghi rõ trên vỏ hộp chứa bóng;
3. Có hệ kiểm tra kích thước chùm tia bằng nguồn sáng, trừ thiết bị X- quang chụp răng sử dụng phim đặt sau huyệt ổ răng và thiết bị X-quang chụp vú;
4. Các thông số điện áp phát (kV), dòng bóng phát (mA), thời gian phát tia (s) hoặc hàng số phát tia (mAs) phải được hiển thị trên tủ điều khiển khi đặt chế độ làm việc và khi chụp;
5. Đối với thiết bị X-quang có chế độ chụp, việc phát tia phải được chấm dứt sau khi đạt được giá trị đặt trước như: thời gian hoặc giá trị mAs hoặc giá trị liều chiếu xạ;
6. Đối với thiết bị X-quang có chế độ chiếu, chụp phải có bộ kiểm soát chế độ phát tia tự động (AEC) hoặc công tắc điều khiển phát tia dạng bấm và giữ, bảo đảm thiết bị chỉ phát tia nếu công tắc được bấm, giữ chặt và ngừng phát tia khi thả công tắc;
7. Thiết bị X-quang di động phải có cáp nối đủ dài để bảo đảm khoảng cách giữa người vận hành thiết bị và bóng phát tối thiểu 2 mét. Đối với thiết bị bức xạ khác, khoảng cách này tối thiểu là 3 mét;
8. Thiết bị X-quang tăng sáng truyền hình dùng trong can thiệp phải có các tấm che chắn cao su chì lắp tại bàn người bệnh để che chắn các tia bức xạ ảnh hưởng đến nhân viên và hệ che chắn treo trên trần để sử dụng cho mục đích bảo vệ mắt và tuyến giáp của nhân viên khi theo dõi người bệnh. Các tấm che chắn cao su chì phải bảo đảm có chiều dày che chắn không nhỏ hơn 0,5 milimét chì tương đương.
Điều 25. Yêu cầu an toàn đối với thiết bị xạ trị
Thiết bị xạ trị ngoài việc thực hiện các yêu cầu theo quy định tại Điều 23 Thông tư này phải bảo đảm các yêu cầu sau:
1. Cho phép dừng chiếu xạ từ bàn điều khiển; việc cho chiếu xạ lại sau khi dừng chỉ có thể được thực hiện từ bàn điều khiến;
2. Thiết bị xạ trị dùng nguồn phóng xạ phải có ít nhất 02 (hai) cơ cấu điều khiển cho phép tự trả nguồn về vị trí an toàn và chấm dứt chiếu xạ khi có sự cố; khi mất điện, thiết bị phải tự động trả nguồn về vị trí bảo vệ và giữ nguồn ở vị trí này cho đến khi thiết bị được khởi động lại từ bàn điều khiển;
3. Thiết bị xạ trị từ xa dùng nguồn phóng xạ và thiết bị xạ trị áp sát suất liều cao (HDR) phải được thiết kế để có thể thao tác bằng tay đưa nguồn về vị trí bảo vệ trong trường hợp khẩn cấp. Thiết bị dao gamma phải có cơ cấu để thao tác bằng tay đóng cửa sổ che chắn nguồn trong trường hợp khẩn cấp;
4. Hộp chứa nguồn của thiết bị xạ trị từ xa dùng nguồn phóng xạ và công- ten-nơ chứa nguồn phóng xạ của thiết bị xạ trị áp sát suất liều cao (HDR) có dấu hiệu cảnh báo bức xạ theo quy chuẩn kỹ thuật quốc gia về dấu hiệu cảnh báo phóng xạ.
Điều 26. Yêu cầu an toàn đối với nguồn phóng xạ kín và thuốc phóng xạ
1. Nguồn phóng xạ kín được sử dụng cho thiết bị xạ trị từ xa hoặc xạ trị áp sát suất liều cao phải tuân thủ tiêu chuẩn quốc tế ISO 2919:2012 hoặc tiêu chuẩn quốc gia TCVN 6853:2001 về an toàn bức xạ, nguồn phóng xạ kín, yêu cầu chung và phân loại. Trường hợp tiếp tục sử dụng nguồn phóng xạ kín sau thời gian sử dụng được nhà sản xuất khuyến cáo, tổ chức, cá nhân sử dụng nguồn phải kiểm tra rò rỉ phóng xạ để khẳng định nguồn vẫn còn nguyên vẹn như thiết kế.
2. Thuốc phóng xạ dùng trong y học hạt nhân phải được phép lưu hành hợp pháp tại Việt Nam theo quy định của pháp luật về dược, chỉ được sử dụng cho mục đích phòng bệnh, chữa bệnh và điều chỉnh chức năng cơ thể, phải tuân thủ các tiêu chuẩn quốc tế đã được thừa nhận đối với các thông số sau:
a) Độ tinh khiết hạt nhân phóng xạ (là phần trăm hoạt độ phóng xạ của nhân phóng xạ đánh dấu trong thuốc phóng xạ so với tổng hoạt độ của các nhân phóng xạ có trong thuốc phóng xạ);
b) Độ tinh khiết hóa phóng xạ (là phần trăm của nhân phóng xạ ở dạng liên kết hóa học mong muốn của hợp chất đánh dấu so với tổng nhân phóng xạ có trong thuốc phóng xạ, nghĩa là quan tâm đến nhân phóng xạ đã tách ra khỏi hợp chất đánh dấu);
c) Độ tinh khiết hóa học (là tỷ lệ của dạng hợp chất đánh dấu chính không quan tâm đến hoạt độ phóng xạ có trong đó so với toàn bộ chế phẩm thuốc phóng xạ. Chế phẩm thuốc phóng xạ là lượng chuẩn bị của thuốc phóng xạ sẵn sàng để dung cho người bệnh);
d) Độ pH;
đ) Các thông số yêu cầu đối với thuốc theo quy định pháp luật về dược.
3. Tất cả các chế phẩm thuốc phóng xạ phải có dán nhãn ghi rõ các thông tin sau:
a) Đồng vị phóng xạ; dạng hóa học (tên thuốc và công thức hóa học);
b) Tổng hoạt độ phóng xạ của chế phẩm;
c) Ngày đo hoạt độ phóng xạ;
d) Kết quả đo độ tạp chất hóa phóng xạ;
đ) Tên, địa chỉ của nhà sản xuất và ngày sản xuất;
e) Ngày hết hạn sử dụng;
g) Số của lô hoặc mẻ sản xuất;
h) Thể tích của chế phẩm thuốc phóng xạ (trường hợp ở dạng dung dịch);
i) Các thông tin khác đối với nhãn thuốc theo quy định của pháp luật về dược.
Điều 27. Yêu cầu an toàn đối với thiết bị đo bức xạ, thiết bị và dụng cụ bảo vệ an toàn bức xạ
1. Tổ chức, cá nhân tiến hành công việc bức xạ trong y tế sử dụng thiết bị xạ trị từ xa, xạ trị áp sát phải trang bị thiết bị đo suất liều bức xạ. Tổ chức, cá nhân tiến hành công việc bức xạ trong y tế sử dụng thuốc phóng xạ (cơ sở y học hạt nhân) phải trang bị thiết bị đo suất liều bức xạ và thiết bị đo nhiễm bẩn bề mặt có dải năng lượng đo phù hợp với loại bức xạ phát ra từ thiết bị bức xạ và nguồn phóng xạ sử dụng tại cơ sở để thường xuyên đo kiểm tra phông bức xạ môi trường, nhiễm bẩn phóng xạ và kiểm soát mức bức xạ khi đi vào khu vực có nguồn phóng xạ.
2. Cơ sở y học hạt nhân phải trang bị thiết bị và dụng cụ bảo vệ an toàn bức xạ sau:
a) Tủ hút có thể tích và lưu lượng hút phù hợp để pha chế, phân liều thuốc phóng xạ;
b) Bàn để pha chế, phân liều thuốc phóng xạ có màn che chắn chì kết hợp với vật liệu che chắn bức xạ beta hình L và màn quan sát bằng kính chì;
c) Tay gắp, kẹp nguồn để thao tác với nguồn phóng xạ từ xa;
d) Bình đựng thuốc phóng xạ có che chắn chì và lớp vỏ bên ngoài chống vỡ;
đ) Khay được thiết kế đặc biệt để pha chế, phân liều thuốc phóng xạ dạng lỏng;
e) Xilanh có che chắn chì được thiết kế đặc biệt để sử dụng trong y học hạt nhân;
g) Ống hút (pipet) tự động dùng một lần;
h) Dụng cụ để xử lý chất phóng xạ bị đổ.
3. Tổ chức, cá nhân tiến hành công việc bức xạ trong y tế sử dụng nguồn phóng xạ trong xạ trị áp sát phải trang bị các thiết bị và dụng cụ bảo vệ an toàn bức xạ sau:
a) Bàn để thao tác với nguồn phóng xạ có màn che chắn chì hình L và màn quan sát bằng kính chì;
b) Dụng cụ gắp nguồn, kẹp nguồn có tay cầm dài;
c) Tủ đựng nguồn có các ngăn khác nhau để đựng nguồn có hoạt độ khác nhau;
d) Bình đựng nguồn để vận chuyển.
Điều 28. Kiểm định thiết bị bức xa và hiệu chuẩn thiết bị đo bức xạ
1. Tổ chức, cá nhân tiến hành công việc bức xạ trong y tế phải thực hiện việc kiểm định thiết bị bức xạ, hiệu chuẩn thiết bị đo bức xạ được sử dụng tại cơ sở mình theo quy định tại Điều 8 Nghị định số 332/2025/NĐ-CP.
2. Việc kiểm định thiết bị bức xạ, hiệu chuẩn thiết bị đo bức xạ phải được thực hiện bởi tổ chức, cá nhân được cấp đăng ký hoạt động dịch vụ kiểm định, hiệu chuẩn.
Điều 29. Phòng đặt thiết bị bức xạ, phòng làm việc với nguồn phóng xạ và thuốc phóng xạ, kho lưu giữ nguồn phóng xạ hoặc chất thải phóng xạ, phòng lưu người bệnh điều trị bằng phóng xạ
1. Phòng đặt thiết bị bức xạ, phòng làm việc với nguồn phóng xạ và thuốc phóng xạ, kho lưu giữ nguồn phóng xạ hoặc chất thải phóng xạ và phòng lưu người bệnh điều trị bằng phóng xạ không được đặt liền kề khoa sản, khoa nhi.
2. Chiều dày bảo vệ của tường, sàn, trần, cửa ra vào phòng đặt thiết bị bức xạ, cửa quan sát của phòng điều khiển phải được tính toán thiết kế theo quy định, bảo đảm mức liều bức xạ tiềm năng của môi trường làm việc trong thực tế (không tính phông bức xạ tự nhiên), cụ thể như sau:
a) Trong phòng điều khiển hoặc nơi đặt tủ điều khiển của thiết bị xạ trị không vượt quá 20 mSv/năm;
b) Tại mọi vị trí bên ngoài phòng đặt thiết bị xạ trị nơi công chúng đi lại, nơi người bệnh ngồi chờ không vượt quá 1 mSv/năm;
c) Trong phòng điều khiển hoặc nơi đặt tủ điều khiển của thiết bị X- quang chẩn đoán trong y tế (trừ đối với thiết bị X-quang di động, thiết bị X- quang tăng sáng truyền hình sử dụng chụp can thiệp và chụp mạch) không vượt quá 10 μSv/giờ;
d) Tại mọi vị trí bên ngoài phòng đặt thiết bị X-quang chẩn đoán trong y tế nơi công chúng đi lại, người bệnh ngồi chờ và các phòng làm việc lân cận không vượt quá 0,5 μSv/giờ.
Trường hợp phòng đặt thiết bị X-quang chẩn đoán trong y tế nằm trong khu dân cư, liền kề nhà ở hoặc nơi làm việc, suất liều bức xạ ở tất cả các điểm đo bên ngoài phòng đặt thiết bị phải không vượt quá phông nền phóng xạ tự nhiên của khu dân cư xung quanh.
3. Thiết kế phòng xạ trị từ xa, xạ trị áp sát suất liều cao ngoài các yêu cầu về che chắn bức xạ phải có hệ thống khóa liên động cho cửa ra vào phòng để bảo đảm chỉ khởi động được thiết bị xạ trị khi cửa ra vào đã đóng hoàn toàn và tự động chấm dứt chiếu xạ khi cửa bị mở bất ngờ; có hệ thống đo cảnh báo mức bức xạ và ít nhất một hệ thống dừng chiếu xạ khẩn cấp được lắp đặt trong phòng.
4. Cơ sở y học hạt nhân phải có phòng bảo quản và làm việc với thuốc phóng xạ (phân liều), phòng cho người bệnh uống hoặc tiêm thuốc phóng xạ, phòng lưu giữ chất thải phóng xạ, phòng vệ sinh riêng cho người bệnh đã dùng thuốc phóng xạ, phòng đặt thiết bị gamma camera, phòng lưu người bệnh nếu có điều trị người bệnh cường giáp hoặc ung thư tuyến giáp, khu vực tắm, rửa của nhân viên sau khi làm việc tiếp xúc với thuốc phóng xạ. Các phòng và khu vực này phải được thiết kế bảo vệ chống chiếu ngoài và chống nhiễm bẩn phóng xạ, cụ thể như sau:
a) Phải được tính toán thiết kế che chắn bức xạ sao cho suất liều bức xạ nơi công chúng đi lại, người bệnh ngồi chờ và các phòng làm việc lân cận không vượt quá 0,5 μSv/giờ;
b) Sàn và tường các phòng có nguy cơ bị nhiễm bẩn phóng xạ phải được phủ bằng vật liệu nhẵn, không thấm nước, dễ tẩy rửa;
c) Chậu rửa cho nhân viên sau khi thao tác với thuốc phóng xạ phải được lắp hệ thống vòi rửa tự động hoặc vòi rửa có cần gạt để mở nước bằng chân hoặc bằng khủyu tay;
d) Toàn bộ nước nhiễm bẩn chất phóng xạ phải được thu gom bằng đường thoát nước riêng đưa vào bể xử lý chất thải phóng xạ lỏng.
5. Phòng đặt thiết bị bức xạ, phòng làm việc với nguồn phóng xạ và thuốc phóng xạ, phòng lưu người bệnh uống thuốc phóng xạ trong y học hạt nhân hoặc cấy nguồn phóng xạ trong xạ trị áp sát, phòng điều khiển thiết bị xạ trị phải được phân loại là khu vực kiểm soát và phải áp dụng các biện pháp sau:
a) Đặt ở phía trên cửa ra vào khu vực kiểm soát một biển cảnh báo bức xạ theo mẫu quy định tại Phụ lục 2 ban hành kèm theo Thông tư này;
b) Lắp đèn báo hiệu tại các cửa ra vào phòng đặt thiết bị bức xạ, phòng cấy nguồn xạ trị áp sát, phòng pha chế thuốc phóng xạ và phải bảo đảm đèn báo hiệu phát sáng trong suốt thời gian đang tiến hành công việc bức xạ;
c) Niêm yết nội quy an toàn tại cửa ra vào khu vực kiểm soát; quy trình ứng phó sự cố rút gọn, quy trình vận hành thiết bị trong phòng điều khiển;
d) Đối với phòng xạ trị từ xa, xạ trị áp sát suất liều cao, phòng lưu người bệnh uống thuốc phóng xạ hoặc cấy nguồn phóng xạ phải sử dụng các biện pháp ngăn chặn tiếp cận bổ sung gồm rào chắn, khóa cửa hoặc cử nhân viên giám sát trực tiếp.
6. Kho lưu giữ nguồn phóng xạ hoặc lưu giữ chất thải phóng xạ phải được bố trí và thiết kế bảo đảm các yêu cầu theo quy định tại Điều 78 Thông tư này.
Điều 30. Lắp đặt thiết bị bức xạ
Việc lắp đặt thiết bị bức xạ phải bảo đảm các yêu cầu sau:
1. Mỗi phòng chỉ được lắp đặt một thiết bị bức xạ. Đối với thiết bị X- quang chẩn đoán trong y tế được phép lắp đặt 02 thiết bị trong một phòng nhưng phải bảo đảm chỉ một thiết bị được vận hành tại một thời điểm.
2. Thiết bị bức xạ phải được lắp đặt, bố trí sao cho trong điều kiện vận hành bình thường, chùm tia bức xạ không được hướng trực tiếp vào tủ điều khiển, cửa ra vào, cửa sổ hoặc khu vực công chúng qua lại.
3. Tủ điều khiển thiết bị bức xạ phải được đặt bên ngoài và liền kề phòng đặt thiết bị, bảo đảm có phương tiện quan sát người bệnh và phương tiện liên lạc giữa người vận hành và người bệnh.
Trường hợp thiết bị X-quang chẩn đoán trong y tế làm việc ở điện áp nhỏ hơn 150 kV, tủ điều khiển được phép đặt trong phòng đặt thiết bị, nhưng phải được che chắn bằng bình phong chì, bảo đảm suất liều bức xạ tại vị trí nhân viên vận hành không vượt quá 10 μSv/giờ.
Điều 31. Nội quy an toàn bức xạ và vận hành an toàn thiết bị bức xạ
1. Tổ chức, cá nhân tiến hành công việc bức xạ trong y tế phải xây dựng quy trình làm việc với thiết bị bức xạ, nguồn phóng xạ, nội quy an toàn bức xạ bảo đảm các yêu cầu sau:
a) Quy trình làm việc cần chỉ rõ các bước tiến hành công việc trong vận hành thiết bị bức xạ, làm việc với nguồn phóng xạ, làm việc trong khu vực có nguy cơ bị chiếu xạ hoặc nhiễm bẩn phóng xạ, chăm sóc người bệnh uống thuốc phóng xạ hoặc cấy nguồn phóng xạ; quy trình thao tác đối với từng thiết bị, phác đồ điều trị đối với từng loại bệnh;
b) Nội quy an toàn bức xạ phải chỉ rõ các yêu cầu bảo vệ an toàn bức xạ cho nhân viên bức xạ trong y tế, các nhân viên khác làm việc tại tổ chức, cá nhân tiến hành công việc bức xạ trong y tế, người bệnh, người chăm sóc hoặc hỗ trợ người bệnh và công chúng.
2. Nhân viên vận hành thiết bị bức xạ phải thực hiện nghiêm các bước tiến hành công việc:
a) Kiểm tra an toàn thiết bị trước khi bắt đầu và sau khi kết thúc công việc;
b) Đóng cửa ra vào trong suốt quá trình vận hành thiết bị;
c) Tuân thủ quy trình vận hành thiết bị;
d) Chú ý những tín hiệu bất thường của thiết bị bức xạ và thiết bị kiểm tra để kịp thời phát hiện sự cố, ngăn ngừa tai nạn;
đ) Không được tháo bỏ các bộ phận hư hỏng trong hệ thống bảo vệ của thiết bị và nối tắt để vận hành thiết bị, bao gồm việc nối tắt hệ thống khóa liên động cửa ra vào phòng xạ trị.
Điều 32. Kiểm soát chiếu xạ y tế
1. Bác sỹ điều trị là người chịu trách nhiệm bảo đảm an toàn bức xạ cho người bệnh, có trách nhiệm:
a) Chỉ định chẩn đoán, điều trị cho người bệnh bằng bức xạ ion hóa chỉ khi chắc chắn lợi ích đem lại cho người bệnh là đáng kể so với tác hại mà họ phải chịu;
b) Khi có hai phương pháp chẩn đoán hoặc điều trị cùng đem lại kết quả như nhau thì không chỉ định phương pháp dùng bức xạ ion hóa;
c) Tránh chỉ định dùng bức xạ ion hóa để khám, chữa bệnh cho phụ nữ có thai hoặc nghi có thai hoặc đang cho con bú trừ khi có chỉ định lâm sàng bắt buộc. Trường hợp chỉ định lâm sàng là bắt buộc phải thông báo cho nhân viên y tế, nhân viên vận hành thiết bị biết để có biện pháp bảo vệ thích hợp cho người bệnh;
d) Chỉ sử dụng thuốc phóng xạ để khám, chữa bệnh cho trẻ em khi có chỉ định lâm sàng bắt buộc và phải giảm hoạt độ phóng xạ được chỉ định;
đ) Tham khảo thông tin các lần khám trước để tránh việc kiểm tra bổ sung nếu không cần thiết;
e) Chỉ định mức chiếu xạ, liều lượng thuốc phóng xạ sử dụng ở mức tối thiểu nhưng đủ để đạt được mục đích khám chữa bệnh trên cơ sở các mức liều tham chiếu chẩn đoán theo quy định tại Mục 2 Phụ lục 2 ban hành kèm theo Thông tư này.
2. Các nhân viên y tế, nhân viên vận hành thiết bị bức xạ có trách nhiệm bảo đảm an toàn bức xạ cho người bệnh khi thực hiện công việc của mình như sau:
a) Bảo đảm mọi sự chiếu xạ y tế chỉ được thực hiện khi có chỉ định của bác sỹ điều trị và được thực hiện theo đúng chỉ định của bác sỹ điều trị;
b) Bảo đảm thiết bị bức xạ được dùng là thích hợp.
3. Nhân viên vận hành thiết bị X-quang chẩn đoán y tế ngoài các yêu cầu trách nhiệm chung về bảo vệ người bệnh theo quy định tại khoản 2 Điều này phải thực hiện các biện pháp để bảo vệ người bệnh như sau:
a) Phải bảo đảm việc chiếu chụp theo đúng quy trình vận hành thiết bị đã được thiết lập;
b) Sử dụng cơ cấu khu trú chùm tia một cách phù hợp để chỉ tạo ra liều chiếu tối thiểu trên người bệnh nhưng vẫn có chất lượng ảnh phù hợp với yêu cầu cho chẩn đoán trong chiếu, chụp X-quang;
c) Không chiếu xạ vào các bộ phận cơ thể nhạy cảm phóng xạ của người bệnh như tuyến sinh dục, thủy tinh thể mắt, vú, tuyến giáp trạng và phải sử dụng các biện pháp che chắn thích hợp cho người bệnh khi không thể tránh được;
d) Tránh chiếu, chụp vùng bụng và vùng hố chậu của phụ nữ có thai hoặc nghi có thai trừ khi có lý do lâm sàng bắt buộc và cần áp dụng các biện pháp để hạn chế đến mức nhỏ nhất liều gây ra cho thai nhi khi phải làm như vậy;
đ) Không được cho người bệnh và người không có phận sự đứng chờ trong phòng chiếu, chụp X-quang khi đang thực hiện chiếu, chụp cho người bệnh khác.
4. Nhân viên y tế, nhân viên vận hành thiết bị xạ trị ngoài yêu cầu trách nhiệm chung cho bảo vệ người bệnh nêu tại khoản 2 Điều này phải áp dụng biện pháp để liều chiếu xạ lên các mô lành ở mức thấp nhất có thể, phù hợp với mức liều cần thiết để đạt mục đích trong xạ trị.
5. Nhân viên y tế, kỹ thuật viên phân liều thuốc phóng xạ trong y học hạt nhân phải bảo đảm định liều thuốc phóng xạ chính xác theo chỉ định của bác sỹ.
6. Tổ chức, cá nhân tiến hành công việc bức xạ trong y tế sử dụng thuốc phóng xạ để điều trị nếu có lưu người bệnh đã sử dụng thuốc phóng xạ phải bảo đảm mỗi phòng chỉ lưu một người bệnh. Trường hợp buộc phải bố trí nhiều người bệnh nằm chung phòng, phải sử dụng các bình phong chì di động để che chắn sao cho người bệnh này không bị ảnh hưởng chiếu xạ từ người bệnh kia.
Điều 33. Kiểm soát chiếu xạ đối với người nhà chăm sóc, hỗ trợ và thăm người bệnh
Tổ chức, cá nhân tiến hành công việc bức xạ trong y tế có trách nhiệm:
1. Bố trí người có hiểu biết về các biện pháp an toàn và bảo vệ chống bức xạ đi kèm hướng dẫn người nhà chăm sóc, hỗ trợ và thăm người bệnh đi vào khu vực kiểm soát;
2. Cung cấp đầy đủ thông tin và các chỉ dẫn về an toàn bức xạ cho người nhà chăm sóc, hỗ trợ và thăm người bệnh đi trước khi họ đi vào khu vực kiểm soát;
3. Cung cấp trang thiết bị bảo hộ thích hợp để giảm liều chiếu xạ;
4. Bảo đảm liều bức xạ đối với người nhà chăm sóc, hỗ trợ người bệnh trong toàn bộ thời kỳ người bệnh được chẩn đoán, xét nghiệm hoặc điều trị bằng bức xạ ion hóa, thuốc phóng xạ không vượt quá mức liều kiềm chế sau đây:
a) Đối với người từ đủ 18 tuổi trở lên: 5 mSv;
b) Đối với người dưới 18 tuổi và phụ nữ mang thai: 1 mSv.
Chương III
VẬN CHUYỂN AN TOÀN VẬT LIỆU PHÓNG XẠ
Mục 1. QUY ĐỊNH CHUNG VỀ VẬN CHUYỂN VẬT LIỆU PHÓNG XẠ
Điều 34. Kế hoạch bảo đảm an toàn
Tổ chức, cá nhân tham gia vào quá trình vận chuyển vật liệu phóng xạ phải lập và thực hiện kế hoạch bảo đảm an toàn. Kế hoạch này gồm các yêu cầu sau:
1. Tối ưu hóa các biện pháp bảo đảm an toàn bức xạ trong quá trình vận chuyển sao cho liều chiếu xạ một cá nhân phải nhận thấp hơn giới hạn liều theo quy định tại Phụ lục I ban hành kèm theo Nghị định 332/2025/NĐ-CP và có các biện pháp để giảm thấp liều, số người bị chiếu xạ.
2. Có phương án bảo vệ bức xạ cho cá nhân, kiểm tra nhiễm bẩn phóng xạ của kiện, khu vực chuẩn bị kiện hàng phóng xạ, khu vực kho và phương tiện vận chuyển; lập và lưu giữ hồ sơ kiểm tra.
3. Nhân viên tham gia vào quá trình vận chuyển phải được đào tạo về an toàn bức xạ tại Tổ chức có Giấy đăng ký hoạt động dịch vụ hỗ trợ ứng dụng năng lượng nguyên tử về đào tạo an toàn bức xạ; am hiểu quy tắc phòng cháy, chữa cháy và quy định vận chuyển an toàn vật liệu phóng xạ.
4. Kiện hàng phóng xạ phải được cách ly với nhân viên vận chuyển và công chúng. Khoảng cách cách ly được tính toán dựa trên tiêu chí về liều như sau:
a) Đối với nhân viên vận chuyển, bốc xếp, đóng kiện: 5 mSv/năm;
b) Đối với công chúng qua lại khu vực có vật liệu phóng xạ: 1 mSv/năm.
5. Kiện hàng phóng xạ phải được cách ly khỏi phim chưa rửa, khoảng cách cách ly được tính toán dựa trên tiêu chí về liều như sau: 0,1 mSv/lô hàng phim.
Điều 35. Kế hoạch bảo đảm an ninh
Tổ chức, cá nhân tham gia vào hoạt động vận chuyển vật liệu phóng xạ phải lập và thực hiện kế hoạch bảo đảm an ninh theo hướng dẫn tại Phụ lục III, Phụ lục IV và Phụ lục V ban hành kèm theo Nghị định số 332/2025/NĐ-CP.
Điều 36. Kế hoạch ứng phó sự cố khi vận chuyển
Tổ chức, cá nhân tham gia vào hoạt động vận chuyển vật liệu phóng xạ phải lập và thực hiện kế hoạch ứng phó sự cố cấp cơ sở theo hướng dẫn tại Phụ lục VI ban hành kèm theo Nghị định số 332/2025/NĐ-CP.
Tổ chức, cá nhân tham gia vào hoạt động vận chuyển phải lập và thực hiện chương trình bảo đảm chất lượng theo hướng dẫn của Cục An toàn bức xạ và hạt nhân.
Mục 2. PHÂN LOẠI VẬT LIỆU PHÓNG XẠ
Điều 38. Vật liệu phóng xạ hoạt độ riêng thấp
Vật liệu phóng xạ hoạt độ riêng thấp gồm: LSA-I, LSA-II và LSA-III.
1. LSA-I gồm:
a) Quặng urani, quặng thori hoặc tinh quặng của chúng và các quặng khác chứa nhân phóng xạ tự nhiên được sử dụng để sản xuất các nhân phóng xạ này;
b) Urani tự nhiên, urani nghèo, thori tự nhiên, hợp chất hoặc hỗn hợp của chúng với điều kiện chưa được chiếu xạ và ở dạng rắn hoặc dạng lỏng;
c) Vật liệu phóng xạ mà giá trị A2 không bị giới hạn trừ vật liệu phân hạch không được miễn trừ theo quy định tại khoản 1 Điều 42 Thông tư này;
d) Vật liệu phóng xạ khác mà hoạt độ được phân bố đều và hoạt độ riêng trung bình không vượt quá 30 lần giá trị nồng độ hoạt độ theo quy định tại cột 4 Bảng 1 Phụ lục 5 ban hành kèm theo Thông tư này trừ vật liệu phân hạch không được miễn trừ theo quy định tại khoản 1 Điều 42 Thông tư này.
2. LSA-II gồm:
a) Nước với nồng độ triti đến 0,8 TBq/L;
b) Vật liệu phóng xạ khác mà hoạt độ được phân bố đều và hoạt độ riêng trung bình không vượt 10-4 A2 TBq/g đối với chất rắn, chất khí và 10-5 A2 TBq/g đối với chất lỏng.
3. LSA-III gồm:
a) Vật liệu phóng xạ được phân bổ trong chất rắn hoặc vật liệu phóng xạ được phân bố trong tác nhân đóng rắn (như bêtông, nhựa đường, sứ v.v..);
b) Vật liệu phóng xạ ở dạng rắn có hoạt độ riêng trung bình (không kể vật liệu che chắn) không vượt 2 x 10-3 A2 TBq/g.
4. Kiện đơn lẻ chứa vật liệu LSA-II hoặc LSA-III dạng rắn không cháy, khi vận chuyển bằng đường hàng không phải bảo đảm hoạt độ của nguồn phóng xạ được vận chuyển không vượt 3000 A2.
5. Hoạt độ phóng xạ chứa trong một kiện đơn lẻ thuộc loại vật liệu LSA phải bảo đảm không vượt quá suất liều theo quy định tại khoản 4 Điều 52 và hoạt độ trong một kiện đơn lẻ cũng không vượt quá các giới hạn hoạt độ đối với một phương tiện vận chuyển theo quy định tại Bảng 4 Phụ lục 6 ban hành kèm theo Thông tư này.
Vật nhiễm bẩn bề mặt gồm: SCO-I, SCO-II và SCO-III.
1. SCO-I là vật rắn có đặc trưng sau:
a) Bẩn phóng xạ không bám chắc trên bề mặt có thể tiếp cận được, lấy trung bình trên diện tích 300 cm2 (hoặc toàn bộ diện tích bề mặt nếu nhỏ hơn 300 cm2 không lớn hơn 4 Bq/cm2 đối với chất phát beta, chất phát gamma và chất phát anpha độc tính thấp hoặc không lớn hơn 0,4 Bq/cm2 đối với các chất phát anpha khác;
b) Bẩn phóng xạ bám chắc trên bề mặt có thể tiếp cận được, lấy trung bình trên diện tích 300 cm2 (hoặc toàn bộ diện tích bề mặt nếu nhỏ hơn 300 cm2 không lớn hơn 4 x 104 Bq/cm2 đối với chất phát beta, chất phát gamma và chất phát anpha độc tính thấp hoặc không lớn hơn 4 x 103 Bq/cm2 đối với các chất phát anpha khác;
c) Bẩn phóng xạ không bám chắc cộng thêm bẩn phóng xạ bám chắc trên bề mặt không tiếp cận được, lấy trung bình trên diện tích 300 cm2 (hoặc toàn bộ diện tích bề mặt nếu nhỏ hơn 300 cm2 không lớn hơn 4 x 104 Bq/cm2 đối với chất phát beta, chất phát gamma và chất phát anpha độc tính thấp, hoặc 4 x 103 Bq/cm2 đối với các chất phát anpha khác.
2. SCO-II là vật rắn có thể là bẩn phóng xạ bám chắc hoặc không bám chắc trên bề mặt lớn hơn các giới hạn quy định cho SCO-I và có thêm đặc trưng sau:
a) Bẩn phóng xạ không bám chắc trên bề mặt tiếp cận được, lấy trung bình trên diện tích 300 cm2 (hoặc toàn bộ diện tích bề mặt nếu nhỏ hơn 300 cm2 không lớn hơn 400 Bq/cm2 đối với chất phát beta, chất phát gamma và chất phát anpha độc tính thấp hoặc 40 Bq/cm2 đối với các chất phát anpha khác;
b) Bẩn phóng xạ bám chắc trên bề mặt tiếp cận được, lấy trung bình trên diện tích 300 cm2 (hoặc toàn bộ diện tích bề mặt nếu nhỏ hơn 300 cm2 không lớn hơn 8 x 105 Bq/cm2 đối với các chất phát beta, chất phát gamma và chất phát anpha độc tính thấp hoặc không lớn hơn 8 x 104 Bq/cm2 đối với các chất phát anpha khác;
c) Bẩn phóng xạ không bám chắc cộng với bẩn phóng xạ bám chắc trên bề mặt không tiếp cận được, lấy trung bình trên diện tích 300 cm2 (hoặc toàn bộ diện tích bề mặt nếu nhỏ hơn 300 cm2 không lớn hơn 8 x 1 o5 Bq/cm2 đối với chất phát beta, chất phát gamma và chất phát anpha độc tính thấp hoặc không lớn hơn 8 x 104 Bq/cm2 đối với chất phát anpha khác.
3. SCO-III là vật thể rắn có kích thước lớn, không thể được vận chuyển trong bất kỳ loại kiện nào được quy định trong Thông tư này và có đặc trưng sau:
a) Tất cả các khe, lỗ mở đều được bịt kín để ngăn ngừa việc phát tán vật liệu phóng xạ, tuân thủ điều kiện vận chuyển theo quy định tại Điều 52 Thông tư này;
b) Vật thể được vận chuyển phải khô thoáng;
c) Bẩn phóng xạ không bám chắc trên mặt ngoài không vượt quá các giới hạn theo quy định tại khoản 1 Điều 51 Thông tư này;
d) Bẩn phóng xạ không bám chắc cộng với bẩn phóng xạ bám chắc trên bề mặt không tiếp cận được, lấy trung bình trên diện tích 300 cm2 không lớn hơn 8 x 105 Bq/cm2 đối với chất phát beta, chất phát gamma và chất phát anpha độc tính thấp hoặc không lớn hơn 8 x 104 Bq/cm2 đối với chất phát anpha khác.
Điều 40. Vật liệu phóng xạ dạng đặc biệt
1. Vật liệu phóng xạ dạng đặc biệt là vật liệu phóng xạ dạng rắn hoặc được chứa trong vỏ kín không phát tán phóng xạ ra môi trường xung quanh. Vỏ kín cấu thành vật liệu phóng xạ dạng đặc biệt được chế tạo chỉ có thể mở bằng cách phá hủy nó. Vật liệu phóng xạ dạng đặc biệt có ít nhất một kích thước không nhỏ hơn 5 milimét.
2. Thiết kế (nếu có) của vật liệu phóng xạ dạng đặc biệt phải được cơ quan có thẩm quyền quốc gia có thiết kế đó phê duyệt.
Điều 41. Vật liệu phóng xạ phát tán thấp
1. Vật liệu phóng xạ phát tán thấp nếu tổng lượng vật liệu phóng xạ này trong kiện có suất liều bức xạ tại khoảng cách 3 mét từ vật liệu phóng xạ không che chắn không vượt quá 10 mSv/h;
2. Thiết kế (nếu có) của vật liệu phóng xạ phát tán thấp phải được cơ quan thẩm quyền quốc gia có thiết kế đó và quốc gia vật liệu vận chuyển đến, đi qua phê duyệt.
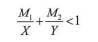
1. Kiện chứa vật liệu phân hạch được phân loại theo quy định tại Bảng 7 Phụ lục 6 ban hành kèm theo Thông tư này trừ trường hợp thỏa mãn một trong các điều kiện sau:
a) Giới hạn về khối lượng vật liệu phân hạch trong một lô hàng có kích thước bên ngoài nhỏ nhất của mỗi kiện không nhỏ hơn 10 centimét:
![]()
M1 là khối lượng urani-235 (g);
M2 là khối lượng vật liệu phân hạch khác (g);
X và Y là giá trị được xác định trong Bảng 2 Phụ lục 6 ban hành kèm theo Thông tư này;
và đáp ứng một trong các điều kiện sau: mỗi kiện chứa không quá 15 g vật liệu phân hạch; vật liệu phân hạch là dung dịch chứa hydro đồng nhất hoặc hỗn hợp có tỷ lệ về khối lượng nhân phân hạch và hydro nhỏ hơn 5%; có không quá 5 g vật liệu phân hạch trong bất kỳ 10 lít thể tích;
b) Urani-235 được làm giàu tối đa 1% về khối lượng và với tổng khối lượng plutoni và urani-233 không vượt quá 1% khối lượng của urani-235 với quy định rằng nhân phân hạch được phân bố hầu như đồng nhất. Yêu cầu không được xếp chồng lên nhau nếu urani-235 ở dạng tấm, dạng oxit hoặc dạng cacbua;
c) Dung dịch uranyl nitrat mà trong đó urani-235 được làm giàu tối đa 2% về khối lượng với tổng khối lượng plutoni và urani-233 không vượt quá 0,002% khối lượng urani và tỷ lệ nguyên tử nitơ trên urani nhỏ nhất là 2;
d) Trong một chuyến hàng, khối lượng plutoni không lớn hơn 20% khối lượng các nhân phân hạch và khối lượng plutoni tối đa là 1 kg. Trường hợp khác với điểm này, vận chuyển phải sử dụng độc quyền.
2. Kiện chứa vật liệu phân hạch không được phép chứa:
a) Khối lượng vật liệu phân hạch khác với giá trị được phê duyệt cho thiết kế kiện;
b) Nhân phóng xạ hoặc vật liệu phân hạch khác với phê duyệt cho thiết kế kiện;
c) Vật liệu phân hạch có hình dạng, trạng thái vật lý, hóa học hoặc sự sắp xếp về mặt không gian khác với phê duyệt cho thiết kế kiện.
3. Thiết kế kiện chứa vật liệu phân hạch phải được cơ quan thẩm quyền quốc gia có thiết kế đó và quốc gia mà kiện vận chuyển đến, đi qua phê duyệt.
Điều 43. Urani hexa florua (UF6)
1. Urani hexa florua được phân loại theo quy định tại Bảng 7 Phụ lục 6 ban hành kèm theo Thông tư này và kiện chứa urani hexa florua không được phép chứa:
a) Khối lượng UF6 khác với giá trị được cơ quan thẩm quyền phê duyệt cho thiết kế kiện;
b) Khối lượng UF6 lớn hơn giá trị dẫn đến hao hụt lượng nhỏ hơn 5% ở nhiệt độ tối đa cho phép của kiện;
c) UF6 không ở dạng rắn hoặc áp suất bên trong kiện lớn hơn áp suất khí quyển khi bắt đầu vận chuyển.
2. Thiết kế kiện chứa khối lượng lớn hơn hoặc bằng 0,1 kg UF6 phải được cơ quan thẩm quyền quốc gia có thiết kế đó phê duyệt. Thiết kế kiện chứa khối lượng lớn hơn hoặc bằng 9.000 kg UF6 phải được cơ quan thẩm quyền quốc gia có thiết kế đó và quốc gia mà kiện vận chuyển đến, đi qua phê duyệt.
Mục 3. PHÂN LOẠI KIỆN HÀNG PHÓNG XẠ
1. Bao bì rỗng đã chứa vật liệu phóng xạ.
2. Kiện chứa dụng cụ, vật phẩm hoặc vật liệu phóng xạ có hoạt độ phóng xạ không lớn hơn giá trị theo quy định tại Bảng 1 Phụ lục 6 ban hành kèm theo Thông tư này.
3. Kiện chứa vật phẩm sản xuất từ urani tự nhiên, urani nghèo hoặc thori tự nhiên.
4. Thiết kế của kiện miễn trừ không yêu cầu cơ quan thẩm quyền quốc gia có thiết kế đó và quốc gia mà kiện vận chuyển đến, đi qua phê duyệt.
Kiện công nghiệp là kiện chứa LSA và SCO. Lượng vật liệu phóng xạ trong kiện được hạn chế sao cho hoạt độ đối với phương tiện vận chuyển không được lớn hơn giá trị theo quy định tại Bảng 4 Phụ lục 6 ban hành kèm theo Thông tư này. Kiện công nghiệp gồm:
1. Kiện công nghiệp loại 1 (ký hiệu là IP-1) chứa:
a) LSA-I dạng rắn;
b) LSA-I dạng lỏng, vận chuyển sử dụng độc quyền;
c) SCO-I.
2. Kiện công nghiệp loại 2 (ký hiệu là IP-2) chứa:
a) LSA-I dạng lỏng, vận chuyển không sử dụng độc quyền;
b) LSA-II dạng rắn;
c) LSA-II dạng lỏng và khí vận chuyển sử dụng độc quyền;
d) LSA-III vận chuyển sử dụng độc quyền;
đ) SCO-II.
3. Kiện công nghiệp loại 3 (ký hiệu là IP-3) chứa:
a) LSA-II dạng khí và lỏng vận chuyển không sử dụng độc quyền;
b) LSA-III vận chuyển không sử dụng độc quyền.
4. Thiết kế của kiện công nghiệp không yêu cầu cơ quan thẩm quyền quốc gia có thiết kế đó và quốc gia mà kiện vận chuyển đến, đi qua phê duyệt.
1. Kiện chứa vật liệu phóng xạ dạng đặc biệt hoạt độ không lớn hơn A1 TBq, trong đó: A1 là giá trị được sử dụng để xác định giới hạn hoạt độ của vật liệu phóng xạ dạng đặc biệt trong kiện hàng phóng xạ được phép vận chuyển. Giá trị A1 được theo quy định tại cột 2 Bảng 1, cột 2 Bảng 2 Phụ lục 5 ban hành kèm theo Thông tư này.
2. Kiện chứa vật liệu phóng xạ khác hoạt độ không lớn hơn A2 TBq, trong đó: A2 là giá trị được sử dụng để xác định giới hạn hoạt độ của vật liệu phóng xạ không là dạng đặc biệt trong kiện hàng phóng xạ được phép vận chuyển. Giá trị A2 được theo quy định tại cột 3 Bảng 1, cột 3 Bảng 2 Phụ lục 5 ban hành kèm theo Thông tư này.
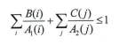
3. Kiện chứa hỗn hợp các nhân phóng xạ đã xác định được tên và hoạt độ phóng xạ, hoạt độ của các nhân này phải thỏa mãn:

Trong đó:
A1(i) là giá trị A1 của nhân phóng xạ i;
A2(j) là giá trị A2 của nhân phóng xạ j;
B(i) là hoạt độ nhân phóng xạ i trong vật liệu phóng xạ dạng đặc biệt;
C(j) là hoạt độ nhân phóng xạ j trong vật liệu phóng xạ không phải dạng đặc biệt.
4. Thiết kế của kiện loại A không yêu cầu cơ quan thẩm quyền quốc gia có thiết kế đó và quốc gia mà kiện vận chuyển đến, đi qua phê duyệt.
1. Kiện loại B không được chứa:
a) Vật liệu phóng xạ có hoạt độ lớn hơn giá trị được phê duyệt cho thiết kế kiện;
b) Nhân phóng xạ khác với phê duyệt cho thiết kế kiện;
c) Vật liệu phóng xạ có hình dạng, trạng thái vật lý hoặc hóa học khác với phê duyệt cho thiết kế kiện.
2. Nếu kiện loại B được vận chuyển bằng máy bay thì phải theo quy định tại khoản 1 Điều này và các điều kiện sau:
a) Kiện chứa vật liệu phóng xạ dạng đặc biệt: hoạt độ không được lớn hơn 3.000A1 TBq hoặc 100.000A2 TBq;
b) Kiện chứa vật liệu phóng xạ khác: hoạt độ không lớn hơn 3.000A2 TBq.
3. Kiện loại B gồm 2 loại B(U) và B(M):
a) Thiết kế kiện loại B(U) phải được phê duyệt bởi cơ quan thẩm quyền quốc gia có thiết kế đó. Trường hợp kiện loại B(U) chứa vật liệu phân hạch hoặc vật liệu phóng xạ phát tán thấp thì thiết kế phải được phê duyệt bởi cơ quan thẩm quyền quốc gia có thiết kế đó và quốc gia mà kiện vận chuyển đến, đi qua.
b) Thiết kế kiện loại B(M) phải được phê duyệt bởi cơ quan thẩm quyền quốc gia có thiết kế đó và quốc gia mà kiện vận chuyển đến, đi qua.
1. Kiện loại C không được chứa:
a) Vật liệu phóng xạ có hoạt độ lớn hơn giá trị được phê duyệt cho thiết kế kiện;
b) Nhân phóng xạ khác với phê duyệt cho thiết kế kiện;
c) Vật liệu phóng xạ có hình dạng, trạng thái vật lý hoặc hóa học khác với phê duyệt cho thiết kế kiện.
2. Thiết kế kiện loại c phải được cơ quan thẩm quyền quốc gia có thiết kế đó phê duyệt. Trường hợp kiện loại C chứa vật liệu phân hạch thì thiết kế kiện phải được cơ quan thẩm quyền quốc gia có thiết kế đó và quốc gia mà kiện vận chuyển đến, đi qua phê duyệt.
Mục 4. QUY ĐỊNH ĐỐI VỚI VẬN CHUYỂN
Điều 49. Yêu cầu trước khi vận chuyển
1. Bảo đảm kiện được sử dụng phải đáp ứng các yêu cầu liên quan quy định trong Thông tư này.
2. Đối với kiện đã được cơ quan thẩm quyền phê duyệt và cấp giấy chứng nhận, phải đáp ứng các yêu cầu quy định trong giấy chứng nhận.
3. Đối với vật liệu phóng xạ dạng đặc biệt và vật liệu phóng xạ phát tán thấp đã được cơ quan thẩm quyền phê duyệt phải đáp ứng các yêu cầu quy định trong giấy chứng nhận.
4. Đối với kiện loại B(U), B(M) và C phải bảo đảm giữ ở trạng thái ổn định về nhiệt độ và áp suất mới tiến hành vận chuyển, trừ trường hợp những yêu cầu này đã được miễn trừ do cơ quan thẩm quyền phê duyệt thiết kế đó cho phép.
5. Kiện loại B(U), B(M), C và kiện chứa vật liệu phân hạch phải được kiểm tra trước khi vận chuyển bảo đảm không xảy ra rò rỉ phóng xạ ra bên ngoài.
Điều 50. Vận chuyển với hàng hóa khác
1. Kiện hàng không được chứa các vật khác ngoài những vật cần thiết cho việc sử dụng vật liệu phóng xạ và bảo đảm các vật này không ảnh hưởng tới an toàn của kiện.
2. Trường hợp sử dụng công-ten-nơ đã dùng vận chuyển vật liệu phóng xạ để lưu giữ tạm thời hoặc vận chuyển hàng hóa khác thì phải tẩy xạ công-ten- nơ đến mức thấp hơn 0,4 Bq/cm2 đối với chất phát beta, chất phát gamma và chất phát anpha độc tính thấp hoặc 0,04 Bq/cm2 đối với các chất phát anpha khác.
3. Trong quá trình vận chuyển, kiện phải được tách riêng với thực phẩm, dược phẩm và hàng hóa nguy hiểm khác.
Điều 51. Kiểm soát nhiễm bẩn phóng xạ
1. Bẩn phóng xạ không bám chắc trên bề mặt của kiện không được vượt quá các giới hạn sau:
a) 4 Bq/cm2 đối với chất phát beta, chất phát gamma và chất phát anpha độc tính thấp;
b) 0,4 Bq/cm2 đối với các chất phát anpha khác.
Các giá trị giới hạn được lấy trung bình trên diện tích 300 cm2 hoặc toàn bộ diện tích bề mặt nếu nhỏ hơn 300 cm2.
2. Nhiễm bẩn phóng xạ không bám chắc trên bề mặt bên ngoài, bên trong của bao bì, công-ten-nơ, téc và phương tiện vận chuyển không được vượt giới hạn theo quy định tại khoản 1 Điều này.
3. Trường hợp kiện bị hư hại hoặc rò rỉ phóng xạ hoặc nghi ngờ (có khả năng) bị hư hại hoặc rò rỉ phóng xạ, cần cách ly và khoanh vùng khu vực bị nhiễm xạ. Tiến hành đánh giá nhiễm bẩn phóng xạ đối với kiện, phương tiện vận chuyển, khu vực bốc dỡ kiện. Nếu cần thiết, tiến hành đánh giá nhiễm bẩn phóng xạ đối với tất cả các vật khác được vận chuyển trên cùng phương tiện đó.
Kiện bị hư hại hoặc rò rỉ phóng xạ vượt quá giới hạn cho phép được theo quy định tại Điều 50, Điều 51 Thông tư này phải được chuyển đến địa điểm thích hợp để sửa chữa, tẩy xạ đến khi khôi phục lại điều kiện ban đầu mới được vận chuyển tiếp.
4. Phương tiện, trang thiết bị sử dụng trong vận chuyển phải được kiểm tra để xác định mức nhiễm bẩn phóng xạ. Tần suất kiểm tra phụ thuộc vào mức độ sử dụng nhưng không được ít hơn 1 lần trong 1 năm.
Phương tiện, trang thiết bị sử dụng trong vận chuyển bị nhiễm bẩn phóng xạ vượt quá giới hạn theo quy định tại khoản 1 Điều này hoặc suất liều bức xạ tại bề mặt lớn hơn 5 μSv/h phải được tẩy xạ và chỉ sử dụng lại khi bảo đảm không vượt quá giới hạn theo quy định tại khoản 1 Điều này và suất liều bức xạ tại bề mặt không lớn hơn 5 μSv/h.
5. Trong sử dụng độc quyền, không yêu cầu áp dụng theo các quy định tại khoản 1 và khoản 4 Điều này đối với việc kiểm soát nhiễm bẩn bề mặt bên trong công-ten-nơ, téc và phương tiện vận chuyển vật liệu phóng xạ không đóng gói.
Điều 53. Xác định chỉ số vận chuyển (TI) và TI được phép
1. TI đối với mỗi kiện, kiện hợp nhất, công-ten-nơ hoặc đối với vật liệu LSA-I, SCO-I hoặc SCO-III không đóng kiện được xác định như sau:
a) Đối với kiện chứa vật liệu phóng xạ không phải là vật liệu phân hạch, đo suất liều bức xạ cực đại (đơn vị đo là mSv/h) ở khoảng cách 1 mét từ bề mặt ngoài của kiện. Giá trị có được nhân với 100 và số nhận được là TI;
b) Đối với kiện chứa vật liệu phân hạch, suất liều bức xạ cực đại tại khoảng cách 1 mét từ bề mặt ngoài của kiện có giá trị như sau: 0,4 mSv/h cho quặng và tinh quặng thể lý của urani và thori; 0,3 mSv/h cho tinh quặng thể hóa của thori; 0,02 mSv/h cho tinh quặng thể hóa của urani trừ urani hexa florua. Giá trị này nhân với 100 và số nhận được là TI;
c) Đối với công-ten-nơ và vật liệu LSA-I và SCO-I không đóng kiện, đo suất liều bức xạ cực đại (đơn vị đo là mSv/h) ở khoảng cách 1 mét từ bề mặt ngoài công-ten-nơ hoặc vật liệu LSA-I và SCO-I. Giá trị đo được nhân với hệ số tương ứng theo quy định tại Bảng 5 Phụ lục 6 ban hành kèm theo Thông tư này và số nhận được là TI;
d) Giá trị TI nhận được tại điểm a, b và c khoản 1 Điều này được làm tròn tăng lên đến chữ số thập phân thứ nhất, ngoại trừ các giá trị bằng hoặc nhỏ hơn 0,05 được coi bằng 0.
2. TI đối với công-ten-nơ hoặc phương tiện vận chuyển chứa nhiều kiện được xác định bằng tổng TI của tất cả các kiện hoặc bằng xác định trực tiếp suất liều bức xạ theo quy định tại khoản 1 Điều này.
3. TI đối với kiện hợp nhất được xác định bằng tổng TI của tất cả các kiện bên trong. Không áp dụng phương pháp đo trực tiếp suất liều bức xạ đối với kiện hợp nhất.
4. Quy định về TI được phép:
a) TI của mỗi kiện không được lớn hơn 10 trừ trường hợp vận chuyển sử dụng độc quyền;
b) TI đối với công-ten-nơ hoặc phương tiện vận chuyển không sử dụng độc quyền được theo quy định tại Bảng 8 Phụ lục 6 Thông tư này;
c) Đối với vận chuyển vật liệu LSA-I, không quy định giới hạn tổng TI;
d) Đối với sử dụng độc quyền, không quy định giới hạn tổng TI.
Điều 52. Điều kiện về suất liều bức xạ trong vận chuyển
1. Đối với kiện miễn trừ, suất liều bức xạ ở sát bề mặt kiện không lớn hơn 5 μSv/h.
2. Đối với các loại kiện khác, suất liều bức xạ trên mặt ngoài của kiện không lớn hơn 2 mSv/h.
3. Đối với thiết bị hoặc vật phẩm không bao gói, suất liều bức xạ tại điểm cách mặt ngoài 10 cm không lớn hơn 0,1 mSv/h.
4. Đối với LSA hoặc SCO chứa trong mỗi kiện công nghiệp loại IP-1, IP-2 hoặc IP-3, suất liều tại điểm cách 3 mét từ LSA hoặc SCO khi không che chắn không lớn hơn 10 mSv/h.
5. Đối với vận chuyển sử dụng độc quyền:
a) Bằng đường bộ hoặc đường sắt: suất liều bức xạ trên bề mặt ngoài của mỗi kiện có thể lớn hơn 2 mSv/h nhưng không được lớn hơn 10 mSv/h khi đáp ứng các điều kiện phương tiện vận chuyển được bảo vệ hoặc được bao kín để trong suốt quá trình vận chuyển trừ người được phép thì không ai có thể lọt vào bên trong phần bao kín; Gia cố để bảo đảm kiện ở vị trí cố định bên trong phương tiện vận chuyển trong suốt quá trình vận chuyển; Kiện bảo đảm không được chất thêm vào, dỡ ra trong thời gian vận chuyển;
b) Bằng đường không hoặc đường thủy: suất liều bức xạ trên bề mặt ngoài của mỗi kiện không được lớn hơn 2 mSv/h. Trường hợp lớn hơn mức này, bắt buộc không được lớn hơn 10 mSv/h và phải được phép của Cục An toàn bức xạ và hạt nhân.
6. Đối với phương tiện vận chuyển chứa kiện hoặc công-ten-nơ, suất liều bức xạ ở điểm bất kỳ trên thành xe (kể cả phía trên và gầm xe) không được lớn hơn 2 mSv/h và suất liều bức xạ ở cách bề mặt ngoài của phương tiện vận chuyển 2 mét không được lớn hơn 0,1 mSv/h.
7. Tại vị trí người ngồi trên phương tiện vận chuyển, suất liều bức xạ không được vượt quá 0,02 mSv/h nếu những người này không được che chắn bức xạ.
Điều 54. Xác định chỉ số an toàn tới hạn (CSI) và CSI được phép vận chuyển
1. CSI cho kiện chứa vật liệu phân hạch được xác định bằng cách chia 50 cho N, trong đó N là giá trị nhỏ hơn được tính trong hai điều kiện sau:
a) Trong điều kiện vận chuyển bình thường, “N” được xác định bằng cách lây 5 lần “N” kiện với điều kiện sắp xếp và đóng gói kiện cho phép việc sản sinh nơtrôn cực đại như sau vẫn bảo đảm dưới tới hạn:
Không có ngăn cách giữa các kiện và sắp xếp kiện để tất cả các mặt được phản xạ bởi tường nước dày ít nhất là 20 cm;
b) Trong điều kiện vận chuyển xảy ra sự cố giả định, “N” được xác định bằng cách lấy 2 lần “N” kiện với điều kiện sắp xếp và đóng gói kiện cho phép việc sản sinh nơtrôn cực đại như sau vẫn bảo đảm dưới tới hạn:
Có chất làm chậm chứa hydro giữa các kiện và sự sắp xếp kiện để tất cả các mặt được phản xạ bởi tường nước dày ít nhất là 20 cm.
2. CSI đối với bao bì, công-ten-nơ vận chuyển chứa nhiều kiện được xác định bằng tổng CSI của tất cả các kiện. CSI của bao bì, công-ten-nơ bằng 0 tức là số kiện dưới tới hạn không hạn chế trong bao bì, công-ten-nơ đó.
3. Quy định về CSI được phép vận chuyển:
a) CSI của kiện, bao bì và công-ten-nơ không được lớn hơn 50 trừ vận chuyển sử dụng độc quyền. Lô hàng chứa nhiều kiện, công-ten-nơ cần được sắp xếp, lưu giữ thành từng nhóm. Khoảng cách giữa các nhóm cần bảo đảm ít nhất là 6 m;
b) Tổng CSI của công-ten-nơ hoặc phương tiện vận chuyển sử dụng độc quyền và không sử dụng độc quyền được theo quy định tại Bảng 9 Phụ lục 6 ban hành kèm theo Thông tư này.
1. Mặt ngoài bao bì của kiện phải ghi rõ các thông tin sau:
a) Tên người gửi và người nhận;
b) Mã số UN theo quy định tại Bảng 7 Phụ lục 6 ban hành kèm theo Thông tư này;
c) Khối lượng của kiện nếu lớn hơn 50 kg;
d) Ký hiệu nhóm kiện phù hợp với thiết kế:
Đối với kiện công nghiệp ghi: IP-1, IP-2, IP-3 (IF đối với kiện chứa vật liệu phân hạch); Đối với kiện loại A ghi: Loại A (AF đối với kiện chứa vật liệu phân hạch); Đối với kiện loại B ghi: Loại B(U) hoặc Loại B(M) (B(U)F hoặc B(M)F đối với kiện chứa vật liệu phân hạch); Đối với kiện loại C ghi: Loại C (CF đối với kiện chứa vật liệu phân hạch);
đ) Đối với kiện loại B(U), loại B(M) và loại C mặt ngoài có dấu hiệu cảnh báo bức xạ theo quy định tại Hình 1 Phụ lục 4 ban hành kèm theo Thông tư này. Dấu hiệu này phải được dập nổi hoặc đóng dấu, bền với lửa, với nước.
2. Đối với vật liệu LSA-I hoặc SCO-I có nhiễm bẩn phóng xạ bề mặt không lớn hơn 10 lần mức theo quy định tại Điều 51 Thông tư này cần sử dụng độc quyền, đồng thời bề mặt ngoài của thùng chứa hoặc vật liệu bao gói phải được ghi rõ: “PHÓNG XẠ LSA-I” hoặc “PHÓNG XẠ SCO-I”.
3. Trường hợp kiện là hàng nhập khẩu hoặc xuất khẩu, các từ giải thích được ghi bằng tiếng Việt hoặc Anh.
1. Các kiện được phân hạng để dán nhãn phù hợp với các điều kiện theo quy định tại Bảng 6 Phụ lục 6 ban hành kèm theo Thông tư này và theo nguyên tắc sau:
a) Nếu TI đáp ứng điều kiện đối với hạng này nhưng suất liều bức xạ bề mặt đáp ứng điều kiện đối với hạng khác thì kiện sẽ xếp vào hạng cao hơn;
b) Kiện phải được dán nhãn phù hợp với hạng của mình;
c) Nhãn của hạng được quy định tại Hình 2, Hình 3 và Hình 4 Phụ lục 4 ban hành kèm theo Thông tư này. Kiện chứa vật liệu phân hạch có thêm nhãn được quy định tại Hình 6 Phụ lục 4 ban hành kèm theo Thông tư này;
d) Trường hợp kiện là hàng nhập khẩu hoặc xuất khẩu, nội dung nhãn được ghi bằng tiếng Việt hoặc tiếng Anh.
2. Nhãn không liên quan đến nội dung bên trong của kiện phải được bóc hoặc che đi.
3. Kiện, bao bì miễn trừ không cần dán nhãn. Kiện, bao bì loại khác phải được dán nhãn ở hai phía đối diện bên ngoài kiện, bao bì. Đối với công-ten-nơ hoặc téc, nhãn được dán ở bốn mặt ngoài. Đối với công-ten-nơ lớn, phải dán nhãn kích thước lớn theo quy định tại Hình 5 Phụ lục 4 ban hành kèm theo Thông tư này bên cạnh nhãn theo quy định tại Hình 2, Hình 3 và Hình 4 Phụ lục 4 ban hành kèm theo Thông tư này.
4. Nhãn cần chứa các thông tin sau:
a) Tên nhân phóng xạ (dùng ký hiệu như Bảng 1 Phụ lục 5 ban hành kèm theo Thông tư này) trừ LSA-I. Nếu là hỗn hợp các nhân phóng xạ: tên nhân phóng xạ cần chú ý nhất phải được ghi trong nhãn. Đối với LSA-I chỉ cần ghi “LSA-I” là đủ;
b) Hoạt độ: hoạt độ cực đại của các nhân phóng xạ, đơn vị là Bq với các tiền tố thích hợp (kBq, MBq ...). Đối với vật liệu phân hạch, ghi khối lượng; đơn vị là g;
c) TI: không yêu cầu đối với nhãn I-TRẮNG. Đối với vật liệu phân hạch, ghi thêm CSI.
Điều 57. Gắn nhãn cảnh báo trên công-ten-nơ, phương tiện vận chuyển
1. Công-ten-nơ hoặc téc chứa các kiện không phải là kiện miễn trừ phải được gắn bốn nhãn cảnh báo màu vàng theo quy định tại Hình 5 Phụ lục 4 ban hành kèm theo Thông tư này. Trường hợp kiện là hàng nhập khẩu hoặc xuất khẩu, từ “PHÓNG XẠ” có thể ghi bằng tiếng Anh là “RADIOACTIVE”'. Nhãn cảnh báo được gắn theo phương thẳng đứng ở mỗi mặt và ở mép thành công- ten-nơ hoặc téc. Có thể gắn nhãn theo quy định tại Hình 2, Hình 3 và Hình 4 Phụ lục 4 ban hành kèm theo Thông tư này với kích thước tối thiểu như Hình 5 Phụ lục 4 ban hành kèm theo Thông tư này thay cho việc gắn nhãn cảnh báo.
2. Phương tiện vận chuyển vật liệu phóng xạ phải được gắn ba nhãn màu vàng theo quy định tại Hình 5 Phụ lục 4 ban hành kèm theo Thông tư này ở hai mặt bên và mặt sau phương tiện vận chuyển.
3. Công-ten-nơ hoặc téc chứa lô hàng thuộc loại LSA-I hoặc SCO-I không đóng kiện hoặc lô hàng vật liệu phóng xạ được đóng kiện, sử dụng độc quyền hoặc lô hoàng SCO-III thì mã số UN tương ứng với vật liệu phóng xạ theo quy định tại Bảng 7 Phụ lục 6 ban hành kèm theo Thông tư này phải được hiển thị bằng chữ số màu đen, chiều cao không nhỏ hơn 65 milimét theo một trong các cách sau:
a) Ghi thêm ở nửa dưới của nhãn theo mẫu quy định tại Hình 5 Phụ lục 4 ban hành kèm theo Thông tư này;
b) Trên biển báo theo mẫu quy định tại Hình 7 Phụ lục 4 ban hành kèm theo Thông tư này.
Khi áp dụng phương án quy định tại điểm b khoản này, biển báo phụ phải được gắn ngay sát cạnh biển báo chính theo mẫu quy định tại hình Hình 5 Phụ lục 4 ban hành kèm theo Thông tư này, trên cả bốn mặt Công-ten-nơ hoặc téc chứa lô hàng hoặc vật thể SCO-III.
Điều 58. Cách ly khi vận chuyển và lưu kho trung chuyển
1. Trong quá trình vận chuyển và lưu kho trung chuyển, kiện, công-ten- nơ chứa vật liệu phóng xạ phải được cách ly khỏi:
a) Người và phim ảnh chưa rửa theo quy định tại các khoản 4 và khoản 5 Điều 34 Thông tư này;
b) Hàng hóa nguy hiểm khác: dễ cháy, dễ nổ, độc hại.
2. Kiện hoặc lô hàng thuộc hạng II-VÀNG, III-VÀNG không được để trong khoang hành khách trừ trường hợp khoang này được dành riêng cho người được phép đặc biệt đi kèm.
3. Đối với vận chuyển vật liệu phân hạch khi lưu kho, nhóm kiện hoặc công-ten-nơ có CSI vượt giá trị 50 phải được đặt cách nhau tối thiểu 6 mét.
4. Người vận chuyển phải chịu trách nhiệm bảo đảm sự cách ly cần thiết được duy trì trong suốt quá trình vận chuyển và lưu kho trung chuyển.
Điều 59. Sắp xếp kiện khi vận chuyển và lưu kho trung chuyển
1. Kiện phải được sắp xếp và cố định chắc chắn trong quá trình vận chuyển và lưu kho trung chuyển, bảo đảm không bị xê dịch, không bị lật và không bị rơi.
2. Việc sắp xếp kiện phải bảo đảm thông lượng nhiệt trung bình trên bề mặt của kiện không vượt 15 W/m2.
3. Kiện phải được xếp vào công-ten-nơ hoặc phương tiện vận chuyển sao cho suất liều bức xạ bề mặt, chỉ số vận chuyển (TI) và chỉ số an toàn tới hạn (CSI) không vượt các giá trị theo quy định tại các khoản 6 Điều 52, khoản 3 Điều 53 và khoản 3 Điều 54 Thông tư này.
Điều 60. Quy định đối với vận chuyển bao bì rỗng
Bao bì rỗng đã từng chứa vật liệu phóng xạ được vận chuyển như vận chuyển kiện miễn trừ với các điều kiện sau:
1. Các bao bì rỗng được bảo quản tốt và bảo đảm độ kín.
2. Bao bì là urani hoặc thori phải được bọc bằng vỏ kim loại hoặc vật liệu vững chắc khác.
3. Mức nhiễm bẩn phóng xạ không bám chắc bên trong bao bì không được lớn hơn 100 lần mức theo quy định tại điểm a khoản 1 Điều 39 Thông tư này.
4. Nhãn đã sử dụng theo quy định phải được che lại hoặc bóc đi.
Điều 61. Quy định đối với vận chuyển bằng đường bộ
Tổ chức, cá nhân tham gia và liên quan tới vận chuyển vật liệu phóng xạ bằng đường bộ ngoài việc thực hiện các quy định chung từ Điều 49 tới Điều 59 Thông tư này còn phải thực hiện các quy định sau đây:
1. Chỉ được sử dụng ô tô để vận chuyển vật liệu phóng xạ. Ô tô vận chuyển vật liệu phóng xạ phải có độ an toàn cao;
2. Cấm vận chuyển hành khách trong ô tô chở hàng phóng xạ trừ trường hợp chở kiện miễn trừ;
3. Bắt buộc sử dụng xe có mui khi vận chuyển kiện dễ thấm nước;
4. Không được dùng xe có rơmoóc để vận chuyển vật liệu phóng xạ;
5. Xe phải có nhãn theo quy định tại Điều 57 Thông tư này và bên gửi hàng phải chịu trách nhiệm gắn nhãn chính xác;
6. Khi đỗ xe phải có người bảo vệ trừ trường hợp suất liều bức xạ ở tất cả mọi điểm của xe thấp hơn 5 µSv/h và khoang chứa kiện phải được khoá để không ai có thể lấy kiện ra. Phải đỗ cách xa nơi có dân cư 50 mét trừ trường hợp dỡ hàng vào kho;
7. Người điều khiển ô tô phải có chứng chỉ đào tạo về an toàn bức xạ, được huấn luyện xử lý sự cố trên đường vận chuyển và được trang bị thiết bị đo liều thích hợp. Nếu người điều khiển ô tô không đáp ứng được những yêu cầu trên thì mỗi chuyến hàng phải có người áp tải (trừ trường hợp vận chuyển kiện miễn trừ). Người áp tải phải đáp ứng các yêu cầu trên.
Điều 62. Quy định đối với vận chuyển bằng đường sắt
Tổ chức, cá nhân tham gia và liên quan tới vận chuyển vật liệu phóng xạ bằng đường sắt ngoài việc thực hiện các quy định chung từ Điều 49 tới Điều 59 Thông tư này còn phải thực hiện các quy định sau đây:
1. Được phép vận chuyển hàng phóng xạ bằng tầu chở hàng hoặc trong toa hành lý của tầu chở khách. Toa chở hàng phóng xạ phải có mái che khi vận chuyển kiện dễ thấm nước;
2. Toa chở hàng phóng xạ phải được gắn nhãn theo quy định tại Điều 57 Thông tư này ở phía ngoài hai bên thành toa. Trường hợp toa không có thành, chở công-ten-nơ thì nhãn trên công-ten-nơ là đủ. Bên gửi hàng phải chịu trách nhiệm dán nhãn chính xác;
3. Khi vận chuyển (trừ trường hợp vận chuyển kiện miễn trừ) phải có người áp tải. Người áp tải phải có chứng chỉ đào tạo về an toàn bức xạ, được huấn luyện xử lý sự cố trên đường vận chuyển và được trang bị thiết bị đo liều thích hợp.
Điều 63. Quy định đối với vận chuyển bằng đường không
Tổ chức, cá nhân tham gia và liên quan tới vận chuyển vật liệu phóng xạ bằng đường không ngoài việc thực hiện các quy định chung từ Điều 49 tới Điều 59 Thông tư này còn phải thực hiện các quy định sau đây:
Kiện hoặc công-ten-nơ chứa vật liệu phóng xạ có một trong các đặc điểm như dưới đây sẽ không được vận chuyển bằng đường không:
1. Kiện loại B(M) trong sử dụng độc quyền;
2. Kiện loại B(M) mà trong quá trình vận chuyển cần bộ phận làm mát bên ngoài hoặc kiện chứa vật liệu lỏng dễ cháy;
3. Kiện có suất liều bức xạ bề mặt lớn hơn 2 mSv/h trừ trường hợp được phê duyệt đặc biệt.
Mục 5. TRÁCH NHIỆM BẢO ĐẢM AN TOÀN BỨC XẠ
1. Bên gửi hàng có trách nhiệm bảo đảm an toàn bức xạ trong vận chuyển từ khâu kiểm tra bao bì, đóng kiện, tẩy xạ bề mặt (nếu cần thiết), niêm phong, dán nhãn đến khi trao kiện cho bên vận chuyển. Bên gửi hàng phải chuẩn bị kiện theo đúng quy định Thông tư này, quy chuẩn kỹ thuật quốc gia và quy định khác về vận chuyển hàng hóa.
2. Bên gửi hàng phải gửi kèm hồ sơ vận chuyển với các thông tin sau:
a) Tên dùng trong gửi hàng theo quy định tại Bảng 6 Phụ lục 6 ban hành kèm theo Thông tư này;
b) Mã số phân loại hàng của liên hợp quốc: “7”;
c) Mã số UN của vật liệu phóng xạ theo quy định tại Bảng 7 Phụ lục 6 ban hành kèm theo Thông tư này viết sau từ “UN”,
d) Tên hoặc ký hiệu nhân phóng xạ; đối với hỗn hợp các nhân phóng xạ là tên chung thích hợp hoặc danh sách các nhân phóng xạ cần chú ý nhất;
đ) Mô tả dạng hóa học và vật lý của vật liệu phóng xạ hoặc chỉ ghi “vật liệu phóng xạ dạng đặc biệt”, “vật liệu phóng xạ phát tán thấp” tương ứng;
e) Hoạt độ cực đại của nhân phóng xạ, đơn vị là Bq với tiền tố thích hợp (kBq, MBq...). Khối lượng đối với vật liệu phân hạch, đơn vị là g;
g) Hạng kiện: hoặc I-TRẮNG, hoặc II-VÀNG, hoặc III-VÀNG;
h) TI (đối với II-VÀNG, III-VÀNG); CSI (đối với vận chuyển vật liệu phân hạch không thuộc miễn trừ);
i) Mã số do cơ quan thẩm quyền quốc gia sản xuất cấp trong chứng chỉ phê duyệt (đối với vật liệu phóng xạ dạng đặc biệt, vật liệu phóng xạ phát tán thấp, phê duyệt đặc biệt, thiết kế kiện);
k) Đối với lô hàng gồm các kiện trong công-ten-nơ, ghi chi tiết nội dung của mỗi kiện bên trong công-ten-nơ. Nếu các kiện được lấy ra khỏi công-ten- nơ ở một điểm dỡ hàng trung gian, cần chuẩn bị sẵn các hồ sơ vận chuyển thích hợp;
l) Nếu lô hàng được vận chuyển sử dụng độc quyền cần ghi “VẬN CHUYỂN SỬ DỤNG ĐỘC QUYỀN”;
m) Hoạt độ tổng của lô hàng ở dạng bội số của A2 đối với LSA-II, LSA-III, SCO-I, SCOII. Đối với vật liệu phóng xạ có giá trị A2 không bị giới hạn, giá trị hoạt độ vật liệu phóng xạ đó sẽ là 0.
3. Bên gửi hàng phải cam đoan về hàng hóa trong lô hàng và phải được mô tả đầy đủ, chính xác, được phân loại, đóng kiện, đánh dấu, (dán nhãn và tuân thủ các điều kiện vận chuyển theo quy định của pháp luật hiện hành và quy định của quốc tế (nếu lô hàng chuyển qua quốc gia khác). Ghi rõ ngày, tháng, năm và ký tên.
4. Bên gửi hàng cần thông báo cho người vận chuyển thực hiện các yêu cầu cần thiết gồm tối thiểu các điểm sau bằng văn bản kèm trong hồ sơ vận chuyển:
a) Các yêu cầu bổ sung về sắp xếp hàng, lưu kho, bốc xếp và dỡ kiện bao gồm cả việc lưu kho đặc biệt để an toàn phân tán nhiệt;
b) Các hạn chế về hình thức vận chuyển hoặc phương tiện vận chuyển và những chỉ dẫn cần thiết trên đường vận chuyển;
c) Cách xử lý tình trạng sự cố, tai nạn đối với lô hàng.
Điều 65. Trách nhiệm của bên vận chuyển
1. Ngoài những quy định về vận tải hàng hóa hiện hành, bên vận chuyển chỉ được chấp nhận vận chuyển khi:
a) Có đầy đủ bản khai, giấy chứng nhận đã được cơ quan thẩm quyền phê duyệt, giấy phép vận chuyển theo quy định của pháp luật, hướng dẫn trong vận chuyển;
b) Kiểm tra cẩn thận kiện, lô hàng, công-ten-nơ khớp với bản khai và theo đúng quy định tại Thông tư này. Trường hợp phát hiện những điều không đúng thì có quyền từ chối vận chuyển, lập biên bản và sao gửi cho các bên hữu quan (bên gửi hàng, bên nhận hàng) và cơ quan thẩm quyền.
2. Bảo đảm an toàn bức xạ trong suốt quá trình vận chuyển, lưu kho trung chuyển, bao gồm cả việc ghi nhật ký đọc suất liều trong quá trình vận chuyển.
3. Thông báo cụ thể kế hoạch, lộ trình vận chuyển vật liệu phóng xạ cho Cục An toàn bức xạ và hạt nhân và Sở Khoa học và Công nghệ tại địa phương trên tuyến đường vận chuyển.
Điều 66. Trách nhiệm của bên nhận
1. Phối hợp với tổ chức, cá nhân gửi hàng, tổ chức, cá nhân vận chuyển tiếp nhận an toàn, đúng hạn, nhanh chóng giải phóng kiện ra khỏi nơi nhận hàng.
2. Tham gia khắc phục hậu quả cùng với tổ chức, cá nhân liên quan khi xảy ra sự cố.
3. Báo cáo ngay cho tổ chức, cá nhân gửi hàng và Cục An toàn bức xạ và hạt nhân khi phát hiện hàng hóa nhận được không đúng với hợp đồng vận chuyển về chủng loại, số lượng, kiện có dấu hiệu bị hư hỏng, bị tháo dỡ, bị rò rỉ phóng xạ.
Điều 67. Trách nhiệm của bên lưu giữ kiện phóng xạ tại kho trung chuyển
1. Phối hợp với bên vận chuyển, bên nhận hàng tiếp nhận an toàn, nhanh chóng giải phóng các kiện hàng phóng xạ ra khỏi nơi nhận hàng.
2. Tham gia khắc phục hậu quả cùng với các bên liên quan khi sự cố xảy ra.
3. Báo cáo ngay với Cục An toàn bức xạ và hạt nhân khi phát hiện các kiện hàng phóng xạ có dấu hiệu bị hư hỏng, bị tháo đỡ, bị rò rỉ phóng xạ; kiện hàng phóng xạ không có người nhận.
Điều 68. Công tác kiểm tra, giám sát và quản lý của cơ quan hải quan
1. Khi có nghi vấn bên trong kiện có chứa hàng bất hợp pháp, cơ quan hải quan dừng làm thủ tục hải quan hoặc dừng thông quan hàng hóa; đồng thời thông báo cho Cục An toàn bức xạ và hạt nhân, Sở Khoa học và Công nghệ trên địa bàn để phối hợp kiểm tra, xử lý.
2. Việc kiểm tra kiện phải có sự cùng tham gia của đại diện Cục An toàn bức xạ và hạt nhân và đại diện Sở Khoa học và Công nghệ tại địa phương, được tiến hành tại nơi bảo đảm an toàn bức xạ và có phương tiện thích hợp cho việc kiểm xạ.
3. Trường hợp phải mở kiện để tiến hành kiểm tra, kiện bị mở theo quy định phải được đóng gói lại như ban đầu trước khi bàn giao lại cho bên vận chuyển, bên nhận.
4. Hàng phóng xạ không có người nhận phải được cơ quan hải quan thông báo và phối hợp với Cục An toàn bức xạ và hạt nhân để xử lý.
Điều 69. Giải quyết sự cố, tai nạn trong vận chuyển vật liệu phóng xạ
1. Khi xảy ra sự cố, tai nạn trên đường vận chuyển, người áp tải hàng hoặc người điều khiển phương tiện vận chuyển cần phải thực hiện các bước sau:
a) Thông báo ngay cho: cơ quan cấp giấy phép vận chuyển vật liệu phóng xạ; cơ quan công an và Sở Khoa học và Công nghệ địa phương nơi xảy ra sự cố, tai nạn; chủ phương tiện vận chuyển; chủ hàng; bên nhận;
b) Đưa nạn nhân (nếu có) ra xa khu vực xảy ra sự cố, tai nạn (theo hướng gió) để tiến hành cấp cứu và đưa họ đến tổ chức, cá nhân tiến hành công việc bức xạ trong y tế gần nhất;
c) Kiểm tra xem xét nguy cơ cháy nổ (nếu có) và tìm biện pháp khắc phục;
d) Cách ly công chúng khỏi khu vực xảy ra sự cố, tai nạn từ 50 (m) đến 200 (m) và bảo vệ không cho những người không có trách nhiệm vào khu vực này.
2. Khi được tin báo về sự cố, tai nạn các bên hữu quan tại điểm a khoản 1 Điều này phải cử ngay cán bộ cùng trang bị cần thiết đến hiện trường để xử lý, khắc phục hậu quả theo kế hoạch đã dự định trước theo quy định tại Điều 36 Thông tư này. Tùy theo mức độ sự cố, tai nạn mà có những biện pháp thích hợp sau:
a) Thành lập đội khắc phục hậu quả sự cố, tai nạn;
b) Kiểm xạ, khoanh vùng xảy ra sự cố, tai nạn để tiến hành công việc xử lý, khôi phục lại trạng thái ban đầu;
c) Tẩy xạ khu vực xảy ra sự cố, tai nạn, phương tiện vận chuyển, kiện, người, quần áo, thiết bị bảo hộ;
d) Kiểm tra nguồn nước và thực phẩm;
đ) Bảo vệ hệ thống thoát nước;
e) Phát hiện những người bị chiếu xạ quá liều để theo dõi sức khỏe;
g) Tìm nguyên nhân và lập hồ sơ về sự cố, tai nạn.
3. Ngay sau khi tai nạn xảy ra, bên vận chuyển phải báo cáo chi tiết bằng văn bản về tai nạn gửi Cục An toàn bức xạ và hạt nhân, Sở Khoa học và Công nghệ và cơ quan công an địa phương.
4. Khi phát hiện mất kiện hàng phóng xạ phải thông báo ngay cho:
a) Cục An toàn bức xạ và hạt nhân;
b) Cơ quan công an tại địa phương;
c) Sở Khoa học và Công nghệ tại địa phương;
d) Bên gửi hàng.
Bên vận chuyển cần cung cấp cho các cơ quan trên thông tin cần thiết để việc tìm kiếm, thu hồi kiện bị mất được dễ dàng.
5. Tùy theo nguyên nhân, mức độ vi phạm và hậu quả của sự cố, tai nạn, bên gửi hàng, bên vận chuyển phải chịu trách nhiệm trước pháp luật.
Chương IV
QUẢN LÝ CHẤT THẢI PHÓNG XẠ, NGUỒN PHÓNG XẠ ĐÃ QUA SỬ DỤNG TRƯỚC KHI CHÔN CẤT
MỤC 1. QUY ĐỊNH CHUNG VỀ QUẢN LÝ CHẤT THẢI PHÓNG XẠ, NGUỒN PHÓNG XẠ TRƯỚC KHI CHÔN CẤT
1. Việc quản lý chất thải phóng xạ, nguồn phóng xạ đã qua sử dụng phải tuân thủ nguyên tắc theo quy định tại khoản 3 Điều 36 Luật Năng lượng nguyên tử.
2. Chất thải phóng xạ phải được quản lý bảo đảm an toàn cho con người và môi trường kể từ khi phát sinh cho đến khi được phép thải bỏ như chất thải không nguy hại hoặc được chôn cất theo quy định hoặc được tái chế trong trường hợp là vật thể nhiễm bẩn phóng xạ bằng kim loại. Nguồn phóng xạ đã qua sử dụng phải được quản lý bảo đảm an toàn cho con người và môi trường cho đến khi được chuyển trả cho nhà sản xuất, nhà cung cấp nước ngoài hoặc được chôn cất theo quy định.
3. Ưu tiên áp dụng chiến lược quản lý theo thứ tự sau:
a) Giảm thiểu phát sinh chất thải phóng xạ ở mức thấp nhất có thể đạt được một cách hợp lý;
b) Tái sử dụng, tái chế chất thải phóng xạ trong trường hợp đáp ứng yêu cầu về an toàn bức xạ và phù hợp với mục đích sử dụng;
c) Tiến hành xử lý chất thải phóng xạ, nguồn phóng xạ đã qua sử dụng thông qua việc thực hiện một hoặc nhiều hoạt động sau đây: xử lý ban đầu, xử lý, điều kiện hóa để đưa chất thải về dạng phù hợp, bảo đảm việc lưu giữ được an toàn.
4. Chất thải phóng xạ, nguồn phóng xạ đã qua sử dụng phải được quản lý chặt chẽ để bảo đảm tổng liều chiếu xạ đối với nhân viên bức xạ và công chúng không vượt quá giá trị giới hạn liều theo quy định tại Phụ lục I ban hành kèm theo Nghị định số 332/2025/NĐ-CP.
5. Trường hợp chất thải phóng xạ còn chứa các thành phần là chất nguy hại không phóng xạ, ngoài việc tuân thủ quy định tại Thông tư này còn phải tuân thủ quy định của pháp luật về quản lý chất thải nguy hại.
6. Chất thải có chứa các nhân phóng xạ phát sinh trong quá trình tiến hành công việc bức xạ chỉ được phép thải trực tiếp vào môi trường khi nồng độ hoạt độ phóng xạ trong chất thải không lớn hơn mức thanh lý hoặc tổng hoạt độ các nhân phóng xạ trong chất thải dạng khí, dạng lỏng không vượt quá mức hoạt độ phóng xạ cho phép thải vào môi trường do cơ quan quản lý nhà nước quy định và phải được cho phép trong giấy phép tiến hành công việc bức xạ.
7. Vật thể nhiễm bẩn phóng xạ là kim loại sắt, đồng, chì, nhôm và sản phẩm thu được từ quá trình nấu chảy các kim loại này có thể được tái chế nếu nồng độ hoạt độ các nhân phóng xạ có trong kim loại và mức nhiễm bẩn phóng xạ bề mặt của kim loại nhỏ hơn hoặc bằng mức cho phép tái chế theo quy định tại Phụ lục 8 ban hành kèm theo Thông tư này.
8. Nghiêm cấm bổ sung thành phần không chứa chất phóng xạ vào chất thải phóng xạ nhằm mục đích làm giảm nồng độ hoạt độ phóng xạ để đạt được mức cho phép thải ra môi trường hoặc mức cho phép tái chế.
Điều 71. Phân loại chất thải phóng xạ
1. Phân loại theo đặc tính của nhân phóng xạ trong chất thải phóng xạ
a) Chất thải phóng xạ thuộc diện miễn trừ khai báo, cấp giấy phép tiến hành công việc bức xạ là chất thải có nồng độ hoạt độ hoặc tổng hoạt độ của các nhân phóng xạ nhỏ hơn hoặc bằng mức thanh lý.
b) Chất thải phóng xạ mức thấp, sống rất ngắn là chất thải chỉ chứa các nhân phóng xạ có chu kỳ bán rã nhỏ hơn 100 ngày và có thể phân rã đến mức nhỏ hơn mức thanh lý trong vòng 5 năm kể từ khi phát sinh.
c) Chất thải phóng xạ mức thấp và trung bình, sống ngắn là chất thải phóng xạ không có khả năng phân rã đến mức thấp hơn mức thanh lý trong vòng 5 năm kể từ khi phát sinh, chứa các nhân phóng xạ phát beta, gamma với chu kỳ bán rã nằm trong khoảng từ 100 ngày đến 30 năm hoặc các nhân phóng xạ phát anpha với nồng độ hoạt độ trung bình không lớn hơn 400 Bq/g.
d) Chất thải phóng xạ mức thấp và trung bình, sống dài là chất thải phóng xạ chứa các nhân phóng xạ có chu kỳ bán rã lớn hơn 30 năm hoặc chứa các nhân phóng xạ phát anpha với nồng độ hoạt độ trung bình lớn hơn 400 Bq/g nhưng không lớn hơn 104 TBq/m3.
đ) Chất thải phóng xạ mức cao là chất thải phóng xạ chứa các nhân phóng xạ với nồng độ hoạt độ trên 104 TBq/m3.
2. Phân loại theo đặc trưng vật lý, hóa học, sinh học của chất thải
Dựa theo đặc trưng về vật lý, hóa học, sinh học, chất thải phóng xạ được phân loại như sau:
a) Chất thải rắn, lỏng hoặc khí;
b) Chất thải có thể đốt được;
c) Chất thải có thể nén được;
d) Chất thải sinh học;
đ) Chất thải kim loại.
Điều 72. Tiêu chí chấp nhận đối với kiện chất thải phóng xạ
1. Tiêu chí chấp nhận đối với kiện chất thải phóng xạ là tập hợp các điều kiện và yêu cầu kỹ thuật quy định đặc tính của chất thải phóng xạ đã đóng kiện và chưa đóng kiện tương ứng với từng hoạt động xử lý, lưu giữ.
2. Tổ chức, cá nhân được cấp phép tiến hành công việc bức xạ đối với hoạt động xử lý, lưu giữ chất thải phóng xạ phải xây dựng tiêu chí chấp nhận đối với kiện chất thải phóng xạ. Tiêu chí chấp nhận là thành phần của hồ sơ đề nghị cấp giấy phép tiến hành công việc bức xạ và được Cục An toàn bức xạ và hạt nhân thẩm định.
3. Tổ chức, cá nhân được cấp giấy phép xử lý, lưu giữ chất thải phóng xạ phải thiết lập và duy trì hệ thống kiểm soát phù hợp nhằm bảo đảm chất thải phóng xạ thuộc trách nhiệm quản lý của mình đáp ứng tiêu chí chấp nhận.
4. Tổ chức, cá nhân chuyển giao chất thải phóng xạ chỉ được chuyển giao khi kiện chất thải phóng xạ đáp ứng tiêu chí chấp nhận của tổ chức tiếp nhận.
5. Tổ chức tiếp nhận chất thải phóng xạ phải có quy định về việc quản lý an toàn đối với chất thải phóng xạ không đáp ứng tiêu chí chấp nhận, bao gồm việc áp dụng một hoặc nhiều biện pháp khắc phục hoặc yêu cầu tổ chức chuyển giao nhận lại chất thải phóng xạ theo quy định.
Mục 2. YÊU CẦU ĐỐI VỚI QUẢN LÝ CHẤT THẢI PHÓNG XẠ, NGUỒN PHÓNG XẠ ĐÃ QUA SỬ DỤNG TRƯỚC KHI CHÔN CẤT
Điều 73. Kiểm soát việc phát sinh chất thải phóng xạ
Tổ chức, cá nhân phát sinh chất thải phóng xạ phải áp dụng biện pháp phù hợp nhằm giảm thiểu việc phát sinh chất thải phóng xạ, bao gồm:
1. Giảm thiểu hoạt độ phóng xạ của nhân phóng xạ và thể tích chất thải phóng xạ thông qua việc hạn chế sử dụng chất phóng xạ;
2. Áp dụng việc lập kế hoạch và các biện pháp phù hợp ngay từ giai đoạn thiết kế, xây dựng, quản lý, vận hành đến giai đoạn lập kế hoạch chấm dứt hoạt động cơ sở nhằm giảm thiểu hoạt độ phóng xạ và thể tích chất thải phóng xạ phát sinh đến mức thấp nhất có thể đạt được;
3. Áp dụng việc tái chế, tái sử dụng vật liệu phóng xạ trong phạm vi có thể và và phù hợp với yêu cầu bảo đảm an toàn bức xạ;
4. Thực hiện xả thải chất thải phóng xạ khi đạt mức xả thải cho phép và thực hiện thanh lý chất thải phóng xạ sau khi đã xử lý hoặc lưu giữ trong thời gian đủ dài để đạt mức thanh lý;
5. Áp dụng hệ thống quản lý đối với tất cả các hoạt động có khả năng phát sinh chất thải phóng xạ;
6. Bảo đảm tính nhất quán trong chính sách và chiến lược quản lý chất thải phóng xạ.
Điều 74. Xử lý ban đầu chất thải phóng xạ
1. Xử lý ban đầu là một hoặc một chuỗi hoạt động gồm: thu gom, phân tách và tẩy xạ chất thải phóng xạ.
2. Chất thải phóng xạ dạng rắn phải được thu gom, phân tách khỏi chất thải không phóng xạ và được phân loại dựa trên đặc tính của nhân phóng xạ trong chất thải phóng xạ và đặc trưng vật lý, hóa học, sinh học của chất thải theo quy định tại Điều 71 Thông tư này, bảo đảm cho việc quản lý ở giai đoạn tiếp theo.
3. Việc thu gom, phân tách chất thải phóng xạ dạng rắn phải bảo đảm các yêu cầu sau:
a) Chất thải phóng xạ dạng rắn phải được thu gom, phân tách theo từng loại riêng biệt;
b) Trường hợp thu gom chất thải phóng xạ dạng rắn vào thùng đựng thì thùng phải có nắp đậy, đóng mở bằng bàn đạp chân, có lót bao hoặc túi nylon bên trong, được thiết kế che chắn thích hợp để bảo vệ chống chiếu xạ ngoài cho nhân viên bức xạ và có dấu hiệu cảnh báo bức xạ dán bên ngoài. Bao, túi thu gom chất thải phóng xạ phải có màu khác nhau tương ứng với các loại chất thải phóng xạ khác nhau;
c) Các thùng, bao, túi đựng chất thải phóng xạ dạng rắn sau khi thu gom phải được bao gói cẩn thận, dán nhãn thông tin nhận dạng trước khi chuyển vào nơi lưu giữ; nhãn phải thể hiện các thông tin sau: số nhận dạng của thùng, bao, túi đựng; loại nhân phóng xạ có trong chất thải; phân loại chất thải; nơi phát sinh chất thải; các yếu tố nguy hiểm tiềm ẩn khác gồm: nguy hiểm hóa học, nguy cơ truyền bệnh, cháy nổ; suất liều phóng xạ đo tại bề mặt thùng, bao, túi đựng và ngày, tháng, năm đo;
d) Chất thải phóng xạ dạng rắn sau khi thu gom phải được lập thành hồ sơ quản lý bao gồm các thông tin sau: số lượng chất thải phóng xạ rắn; thông tin nhận dạng của từng thùng, bao, túi đựng chất thải phóng xạ; ngày, tháng, năm đưa vào nơi lưu giữ.
4. Chất thải phóng xạ dạng lỏng (sau đây gọi là nước thải phóng xạ) phải được thu gom và tách khỏi nước thải không phóng xạ vào các bể chứa hoặc bình đựng phù hợp. Việc thu gom nước thải phóng xạ phải bảo đảm các yêu cầu sau:
a) Trường hợp thu gom nước thải phóng xạ bằng bình đựng, bình đựng phải được thiết kế che chắn thích hợp để bảo vệ chống chiếu xạ ngoài cho nhân viên và bảo đảm ngăn ngừa việc rò rỉ nước thải phóng xạ ra môi trường; bình đựng phải được đặt trong thùng kim loại, giữa thùng kim loại và bình đựng phải có vật liệu hấp thụ để hấp thụ nước rò rỉ; bình đựng và thùng kim loại bên ngoài phải có nắp đậy kín và gắn dấu hiệu cảnh báo bức xạ;
b) Bình đựng nước thải phóng xạ phải được dán nhãn thông tin nhận dạng theo quy định đối với thùng, bao, túi thu gom chất thải phóng xạ dạng rắn trước khi chuyển vào nơi lưu giữ;
c) Bể thu gom nước thải phóng xạ phải được bố trí và thiết kế đáp ứng yêu cầu theo quy định tại khoản 7 Điều 78 Thông tư này;
d) Nước thải phóng xạ sau khi thu gom phải được lập hồ sơ và lưu giữ bao gồm các thông tin sau: số lượng bình đựng nước thải phóng xạ và thông tin nhận dạng của từng bình; lượng nước thải phóng xạ, đơn vị mét khối và ngày, tháng, năm được thu gom vào các bể chứa; các nhân phóng xạ chính có trong nước thải và nơi phát sinh nước thải.
5. Tẩy xạ chất thải phóng xạ
a) Hoạt động tẩy xạ phải được xem xét và thực hiện khi phù hợp nhằm giảm thiểu hoạt độ phóng xạ và thể tích chất thải phóng xạ trước khi thực hiện các bước xử lý tiếp theo;
b) Việc tẩy xạ chỉ được thực hiện sau khi đánh giá đầy đủ các yếu tố sau: sự tồn tại của lớp nhiễm bẩn phóng xạ trên bề mặt có thể loại bỏ được; mức độ và bản chất hóa lý của lớp nhiễm bẩn phóng xạ bề mặt gồm: loại nhân phóng xạ, tính chất ăn mòn và đặc tính khác có liên quan; thể tích, hoạt độ phóng xạ và đặc tính của chất thải thứ cấp dự kiến phát sinh từ quá trình tẩy xạ nhằm hạn chế tối đa việc phát sinh chất thải thứ cấp và bảo đảm tính tương thích với các bước tiếp theo trong quá trình quản lý; các mối nguy tiềm ẩn liên quan đến phương pháp tẩy xạ được lựa chọn gồm nguy cơ phát tán aerosol, nguy cơ phát sinh hóa chất độc hại hoặc rủi ro về phản ứng nhiệt.
6. Chất thải phóng xạ sau khi thu gom phải được xử lý, điều kiện hóa, lưu giữ, thải ra môi trường hoặc chuyển giao theo quy định tại các điều 75, 76, 77, 78 và 81 của Thông tư này.
Điều 75. Thải chất thải phóng xạ ra môi trường
1. Chất thải dạng khí có chứa các nhân phóng xạ phát sinh từ các cơ sở sử dụng chất phóng xạ trong y tế, công nghiệp và nghiên cứu được lọc và kiểm soát để bảo đảm lượng nhân phóng xạ trong khí thải ra môi trường trong điều kiện vận hành bình thường không vượt quá mức cho phép theo quy định tại Bảng 1 Phụ lục 7 ban hành kèm theo Thông tư này. Việc phát thải khí ra môi trường từ các cơ sở này phải được cho phép trong giấy phép tiến hành công việc bức xạ.
2. Chất thải dạng khí có chứa các nhân phóng xạ phát sinh từ nhà máy điện hạt nhân và cơ sở lò phản ứng hạt nhân nghiên cứu phải được xử lý loại bỏ các thành phần phóng xạ nhằm bảo đảm liều chiếu xạ đối với công chúng do phát thải khí và nước thải ra môi trường từ mỗi cơ sở không vượt quá 100 µSv/năm. Việc phát thải khí ra môi trường từ các cơ sở này phải được cho phép trong giấy phép tiến hành công việc bức xạ; lượng khí thải phát thải ra môi trường, hoạt độ phóng xạ trong khí thải phải được đo kiểm tra và lập thành hồ sơ theo quy định.
3. Chất thải phóng xạ dạng rắn thuộc mức thấp, sống rất ngắn phải được lưu giữ tại cơ sở để phân rã đến mức nồng độ hoạt độ nhỏ hơn hoặc bằng mức thanh lý theo quy định tại Phụ lục XII ban hành kèm theo Nghị định số 332/2025/NĐ-CP và được thải bỏ như chất thải không nguy hại.
4. Nước thải phóng xạ từ các tổ chức, cá nhân tiến hành công việc bức xạ trong y tế, công nghiệp và nghiên cứu có sử dụng chất phóng xạ phải được lưu giữ tại cơ sở để chờ phân rã hoặc được xử lý loại bỏ thành phần phóng xạ nhằm bảo đảm lượng nhân phóng xạ trong nước thải khi thải ra môi trường không vượt quá mức cho phép theo quy định tại Bảng 2 Phụ lục 7 ban hành kèm theo Thông tư này.
5. Nước thải phóng xạ từ nhà máy điện hạt nhân và cơ sở lò phản ứng hạt nhân nghiên cứu phải được xử lý loại bỏ các thành phần phóng xạ để bảo đảm việc thải nước thải ra môi trường từ mỗi cơ sở tuân thủ quy định về liều chiếu xạ đối với công chúng theo quy định tại khoản 2 Điều này.
6. Việc thải chất thải dạng rắn và nước thải có chứa các nhân phóng xạ ra môi trường phải được cho phép trong giấy phép tiến hành công việc bức xạ và phải lập hồ sơ cho từng lần thải, bao gồm các thông tin sau:
a) Dạng (rắn hoặc lỏng) và lượng chất thải, nước thải (kg hoặc m3) được thải ra môi trường;
b) Thành phần các nhân phóng xạ trong chất thải;
c) Quy trình thải và điểm thải;
d) Phương pháp và kết quả đo kiểm tra hoạt độ phóng xạ có trong chất thải khi thải ra môi trường.
7. Trường hợp việc thải chất thải có chứa các nhân phóng xạ ra môi trường vượt quá mức cho phép, tổ chức, cá nhân phát sinh chất thải phóng xạ phải:
a) Điều tra làm rõ nguyên nhân và áp dụng các biện pháp khắc phục hậu quả;
b) Trong thời hạn không quá 05 ngày làm việc kể từ khi phát hiện việc thải chất thải có chứa các nhân phóng xạ ra môi trường vượt quá mức cho phép, báo cáo bằng văn bản đến Cục An toàn bức xạ và hạt nhân và Sở Khoa học và Công nghệ địa phương nơi công việc bức xạ phát sinh chất thải phóng xạ.
Điều 76. Xử lý chất thải phóng xạ
1. Chất thải phóng xạ dạng rắn không phải mức thấp, sống rất ngắn sau khi thu gom, phân tách sẽ được xử lý theo đặc tính của chất thải bằng các biện pháp sau:
a) Nén hoặc ép chất thải phóng xạ dạng rắn để giảm thể tích nếu được xác định là loại chất thải có thể nén, ép được và bảo đảm: chất thải không chứa thành phần có thể gây phản ứng hóa học hoặc làm hỏng kiện chất thải khi điều kiện hóa; không có nguồn phóng xạ lẫn trong chất thải; các thành phần có khả năng gây nhiễm bệnh đã được loại bỏ khỏi chất thải hoặc đã được khử trùng; không có bình áp suất lẫn trong chất thải; chất thải đã được làm khô trước khi nén, ép.
b) Đốt chất thải phóng xạ dạng rắn nếu được xác định là loại chất thải có thể đốt được và bảo đảm: không có nguồn phóng xạ lẫn trong chất thải; không có bình áp suất lẫn trong chất thải; có công nghệ đốt kiểm soát được việc đốt cháy hoàn toàn các thành phần ẩm ướt và xử lý khí thải đạt mức cho phép thải ra môi trường; có giải pháp để quản lý đối với tro phóng xạ tạo ra.
2. Nước thải phóng xạ chứa các nhân phóng xạ có chu kỳ bán rã từ 100 ngày trở lên phải được xử lý để tách các nhân phóng xạ khỏi thành phần nước thải bảo đảm nồng độ hoạt độ phóng xạ còn lại trong nước thải sau khi xử lý nhỏ hơn hoặc bằng mức thanh lý theo quy định tại Phụ lục XII ban hành kèm theo Nghị định số 332/2025/NĐ-CP. Việc xử lý nước thải phóng xạ phải bảo đảm:
a) Phương pháp xử lý phù hợp với đặc tính của nước thải phóng xạ;
b) Các thành phần chất thải thứ cấp tạo thành từ quá trình xử lý nước thải phóng xạ được xử lý và điều kiện hóa theo yêu cầu như đối với chất thải phóng xạ dạng rắn.
3. Chất thải phóng xạ sinh học
a) Chất thải phóng xạ sinh học là chất thải sinh học có chứa hoặc nhiễm bẩn các nhân phóng xạ với mức hoạt độ phóng xạ lớn hơn mức thanh lý, bao gồm chất thải có khả năng phân hủy sinh học và chất thải sinh học y tế.
Chất thải có khả năng phân hủy sinh học là chất thải có khả năng bị phân hủy sau một khoảng thời gian, biến thành hợp chất gốc nhờ các vi sinh vật. Chất thải dạng này bao gồm chất thải sinh hoạt dạng rắn từ cây cỏ, thực phẩm, giấy, nhựa có khả năng phân hủy, chất thải ra từ người, động vật.
Chất thải sinh học y tế là chất thải có khả năng thối rữa hoặc gây bệnh phát sinh từ các hoạt động khám, chữa bệnh tại các cơ sở tiến hành công việc bức xạ trong y tế, phòng thí nghiệm y học và từ nhà xác. Chất thải dạng này bao gồm vật liệu, vật dụng thải bỏ từ các cơ sở nêu trên như bông, băng, gạc, quần áo, găng tay, kim tiêm, xilanh và mô người, mô động vật.
b) Chất thải phóng xạ sinh học phải được xử lý tiệt trùng bằng hơi, bằng bức xạ, khử khuẩn bằng hóa chất, xử lý nhiệt khô trước khi áp dụng các biện pháp xử lý theo quy định tại khoản 1 và khoản 2 Điều này.
Điều 77. Điều kiện hóa chất thải phóng xạ, nguồn phóng xạ đã qua sử dụng
1. Chất thải phóng xạ dạng rắn sau khi xử lý phải được điều kiện hóa để tạo thành kiện chất thải phóng xạ điều kiện hóa và nguồn phóng xạ đã qua sử dụng phải được điều kiện hóa tạo thành khối điều kiện hóa nguồn phóng xạ đã qua sử dụng hoặc lưu giữ trong công-ten-nơ chứa nguồn để thuận tiện cho quá trình vận chuyển, lưu giữ lâu dài, hạn chế đến mức thấp nhất sự rò rỉ chất phóng xạ ra môi trường và giảm mức độ gây nguy hiểm đối với con người. Chất thải phóng xạ thuộc các loại khác nhau phải được điều kiện hóa thành khối điều kiện hóa riêng biệt.
2. Điều kiện hóa chất thải phóng xạ được thực hiện bằng cách cố định chất thải đã được xử lý vào trong một khối chất bằng phương pháp xi măng hóa, bitum hóa, polyme hóa ..., sau đó đặt trong một thùng chứa và bổ sung thêm các bao gói bên ngoài để tạo thành kiện chất thải phóng xạ điều kiện hóa.
3. Kiện chất thải phóng xạ điều kiện hóa phải bảo đảm các yêu cầu sau:
a) Suất liều bức xạ cực đại sát bề mặt kiện chất thải phóng xạ không vượt quá 2 mSv/h (200 mrem/h) và tại điểm cách bề mặt kiện 01 mét không vượt quá 0,1 mSv/h (10 mrem/h); mức nhiễm bẩn phóng xạ bề mặt lấy trung bình trên toàn diện tích bề mặt kiện không được vượt quá 4 Bq/cm2 đối với chất phát beta, gamma, chất phát anpha độc tính thấp và không được vượt quá 0,4 Bq/cm2 đối với các chất phát anpha khác;
b) Mỗi kiện chất thải phóng xạ điều kiện hóa phải gắn dấu hiệu cảnh báo bức xạ, được dán nhãn và lập thành phiếu lưu trong hồ sơ kho lưu giữ bảo đảm cho việc quản lý lâu dài và dễ dàng tiếp cận. Nhãn trên kiện chất thải phóng xạ điều kiện hóa phải gồm các thông tin về ố nhận dạng của kiện; trọng lượng của kiện; suất liều bức xạ cực đại tại bề mặt và cách bề mặt kiện 01 mét, mức nhiễm bẩn bề mặt kiện và ngày tháng năm đo;
c) Phiếu lưu trong hồ sơ kho lưu giữ đối với kiện chất thải phóng xạ điều kiện hóa ngoài các thông tin như trên nhãn của kiện phải gồm các thông tin bổ sung sau: nguồn gốc chất thải phóng xạ trong kiện; dạng và chi tiết thiết kế của kiện chất thải phóng xạ; kích thước bên ngoài và thể tích của kiện chất thải phóng xạ; các nhân phóng xạ và nồng độ hoạt độ phóng xạ có trong kiện chất thải phóng xạ; lượng vật liệu phân hạch có trong kiện chất thải phóng xạ; các mối nguy hiểm khác có thể có của kiện chất thải phóng xạ.
4. Nguồn phóng xạ đã qua sử dụng bị rò rỉ phóng xạ phải được điều kiện hóa như đối với chất thải phóng xạ để tạo thành khối điều kiện hóa nguồn phóng xạ đã qua sử dụng; nguồn phóng xạ đã qua sử dụng vẫn nguyên vẹn, không rò rỉ phóng xạ có thể được lưu giữ trong các công-ten-nơ chứa nguồn hoặc điều kiện hóa như đối với chất thải phóng xạ tùy theo đặc tính của nguồn phóng xạ và sự lựa chọn của cơ sở lưu giữ. Khối điều kiện hóa nguồn phóng xạ đã qua sử dụng và công-ten-nơ chứa nguồn phóng xạ đã qua sử dụng phải bảo đảm các yêu cầu sau:
a) Tuân thủ yêu cầu như đối với kiện chất thải phóng xạ điều kiện hóa theo quy định tại điểm a khoản 3 Điều này;
b) Công-ten-nơ chứa nguồn phải có khóa an ninh chống lấy nguồn phóng xạ ra khỏi công-ten-nơ bất hợp pháp, bảo vệ nguồn khỏi các tác động cơ học, cháy nổ;
c) Mỗi khối điều kiện hóa nguồn phóng xạ đã qua sử dụng, công-ten-nơ chứa nguồn phải gắn dấu hiệu cảnh báo bức xạ, được dán nhãn và lập thành phiếu lưu trong hồ sơ kho lưu giữ bảo đảm cho việc quản lý lâu dài và dễ dàng tiếp cận. Nhãn trên khối điều kiện hóa nguồn phóng xạ đã qua sử dụng, công-ten-nơ chứa nguồn phải gồm các thông tin: số nhận dạng khối điều kiện hóa nguồn phóng xạ đã qua sử dụng, công-ten-nơ chứa nguồn; suất liều phóng xạ cực đại tại bề mặt, cách bề mặt 01 mét và mức nhiễm bẩn bề mặt của khối điều kiện hóa nguồn phóng xạ đã qua sử dụng, công-ten-nơ chứa nguồn và ngày tháng năm đo;
c) Phiếu lưu trong hồ sơ kho lưu giữ ngoài các thông tin như trên nhãn của khối điều kiện hóa nguồn phóng xạ đã qua sử dụng, công-ten-nơ chứa nguồn phải gồm các thông tin bổ sung sau: tên, số xêri, hoạt độ phóng xạ của các nguồn phóng xạ có trong khối điều kiện hóa nguồn phóng xạ đã qua sử dụng, công-ten-nơ chứa nguồn; nhà cung cấp hoặc nhà sản xuất của các nguồn phóng xạ; chủ của từng nguồn phóng xạ đã qua sử dụng.
6. Chỉ tổ chức, cá nhân được cấp giấy phép tiến hành công việc xử lý chất thải phóng xạ, nguồn phóng xạ đã qua sử dụng mới được thực hiện điều kiện hóa, trừ đối với trường hợp điều kiện hóa nguồn đã qua sử dụng bằng cách giữ trong công-ten-nơ chứa nguồn.
Điều 78. Lưu giữ chất thải phóng xạ, nguồn phóng xạ đã qua sử dụng
1. Chất thải phóng xạ dạng rắn và nước thải phóng xạ sau khi thu gom vào bình đựng phải được lưu giữ trong kho lưu giữ tại cơ sở nơi phát sinh chất thải để chờ phân rã trước khi thải ra môi trường hoặc chờ để chuyển đi xử lý, điều kiện hóa hoặc chuyển đến cơ sở lưu giữ chất thải phóng xạ.
2. Nước thải phóng xạ nếu không được thu gom vào bình đựng phải được thu gom và lưu giữ trong các bể lưu giữ chờ xử lý hoặc chờ phân rã.
3. Nguồn phóng xạ sau khi chấm dứt sử dụng phải được lưu giữ trong kho lưu giữ cho đến khi chuyển giao cho người sử dụng khác, chuyển giao cho cơ sở lưu giữ chất thải phóng xạ hoặc chuyển trả cho nhà sản xuất, nhà cung cấp nước ngoài.
4. Kho lưu giữ chất thải phóng xạ, nguồn phóng xạ đã qua sử dụng phải được bố trí và thiết kế bảo đảm các yêu cầu sau:
a) Diện tích của kho phải đủ rộng để có thể sắp xếp các thùng, bao, túi, bình đựng chất thải thu gom có thứ tự, dễ đưa vào và lấy ra khi cần thiết và bảo đảm duy trì trạng thái dưới tới hạn nếu lưu giữ vật liệu hạt nhân; kho lưu giữ chỉ có một cửa ra vào, không có cửa sổ và được xây dựng chắc chắn, bề mặt tường và sàn kho phải làm bằng vật liệu dễ tẩy xạ;
b) Đặt tại khu vực ít người qua lại và không được đặt liền kề khoa sản, khoa nhi đối với kho lưu giữ chất thải phóng xạ của tổ chức, cá nhân tiến hành công việc bức xạ trong trong y tế, cách xa nơi lưu giữ vật liệu nguy hiểm bao gồm chất nổ, chất dễ cháy và cách xa nguồn nước sinh hoạt;
c) Có khả năng chống ngập lụt, chống tác hại tự nhiên (nóng, ẩm, mưa);
d) Thiết kế che chắn an toàn bức xạ của kho lưu giữ phải bảo đảm suất liều bức xạ bề mặt bên ngoài cửa ra vào, tường kho không vượt quá 0,5 µSv/h;
đ) Có khóa an ninh lắp cho cửa ra vào kho.
5. Kiện chất thải phóng xạ điều kiện hóa, khối điều kiện hóa nguồn phóng xạ đã qua sử dụng và công-ten-nơ chứa nguồn phóng xạ đã qua sử dụng phải được lưu giữ trong kho tại cơ sở lưu giữ chất thải phóng xạ.
6. Kho lưu giữ kiện chất thải phóng xạ điều kiện hóa, khối điều kiện hóa nguồn phóng xạ đã qua sử dụng, công-ten-nơ chứa nguồn phóng xạ đã qua sử dụng tại cơ sở lưu giữ chất thải phóng xạ phải được bố trí và thiết kế bảo đảm:
a) Các yêu cầu như đối với kho lưu giữ chất thải phóng xạ theo quy định tại khoản 4 Điều này;
b) Có hệ thống thông gió để xử lý khí phóng xạ và nhiệt thoát ra từ các kiện chất thải phóng xạ được lưu giữ;
c) Có hệ thống chống cháy nổ;
d) Có các thiết bị thích hợp để thu gom chất phóng xạ bị rò rỉ;
đ) Có thiết bị bốc xếp thích hợp;
e) Có hàng rào bảo vệ, có biển cảnh báo bức xạ;
g) Bố trí hệ thống bảo vệ thích hợp.
7. Bể lưu giữ nước thải phóng xạ phải được thiết kế bảo đảm các yêu cầu sau:
a) Được đặt tại vị trí có ít người qua lại và tránh được tác động của điều kiện tự nhiên như mưa, ngập lụt;
b) Dung tích bể phải phù hợp với lượng nước thải phóng xạ cần thu gom và thời gian lưu giữ dự kiến;
c) Thiết kế phải bảo đảm suất liều bức xạ mặt ngoài bể nơi có thể tiếp cận không vượt quá 0,5 µSv/h, không rò rỉ nước thải phóng xạ ra môi trường và nguồn nước ngầm.
8. Cơ sở lưu giữ chất thải phóng xạ phải thường xuyên kiểm tra điều kiện bảo đảm an toàn của kho lưu giữ, bể lưu giữ nước thải phóng xạ, cụ thể:
a) Định kỳ hàng quý phải kiểm tra mức bức xạ trong và ngoài kho, khu vực xung quanh các bể lưu giữ nước thải phóng xạ;
b) Định kỳ 06 tháng phải kiểm tra sự rò rỉ các loại nhân phóng xạ ra môi trường.
Điều 79. Cơ sở lưu giữ chất thải phóng xạ
1. Cơ sở lưu giữ chất thải phóng xạ phải được thiết kế và vận hành bảo đảm các yêu cầu chung như sau:
a) Bảo đảm để suất liều bức xạ, mức rò chất phóng xạ ra môi trường ở mức thấp nhất có thể; bảo đảm mức liều hiệu dụng mà một nhân viên bức xạ nhận được trong một năm không vượt quá 3/10 giá trị giới hạn liều đối với nhân viên bức xạ và mức liều hiệu dụng mà một thành viên công chúng nhận được trong một năm không vượt quá 3/10 giá trị giới hạn liều đối với công chúng;
b) Áp dụng các biện pháp không để xảy ra sự cố trong quá trình hoạt động;
c) Có quy trình vận hành cơ sở gồm các nội dung sau: các điều kiện và giới hạn vận hành; hệ thống quản lý; quy định về kiểm tra-nội bộ; quy định về đào tạo, huấn luyện nhân viên; chương trình bảo đảm an toàn bức xạ, an ninh cơ sở bức xạ và giám sát phát thải chất phóng xạ ra môi trường; tiêu chí chấp nhận đối với kiện chất thải phóng xạ; quy định về lập, lưu giữ hồ sơ quản lý chất thải phóng xạ;
d) Có kế hoạch ứng phó sự cố bảo đảm giảm tác hại đến mức thấp nhất khi xảy ra sự cố.
2. Thiết kế của cơ sở lưu giữ chất thải phóng xạ phải bảo đảm các yêu cầu cụ thể như sau:
a) Bố trí khu vực xử lý và lưu giữ chất thải phóng xạ, nguồn phóng xạ đã qua sử dụng cách xa khu vực làm việc, khu vực có đông người qua lại, khu vực bảo quản chất nguy hiểm khác;
b) Phải có khu vực tiếp nhận, kho lưu giữ chất thải phóng xạ, khu vực xử lý chất thải phóng xạ, khu vực tiến hành điều kiện hóa chất thải phóng xạ và kho lưu giữ kiện chất thải điều kiện hóa, khối điều kiện hóa hay công-ten-nơ chứa nguồn phóng xạ đã qua sử dụng;
c) Kho lưu giữ chất thải phóng xạ, nguồn phóng xạ đã qua sử dụng và kho lưu giữ kiện chất thải điều kiện hóa, khối điều kiện hóa nguồn phóng xạ đã qua sử dụng, công-ten-nơ chứa nguồn phóng xạ đã qua sử dụng phải được thiết kế bảo đảm các yêu cầu theo quy định tại Điều 78 Thông tư này;
d) Có đủ trang thiết bị và năng lực kỹ thuật để tiến hành xử lý, điều kiện hóa chất thải phóng xạ theo quy định tại Điều 76 và Điều 77 Thông tư này.
Điều 80. Hồ sơ quản lý chất thải phóng xạ, nguồn phóng xạ đã qua sử dụng
1. Hồ sơ quản lý chất thải phóng xạ phải được lập, cập nhật, lưu giữ kể từ khi thu gom cho đến khi thải bỏ, tái chế hoặc lưu giữ tại cơ sở lưu giữ chất thải phóng xạ.
2. Hồ sơ quản lý nguồn phóng xạ đã qua sử dụng phải được lập, cập nhật, lưu giữ kể từ khi chấm dứt sử dụng cho đến khi chuyển giao hoặc lưu giữ tại cơ sở lưu giữ chất thải phóng xạ.
3. Hồ sơ quản lý chất thải phóng xạ, nguồn phóng xạ đã qua sử dụng phải gồm đầy đủ các thông tin sau:
a) Thống kê chất thải phóng xạ: thông tin chất thải được thu gom, thông tin thải chất thải ra môi trường, thông tin về việc chuyển giao và tiếp nhận chất thải phóng xạ, thông tin các kiện chất thải điều kiện hóa được lưu giữ;
b) Thống kê nguồn phóng xạ đã qua sử dụng: thông tin nhận dạng của nguồn phóng xạ, thông tin quá trình chuyển giao và tiếp nhận nguồn phóng xạ đã qua sử dụng, thông tin các khối điều kiện hóa và công-ten-nơ chứa nguồn phóng xạ đã qua sử dụng được lưu giữ;
c) Báo cáo đánh giá an toàn khi làm hồ sơ đề nghị cấp giấy phép tiến hành công việc bức xạ;
d) Hồ sơ thiết kế bể, kho lưu giữ, hệ thống xử lý chất thải phóng xạ;
đ) Kết quả đo kiểm tra, đánh giá mức phát thải ra môi trường và kết quả kiểm xạ môi trường;
e) Báo cáo các trường hợp sự cố liên quan đến quản lý chất thải phóng xạ, nguồn phóng xạ đã qua sử dụng.
Điều 81. Chuyển giao chất thải phóng xạ, nguồn phóng xạ đã qua sử dụng
1. Việc chuyển giao chất thải phóng xạ cho cơ sở lưu giữ chất thải phóng xạ phải bảo đảm các yêu cầu sau:
a) Có hợp đồng chuyển giao chất thải phóng xạ được ký giữa bên giao và bên tiếp nhận, trong đó ghi rõ tên, địa chỉ bên giao và bên tiếp nhận, thông tin về chất thải phóng xạ, số lượng chất thải phóng xạ, số nhận dạng của mỗi kiện chất thải phóng xạ và quy định rõ tổ chức, cá nhân chịu trách nhiệm quản lý đối với chất thải phóng xạ sau khi hoàn thành việc chuyển giao;
b) Bên chuyển giao phải có nghĩa vụ tài chính đóng góp phí xử lý, lưu giữ cho cơ sở lưu giữ chất thải phóng xạ;
c) Tuân thủ các quy định pháp luật về xin cấp giấy phép vận chuyển vật liệu phóng xạ;
d) Việc giao nhận chất thải phóng xạ phải được lập thành biên bản (số lượng 03 bản) theo Mẫu số 1 Phụ lục 9 ban hành kèm theo Thông tư này, có chữ ký của đại diện bên giao, bên vận chuyển và bên tiếp nhận; mỗi bên giữ 01 bản để lưu;
đ) Việc giao nhận phải được kiểm tra và xác nhận của các bên liên quan bảo đảm chất thải phóng xạ được chuyển đúng số lượng, chủng loại và đến đúng địa chỉ của cơ sở tiếp nhận theo hợp đồng;
e) Trong thời hạn 05 ngày làm việc kể từ ngày hoàn thành việc chuyển giao chất thải phóng xạ, tổ chức, cá nhân phát sinh chất thải phóng xạ phải gửi bản sao biên bản giao nhận chất thải phóng xạ cho Cục An toàn bức xạ và hạt nhân và Sở Khoa học và Công nghệ địa phương nơi công việc bức xạ phát sinh chất thải phóng xạ được tiến hành.
2. Việc chuyển giao kim loại nhiễm bẩn cho cơ sở tái chế phải được lập thành hồ sơ và lưu giữ với các thông tin:
a) Chủng loại kim loại;
b) Khối lượng chuyển giao;
c) Mã lô hàng chuyển giao;
d) Kết quả kiểm tra mức nhiễm bẩn phóng xạ;
đ) Ngày tháng năm chuyển giao và tên, địa chỉ các bên giao, bên nhận.
3. Việc chuyển trả nguồn phóng xạ đã qua sử dụng cho nhà sản xuất hoặc nhà cung cấp nước ngoài phải bảo đảm các yêu cầu sau:
a) Có hợp đồng được ký giữa bên giao của phía Việt Nam và bên tiếp nhận của phía nước ngoài, ghi rõ tên, địa chỉ bên giao, bên tiếp nhận, thông tin về tên, hoạt độ phóng xạ, mã hiệu và số xêri của nguồn phóng xạ;
b) Tuân thủ các quy định của pháp luật về xin cấp giấy phép vận chuyển, xuất khẩu nguồn phóng xạ;
c) Trong thời hạn 05 ngày làm việc kể từ ngày hoàn thành thủ tục hải quan xuất khẩu nguồn phóng xạ đã qua sử dụng, tổ chức, cá nhân phát sinh nguồn phóng xạ đã qua sử dụng phải gửi báo cáo về kết quả xuất khẩu nguồn phóng xạ đã qua sử dụng theo Mẫu số 2 Phụ lục 9 ban hành kèm theo Thông tư này và bản sao chứng từ xác nhận nguồn phóng xạ đã thực xuất của cơ quan hải quan cho Cục An toàn bức xạ và hạt nhân và Sở Khoa học và Công nghệ địa phương nơi nguồn phóng xạ đã được sử dụng đối với trường hợp nguồn phóng xạ được sử dụng cố định hoặc cho Sở Khoa học và Công nghệ địa phương nơi tổ chức, cá nhân phát sinh nguồn phóng xạ đã qua sử dụng đặt trụ sở chính trong trường hợp nguồn phóng xạ được sử dụng di động.
4. Việc chuyển giao nguồn phóng xạ đã qua sử dụng cho tổ chức, cá nhân khác hoặc cho cơ sở lưu giữ chất thải phóng xạ phải bảo đảm các yêu cầu sau:
a) Có hợp đồng chuyển giao nguồn phóng xạ, trong đó ghi rõ tên, địa chỉ bên giao và bên nhận, thông tin về tên, hoạt độ phóng xạ, mã hiệu, số xêri của nguồn phóng xạ và quy định rõ tổ chức, cá nhân chịu trách nhiệm về quản lý an toàn, an ninh nguồn phóng xạ sau khi hoàn thành việc chuyển giao;
b) Trường hợp chuyển giao nguồn phóng xạ đã qua sử dụng cho cơ sở lưu giữ chất thải phóng xạ, bên chuyển giao phải có nghĩa vụ tài chính đóng góp phí xử lý, lưu giữ cho cơ sở lưu giữ chất thải phóng xạ;
c) Việc giao nhận nguồn phóng xạ đã qua sử dụng phải được lập biên bản (số lượng 03 bản) theo Mẫu số 3 Phụ lục 9 ban hành kèm theo Thông tư này, có chữ ký của đại diện bên giao, bên vận chuyển và bên tiếp nhận; mỗi bên giữ 01 bản để lưu;
d) Việc giao nhận phải được kiểm tra và xác nhận của các bên liên quan bảo đảm nguồn phóng xạ được chuyển đúng số lượng, chủng loại và đến đúng địa chỉ của cơ sở tiếp nhận theo hợp đồng;
đ) Trong thời hạn 05 ngày làm việc kể từ ngày hoàn thành việc chuyển giao nguồn phóng xạ đã qua sử dụng, tổ chức, cá nhân phát sinh nguồn phóng xạ đã qua sử dụng phải gửi bản sao biên bản giao nhận nguồn phóng xạ cho Cục An toàn bức xạ và hạt nhân và Sở Khoa học và Công nghệ địa phương theo quy định tại điểm c khoản 3 Điều này.
Mục 3. TRÁCH NHIỆM QUẢN LÝ CHẤT THẢI PHÓNG XẠ, NGUỒN PHÓNG XẠ ĐÃ QUA SỬ DỤNG TRƯỚC KHI CHÔN CẤT
Điều 82. Trách nhiệm của tổ chức, cá nhân phát sinh chất thải phóng xạ
1. Chịu toàn bộ chi phí cho hoạt động quản lý chất thải phóng xạ theo quy định tại điểm c khoản 1 Điều 37 Luật Năng lượng nguyên tử.
2. Chịu trách nhiệm quản lý bảo đảm an toàn, an ninh đối với chất thải phóng xạ từ khi phát sinh cho tới khi được phép thải bỏ như chất thải không nguy hại, chuyển giao cho cơ sở lưu giữ chất thải phóng xạ hoặc chuyển giao cho cơ sở tái chế đối với kim loại nhiễm bẩn phóng xạ.
3. Thực hiện xử lý ban đầu chất thải phóng xạ dạng rắn và nước thải phóng xạ theo yêu cầu quy định tại Điều 74 Thông tư này.
4. Áp dụng các biện pháp lọc và kiểm soát chất thải phóng xạ dạng khí theo quy định tại khoản 1 và khoản 2 Điều 75 Thông tư này trước khi thải trực tiếp ra môi trường.
5. Áp dụng các biện pháp quản lý chất thải phóng xạ dạng rắn và nước thải phóng xạ sau khi thu gom phù hợp với đặc tính, loại chất thải và điều kiện cụ thể của cơ sở:
a) Lưu giữ chất thải phóng xạ dạng rắn thuộc loại mức thấp, sống rất ngắn tại cơ sở để chờ phân rã và thải bỏ như chất thải không nguy hại theo quy định tại khoản 3 Điều 75 Thông tư này.
b) Đối với chất thải dạng rắn không thuộc loại theo quy định tại điểm a khoản này, tiến hành xử lý, điều kiện hóa và lưu giữ lâu dài tại cơ sở nếu có đủ năng lực hoặc phải chuyển giao cho cơ sở lưu giữ chất thải phóng xạ;
c) Lưu giữ nước thải phóng xạ để phân rã và xử lý nước thải phóng xạ trước khi thải ra môi trường theo quy định tại khoản 4 và khoản 5 Điều 75 Thông tư này.
6. Bảo đảm có kho lưu giữ chất thải phóng xạ theo quy định tại khoản 4 Điều 78 Thông tư này.
Trường hợp tổ chức, cá nhân phát sinh chất thải phóng xạ tự xử lý, điều kiện hóa, lưu giữ lâu dài tại cơ sở của mình phải bảo đảm có đủ điều kiện, năng lực của cơ sở lưu giữ chất thải phóng xạ theo quy định tại Điều 79 Thông tư này và phải được Cục An toàn bức xạ và hạt nhân cấp giấy phép tiến hành công việc bức xạ xử lý, lưu giữ chất thải phóng xạ. Khi chuyển giao chất thải phóng xạ cho cơ sở lưu giữ chất thải phóng xạ phải tuân thủ các yêu cầu theo quy định tại khoản 1 Điều 81 Thông tư này.
7. Lập và lưu giữ hồ sơ quản lý chất thải phóng xạ theo quy định tại Điều 80 Thông tư này.
8. Tuân thủ các quy định pháp luật về bảo đảm an toàn bức xạ, vận chuyển an toàn vật liệu phóng xạ.
9. Trường hợp phá sản, giải thể, chấm dứt hoạt động mà tổ chức, cá nhân phát sinh chất thải phóng xạ thuộc đối tượng theo quy định tại khoản 3 Điều 16 Luật Năng lượng nguyên tử thì tổ chức, cá nhân làm phát sinh chất thải phóng xạ có trách nhiệm:
a) Thực hiện quy định tại Điều 21 Luật Năng lượng nguyên tử;
b) Thực hiện các nghĩa vụ tài chính đối với chất thải phóng xạ theo quyết định của tòa án hoặc các cơ quan có thẩm quyền quyết định việc chấm dứt hoạt động.
10. Trường hợp phá sản, giải thể, chấm dứt hoạt động mà tổ chức, cá nhân phát sinh chất thải phóng xạ không thuộc khoản 9 Điều này thì tổ chức, cá nhân làm phát sinh chất thải phóng xạ có trách nhiệm:
a) Thông báo với Cục An toàn bức xạ và hạt nhân về lý do, thời gian dự kiến chấm dứt hoạt động;
b) Thực hiện các biện pháp bảo đảm an toàn đối với chất thải phóng xạ và chuyển giao chất thải phóng xạ cho tổ chức, cá nhân khác có năng lực, điều kiện quản lý theo hướng dẫn của Cục An toàn bức xạ và hạt nhân;
c) Thực hiện các nghĩa vụ tài chính đối với chất thải phóng xạ theo quyết định của tòa án hoặc các cơ quan có thẩm quyền quyết định việc chấm dứt hoạt động.
Điều 83. Trách nhiệm của tổ chức, cá nhân phát sinh nguồn phóng xạ đã qua sử dụng
1. Chịu toàn bộ chi phí cho hoạt động quản lý nguồn phóng xạ đã qua sử dụng theo quy định tại điểm c khoản 1 Điều 37 Luật Năng lượng nguyên tử.
2. Tổ chức, cá nhân phát sinh nguồn phóng xạ đã qua sử dụng có trách nhiệm lựa chọn và áp dụng một trong các phương án quản lý theo quy định tại Điều 19 Nghị định số 332/2025/NĐ-CP.
3. Kiểm tra, đánh giá sự rò rỉ phóng xạ của nguồn phóng xạ ngay sau khi chấm dứt sử dụng, đưa vào kho lưu giữ trước khi thực hiện một trong các phương án nêu tại khoản 1 Điều này.
4. Chịu trách nhiệm quản lý các nguồn phóng xạ đã qua sử dụng bảo đảm an toàn, an ninh từ khi phát sinh cho tới khi thực hiện một trong các phương án theo quy định tại khoản 1 Điều này.
5. Khi chuyển giao nguồn phóng xạ đã qua sử dụng phải tuân thủ các yêu cầu theo quy định tại khoản 4 Điều 81 Thông tư này; khi lưu giữ nguồn phóng xạ đã qua sử dụng tại cơ sở phải bảo đảm nguồn phóng xạ được lưu giữ trong kho có thiết kế bảo đảm an toàn theo quy định tại khoản 4 Điều 78 Thông tư này và phải được cấp giấy phép tiến hành công việc bức xạ (lưu giữ nguồn phóng xạ đã qua sử dụng) theo quy định.
6. Lập và lưu giữ hồ sơ quản lý nguồn phóng xạ đã qua sử dụng theo quy định tại Điều 80 Thông tư này.
7. Trường hợp phá sản, giải thể, chấm dứt hoạt động mà tổ chức, cá nhân phát sinh nguồn phóng xạ đã qua sử dụng thuộc đối tượng theo quy định tại các khoản 2 Điều 16 Luật Năng lượng nguyên tử thì tổ chức, cá nhân phát sinh nguồn phóng xạ đã qua sử dụng có trách nhiệm:
a) Thực hiện quy định tại Điều 21 Luật Năng lượng nguyên tử;
b) Thực hiện các nghĩa vụ tài chính đối với nguồn phóng xạ đã qua sử dụng theo quyết định của tòa án hoặc các cơ quan có thẩm quyền quyết định việc chấm dứt hoạt động.
8. Trường hợp phá sản, giải thể, chấm dứt hoạt động mà tổ chức, cá nhân phát sinh nguồn phóng xạ đã qua sử dụng không thuộc khoản 7 Điều này thì tổ chức, cá nhân làm phát sinh nguồn phóng xạ đã qua sử dụng có trách nhiệm:
a) Thông báo với Cục An toàn bức xạ và hạt nhân về lý do, thời gian dự kiến chấm dứt hoạt động;
b) Thực hiện các biện pháp bảo đảm an toàn cho nguồn phóng xạ đã qua sử dụng và chuyển giao nguồn phóng xạ đã qua sử dụng cho tổ chức, cá nhân khác có năng lực, điều kiện quản lý theo hướng dẫn của Cục An toàn bức xạ và hạt nhân;
c) Thực hiện các nghĩa vụ tài chính đối với nguồn phóng xạ đã qua sử dụng theo quyết định của tòa án hoặc các cơ quan có thẩm quyền quyết định việc chấm dứt hoạt động.
1. Thực hiện các trách nhiệm theo quy định tại Điều 15 Nghị định số 332/2025/NĐ-CP và Điều 65 Thông tư này.
2. Chuyển giao đầy đủ chất thải phóng xạ, nguồn phóng xạ đã qua sử dụng cho bên tiếp nhận theo hợp đồng và thực hiện yêu cầu ký xác nhận trong biên bản giao nhận chất thải phóng xạ, nguồn phóng xạ đã qua sử dụng theo quy định tại Điều 81 Thông tư này.
Điều 85. Trách nhiệm của chủ cơ sở lưu giữ chất thải phóng xạ
1. Bảo đảm các yêu cầu quy định đối với cơ sở lưu giữ chất thải phóng xạ tại Điều 79 Thông tư này.
2. Chỉ được tiếp nhận chất thải phóng xạ, nguồn phóng xạ đã qua sử dụng khi đã có giấy phép tiến hành công việc bức xạ xử lý, lưu giữ chất thải phóng xạ, nguồn phóng xạ đã qua sử dụng.
3. Thông báo với Cục An toàn bức xạ và hạt nhân mỗi khi tiếp nhận chất thải phóng xạ hoặc nguồn phóng xạ đã qua sử dụng theo Mẫu số 4 Phụ lục 9 ban hành kèm theo Thông tư này.
4. Lập và lưu giữ hồ sơ đối với chất thải phóng xạ, nguồn phóng xạ đã qua sử dụng được lưu giữ tại cơ sở theo quy định tại Điều 80 Thông tư này.
5. Tuân thủ các quy định pháp luật về bảo đảm an toàn bức xạ, an ninh nguồn phóng xạ và vận chuyển an toàn vật liệu phóng xạ.
6. Cơ sở lưu giữ chất thải phóng xạ được đầu tư từ ngân sách nhà nước phải tiếp nhận, xử lý và lưu giữ không điều kiện đối với nguồn phóng xạ nằm ngoài sự kiểm soát, chất thải phóng xạ không xác định được tổ chức, cá nhân phát sinh chất thải phóng xạ và các trường hợp đặc biệt khác do yêu cầu quản lý nhà nước.
7. Trường hợp phá sản, giải thể, chấm dứt hoạt động mà cơ sở lưu giữ chất thải phóng xạ thuộc đối tượng theo quy định tại khoản 4 Điều 16 Luật Năng lượng nguyên tử thì chủ cơ sở lưu giữ chất thải phóng xạ có trách nhiệm:
a) Thực hiện quy định tại Điều 21 Luật Năng lượng nguyên tử;
b) Thực hiện các nghĩa vụ tài chính đối với chất thải phóng xạ, nguồn phóng xạ đã qua sử dụng theo quyết định của tòa án hoặc các cơ quan có thẩm quyền quyết định việc chấm dứt hoạt động.
8. Trường hợp phá sản, giải thể, chấm dứt hoạt động mà chủ cơ sở lưu giữ chất thải phóng xạ không thuộc khoản 7 Điều này thì chủ cơ sở lưu giữ chất thải phóng xạ có trách nhiệm thực hiện theo quy định tại khoản 10 Điều 82 và khoản 8 Điều 83 Thông tư này.
Điều 86. Trách nhiệm của cơ quan quản lý nhà nước về an toàn bức xạ và hạt nhân
1. Cục An toàn bức xạ và hạt nhân có trách nhiệm:
a) Tổ chức, giám sát việc thu gom chất thải phóng xạ không xác định được chủ nguồn chất thải phóng xạ và nguồn phóng xạ nằm ngoài sự kiểm soát không xác định được chủ nguồn phóng xạ;
b) Hướng dẫn tổ chức, cá nhân biện pháp quản lý chất thải phóng xạ và nguồn phóng xạ đã qua sử dụng trước khi chôn cất;
c) Hướng dẫn tổ chức, cá nhân thực hiện thanh lý nguồn phóng xạ đã qua sử dụng và vật thể nhiễm bẩn phóng xạ là kim loại sắt, đồng, chì, nhôm;
d) Thẩm định an toàn và cấp giấy phép tiến hành công việc bức xạ cho các công việc bức xạ có phát sinh chất thải phóng xạ và cơ sở lưu giữ chất thải phóng xạ;
đ) Thanh tra việc tuân thủ các quy định pháp luật về quản lý chất thải phóng xạ, nguồn phóng xạ đã qua sử dụng trước khi chôn cất trong phạm vi cả nước và xử lý đối với các vi phạm.
2. Sở Khoa học và Công nghệ có trách nhiệm:
a) Tổ chức và phối hợp với Cục An toàn bức xạ và hạt nhân thu gom chất thải phóng xạ, nguồn phóng xạ được phát hiện trên địa bàn quản lý mà không xác định được chủ sở hữu;
b) Hướng dẫn các tổ chức, cá nhân hoạt động trên địa bàn quản lý về biện pháp quản lý chất thải phóng xạ, nguồn phóng xạ đã qua sử dụng trước khi chôn cất;
c) Tổ chức kiểm tra và phối hợp với Cơ quan thanh tra có thẩm quyền thanh tra việc tuân thủ các quy định của pháp luật về quản lý chất thải phóng xạ, nguồn phóng xạ đã qua sử dụng trước khi chôn cất trên địa bàn quản lý và xử lý đối với các vi phạm.
Chương V
CHUẨN BỊ ỨNG PHÓ VÀ ỨNG PHÓ SỰ CỐ BỨC XẠ VÀ HẠT NHÂN, LẬP VÀ PHÊ DUYỆT KẾ HOẠCH ỨNG PHÓ SỰ CỐ BỨC XẠ VÀ HẠT NHÂN
Mục 1. QUY ĐỊNH CHUNG VỀ ỨNG PHÓ SỰ CỐ
1. Nhóm chuẩn bị ứng phó sự cố được sử dụng làm căn cứ cho công tác chuẩn bị ứng phó và hoạt động ứng phó sự cố; nhóm chuẩn bị ứng phó sự cố được phân thành năm nhóm I, II, III, IV và V theo quy định tại Phụ lục 11 ban hành kèm theo Thông tư này.
2. Tổ chức, cá nhân tham gia ứng phó sự cố căn cứ vào mục tiêu chí chung để tiến hành các hành động bảo vệ tương ứng. Mức tiêu chí chung được quy định trong Phụ lục 12 ban hành kèm theo Thông tư này.
3. Cấp báo động được áp dụng làm căn cứ cho việc huy động nguồn lực tiến hành hoạt động ứng phó sự cố. Cấp báo động được quy định tại Phụ lục 13 ban hành kèm theo Thông tư này.
4. Vùng bảo vệ khẩn cấp (ký hiệu là PAZ) là toàn bộ khu vực xung quanh cơ sở cần có phương án để thực hiện hành động bảo vệ khẩn cấp nhằm giảm thiểu rủi ro của hiệu ứng tất định đối với công chúng bên ngoài cơ sở.
5. Vùng lập kế hoạch bảo vệ khẩn cấp (ký hiệu là UPZ) là toàn bộ khu vực xung quanh cơ sở cần có phương án để tiến hành hành động bảo vệ khẩn cấp nhằm ngăn ngừa chiếu xạ đối với công chúng bên ngoài cơ sở.
6. Khu vực lập kế hoạch mở rộng (ký hiệu là EPD) là khu vực xung quanh cơ sở cần có phương án để tiến hành quan trắc sau khi có thông báo về cấp báo động C (mức khẩn cấp chung) theo quy định tại Phụ lục 13 ban hành kèm theo Thông tư này để xác định các khu vực cần thực hiện các hành động ứng phó bên ngoài cơ sở khi có phát tán phóng xạ nhằm giảm thiểu rủi ro của hiệu ứng ngẫu nhiên đối với công chúng.
7. Khu vực lập kế hoạch kiểm soát lương thực, thực phẩm (ký hiệu là ICPD) là khu vực xung quanh cơ sở cần có phương án thực hiện các hành động ứng phó sau khi có thông báo về cấp báo động C theo quy định tại Phụ lục 13 ban hành kèm theo Thông tư này để giảm thiểu rủi ro của hiệu ứng ngẫu nhiên đối với công chúng và giảm thiểu hậu quả phi phóng xạ do việc phân phối và tiêu thụ lương thực, thực phẩm, nước uống và các hàng hóa khác có thể bị nhiễm bẩn phóng xạ do phát tán phóng xạ từ cơ sở đó khi xảy ra sự cố.
Điều 88. Trách nhiệm của tổ chức, cá nhân tham gia chuẩn bị ứng phó và hoạt động ứng phó sự cố
1. Người đứng đầu tổ chức, cá nhân được cấp giấy phép tiến hành công việc bức xạ có trách nhiệm chính trong công tác chuẩn bị và ứng phó sự cố tại cơ sở.
2. Người đứng đầu tổ chức, cá nhân có kế hoạch ứng phó sự cố bức xạ, sự cố hạt nhân (sau đây gọi tắt là kế hoạch ứng phó sự cố) cần phải được phê duyệt theo quy định tại Nghị định số 332/2025/NĐ-CP, cơ sở thuộc nhóm chuẩn bị ứng phó sự cố I, II, III và Ủy ban nhân dân cấp tỉnh có trách nhiệm:
a) Thành lập Ban chỉ huy ứng phó sự cố (sau đây được gọi là Ban chỉ huy) hoặc tích hợp trong Ban chỉ huy phòng thủ dân sự cùng cấp, bảo đảm thực hiện được đầy đủ trách nhiệm theo quy định tại khoản 5 Điều này;
b) Xây dựng nguồn nhân lực, phương tiện, cơ sở hạ tầng cần thiết và đầu tư trang thiết bị theo quy định tại Phụ lục 15 ban hành kèm theo Thông tư này cho việc chuẩn bị ứng phó và ứng phó với sự cố phù hợp với điều kiện cụ thể; tổ chức diễn tập ứng phó sự cố theo kế hoạch ứng phó sự cố được ban hành;
3. Tổ chức, cá nhân tham gia chuẩn bị và ứng phó sự cố có trách nhiệm thực hiện chức năng, nhiệm vụ theo thẩm quyền được quy định trong kế hoạch ứng phó sự cố; xây dựng nguồn lực và phối hợp với tổ chức, cá nhân khác theo quy định.
4. Trưởng Ban chỉ huy có trách nhiệm:
a) Phân công trách nhiệm, chỉ đạo thực hiện các nhiệm vụ cụ thể cho các thành viên Ban chỉ huy;
b) Thông báo về sự cố, khởi động và chấm dứt ứng phó sự cố;
c) Chỉ huy, điều động các lực lượng tham gia hoạt động ứng phó sự cố; chỉ đạo thực hiện các hành động bảo vệ với sự tư vấn của các tổ chức, cá nhân được giao nhiệm vụ theo kế hoạch ứng phó sự cố được phê duyệt;
d) Bổ nhiệm hoặc chỉ định người chỉ huy tại hiện trường phù hợp với từng tình huống cụ thể;
đ) Tổng hợp, đánh giá tình hình sự cố để báo cáo các cơ quan có thẩm quyền;
e) Bổ nhiệm hoặc chỉ định người đại diện cung cấp thông tin cho công chúng theo quy định của pháp luật;
g) Khi có thay đổi ảnh hưởng tới việc thực hiện kế hoạch ứng phó sự cố phải cập nhật, bổ sung kế hoạch ứng phó sự cố và thông báo tới cơ quan có thẩm quyền phê duyệt kế hoạch ứng phó sự cố.
5. Ban chỉ huy cấp tỉnh và cấp cơ sở có trách nhiệm:
a) Đánh giá năng lực ứng phó sự cố, điều phối cung cấp nguồn nhân lực, trang thiết bị, phương tiện, cơ sở hạ tầng cần thiết căn cứ trên các yêu cầu đối với công tác chuẩn bị và ứng phó sự cố và phù hợp với điều kiện cụ thể;
b) Thành lập đội ứng phó ban đầu tại hiện trường;
c) Tổ chức ứng phó sự cố theo quy định trong kế hoạch ứng phó sự cố;
d) Tổ chức diễn tập ứng phó sự cố theo kế hoạch ứng phó sự cố được ban hành định.
6. Chỉ huy ứng phó sự cố tại hiện trường có trách nhiệm:
a) Điều động nguồn lực, chỉ huy các lực lượng tham gia ứng phó sự cố tại hiện trường;
b) Giữ vai trò đầu mối tiếp nhận, xử lý và cung cấp thông tin tại hiện trường;
c) Tuân theo sự chỉ đạo của Trưởng Ban chỉ huy.
7. Trách nhiệm của Cục An toàn bức xạ và hạt nhân:
a) Xây dựng năng lực, phối hợp tiếp nhận và xử lý thông tin sự cố 24/7; tham gia hỗ trợ ứng phó sự cố theo thẩm quyền;
b) Bảo đảm duy trì khả năng kết nối, truyền nhận dữ liệu từ Trung tâm điều hành quan trắc và cảnh báo phóng xạ môi trường quốc gia.
Điều 89. Trung tâm ứng phó sự cố
1. Cơ sở thuộc nhóm chuẩn bị ứng phó sự cố I, II phải thiết lập Trung tâm ứng phó sự cố của cơ sở cách biệt về vật lý với Phòng điều khiển của cơ sở. Trung tâm ứng phó của cơ sở phải có đầy đủ trang thiết bị phục vụ trao đổi thông tin với Phòng điều khiển, các tổ chức, lực lượng tham gia ứng phó các cấp, theo dõi thông tin bức xạ; được trang bị các thiết bị bảo vệ chống phóng xạ.
2. Trung tâm ứng phó sự cố nằm ngoài cơ sở đối với nhóm chuẩn bị ứng phó sự cố I, II được xây dựng và trang bị đầy đủ các thiết bị, phương tiện ứng phó cần thiết cũng như phải được bảo đảm an toàn. Trụ sở của Trung tâm ứng phó nằm ngoài cơ sở, lực lượng ứng phó ban đầu phải được xây dựng và duy trì theo quy định trong kế hoạch ứng phó sự cố cấp quốc gia.
Mục 2. CHUẨN BỊ ỨNG PHÓ VÀ ỨNG PHÓ SỰ CỐ
Điều 90. Tổ chức và quản lý trong chuẩn bị ứng phó sự cố
1. Cơ sở thuộc nhóm chuẩn bị ứng phó sự cố I, II và III có trách nhiệm quy định việc chuyển đổi từ tình trạng hoạt động bình thường của cơ sở sang tình trạng khẩn cấp, bảo đảm không làm giảm tính năng an toàn, an ninh của cơ sở.
2. Cơ sở thuộc nhóm chuẩn bị ứng phó sự cố I, II và cơ quan có thẩm quyền trong khu vực thuộc nhóm chuẩn bị ứng phó sự cố V có trách nhiệm xây dựng phương án phối hợp ứng phó sự cố với các tổ chức cá nhân có liên quan trong vùng UPZ và PAZ, khu vực EPD và ICPD. Kích thước vùng UPZ và PAZ, khu vực EPD và ICPD được quy định tại Phụ lục 14 ban hành kèm theo Thông tư này.
Điều 91. Công tác chuẩn bị xác nhận sự cố, thông báo và khởi động hệ thống ứng phó sự cố
1. Ban chỉ huy các cấp có trách nhiệm:
a) Ban hành quy trình tiếp nhận và xử lý thông tin 24/7 về sự cố, bao gồm khuyến cáo biện pháp ứng phó và công tác trợ giúp;
b) Tổ chức đào tạo đội ứng phó ban đầu có khả năng nhận biết các dấu hiệu cảnh báo bức xạ và đưa ra thông báo thích hợp, cảnh báo kịp thời khi sự cố xảy ra.
2. Ban chỉ huy các cấp căn cứ vào cấp báo động theo quy định tại Phụ lục 13 ban hành kèm theo Thông tư này, có trách nhiệm thiết lập hệ thống thông báo và khởi động ứng phó sự cố phù hợp với quy định pháp luật.
Điều 92. Công tác chuẩn bị cho việc giảm thiểu hậu quả
1. Ban chỉ huy các cấp có trách nhiệm:
a) Xây dựng phương án tư vấn kỹ thuật, cung cấp nguồn lực bảo vệ chống bức xạ cho người tham gia ứng phó sự cố;
b) Tổ chức đào tạo cho lực lượng ứng phó sự cố về các biện pháp giảm thiểu hậu quả tiềm tàng của sự cố, bảo vệ nhân viên và công chúng xung quanh khu vực xảy ra sự cố.
2. Cơ sở sử dụng nguồn phóng xạ thuộc nhóm 1 và nhóm 2 theo Quy chuẩn kỹ thuật quốc gia về phân nhóm và phân loại nguồn phóng xạ phải thiết lập mối quan hệ và phương thức liên lạc kịp thời với tổ chức, cá nhân có năng lực hỗ trợ ứng phó sự cố được quy định trong kế hoạch ứng phó sự cố.
3. Cơ sở thuộc nhóm chuẩn bị ứng phó sự cố I, II và III có trách nhiệm chuẩn bị sẵn sàng thực hiện các hành động giảm thiểu hậu quả nhằm đạt được các mục tiêu sau:
a) Ngăn ngừa sự cố trầm trọng hơn;
b) Đưa cơ sở trở lại trạng thái an toàn;
c) Giảm thiểu khả năng phát tán chất phóng xạ;
d) Giảm thiểu nguy cơ bị chiếu xạ.
Điều 93. Công tác chuẩn bị thực hiện hành động bảo vệ khẩn cấp
1. Ban chỉ huy các cấp có trách nhiệm thông báo cho đội ứng phó ban đầu sẵn sàng thực hiện các biện pháp cứu người và ngăn chặn ảnh hưởng của chất phóng xạ có khả năng tồn tại tại hiện trường.
2. Cơ sở thuộc nhóm chuẩn bị ứng phó sự cố I và II có trách nhiệm chuẩn bị sẵn sàng cho việc ra quyết định và thực hiện các hành động bảo vệ khẩn cấp trong phạm vi cơ sở, bao gồm:
a) Mô tả các đặc trưng của vùng ứng phó khẩn cấp (vùng UPZ đối với cơ sở thuộc nhóm chuẩn bị ứng phó sự cố I và vùng PAZ đối với cơ sở thuộc nhóm chuẩn bị ứng phó sự cố I, II);
b) Căn cứ cấp báo động, điều kiện thực tế trong và xung quanh cơ sở, đề xuất việc thực hiện các hành động bảo vệ khẩn cấp ngoài cơ sở tới các cơ quan có thẩm quyền được quy định trong Kế hoạch ứng phó sự cố cấp tỉnh;
3. Cơ sở thuộc nhóm chuẩn bị ứng phó sự cố I, II và III có trách nhiệm bảo đảm an toàn cho tất cả cá nhân trong cơ sở khi xảy ra sự cố, bao gồm:
a) Thông báo sự cố trong toàn cơ sở;
b) Thống kê tất cả cá nhân trong cơ sở;
c) Xác định và tìm kiếm những người mất tích;
d) Thực hiện các hành động bảo vệ khẩn cấp;
đ) Thực hiện sơ cứu kịp thời.
4. Ban chỉ huy cấp tỉnh nơi có vùng PAZ và UPZ chuẩn bị và phối hợp với lực lượng ứng phó khác thực hiện các hành động bảo vệ khẩn cấp ngoài cơ sở, bao gồm:
a) Bảo vệ nhân viên ứng phó;
b) Thông báo tới công chúng trong vùng PAZ và UPZ;
c) Thực hiện các hành động bảo vệ khẩn cấp;
d) Bảo vệ nguồn cung cấp thực phẩm và nước;
đ) Yêu cầu hạn chế tiêu thụ thực phẩm trong khu vực bị ảnh hưởng phóng xạ;
e) Kiểm xạ, tẩy xạ và chăm sóc người sơ tán;
g) Kiểm soát ra vào khu vực tập trung người sơ tán.
Điều 94. Công tác chuẩn bị cung cấp thông tin
1. Cơ sở thuộc nhóm chuẩn bị ứng phó sự cố I, II chuẩn bị sẵn sàng cho việc cung cấp thông tin về sự cố tới đầu mối tiếp nhận thông tin cấp tỉnh. Cơ quan có thẩm quyền đối với nhóm chuẩn bị ứng phó sự cố V chuẩn bị sẵn sàng cho việc cung cấp thông tin về sự cố tới đầu mối tiếp nhận thông tin cấp quốc gia. Thông tin bao gồm:
a) Tính chất và tình trạng nguy hiểm của sự cố;
b) Cách thức cảnh báo, thông báo và các hành động người dân cần thực hiện khi xảy ra sự cố.
2. Cơ sở thuộc nhóm chuẩn bị ứng phó sự cố I, II và cơ quan có thẩm quyền đối với nhóm chuẩn bị ứng phó sự cố V chủ động nắm bắt, cập nhật tình hình dân cư trong khu vực có khả năng bị ảnh hưởng để có phương án thông báo và hướng dẫn kịp thời trong trường hợp sự cố cấp báo động C theo quy định tại Phụ lục 13 ban hành kèm theo Thông tư này.
3. Ban chỉ huy các cấp có trách nhiệm:
a) Phân công cơ quan, tổ chức, cá nhân cung cấp thông tin về sự cố, biện pháp ứng phó và các thông tin khác tới các đối tượng liên quan;
b) Chuẩn bị nguồn lực bảo đảm việc cung cấp thông tin;
c) Xây dựng phương án tư vấn và hỗ trợ cho công chúng, kịp thời giải thích về các rủi ro sức khỏe và tư vấn cho công chúng về các hành động bảo vệ cần thực hiện và các hành động cần tránh thực hiện để giảm thiểu hậu quả do sự cố gây ra.
Điều 95. Công tác chuẩn bị đánh giá cấp báo động
1. Cơ sở thuộc nhóm chuẩn bị ứng phó sự cố I, II và III có trách nhiệm chuẩn bị (nhân lực, thiết bị, phương tiện, quy trình) cho việc đánh giá:
a) Các điều kiện bất thường trong cơ sở;
b) Tình huống chiếu xạ hoặc phát tán chất phóng xạ;
c) Tình trạng bức xạ trong và ngoài cơ sở;
d) Các tình huống chiếu xạ tiềm năng và chiếu xạ thực tế.
2. Cơ sở thuộc nhóm chuẩn bị ứng phó sự cố I, II, cơ quan có thẩm quyền trong khu vực nhóm chuẩn bị ứng phó sự cố V và Ban chỉ huy các cấp có trách nhiệm chuẩn bị:
a) Đánh giá nhiễm bẩn phóng xạ, phát tán chất phóng xạ, liều bức xạ nhằm đưa ra quyết định thực hiện các hành động bảo vệ trong vùng PAZ và UPZ, khu vực EPD và ICPD;
b) Nguồn nhân lực được đào tạo và trang thiết bị để thực hiện theo quy định tại điểm a khoản này;
c) Lưu giữ các thông tin liên quan đến việc đánh giá cấp báo động để phục vụ công tác ứng phó sự cố.
3. Cơ sở thuộc nhóm chuẩn bị ứng phó sự cố IV có trách nhiệm chuẩn bị:
a) Xác định quy mô và mức độ của tình huống chiếu xạ bất thường hoặc nhiễm xạ;
b) Xác định số lượng người có nguy cơ bị chiếu xạ;
c) Thông báo mức độ nguy hiểm, đề xuất các biện pháp giảm thiểu hậu quả và hành động bảo vệ trong khu vực xảy ra sự cố tới cơ quan có thẩm quyền.
Điều 96. Công tác chuẩn bị ứng phó y tế
1. Lực lượng tham gia ứng phó y tế phải được đào tạo về:
a) An toàn bức xạ;
b) Triệu chứng lâm sàng do chiếu xạ;
c) Quy trình thông báo và quy trình sơ cứu, điều trị nạn nhân trong sự cố.
2. Cơ sở thuộc nhóm chuẩn bị ứng phó sự cố I, II và III chuẩn bị sẵn sàng cho việc điều trị nhân viên bị chiếu xạ quá liều hoặc nhiễm xạ, bao gồm: sơ cứu, đánh giá liều, vận chuyển và điều trị y tế ban đầu.
3. Đối với vùng UPZ, vùng PAZ của cơ sở thuộc nhóm chuẩn bị ứng phó sự cố I, Ban chỉ huy các cấp phải xây dựng kế hoạch phân loại và chuyển người bị chiếu xạ liều cao đến các bệnh viện chuyên ngành.
4. Tổ chức y tế được quy định trong kế hoạch ứng phó sự cố có trách nhiệm chuẩn bị:
a) Nguồn nhân lực, trang thiết bị cấp cứu và điều trị;
b) Phác đồ điều trị để chẩn đoán sớm và điều trị các bệnh phóng xạ;
c) Hội chẩn với các tổ chức chuyên ngành khác về các tổn thương nghiêm trọng, gây ảnh hưởng tới sức khỏe, tính mạng của nhân viên ứng phó và công chúng.
Điều 97. Công tác chuẩn bị cho việc kiểm soát lương thực, thực phẩm và bảo vệ dài hạn
1. Ban chỉ huy tại khu vực thuộc nhóm chuẩn bị ứng phó sự cố IV, V có trách nhiệm xây dựng phương án bảo vệ sản xuất nông nghiệp và kiểm soát việc phân phối, tiêu thụ lương thực, thực phẩm trong khu vực nhiễm bẩn phóng xạ.
2. Ban chỉ huy các cấp có trách nhiệm chuẩn bị sẵn sàng cho việc quản lý chất thải phóng xạ do sự cố gây ra, bao gồm: đánh giá và phân loại chất thải phóng xạ; liên hệ với cơ quan có thẩm quyền trong việc xử lý, lưu giữ.
3. Ban chỉ huy cấp tỉnh có trách nhiệm chuẩn bị phương án sơ tán tạm thời đối với những người trong khu vực bị ảnh hưởng phóng xạ vượt quá mức tiêu chí chung; kiểm xạ người, tài sản và phương tiện vận chuyển ra vào khu vực nhiễm bẩn phóng xạ.
Điều 98. Công tác chuẩn bị kết thúc các hoạt động bảo vệ và phục hồi môi trường
1. Ban chỉ huy các cấp có trách nhiệm lập kế hoạch cho việc kết thúc hoạt động ứng phó sự cố, bao gồm xây dựng các tiêu chí cho việc kết thúc hành động bảo vệ trên cơ sở các điều kiện an toàn bức xạ tại hiện trường.
2. Ban chỉ huy các cấp có trách nhiệm lập kế hoạch phục hồi môi trường, bao gồm:
a) Trách nhiệm của các cơ quan, tổ chức liên quan;
b) Cung cấp thông tin, đánh giá hậu quả phóng xạ và phi phóng xạ;
c) Biện pháp bảo đảm an toàn bức xạ, kiểm soát chiếu xạ nghề nghiệp, chiếu xạ công chúng.
Điều 99. Tổ chức và quản lý trong hoạt động ứng phó sự cố
Ban chỉ huy các cấp có trách nhiệm:
1. Bảo đảm sự phối hợp đồng bộ giữa các tổ chức, cá nhân tham gia ứng phó sự cố trong và ngoài cơ sở.
2. Đánh giá thông tin cần thiết để ban hành các quyết định huy động nguồn lực trong suốt quá trình xảy ra sự cố.
Điều 100. Xác nhận sự cố, thông báo và khởi động hệ thống ứng phó
1. Khi có thông tin liên quan tới sự cố, đầu mối tiếp nhận và xử lý thông tin các cấp phải xác nhận sự cố, xác định cấp báo động và thông báo tới Ban chỉ huy cấp tương ứng để xem xét, khởi động ứng phó sự cố.
2. Thời gian xác nhận sự cố, thông báo và khởi động hệ thống ứng phó theo quy định tại Phụ lục 16 ban hành kèm theo Thông tư này.
Điều 101. Thực hiện các biện pháp giảm thiểu hậu quả
1. Đội ứng phó ban đầu căn cứ tình hình cụ thể và mức tiêu chí chung để tiến hành các biện pháp ứng phó phù hợp nhằm giảm thiểu hậu quả sự cố do nhóm chuẩn bị ứng phó sự cố IV gây ra.
2. Cơ sở thuộc nhóm chuẩn bị ứng phó sự cố I, II, III và IV có trách nhiệm thực hiện kịp thời các biện pháp ứng phó phù hợp nhằm giảm thiểu hậu quả của sự cố.
3. Các nguồn lực hỗ trợ ứng phó sự cố các cấp, bao gồm phương tiện kỹ thuật, thông tin liên lạc, thuốc dự phòng, địa điểm sơ tán và các nhu yếu phẩm khác phải đáp ứng việc hỗ trợ ứng phó sự cố đối với các cơ sở, sự cố thuộc nhóm chuẩn bị ứng phó sự cố I, II và III.
Điều 102. Thực hiện các biện pháp bảo vệ khẩn cấp
Tổ chức, cá nhân tham gia ứng phó sự cố có trách nhiệm:
1. Ưu tiên thực hiện tất cả biện pháp thích hợp để cứu người.
2. Thực hiện hành động bảo vệ khẩn cấp theo quy định tại Phụ lục 12 ban hành kèm theo Thông tư này.
3. Thay đổi hành động bảo vệ phù hợp với diễn biến sự cố.
4. Chấm dứt hành động bảo vệ khi không còn phù hợp.
Điều 103. Cung cấp thông tin và hướng dẫn công chúng
Ban chỉ huy các cấp có trách nhiệm:
1. Căn cứ trên cấp báo động, điều kiện cụ thể và các số liệu quan trắc tại hiện trường đưa ra cảnh báo kịp thời và hướng dẫn hành động bảo vệ cho công chúng theo thẩm quyền.
2. Cung cấp thông tin, kịp thời, chính xác, rõ ràng nhằm hạn chế việc phát tán thông tin sai lệch.
Điều 104. Bảo vệ nhân viên ứng phó
Tổ chức, cá nhân tham gia chuẩn bị ứng phó và hoạt động ứng phó sự cố có trách nhiệm thực hiện các biện pháp bảo vệ nhân viên, kiểm soát liều theo quy trình đã được xây dựng trong Kế hoạch ứng phó sự cố và theo quy định tại Phụ lục I ban hành kèm theo Nghị định số 332/2025/NĐ-CP.
Điều 105. Đánh giá cấp báo động
Tổ chức, cá nhân được phân công đánh giá cấp báo động có trách nhiệm:
1. Căn cứ mức độ nghiêm trọng và khả năng gây ra hậu quả của sự cố để xác định cấp báo động theo quy định tại Phụ lục 13 ban hành kèm theo Thông tư này.
2. Tiến hành kiểm xạ và phân tích mẫu môi trường nhằm kịp thời xác định mối nguy hiểm và điều chỉnh biện pháp ứng phó.
3. Cung cấp thông tin về tình trạng sự cố và kiến nghị hành động bảo vệ phù hợp.
1. Tổ chức, cá nhân khi phát hiện biểu hiện bệnh lý do bức xạ gây ra có trách nhiệm thông báo tới đầu mối tiếp nhận thông tin.
2. Tổ chức y tế có trách nhiệm tiến hành các biện pháp sơ cứu ban đầu và thông báo tới đầu mối tiếp nhận thông tin khi phát hiện biểu hiện bệnh lý do bức xạ gây ra.
3. Cá nhân bị chiếu xạ, nhiễm xạ phải được theo dõi và điều trị tại các tổ chức, cá nhân tiến hành công việc bức xạ trong y tế có năng lực chẩn đoán và điều trị bệnh phóng xạ.
Điều 107. Kiểm soát lương thực, thực phẩm và bảo vệ dài hạn
1. Ban chỉ huy cấp tỉnh có trách nhiệm thực hiện các biện pháp bảo vệ sản xuất nông nghiệp và kiểm soát việc phân phối, tiêu thụ lương thực, thực phẩm theo quy định tại Phụ lục 12 ban hành kèm theo Thông tư này.
2. Ban chỉ huy các cấp có trách nhiệm tổ chức việc quản lý chất thải phóng xạ do sự cố gây ra.
Điều 108. Chấm dứt hành động bảo vệ, thông báo mức sự cố và phục hồi môi trường
1. Ban chỉ huy các cấp có trách nhiệm:
a) Xác định thời điểm và thông báo chấm dứt hành động bảo vệ;
b) Đánh giá mức sự cố theo quy định tại Điều 102 Nghị định số 332/2025/NĐ-CP và Phụ lục 10 ban hành kèm theo Thông tư này; thông báo công chúng theo thẩm quyền;
c) Tổ chức việc đánh giá liều chiếu xạ nghề nghiệp cho nhân viên thực hiện hoạt động phục hồi môi trường.
2. Ban chỉ huy quyết định kết thúc phục hồi môi trường khi đáp ứng các điều kiện sau:
a) Mức liều hiệu dụng tiềm năng không quá 10 mSv/năm;
b) Đã áp dụng các biện pháp phục hồi môi trường để giảm thiểu liều hiệu dụng tiềm năng.
Mục 3. LẬP VÀ PHÊ DUYỆT KẾ HOẠCH ỨNG PHÓ SỰ CỐ
Điều 109. Kế hoạch ứng phó sự cố cấp cơ sở thuộc nhóm chuẩn bị ứng phó sự cố I, II và III
Kế hoạch ứng phó sự cố cấp cơ sở thuộc nhóm chuẩn bị ứng phó sự cố I, II và III có cấu trúc như sau:
1. Quy định chung:
a) Trình bày phạm vi điều chỉnh và đối tượng áp dụng của bản kế hoạch ứng phó sự cố;
b) Giải thích khái niệm, thuật ngữ được dùng trong kế hoạch ứng phó sự cố;
c) Trình bày thông tin liên quan tới danh sách, địa chỉ, số điện thoại liên lạc của tổ chức, cá nhân tham gia ứng phó sự cố và tổ chức, cá nhân hỗ trợ;
d) Liệt kê các kế hoạch ứng phó sự cố khác có liên quan như kế hoạch phòng thủ dân sự, kế hoạch phòng cháy chữa cháy và cứu hộ cứu nạn.
2. Căn cứ pháp lý để lập kế hoạch ứng phó sự cố:
Trình bày danh mục các văn bản quy phạm pháp luật của cơ quan nhà nước có thẩm quyền ở trung ương và địa phương ban hành có liên quan và trích dẫn nội dung liên quan của văn bản đó.
3. Phân tích nguy cơ gây ra sự cố tại cơ sở:
a) Phân tích các nguy cơ, các tình huống và hậu quả lớn nhất do sự cố gây ra;
b) Phân tích các nguy cơ liên quan tới mất an ninh đối với cơ sở hoặc nguồn phóng xạ.
4. Cơ cấu tổ chức và trách nhiệm của tổ chức, cá nhân tham gia ứng phó sự cố:
a) Quy định rõ cơ cấu tổ chức và sơ đồ tổ chức ứng phó sự cố của cơ sở;
b) Nêu rõ trách nhiệm của từng tổ chức, cá nhân trong cơ sở liên quan tới chuẩn bị và ứng phó sự cố, bao gồm người đứng đầu cơ sở; Ban chỉ huy ứng phó sự cố; thành viên trong Ban chỉ huy; phòng ban, cá nhân tham gia ứng phó sự cố; phòng ban, cá nhân khác tham gia hỗ trợ ứng phó sự cố. Trách nhiệm của các tổ chức, cá nhân tham gia ứng phó sự cố phải cụ thể hóa các yêu cầu tương ứng được quy định tại Mục 1 và Mục 2 Chương V Thông tư này.
5. Công tác chuẩn bị và sẵn sàng ứng phó sự cố:
a) Nêu rõ nhân lực, trang thiết bị của cơ sở nhằm bảo đảm thực hiện trách nhiệm được quy định trong điểm b khoản 4 của Điều này;
b) Xác định vùng PAZ và UPZ đối với cơ sở thuộc nhóm chuẩn bị ứng phó sự cố I hoặc II theo quy định tại Phụ lục 14 ban hành kèm theo Thông tư này;
c) Xây dựng kế hoạch đào tạo, diễn tập (kịch bản, thời gian, tần suất) cho tổ chức, cá nhân tham gia ứng phó sự cố;
d) Quy định việc cập nhật, bổ sung kế hoạch ứng phó sự cố.
6. Hoạt động ứng phó sự cố:
a) Áp dụng các nguyên tắc ứng phó sự cố theo quy định tại Nghị định số 332/2025/NĐ-CP;
b) Xây dựng cơ chế điều hành trong quá trình ứng phó sự cố;
c) Xây dựng phương án huy động nhân lực và trang thiết bị ứng phó phù hợp với cấp báo động;
d) Thiết lập các giai đoạn ứng phó tương ứng với quy định tại Phụ lục 17 ban hành kèm theo Thông tư này, tiêu chí cần đạt được của từng giai đoạn và các quy trình, hướng dẫn cụ thể để đạt được các tiêu chí đó; các giai đoạn ứng phó sự cố phải đáp ứng các yêu cầu được quy định tại Mục 2 Chương V Thông tư này;
đ) Thiết lập hệ thống thông tin nội bộ, yêu cầu trợ giúp và thông báo cho các cá nhân trong vùng PAZ và UPZ.
7. Các phụ lục kèm theo kế hoạch ứng phó sự cố:
a) Các tài liệu phục vụ cho công tác ứng phó sự cố như: bản đồ, mặt bằng cơ sở, mẫu nội dung thông báo và tiếp nhận thông tin theo quy định tại Phụ lục 18 ban hành kèm theo Thông tư này; xác định mức độ báo động và mức độ ứng phó; mức độ điều động nhân lực và trang thiết bị; bổ nhiệm người chỉ huy hiện trường;
b) Một số chỉ dẫn và hướng dẫn cụ thể về cung cấp thông tin trong ứng phó sự cố; hướng dẫn bảo đảm an toàn cho nhân viên ứng phó sự cố và công chúng khi sự cố xảy ra; khuyến cáo về khoanh vùng an toàn cho sự cố theo quy định tại Phụ lục 18 của Thông tư này;
c) Căn cứ trên quy định về phục hồi môi trường tại Điều 108 Thông tư này, xây dựng quy trình đưa ra quyết định kết thúc hoạt động ứng phó, mục tiêu cần đạt được khi lập kế hoạch khôi phục dài hạn;
d) Căn cứ theo khoản 3 Điều này, xây dựng kịch bản và quy trình ứng phó cụ thể cho các sự cố;
đ) Xây dựng các mẫu báo cáo;
e) Xây dựng nhật ký ứng phó sự cố.
Điều 110. Kế hoạch ứng phó sự cố cấp tỉnh
Bản kế hoạch ứng phó sự cố cấp tỉnh được xây dựng có cấu trúc như sau:
1. Quy định chung:
a) Trình bày phạm vi điều chỉnh và đối tượng áp dụng kế hoạch ứng phó sự cố;
b) Giải thích khái niệm, thuật ngữ được dùng trong kế hoạch ứng phó sự cố;
c) Trình bày thông tin liên quan tới danh sách, địa chỉ, số điện thoại liên lạc của tổ chức, cá nhân tham gia ứng phó sự cố và tổ chức, cá nhân hỗ trợ;
d) Liệt kê các kế hoạch ứng phó sự cố khác có liên quan như kế hoạch phòng thủ dân sự có hiệu lực trên địa bàn tỉnh, thành phố trực thuộc trung ương.
2. Căn cứ pháp lý để lập kế hoạch ứng phó sự cố:
Trình bày danh mục các văn bản quy phạm pháp luật của cơ quan nhà nước có thẩm quyền ở trung ương và địa phương ban hành có liên quan và trích dẫn nội dung liên quan của văn bản đó.
3. Phân tích nguy cơ gây ra sự cố tại địa phương:
a) Căn cứ vào nhóm chuẩn bị ứng phó sự cố theo quy định tại Phụ lục 11 ban hành kèm theo Thông tư này, phân tích các nguy cơ, các tình huống và hậu quả do sự cố gây ra;
b) Phân tích các nguy cơ liên quan tới mất an ninh đối với nguồn phóng xạ trên địa bàn tỉnh.
4. Cơ cấu tổ chức và trách nhiệm của tổ chức, cá nhân tham gia ứng phó sự cố:
a) Quy định rõ cơ cấu tổ chức và trình bày sơ đồ tổ chức ứng phó sự cố;
b) Quy định chi tiết trách nhiệm của từng tổ chức, cá nhân theo các yêu cầu của việc chuẩn bị và ứng phó sự cố, cụ thể: cơ cấu và thành phần của Ban chỉ huy; trách nhiệm của Ban chỉ huy; trách nhiệm của từng thành viên trong Ban chỉ huy; trách nhiệm của Trưởng Ban chỉ huy; trách nhiệm của tổ chức tham gia và trách nhiệm của tổ chức hỗ trợ. Trách nhiệm của các tổ chức, cá nhân tham gia ứng phó sự cố phải cụ thể hóa các yêu cầu tương ứng được quy định tại Mục 1 và Mục 2 Chương V Thông tư này.
5. Hoạt động ứng phó sự cố:
a) Áp dụng các nguyên tắc ứng phó sự cố theo quy định tại Nghị định số 332/2025/NĐ-CP vào hoạt động ứng phó sự cố;
b) Xây dựng cơ chế điều hành trong quá trình ứng phó sự cố;
c) Xây dựng phương án huy động nhân lực và trang thiết bị ứng phó phù hợp với cấp báo động;
d) Thiết lập các giai đoạn ứng phó cơ bản bao gồm các nội dung theo quy định tại Phụ lục 17 ban hành kèm theo Thông tư này;
đ) Xây dựng cách thức, nội dung thông báo các thông tin liên quan tới tiến trình ứng phó sự cố cho tổ chức tham gia ứng phó sự cố, phương tiện thông tin đại chúng trong quá trình ứng phó sự cố theo hướng dẫn quy định trong Phụ lục 18 ban hành kèm theo Thông tư này;
e) Xây dựng quy định về thông báo, trợ giúp và yêu cầu trợ giúp tới các địa phương khác có liên quan trong ứng phó sự cố.
6. Phụ lục:
a) Danh sách và địa chỉ liên lạc chi tiết của Ban chỉ huy, tổ chức, cá nhân tham gia ứng phó sự cố;
b) Tài liệu phục vụ cho công tác ứng phó sự cố như: mẫu thông báo và tiếp nhận thông tin; xác định mức độ báo động và mức độ điều động lực lượng ứng phó; điều động và bổ nhiệm người chỉ huy hiện trường;
c) Một số chỉ dẫn và hướng dẫn như: chỉ dẫn cung cấp thông tin trong ứng phó sự cố; hướng dẫn bảo đảm an toàn cho công chúng và nhân viên ứng phó sự cố khi sự cố xảy ra; khuyến cáo về khoanh vùng an toàn cho sự cố;
d) Căn cứ theo quy định về phục hồi môi trường tại Điều 108 Thông tư này, xây dựng quy trình đưa ra quyết định kết thúc hoạt động ứng phó, mục tiêu cần đạt được khi lập kế hoạch khôi phục dài hạn;
đ) Xây dựng kịch bản và quy trình ứng phó cụ thể cho các tình huống sự cố trên cơ sở phân tích nguy cơ gây ra sự cố trên địa bàn tỉnh;
e) Xây dựng các mẫu báo cáo;
g) Xây dựng nhật ký ứng phó sự cố.
Điều 111. Thẩm định và phê duyệt kế hoạch ứng phó sự cố
1. Ủy ban nhân dân cấp tỉnh chuẩn bị tài liệu đề nghị thẩm định bao gồm:
a) Công văn gửi Bộ Khoa học và Công nghệ đề nghị thẩm định;
b) Kế hoạch ứng phó sự cố cấp tỉnh được lập có cấu trúc và nội dung theo quy định tại Điều 110 Thông tư này.
2. Bộ Khoa học và Công nghệ thành lập Hội đồng thẩm định Kế hoạch ứng phó sự cố cấp tỉnh. Trong thời hạn 45 ngày kể từ khi có kết quả của Hội đồng thẩm định, Bộ Khoa học và Công nghệ thông báo kết quả thẩm định Kế hoạch ứng phó sự cố cho Ủy ban nhân dân cấp tỉnh.
3. Trên cơ sở kết quả thẩm định của Bộ Khoa học và Công nghệ, Ủy ban nhân dân cấp tỉnh tổ chức tiếp thu ý kiến, chỉnh sửa và ra quyết định phê duyệt Kế hoạch ứng phó sự cố.
Chương VI
ĐIỀU KHOẢN THI HÀNH
Điều 112. Điều khoản chuyển tiếp
1. Địa phương thực hiện hợp nhất đơn vị hành chính theo Nghị quyết số 202/2025/QH15 ngày 12 tháng 6 năm 2025 của Quốc hội khóa XV phải lập và phê duyệt lại kế hoạch ứng phó sự cố bức xạ và hạt nhân cấp tỉnh theo quy định của Thông tư này.
2. Kế hoạch ứng phó sự cố bức xạ và hạt nhân cấp tỉnh đã được phê duyệt theo quy định tại Thông tư số 12/2023/TT-BKHCN ngày 30 tháng 6 năm 2023 của Bộ trưởng Bộ Khoa học và Công nghệ quy định về việc chuẩn bị ứng phó và ứng phó sự cố bức xạ và hạt nhân, lập và phê duyệt kế hoạch ứng phó sự cố bức xạ và hạt nhân không thuộc trường hợp quy định tại khoản 1 Điều này tiếp tục được áp dụng thực hiện.
3. Kế hoạch ứng phó sự cố bức xạ và hạt nhân cấp tỉnh đã được lập và nộp cho cơ quan có thẩm quyền nhưng chưa được phê duyệt trước ngày Thông tư này có hiệu lực thi hành thì Bộ Khoa học và Công nghệ tiếp tục thực hiện quy trình thẩm định theo quy định tại điểm a khoản 3 Điều 27 Thông tư số 12/2023/TT-BKHCN ngày 30 tháng 6 năm 2023 của Bộ trưởng Bộ Khoa học và Công nghệ quy định việc chuẩn bị ứng phó và ứng phó sự cố bức xạ và hạt nhân, lập và phê duyệt kế hoạch ứng phó sự cố bức xạ và hạt nhân, Ủy ban nhân dân cấp tỉnh xem xét, phê duyệt sau khi có ý kiến chuyên môn của Bộ Khoa học và Công nghệ theo quy định tại khoản 2 Điều 99 của Nghị định số 332/2025/NĐ-CP.
Điều 113. Hiệu lực thi hành
1. Thông tư này có hiệu lực thi hành kể từ ngày 01 tháng 01 năm 2026.
2. Các thông tư sau đây hết hiệu lực kể từ ngày Thông tư này có hiệu lực thi hành:
a) Thông tư số 19/2012/TT-BKHCN ngày 08 tháng 11 năm 2012 của Bộ trưởng Bộ Khoa học và Công nghệ quy định về kiểm soát chiếu xạ nghề nghiệp và chiếu xạ công chúng;
b) Thông tư liên tịch số 13/2014/TTLT-BKHCN-BYT ngày 09 tháng 6 năm 2014 của Bộ trưởng Bộ Khoa học và Công nghệ và Bộ Y tế quy định về bảo đảm an toàn bức xạ trong y tế;
c) Thông tư số 13/2018/TT-BKHCN ngày 05 tháng 9 năm 2018 của Bộ trưởng Bộ Khoa học và Công nghệ sửa đổi, bổ sung một số điều của Thông tư liên tịch số 13/2014/TTLT-BKHCN-BYT ngày 09 tháng 6 năm 2014 của Bộ trưởng Bộ Khoa học và Công nghệ và Bộ trưởng Bộ Y tế quy định về bảo đảm an toàn bức xạ trong y tế;
d) Thông tư số 23/2012/TT-BKHCN ngày 23 tháng 11 năm 2012 của Bộ trưởng Bộ Khoa học và Công nghệ hướng dẫn vận chuyển an toàn vật liệu phóng xạ;
đ) Thông tư số 22/2014/TT-BKHCN ngày 25 tháng 8 năm 2014 của Bộ trưởng Bộ Khoa học và Công nghệ quy định về quản lý chất thải phóng xạ và nguồn phóng xạ đã qua sử dụng;
e) Thông tư số 12/2023/TT-BKHCN ngày 30 tháng 6 năm 2023 của Bộ trưởng Bộ Khoa học và Công nghệ quy định việc chuẩn bị ứng phó và ứng phó sự cố bức xạ và hạt nhân, lập và phê duyệt kế hoạch ứng phó sự cố bức xạ và hạt nhân.
3. Trong quá trình thực hiện, nếu có vướng mắc, các cơ quan, tổ chức, cá nhân kịp thời phản ánh về Bộ Khoa học và Công nghệ để xem xét, giải quyết./.
|
|
BỘ TRƯỞNG |